A Comparative Evaluation of Hydromorphological Assessment Methods Applied in Rivers of Greece
Abstract
:1. Introduction
2. Materials and Methods
2.1. Description of the Study Area
2.2. Hydromorphological Assessment Methods
2.3. Aerial Photography with the Use of Unmanned Aerial Vehicles (UAVs)
2.4. Statistical Analysis
3. Results and Discussion
3.1. Overall Assessment of the Hydromorphological Status of the Studied Sites
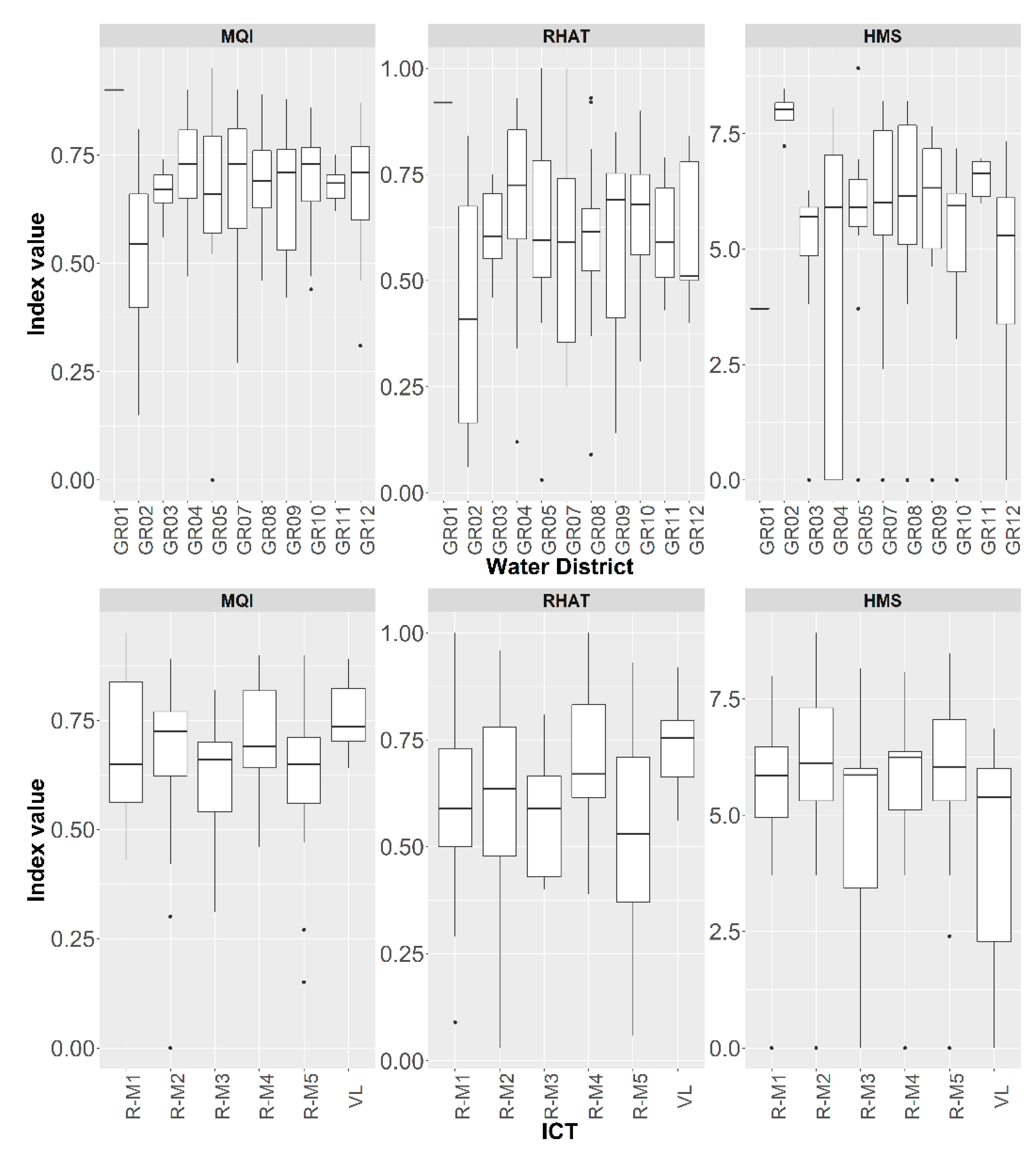
3.2. Comparative Assessment between Types of Water Bodies
3.3. Comparability of Methods—Strengths and Caveats
4. Conclusions
Author Contributions
Funding
Institutional Review Board Statement
Data Availability Statement
Conflicts of Interest
References
- European Commission Directive of the European Parliament and of the Council 2000/60/EC. Establishing a Framework for Community Action in the Field of Water Policy. Off. J. Eur. Parliam. 2000, L327, 1–82. [Google Scholar]
- European Topic Centre on Inland, Coastal and Marine Waters. Hydromorphological Alterations and Pressures in European Rivers, Lakes, Transitional and Coastal Waters; ETC/ICM: Prague, Czech Republic, 2012; Volume 2, ISBN 978-80-85087-98-7. [Google Scholar]
- Belletti, B.; Rinaldi, M.; Buijse, A.D.; Gurnell, A.M.; Mosselman, E. A review of assessment methods for river hydromorphology. Environ. Earth Sci. 2015, 73, 2079–2100. [Google Scholar] [CrossRef]
- Rinaldi, M.; Belletti, B.; Bussettini, M.; Comiti, F.; Golfieri, B.; Lastoria, B.; Marchese, E.; Nardi, L.; Surian, N. New tools for the hydromorphological assessment and monitoring of European streams. J. Environ. Manag. 2017, 202, 363–378. [Google Scholar] [CrossRef] [PubMed]
- Kamp, U.; Binder, W.; Hölzl, K. River habitat monitoring and assessment in Germany. Environ. Monit. Assess. 2007, 127, 209–226. [Google Scholar] [CrossRef] [PubMed]
- Raven, P.J.; Holmes, N.T.H.; Dawson, F.H.; Everard, M. Quality assessment using River Habitat Survey data. Aquat. Conserv. Mar. Freshw. Ecosyst. 1998, 8, 477–499. [Google Scholar] [CrossRef]
- Rinaldi, M.; Surian, N.; Comiti, F.; Bussettini, M. A method for the assessment and analysis of the hydromorphological condition of Italian streams: The Morphological Quality Index (MQI). Geomorphology 2013, 180–181, 96–108. [Google Scholar] [CrossRef]
- Bechter, T.; Baumann, K.; Birk, S.; Bolik, F.; Graf, W.; Pletterbauer, F. LaRiMo—A simple and efficient GIS-based approach for large-scale morphological assessment of large European rivers. Sci. Total Environ. 2018, 628–629, 1191–1199. [Google Scholar] [CrossRef]
- Knehtl, M.; Petkovska, V.; Urbanič, G. Is it time to eliminate field surveys from hydromorphological assessments of rivers?—Comparison between a field survey and a remote sensing approach. Ecohydrology 2018, 11, e1924. [Google Scholar] [CrossRef] [Green Version]
- González del Tánago, M.; Gurnell, A.M.; Belletti, B.; García de Jalón, D. Indicators of river system hydromorphological character and dynamics: Understanding current conditions and guiding sustainable river management. Aquat. Sci. 2016, 78, 35–55. [Google Scholar] [CrossRef]
- Grizzetti, B.; Pistocchi, A.; Liquete, C.; Udias, A.; Bouraoui, F.; Van De Bund, W. Human pressures and ecological status of European rivers. Sci. Rep. 2017, 7, 205. [Google Scholar] [CrossRef] [Green Version]
- Elosegi, A.; Sabater, S. Effects of hydromorphological impacts on river ecosystem functioning: A review and suggestions for assessing ecological impacts. Hydrobiologia 2013, 712, 129–143. [Google Scholar] [CrossRef]
- Poppe, M.; Kail, J.; Aroviita, J.; Stelmaszczyk, M.; Giełczewski, M.; Muhar, S. Assessing restoration effects on hydromorphology in European mid-sized rivers by key hydromorphological parameters. Hydrobiologia 2016, 769, 21–40. [Google Scholar] [CrossRef]
- Gellert, G.; Pottgiesser, T.; Euler, T. Assessment of the structural quality of streams in Germany—Basic description and current status. Environ. Monit. Assess. 2014, 186, 3365–3378. [Google Scholar] [CrossRef] [PubMed]
- Zaharia, L.; Ioana-Toroimac, G.; Moroşanu, G.A.; Gălie, A.C.; Moldoveanu, M.; Čanjevac, I.; Belleudy, P.; Plantak, M.; Buzjak, N.; Bočić, N.; et al. Review of national methodologies for rivers’ hydromorphological assessment: A comparative approach in France, Romania, and Croatia. J. Environ. Manag. 2018, 217, 735–746. [Google Scholar] [CrossRef] [PubMed]
- Šípek, V.; Matoušková, M.; Dvořák, M. Comparative analysis of selected hydromorphological assessment methods. Environ. Monit. Assess. 2010, 169, 309–319. [Google Scholar] [CrossRef] [PubMed]
- Wiatkowski, M.; Tomczyk, P. Comparative assessment of the hydromorphological status of the rivers Odra, Bystrzyca, and Ślȩza using the RHS, LAWA, QBR, and HEM methods above and below the hydropower plants. Water 2018, 10, 855. [Google Scholar] [CrossRef] [Green Version]
- Benjankar, R.; Koenig, F.; Tonina, D. Comparison of hydromorphological assessment methods: Application to the Boise River, USA. J. Hydrol. 2013, 492, 128–138. [Google Scholar] [CrossRef]
- Skoulikidis, N.T.; Karaouzas, I.; Amaxidis, Y.; Lazaridou, M. Impact of EU Environmental Policy Implementation on the Quality and Status of Greek Rivers. Water 2021, 13, 1858. [Google Scholar] [CrossRef]
- Stefanidis, K.; Papaioannou, G.; Markogianni, V.; Dimitriou, E. Water Quality and Hydromorphological Variability in Greek Rivers: A Nationwide Assessment with Implications for Management. Water 2019, 11, 1680. [Google Scholar] [CrossRef] [Green Version]
- Stefanidis, K.; Latsiou, A.; Kouvarda, T.; Lampou, A.; Kalaitzakis, N.; Gritzalis, K.; Dimitriou, E. Disentangling the Main Components of Hydromorphological Modifications at Reach Scale in Rivers of Greece. Hydrology 2020, 7, 22. [Google Scholar] [CrossRef] [Green Version]
- Szoszkiewicz, K.; Buffagni, A.; Davy-Bowker, J.; Lesny, J.; Chojnicki, B.H.; Zbierska, J.; Staniszewski, R.; Zgola, T. Occurrence and variability of River Habitat Survey features across Europe and the consequences for data collection and evaluation. Hydrobiologia 2006, 566, 267–280. [Google Scholar] [CrossRef]
- Stefanidis, K.; Oikonomou, A.; Papastergiadou, E. Responses of different facets of aquatic plant diversity along environmental gradients in Mediterranean streams: Results from rivers of Greece. J. Environ. Manag. 2021, 296, 113307. [Google Scholar] [CrossRef] [PubMed]
- Zieliński, P.; Suchowolec, T. Hydromorphological assessment of the anastomosing section of the Narew River after restoration. Limnol. Rev. 2013, 13, 51–59. [Google Scholar] [CrossRef]
- Naura, M.; Clark, M.J.; Sear, D.A.; Atkinson, P.M.; Hornby, D.D.; Kemp, P.; England, J.; Peirson, G.; Bromley, C.; Carter, M.G. Mapping habitat indices across river networks using spatial statistical modelling of River Habitat Survey data. Ecol. Indic. 2016, 66, 20–29. [Google Scholar] [CrossRef] [Green Version]
- Latsiou, A.; Kouvarda, T.; Stefanidis, K.; Papaioannou, G.; Gritzalis, K.; Dimitriou, E. Pressures and Status of the Riparian Vegetation in Greek Rivers: Overview and Preliminary Assessment. Hydrology 2021, 8, 55. [Google Scholar] [CrossRef]
- Raven, P.J.; Holmes, N.T.H.; Naura, M.; Dawson, F.H. Assessing the Ecological Integrity of Running Waters. Hydrobiologia 2000, 422, 359–367. [Google Scholar] [CrossRef]
- Toland, M.; Murphy, M. River Hydromorphology Assessment Technique (Rhat) Training Manual—Version 2; 2013; ISBN 978-1-907053-65-8. Available online: https://www.researchgate.net/publication/265914077_RIVER_HYDROMORPHOLOGY_ASSESSMENT_TECHNIQUE_RHAT_TRAINING_MANUAL_-VERSION_2 (accessed on 27 January 2022).
- Koutalakis, P.; Tzoraki, O.; Gkiatas, G.; Zaimes, G.N. Using uav to capture and record torrent bed and banks, flood debris, and riparian areas. Drones 2020, 4, 77. [Google Scholar] [CrossRef]
- Lagogiannis, S.; Dimitriou, E. Discharge estimation with the use of unmanned aerial vehicles (UAVs) and hydraulic methods in shallow rivers. Water 2021, 13, 2808. [Google Scholar] [CrossRef]
- Dimitriou, E.; Stavroulaki, E. Assessment of Riverine Morphology and Habitat Regime Using Unmanned Aerial Vehicles in a Mediterranean Environment. Pure Appl. Geophys. 2018, 175, 3247–3261. [Google Scholar] [CrossRef]
- Ourloglou, O.; Stefanidis, K.; Dimitriou, E. Assessing Nature-Based and Classical Engineering Solutions for Flood-Risk Reduction in Urban Streams. J. Ecol. Eng. 2020, 21, 46–56. [Google Scholar] [CrossRef]
- R Core Team. R: A Language and Environment for Statistical Computing; R Foundation for Statistical Computing: Vienna, Austria, 2022. [Google Scholar]
- Lemm, J.U.; Venohr, M.; Globevnik, L.; Stefanidis, K.; Panagopoulos, Y.; Gils, J.; Posthuma, L.; Kristensen, P.; Feld, C.K.; Mahnkopf, J.; et al. Multiple stressors determine river ecological status at the European scale: Towards an integrated understanding of river status deterioration. Glob. Change Biol. 2021, 27, 1962–1975. [Google Scholar] [CrossRef] [PubMed]
- Elosegi, A.; Díez, J.; Mutz, M. Effects of hydromorphological integrity on biodiversity and functioning of river ecosystems. Hydrobiologia 2010, 657, 199–215. [Google Scholar] [CrossRef]
- Feio, M.J.; Aguiar, F.C.; Almeida, S.F.P.; Ferreira, J.; Ferreira, M.T.; Elias, C.; Serra, S.R.Q.; Buffagni, A.; Cambra, J.; Chauvin, C.; et al. Least Disturbed Condition for European Mediterranean rivers. Sci. Total Environ. 2014, 476–477, 745–756. [Google Scholar] [CrossRef] [PubMed]
- Ferreira, J.; Pádua, J.; Hughes, S.J.; Cortes, R.M.; Varandas, S.; Holmes, N.; Raven, P. Adapting and adopting River Habitat Survey: Problems and solutions for fluvial hydromorphological assessment in Portugal. Limnetica 2011, 29, 263–272. [Google Scholar] [CrossRef]
- Buffagni, A.; Demartini, D.; Terranova, L. Manuale di Applicazione del Metodo CARAVAGGIO—Guida al Rilevamento e alla Descrizione degli Habitat Fluviali; CNR-IRSA: Rome, Italy, 2013; ISBN 978889765. [Google Scholar]
- Buffagni, A. The lentic and lotic characteristics of habitats determine the distribution of benthic macroinvertebrates in Mediterranean rivers. Freshw. Biol. 2021, 66, 13–34. [Google Scholar] [CrossRef]
- Casado, M.R.; Gonzalez, R.B.; Wright, R.; Bellamy, P. Quantifying the effect of aerial imagery resolution in automated hydromorphological river characterisation. Remote Sens. 2016, 8, 650. [Google Scholar] [CrossRef] [Green Version]
- Casado, M.R.; Gonzalez, R.B.; Kriechbaumer, T.; Veal, A. Automated identification of river hydromorphological features using UAV high resolution aerial imagery. Sensors 2015, 15, 27969–27989. [Google Scholar] [CrossRef] [Green Version]
- Rivas Casado, M.; González, R.B.; Ortega, J.F.; Leinster, P.; Wright, R. Towards a transferable UAV-based framework for river hydromorphological characterization. Sensors 2017, 17, 2210. [Google Scholar] [CrossRef] [Green Version]






| Habitat Modification Score | Habitat Modification Class | Description |
|---|---|---|
| 0–16 | 1 | Pristine/semi-natural |
| 17–199 | 2 | Predominantly unmodified |
| 200–499 | 3 | Obviously modified |
| 500–1399 | 4 | Significantly modified |
| >1400 | 5 | Severely modified |
| Classification Method | Intercalibration Type | Water District | ||
|---|---|---|---|---|
| Chi-Squared | p-Value | Chi-Squared | p-Value | |
| HMS | 7.814 | 0.167 | 15.897 | 0.103 |
| RHAT | 13.132 | 0.022 | 7.788 | 0.649 |
| MQI | 10.484 | 0.062 | 7.208 | 0.706 |
| RHS | RHAT | MQI | |
|---|---|---|---|
| Length of assessed reach | 500 m | 500 m | Homogeneous reach, usually few km |
| No of features elements assessed | 13 main features | 8 attributes | 28 indicators |
| Assessment methods | Field surveys | Field surveys, GIS, maps | Remote sensing, GIS, maps, field surveys, aerial photos obtained by UAVs |
| Output | Two synthetic indices, HMS and HQA | RHAT index (0–1) and WFD compliant quality classes | MQI index (0–1) and WFD-compliant quality classes |
| Strengths | Detailed record of modifications and features in situ at local (e.g., transect) and reach scale with the estimation of the HMS HQA provides a detailed overview of the habitat quality and diversity Low cost | Detailed record of modifications and features in situ Relatively easy estimation of the index value and quality classification Low cost | Allows the use of remote sensing products, e.g., aerial photos Needs fewer adaptations to rivers of Greece Easy estimation of the index and the quality classification |
| Weaknesses | Limitations in conducting the 500 m survey to inaccessible and large deep rivers Needs adaptations to water bodies from the Mediterranean region Complex estimation of the indices HQA requires a national database of reference conditions Field work is time-demanding | Limitations in conducting the 500 m survey to inaccessible and large deep rivers Needs adaptations to water bodies from the Mediterranean region | It requires identification and characterization of the assessed reach with the use of GIS analysis The identified homogeneous reach might be quite long (few km)It requires time-demanding work at office Moderate cost if the usage of UAVs is considered Requires expertise in drone surveying, if drones are used |
Publisher’s Note: MDPI stays neutral with regard to jurisdictional claims in published maps and institutional affiliations. |
© 2022 by the authors. Licensee MDPI, Basel, Switzerland. This article is an open access article distributed under the terms and conditions of the Creative Commons Attribution (CC BY) license (https://creativecommons.org/licenses/by/4.0/).
Share and Cite
Stefanidis, K.; Kouvarda, T.; Latsiou, A.; Papaioannou, G.; Gritzalis, K.; Dimitriou, E. A Comparative Evaluation of Hydromorphological Assessment Methods Applied in Rivers of Greece. Hydrology 2022, 9, 43. https://doi.org/10.3390/hydrology9030043
Stefanidis K, Kouvarda T, Latsiou A, Papaioannou G, Gritzalis K, Dimitriou E. A Comparative Evaluation of Hydromorphological Assessment Methods Applied in Rivers of Greece. Hydrology. 2022; 9(3):43. https://doi.org/10.3390/hydrology9030043
Chicago/Turabian StyleStefanidis, Konstantinos, Theodora Kouvarda, Anna Latsiou, George Papaioannou, Konstantinos Gritzalis, and Elias Dimitriou. 2022. "A Comparative Evaluation of Hydromorphological Assessment Methods Applied in Rivers of Greece" Hydrology 9, no. 3: 43. https://doi.org/10.3390/hydrology9030043
APA StyleStefanidis, K., Kouvarda, T., Latsiou, A., Papaioannou, G., Gritzalis, K., & Dimitriou, E. (2022). A Comparative Evaluation of Hydromorphological Assessment Methods Applied in Rivers of Greece. Hydrology, 9(3), 43. https://doi.org/10.3390/hydrology9030043

