Identifying the Major Hydrogeochemical Factors Governing Groundwater Chemistry in the Coastal Aquifers of Southwest Bangladesh Using Statistical Analysis
Abstract
:1. Introduction
2. Description of the Study Area
2.1. Study Area
2.2. Climate
2.3. Geology and Hydrogeology
3. Methods and Methodology
3.1. Water Sampling and Hydrochemical Analysis
3.2. Statistical Analysis
3.2.1. Cluster Analysis (CA)
3.2.2. Factor Analysis (FA)
4. Results and Discussion
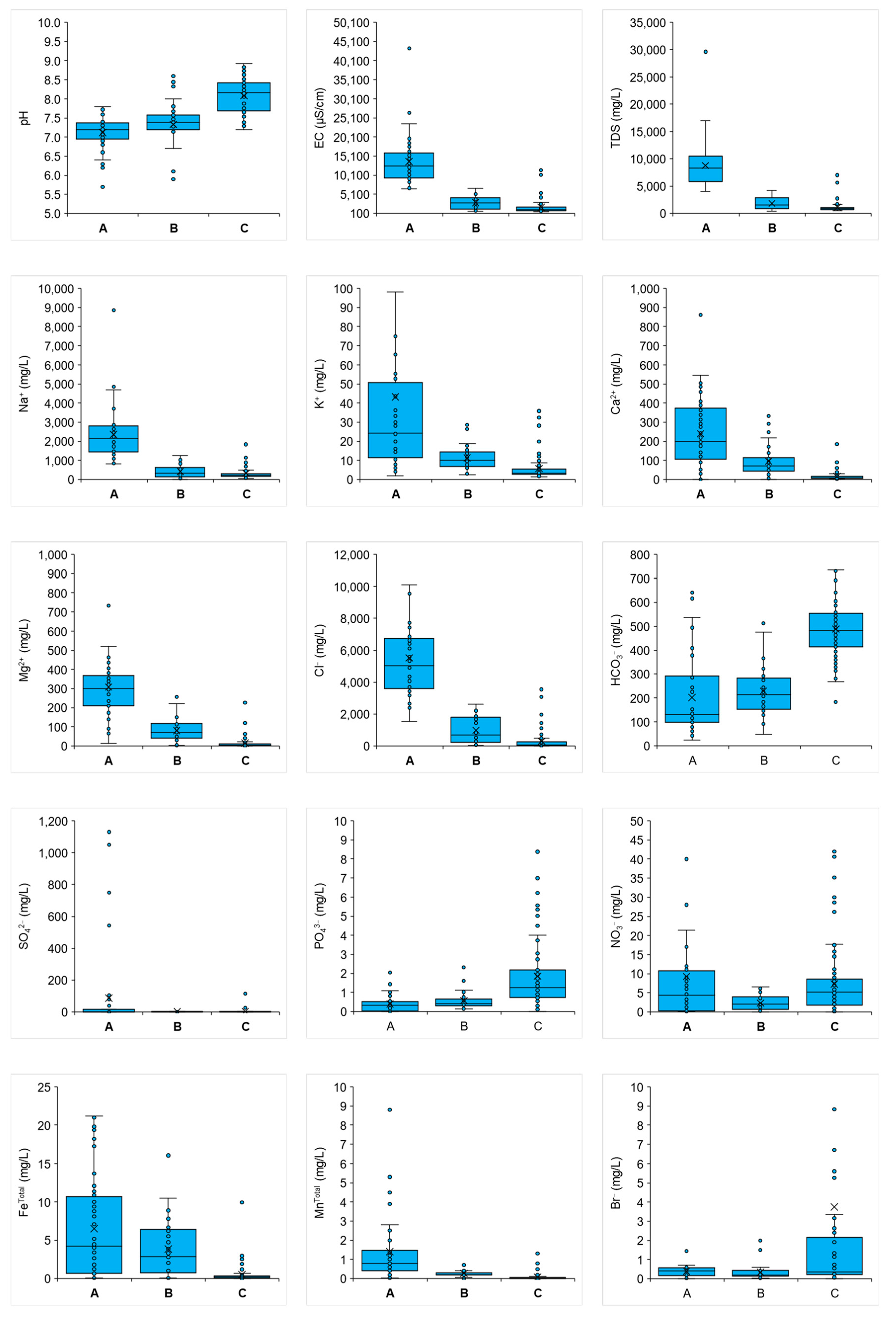
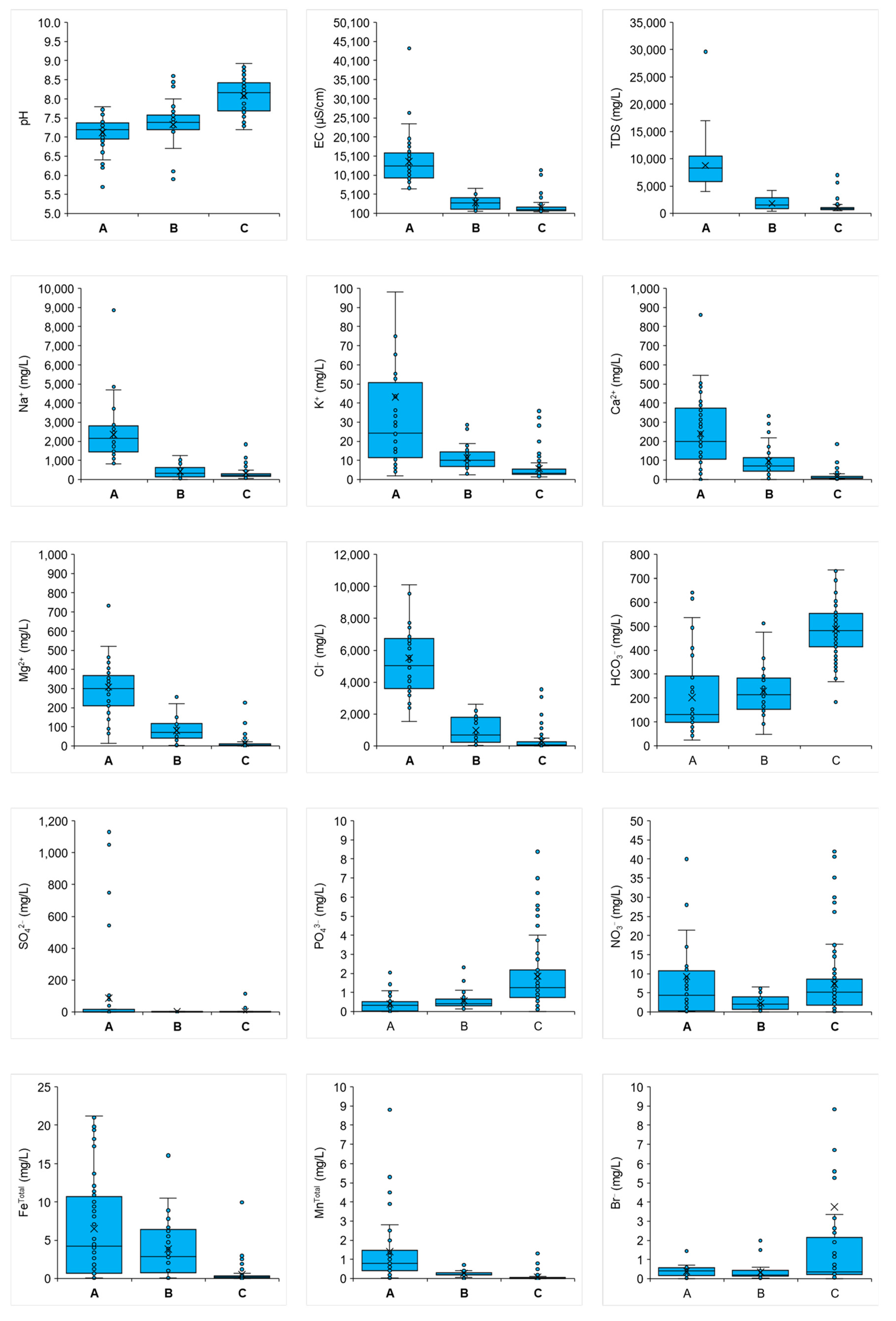
4.1. Physico-Chemical Parameters
4.2. Groundwater Classification
4.3. Correlation
4.4. Cluster Analysis
4.5. Factor Analysis
4.6. Distribution of the Scores of Factors F1 and F2 with Depth
4.7. Hydrogeochemical Processes
5. Summary and Conclusions
Author Contributions
Funding
Institutional Review Board Statement
Informed Consent Statement
Data Availability Statement
Acknowledgments
Conflicts of Interest
References
- Yang, Q.; Zhang, J.; Wang, Y.; Fang, Y.; Martín, J.D. Multivariate Statistical Analysis of Hydrochemical Data for Shallow Ground Water Quality Factor Identification in a Coastal Aquifer. Pol. J. Environ. Stud. 2015, 24, 769–776. [Google Scholar] [CrossRef]
- UNICEF; Bangladesh Bureau of Statistics. Bangladesh MICS 2012–2013: Water Quality Thematic Report; Bangladesh Bureau of Statistics: Dhaka, Bangladesh, 2018. [Google Scholar]
- Hossain, M.S.; Dearing, J.A.; Rahman, M.; Salehin, M. Recent changes in ecosystem services and human well-being in the Bangladesh coastal zone. Reg. Environ. Chang. 2016, 16, 429–443. [Google Scholar] [CrossRef] [Green Version]
- Rahman, M.T.U.; Rasheduzzaman, M.; Habib, M.A.; Ahmed, A.; Tareq, S.M.; Muniruzzaman, S.M. Assessment of fresh water security in coastal Bangladesh: An insight from salinity, community perception and adaptation. Ocean. Coast. Manag. 2017, 137, 68–81. [Google Scholar] [CrossRef]
- Policy, C.Z. Ministry of Water Resources, Government of the People’s Republic of Bangladesh: Dhaka, Bangladesh. 2005. Available online: http://nda.erd.gov.bd/en/c/publication/coastal-zone-policy-2005 (accessed on 15 November 2021).
- Qin, D.; Plattner, G.; Tignor, M.; Allen, S.; Boschung, J.; Nauels, A.; Xia, Y.; Bex, V.; Midgley, P. Climate Change 2013: The Physical Science Basis. Contribution of Working Group I to the Fifth Assessment Report of the Intergovernmental Panel on Climate Change; Stocker, T.F., Qin, D., Plattner, G.-K., Tignor, M., Allen, S.K., Boschung, J., Nauels, A., Xia, Y., Bex, V., Midgley, P.M., Eds.; Cambridge University Press: Cambridge, UK; New York, NY, USA, 2014; pp. 5–14. [Google Scholar]
- Oude Essink, G.H.P. Impact of Sea Level Rise on Groundwater Flow Regimes: A Sensitivity Analysis for the Netherlands; Delft University Press: Delft, The Netherlands, 1996; Volume 7. [Google Scholar]
- Morell, I.; Giménez, E.; Esteller, M. Application of principal components analysis to the study of salinization on the Castellon Plain (Spain). Sci. Total Environ. 1996, 177, 161–171. [Google Scholar] [CrossRef] [Green Version]
- Sarker, M.M.R.; Van Camp, M.; Hossain, D.; Islam, M.; Ahmed, N.; Karim, M.M.; Bhuiyan, M.A.Q.; Walraevens, K. Groundwater salinization and freshening processes in coastal aquifers from southwest Bangladesh. Sci. Total Environ. 2021, 779, 146339. [Google Scholar] [CrossRef] [PubMed]
- Sarker, M.M.R.; Van Camp, M.; Islam, M.; Ahmed, N.; Walraevens, K. Hydrochemistry in coastal aquifer of southwest Bangladesh: Origin of salinity. Environ. Earth Sci. 2018, 77, 39. [Google Scholar] [CrossRef]
- Cloutier, V.; Lefebvre, R.; Therrien, R.; Savard, M.M. Multivariate statistical analysis of geochemical data as indicative of the hydrogeochemical evolution of groundwater in a sedimentary rock aquifer system. J. Hydrol. 2008, 353, 294–313. [Google Scholar] [CrossRef]
- Monjerezi, M.; Vogt, R.D.; Aagaard, P.; Saka, J.D. Hydro-geochemical processes in an area with saline groundwater in lower Shire River valley, Malawi: An integrated application of hierarchical cluster and principal component analyses. Appl. Geochem. 2011, 26, 1399–1413. [Google Scholar] [CrossRef]
- Hassen, I.; Hamzaoui-Azaza, F.; Bouhlila, R. Application of multivariate statistical analysis and hydrochemical and isotopic investigations for evaluation of groundwater quality and its suitability for drinking and agriculture purposes: Case of Oum Ali-Thelepte aquifer, central Tunisia. Environ. Monit. Assess. 2016, 188, 135. [Google Scholar] [CrossRef]
- Sarker, M.M.R.; Van Camp, M.; Hermans, T.; Hossain, D.; Islam, M.; Uddin, M.Z.; Ahmed, N.; Bhuiyan, M.A.Q.; Masud, M.M.; Walraevens, K. Geophysical Delineation of Freshwater–Saline Water Interfaces in Coastal Area of Southwest Bangladesh. Water 2021, 13, 2527. [Google Scholar] [CrossRef]
- Wenning, R.J.; Erickson, G.A. Interpretation and analysis of complex environmental data using chemometric methods. TrAC Trends Anal. Chem. 1994, 13, 446–457. [Google Scholar] [CrossRef]
- Adams, S.; Titus, R.; Pietersen, K.; Tredoux, G.; Harris, C. Hydrochemical characteristics of aquifers near Sutherland in the Western Karoo, South Africa. J. Hydrol. 2001, 241, 91–103. [Google Scholar] [CrossRef] [Green Version]
- Helena, B.; Pardo, R.; Vega, M.; Barrado, E.; Fernandez, J.M.; Fernandez, L. Temporal evolution of groundwater composition in an alluvial aquifer (Pisuerga River, Spain) by principal component analysis. Water Res. 2000, 34, 807–816. [Google Scholar] [CrossRef]
- Kim, J.H.; Kim, R.H.; Lee, J.; Cheong, T.J.; Yum, B.W.; Chang, H.W. Multivariate statistical analysis to identify the major factors governing groundwater quality in the coastal area of Kimje, South Korea. Hydrol. Process. Int. J. 2005, 19, 1261–1276. [Google Scholar] [CrossRef]
- Cloutier, V.; Lefebvre, R.; Savard, M.M.; Bourque, É.; Therrien, R. Hydrogeochemistry and groundwater origin of the Basses-Laurentides sedimentary rock aquifer system, St. Lawrence Lowlands, Québec, Canada. Hydrogeol. J. 2006, 14, 573–590. [Google Scholar] [CrossRef]
- Melloul, A.; Collin, M. The ‘principal components’ statistical method as a complementary approach to geochemical methods in water quality factor identification; application to the Coastal Plain aquifer of Israel. J. Hydrol. 1992, 140, 49–73. [Google Scholar] [CrossRef]
- Retike, I.; Kalvans, A.; Popovs, K.; Bikse, J.; Babre, A.; Delina, A. Geochemical classification of groundwater using multivariate statistical analysis in Latvia. Hydrol. Res. 2016, 47, 799–813. [Google Scholar] [CrossRef] [Green Version]
- Schot, P.; Van der Wal, J. Human impact on regional groundwater composition through intervention in natural flow patterns and changes in land use. J. Hydrol. 1992, 134, 297–313. [Google Scholar] [CrossRef] [Green Version]
- Steinhorst, R.K.; Williams, R.E. Discrimination of groundwater sources using cluster analysis, MANOVA, canonical analysis and discriminant analysis. Water Resour. Res. 1985, 21, 1149–1156. [Google Scholar] [CrossRef]
- Farnham, I.M.; Stetzenbach, K.J.; Singh, A.K.; Johannesson, K.H. Deciphering groundwater flow systems in Oasis Valley, Nevada, using trace element chemistry, multivariate statistics, and geographical information system. Math. Geol. 2000, 32, 943–968. [Google Scholar] [CrossRef]
- Eang, K.E.; Igarashi, T.; Kondo, M.; Nakatani, T.; Tabelin, C.B.; Fujinaga, R. Groundwater monitoring of an open-pit limestone quarry: Water-rock interaction and mixing estimation within the rock layers by geochemical and statistical analyses. Int. J. Min. Sci. Technol. 2018, 28, 849–857. [Google Scholar] [CrossRef]
- Allison, M.A.; Khan, S.; Goodbred Jr, S.L.; Kuehl, S.A. Stratigraphic evolution of the late Holocene Ganges–Brahmaputra lower delta plain. Sediment. Geol. 2003, 155, 317–342. [Google Scholar] [CrossRef]
- Goodbred, S., Jr.; Kuehl, S.A. The significance of large sediment supply, active tectonism, and eustasy on margin sequence development: Late Quaternary stratigraphy and evolution of the Ganges–Brahmaputra delta. Sediment. Geol. 2000, 133, 227–248. [Google Scholar] [CrossRef]
- Umitsu, M. Late Quaternary sedimentary environments and landforms in the Ganges Delta. Sediment. Geol. 1993, 83, 177–186. [Google Scholar] [CrossRef]
- Akter, J.; Sarker, M.H.; Popescu, I.; Roelvink, D. Evolution of the Bengal Delta and its prevailing processes. J. Coast. Res. 2016, 32, 1212–1226. [Google Scholar] [CrossRef] [Green Version]
- Hossain, M.S.; Khan, M.S.H.; Chowdhury, K.R.; Abdullah, R. Synthesis of the tectonic and structural elements of the Bengal Basin and its surroundings. In Tectonics and Structural Geology: Indian Context; Springer: Cham, Switzerland, 2019; pp. 135–218. [Google Scholar]
- Kinniburgh, D.; Smedley, P. Arsenic Contamination of Groundwater in Bangladesh; British Geological Survey: Keyworth, UK, 2001. [Google Scholar]
- Alam, L.; Miyauchi, N.; Shinagawa, A. Study on clay mineralogical characteristics of calcareous and noncalcareous soils of Bangladesh. Clay Sci. 1993, 9, 81–97. [Google Scholar]
- Halim, M.; Majumder, R.; Nessa, S.; Hiroshiro, Y.; Sasaki, K.; Saha, B.; Saepuloh, A.; Jinno, K. Evaluation of processes controlling the geochemical constituents in deep groundwater in Bangladesh: Spatial variability on arsenic and boron enrichment. J. Hazard. Mater. 2010, 180, 50–62. [Google Scholar] [CrossRef]
- Claassen, H.C. Guidelines and Techniques for Obtaining Water Samples That Accurately Represent the Water Chemistry of an Aquifer; US Geological Survey: Lakewood, CO, USA, 1982; Volume 82. [Google Scholar]
- APHA. Standard Methods for the Examination of Water and Wastewater; American Public Health Association, American Water Works Association and Water Pollution Control Federation: New York, NY, USA, 1985. [Google Scholar]
- Bangladesh Water Development Board (BWBD). Hydrogeological Study and Mathematical Modelling to Identify Sites for Installation of Observation Well Nests, Selection of Model Boundary, Supervision of Pumping Test, Slug Test, Assessment of Different Hydrogeological Parameters Collection and Conduct Chemical Analysis of Surface Water and Groundwater; Bangladesh Water Development Board: Dhaka, Bangladesh, 2013. [Google Scholar]
- Davis, J.C.; Sampson, R.J. Statistics and Data Analysis in Geology; Wiley: New York, NY, USA, 1986; Volume 646. [Google Scholar]
- Ward, J.H., Jr. Hierarchical grouping to optimize an objective function. J. Am. Stat. Assoc. 1963, 58, 236–244. [Google Scholar] [CrossRef]
- Lawley, D.N.; Maxwell, A.E. Factor analysis as a statistical method. J. R. Stat. Soc. Ser. D 1962, 12, 209–229. [Google Scholar] [CrossRef]
- Walraevens, K.; Van Camp, M. Advances in understanding natural groundwater quality controls in coastal aquifers. In Groundwater and Saline Intrusion. Selected Papers from the 18th SWIM Meeting, 1st ed.; IGGM: Madrid, Spain, 2005. [Google Scholar]
- Piper, A.M. A graphic procedure in the geochemical interpretation of water-analyses. Eos Trans. Am. Geophys. Union 1944, 25, 914–928. [Google Scholar] [CrossRef]
- Stuyfzand, P. A new hydrochemical classification of water types with examples of application to The Netherlands. H20 1986, 19, 562–568. [Google Scholar]
- Güler, C.; Thyne, G.D.; McCray, J.E.; Turner, K.A. Evaluation of graphical and multivariate statistical methods for classification of water chemistry data. Hydrogeol. J. 2002, 10, 455–474. [Google Scholar] [CrossRef]
- Fetter, C.W.; Boving, T.B.; Kreamer, D.K. Contaminant Hydrogeology; Prentice Hall: Upper Saddle River, NJ, USA, 1999; Volume 406. [Google Scholar]
- Dola, S.S.; Bahsar, K.; Islam, M.; Sarker, M.M.R. Hydrogeological classification and the correlation of groundwater chemistry with basin flow in the south-western part of Bangladesh. J. Bangladesh Acad. Sci. 2018, 42, 41–54. [Google Scholar] [CrossRef]
- Gerritse, R.G.; George, R.J. The role of soil organic matter in the geochemical cycling of chloride and bromide. J. Hydrol. 1988, 101, 83–95. [Google Scholar] [CrossRef]
- Davis, S.N.; Whittemore, D.O.; Fabryka-Martin, J. Uses of chloride/bromide ratios in studies of potable water. Groundwater 1998, 36, 338–350. [Google Scholar] [CrossRef]
- Alcalá, F.J.; Custodio, E. Using the Cl/Br ratio as a tracer to identify the origin of salinity in aquifers in Spain and Portugal. J. Hydrol. 2008, 359, 189–207. [Google Scholar] [CrossRef]
- Walraevens, K.; Van Camp, M. Advances in understanding natural groundwater quality controls in coastal aquifers. In Proceedings of the 18th Salt Water Intrusion Meeting, Cartagena, Spain, 31 May–3 June 2004. [Google Scholar]
- Islam, M.H.; Naznin, R.A.; Datta, N.; Solayman, H.M.; Hasan, R.; Jitu, S.P. Study on sanitation system at Muradia Union of Dumki upazilla in Patuakhali district. In Proceedings of the WasteSafe 2015—4th International Conference on Solid Waste Management in the Developing Countries, Khulna, Bangladesh, 15–17 February 2015. [Google Scholar]









| T | pH | EC | TDS | Na+ | K+ | Ca2+ | Mg2+ | FeTotal | MnTotal | Cl− | SO42− | NO3− | HCO3− | PO43− | Br− | |
|---|---|---|---|---|---|---|---|---|---|---|---|---|---|---|---|---|
| Upper Shallow Aquifer (USA) | ||||||||||||||||
| n | 51 | 51 | 51 | 51 | 51 | 51 | 51 | 51 | 51 | 51 | 51 | 51 | 51 | 51 | 51 | 51 |
| Max | 32.1 | 7.90 | 43,300 | 29,616 | 8848 | 246.8 | 862.1 | 1096.8 | 21.20 | 8.80 | 19,133 | 1130.0 | 131.5 | 1026 | 4.50 | 37.2 |
| Min | 26.6 | 5.70 | 709 | 423 | 13 | 1.5 | 1 | 2.3 | 0.02 | 0.02 | 13 | <0.1 | 0.1 | 24 | 0.08 | <0.1 |
| Med | 27.6 | 7.20 | 10,180 | 7012 | 1816 | 16.43 | 180 | 277.2 | 3.50 | 0.80 | 3820 | 1.0 | 4.0 | 159 | 0.41 | 0.5 |
| Ave | 27.86 | 7.22 | 11,103 | 7205 | 1913 | 34.8 | 219.4 | 266.1 | 6.18 | 1.31 | 4418 | 83.5 | 10.0 | 246 | 0.67 | 1.3 |
| Std | 1 | 0.41 | 8085 | 5328 | 1586 | 49.7 | 175.6 | 202.9 | 6.44 | 1.70 | 3492 | 240.4 | 20.2 | 198 | 0.79 | 5.1 |
| Lower Shallow Aquifer (LSA) | ||||||||||||||||
| n | 41 | 41 | 41 | 41 | 41 | 41 | 41 | 41 | 41 | 41 | 41 | 41 | 41 | 41 | 41 | 41 |
| Max | 31.1 | 8.80 | 15,960 | 10,209 | 2910 | 114.3 | 367 | 301.3 | 14.10 | 2.50 | 6850 | 11.0 | 30.0 | 600 | 1.09 | 0.7 |
| Min | 26.5 | 5.90 | 855 | 787 | 69 | 2.6 | 0.3 | 2 | 0.10 | 0.03 | 10 | <0.1 | 0.3 | 92 | 0.18 | <0.1 |
| Med | 27.9 | 7.38 | 3830 | 2622 | 567 | 12 | 70 | 85 | 2.52 | 0.20 | 1730 | <0.1 | 2.3 | 214 | 0.42 | 0.2 |
| Ave | 28.1 | 7.32 | 5087 | 3220 | 822 | 19.6 | 98.3 | 110.3 | 3.63 | 0.33 | 1912 | 1.5 | 3.8 | 240 | 0.51 | 0.2 |
| Std | 0.91 | 0.66 | 3940 | 2803 | 712 | 21.9 | 90.8 | 77.7 | 3.65 | 0.38 | 1765 | 2.5 | 4.9 | 124 | 0.23 | 0.2 |
| Deep Aquifer (DA) | ||||||||||||||||
| n | 70 | 70 | 70 | 70 | 70 | 70 | 70 | 70 | 70 | 70 | 70 | 70 | 70 | 70 | 70 | 70 |
| Max | 33 | 8.92 | 11,390 | 7592 | 2726 | 28.2 | 72.1 | 121 | 2.39 | 0.30 | 4350 | 26.7 | 35.1 | 736 | 8.38 | 91.6 |
| Min | 26.5 | 7.20 | 565 | 512 | 81 | 1.9 | 1.2 | 1.1 | 0.02 | <0.01 | 2 | <0.1 | <0.1 | 287 | 0.11 | <0.1 |
| Med | 28.4 | 8.22 | 976 | 787 | 205 | 3.2 | 7.4 | 3.7 | 0.17 | 0.01 | 51 | 0.9 | 5.0 | 495 | 1.41 | 0.4 |
| Ave | 28.6 | 8.13 | 1578 | 1104 | 317 | 4.8 | 11.1 | 9.2 | 0.24 | 0.04 | 256 | 2.3 | 6.4 | 492 | 2.03 | 3.7 |
| Std | 1.2 | 0.42 | 1943 | 1086 | 398 | 4.7 | 12.7 | 17.1 | 0.33 | 0.06 | 664 | 4.2 | 6.6 | 105 | 1.73 | 12.0 |
| pH | T | EC | TDS | Na+ | K+ | Ca2+ | Mg2+ | FeTotal | MnTotal | Cl− | SO4− | NO3− | HCO3− | PO43− | Br− | |
|---|---|---|---|---|---|---|---|---|---|---|---|---|---|---|---|---|
| pH | 1 | |||||||||||||||
| T | 0.20 | 1 | ||||||||||||||
| EC | −0.44 | −0.34 | 1 | |||||||||||||
| TDS | −0.44 | −0.34 | 1.00 | 1 | ||||||||||||
| Na+ | −0.39 | −0.32 | 0.98 | 0.99 | 1 | |||||||||||
| K+ | −0.27 | −0.28 | 0.81 | 0.81 | 0.84 | 1 | ||||||||||
| Ca2+ | −0.52 | −0.26 | 0.51 | 0.51 | 0.41 | 0.19 | 1 | |||||||||
| Mg2+ | −0.49 | −0.33 | 0.89 | 0.89 | 0.83 | 0.69 | 0.67 | 1 | ||||||||
| FeTotal | −0.50 | −0.16 | 0.36 | 0.37 | 0.30 | 0.05 | 0.53 | 0.45 | 1 | |||||||
| MnTotal | −0.25 | −0.26 | 0.61 | 0.59 | 0.55 | 0.44 | 0.41 | 0.50 | 0.08 | 1 | ||||||
| Cl− | −0.47 | −0.33 | 0.99 | 0.99 | 0.97 | 0.78 | 0.53 | 0.90 | 0.41 | 0.58 | 1 | |||||
| SO42− | −0.07 | −0.21 | 0.34 | 0.34 | 0.35 | 0.41 | 0.09 | 0.27 | −0.08 | 0.52 | 0.27 | 1 | ||||
| NO3− | −0.04 | −0.09 | 0.45 | 0.45 | 0.50 | 0.56 | −0.06 | 0.38 | −0.09 | 0.02 | 0.44 | 0.01 | 1 | |||
| HCO3− | 0.52 | 0.16 | −0.42 | −0.41 | −0.34 | −0.18 | −0.61 | −0.55 | −0.52 | −0.19 | −0.47 | 0.07 | −0.02 | 1 | ||
| PO43− | 0.52 | 0.08 | −0.31 | −0.29 | −0.26 | −0.19 | −0.35 | −0.34 | −0.28 | −0.27 | −0.31 | −0.14 | −0.02 | 0.42 | 1 | |
| Br− | 0.12 | 0.03 | 0.05 | 0.02 | 0.06 | 0.01 | −0.05 | −0.07 | −0.05 | −0.06 | 0.01 | −0.02 | 0.21 | 0.20 | 0.05 | 1 |
| Aquifer Type | Cluster Type | Number of Samples | Percentage of Samples |
|---|---|---|---|
| USA | Cluster A | 37 | 72 |
| Cluster B | 7 | 14 | |
| Cluster C | 7 | 14 | |
| LSA | Cluster A | 10 | 24 |
| Cluster B | 23 | 56 | |
| Cluster C | 8 | 20 | |
| DA | Cluster A | 1 | 2 |
| Cluster B | 3 | 4 | |
| Cluster C | 66 | 94 |
| Cluster | Statistics | pH | EC | TDS | Na+ | K+ | Ca2+ | Mg2+ | FeTotal | MnTotal | Cl− | SO42− | NO3− | HCO3− | Cl−/Br− | Na+/Cl− | Ca2+/SO42− |
|---|---|---|---|---|---|---|---|---|---|---|---|---|---|---|---|---|---|
| Cluster A | Maximum | 7.8 | 43,300 | 29,616 | 8848 | 247 | 862 | 1097 | 21.20 | 8.80 | 19,133 | 1130.0 | 131.5 | 641 | 637,767 | 1.7 | 183.0 |
| Minimum | 5.7 | 6450 | 4039 | 813 | 2 | 1 | 14 | 0.06 | 0.02 | 1525 | 0.0 | 0.1 | 24 | 3021 | 0.4 | 0.3 | |
| Mean | 7.1 | 13,634 | 8800 | 2362 | 43 | 240 | 309 | 6.52 | 1.41 | 5535 | 86.1 | 9.2 | 202 | 46,737 | 0.7 | 21.8 | |
| Median | 7.2 | 12,531 | 8303 | 2151 | 24 | 198 | 300 | 4.24 | 0.80 | 5038 | 1.0 | 4.3 | 131 | 12,349 | 0.6 | 12.6 | |
| Cluster B | Maximum | 8.6 | 6670 | 4244 | 1256 | 29 | 332 | 256 | 16.05 | 0.80 | 2620 | 13.1 | 6.6 | 512 | 55,250 | 33.0 | 27.4 |
| Minimum | 5.9 | 687 | 423 | 13 | 2 | 0 | 3 | 0.06 | 0.00 | 47 | 0.0 | 0.1 | 49 | 58 | 0.1 | 0.1 | |
| Mean | 7.3 | 2916 | 1834 | 420 | 11 | 95 | 80 | 3.87 | 0.27 | 982 | 2.0 | 2.3 | 229 | 7754 | 1.6 | 5.5 | |
| Median | 7.4 | 2790 | 1489 | 339 | 10 | 71 | 70 | 2.87 | 0.20 | 683 | 0.0 | 2.1 | 214 | 3000 | 0.7 | 3.0 | |
| Cluster C | Maximum | 8.9 | 11,390 | 7012 | 1984 | 36 | 186 | 226 | 9.95 | 1.31 | 3552 | 115.4 | 42.0 | 1026 | 27,500 | 131.7 | 3.3 |
| Minimum | 7.2 | 565 | 495 | 54 | 1 | 2 | 1 | 0.02 | 0.00 | 2 | 0.0 | 0.0 | 183 | 17 | 0.4 | 0.0 | |
| Mean | 8.1 | 1663 | 1158 | 324 | 6 | 17 | 16 | 0.50 | 0.08 | 291 | 3.5 | 7.3 | 489 | 765 | 10.0 | 0.3 | |
| Median | 8.2 | 1000 | 848 | 218 | 3 | 9 | 4 | 0.19 | 0.02 | 54 | 0.8 | 5.1 | 482 | 85 | 5.4 | 0.1 |
| Parameters | F1 | F2 | F3 | F4 |
|---|---|---|---|---|
| pH | −0.22 | −0.72 | −0.12 | 0.08 |
| T | −0.20 | −0.12 | −0.43 | 0.12 |
| EC | 0.83 | 0.34 | 0.41 | 0.04 |
| TDS | 0.84 | 0.33 | 0.4 | 0.01 |
| Na+ | 0.87 | 0.24 | 0.37 | 0.03 |
| K+ | 0.86 | −0.02 | 0.30 | −0.07 |
| Ca2+ | 0.16 | 0.75 | 0.35 | 0.01 |
| Mg2+ | 0.72 | 0.50 | 0.33 | −0.08 |
| FeTotal | 0.09 | 0.76 | 0.04 | 0.01 |
| MnTotal | 0.28 | 0.14 | 0.78 | 0.08 |
| Cl− | 0.83 | 0.39 | 0.36 | −0.01 |
| SO42− | 0.16 | −0.15 | 0.80 | 0.01 |
| NO3− | 0.81 | −0.18 | −0.29 | 0.15 |
| HCO3− | −0.21 | −0.78 | −0.01 | 0.22 |
| PO43− | 0.03 | −0.71 | 0.15 | −0.09 |
| Br− | 0.07 | −0.08 | −0.03 | 0.97 |
| Eigenvalue | 7.33 | 2.45 | 1.35 | 0.97 |
| Variance % | 46 | 15 | 8 | 6 |
| Cumulative % | 46 | 61 | 69 | 75 |
Publisher’s Note: MDPI stays neutral with regard to jurisdictional claims in published maps and institutional affiliations. |
© 2022 by the authors. Licensee MDPI, Basel, Switzerland. This article is an open access article distributed under the terms and conditions of the Creative Commons Attribution (CC BY) license (https://creativecommons.org/licenses/by/4.0/).
Share and Cite
Sarker, M.M.R.; Hermans, T.; Van Camp, M.; Hossain, D.; Islam, M.; Ahmed, N.; Bhuiyan, M.A.Q.; Karim, M.M.; Walraevens, K. Identifying the Major Hydrogeochemical Factors Governing Groundwater Chemistry in the Coastal Aquifers of Southwest Bangladesh Using Statistical Analysis. Hydrology 2022, 9, 20. https://doi.org/10.3390/hydrology9020020
Sarker MMR, Hermans T, Van Camp M, Hossain D, Islam M, Ahmed N, Bhuiyan MAQ, Karim MM, Walraevens K. Identifying the Major Hydrogeochemical Factors Governing Groundwater Chemistry in the Coastal Aquifers of Southwest Bangladesh Using Statistical Analysis. Hydrology. 2022; 9(2):20. https://doi.org/10.3390/hydrology9020020
Chicago/Turabian StyleSarker, Md. Mizanur Rahman, Thomas Hermans, Marc Van Camp, Delwar Hossain, Mazeda Islam, Nasir Ahmed, Md. Abdul Quaiyum Bhuiyan, Md. Masud Karim, and Kristine Walraevens. 2022. "Identifying the Major Hydrogeochemical Factors Governing Groundwater Chemistry in the Coastal Aquifers of Southwest Bangladesh Using Statistical Analysis" Hydrology 9, no. 2: 20. https://doi.org/10.3390/hydrology9020020
APA StyleSarker, M. M. R., Hermans, T., Van Camp, M., Hossain, D., Islam, M., Ahmed, N., Bhuiyan, M. A. Q., Karim, M. M., & Walraevens, K. (2022). Identifying the Major Hydrogeochemical Factors Governing Groundwater Chemistry in the Coastal Aquifers of Southwest Bangladesh Using Statistical Analysis. Hydrology, 9(2), 20. https://doi.org/10.3390/hydrology9020020

