Groundwater Variability in a Semi-Arid River Basin, Central India
Abstract
1. Introduction
2. Study Area
3. Materials and Methods
3.1. Data Sets
3.2. Data Processing
3.3. GWL Data Analysis
3.4. GWL Trend Analysis
3.5. Correlation between Rainfall and GWL Fluctuation
4. Results
4.1. Validation of Semivariogram Model
4.2. Seasonal Variability of GWL
4.3. GWL Fluctuation
4.4. Observed Trend in GWL
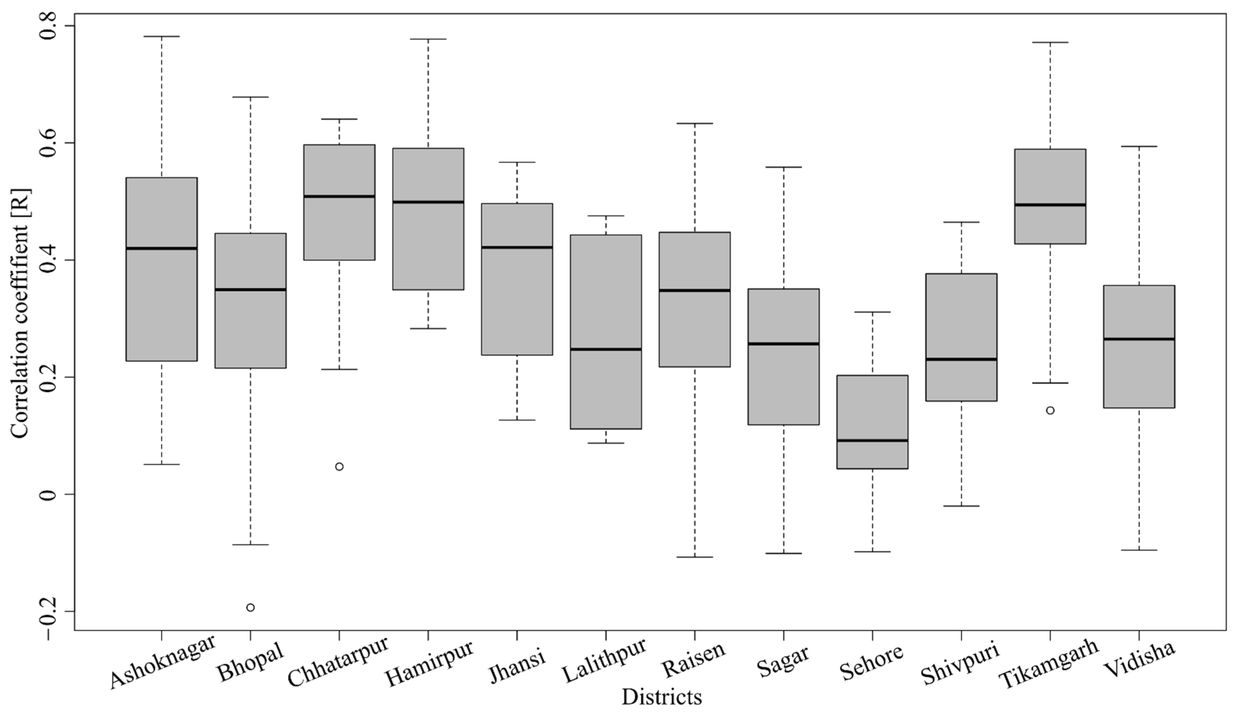
4.5. The Relationship between GWL Fluctuation and Rainfall
5. Discussion
5.1. Comparison between GWL Fluctuation and Rainfall
5.2. Influence of Monsoonal Rainfall
5.3. Anthropogenic Impacts on Groundwater
6. Conclusions
Author Contributions
Funding
Data Availability Statement
Acknowledgments
Conflicts of Interest
Appendix A
| Region | No. of Wells | Average Rainfall [mm] | Strong Correlation | Moderate Correlation Wells [%] | Weak Correlation Wells [%] | ||
|---|---|---|---|---|---|---|---|
| Positive (R > 0.7) | Positive (0.3 < R < 0.7) | Negative (−0.7 < R < −0.3) | Positive (3 > R > 0) | Negative (0 > R > −0.3) | |||
| Bhopal | 23 | 1078 | 4 | 43 | 0 | 51 | 10 |
| Chattarpur | 27 | 1046 | 0 | 78 | 0 | 22 | 0 |
| Raisen | 18 | 1200 | 0 | 50 | 0 | 44 | 12 |
| Ashoknagar | 16 | 947 | 6 | 63 | 0 | 31 | 0 |
| Sehore | 9 | 1104 | 0 | 33 | 0 | 67 | 11 |
| Sagar | 46 | 1094 | 0 | 17 | 2 | 83 | 26 |
| Shivpuri | 10 | 860 | 0 | 10 | 0 | 70 | 20 |
| Tikamgarh | 57 | 904 | 2 | 67 | 0 | 32 | 4 |
| Vidisha | 43 | 1123 | 0 | 26 | 0 | 74 | 14 |
| Hamirpur | 5 | 753 | 20 | 60 | 0 | 20 | 0 |
| Jhansi | 10 | 778 | 0 | 50 | 1 | 50 | 0 |
| Lalitpur | 12 | 903 | 0 | 42 | 0 | 58 | 25 |
| Mahoba | 1 | 822 | 0 | 100 | 0 | 0 | 0 |
| Aquifer | Transmissivity [m2/Day] | Hydraulic Conductivity [m/Day] | Thickness [m] |
|---|---|---|---|
| Older alluvium | 250–4000 | 10–800 | >150 |
| Sandstone and Shale | 10–600 | 0.1–10 | 50–180 |
| Basalt | 25–100 | 0.05–15 | 45–300 |
| Granite | 10–500 | 0.1–10 | 120–200 |
| Younger alluvium | 100–3309 | 10–645 | Up to 40 |
References
- Aeschbach-Hertig, W.; Gleeson, T. Regional Strategies for the Accelerating Global Problem of Groundwater Depletion. Nat. Geosci. 2012, 5, 853–861. [Google Scholar] [CrossRef]
- Gleeson, T.; VanderSteen, J.; Sophocleous, M.A.; Taniguchi, M.; Alley, W.M.; Allen, D.M.; Zhou, Y. Groundwater Sustainability Strategies. Nat. Geosci. 2010, 3, 378–379. [Google Scholar] [CrossRef]
- Wada, Y.; Van Beek, L.P.H.; Van Kempen, C.M.; Reckman, J.W.T.M.; Vasak, S.; Bierkens, M.F.P. Global Depletion of Groundwater Resources. Geophys. Res. Lett. 2010, 37, 1–5. [Google Scholar] [CrossRef]
- Dalin, C.; Wada, Y.; Kastner, T.; Puma, M.J. Groundwater Depletion Embedded in International Food Trade. Nature 2017, 543, 700–704. [Google Scholar] [CrossRef] [PubMed]
- Shah, T.; Molden, D.; Sakthivadivel, R.; Seckler, D. Global Groundwater Situation: Opportunities and Challenges. Econ. Political Wkly. 2001, 36, 4142–4150. [Google Scholar]
- Voss, K.A.; Famiglietti, J.S.; Lo, M.; De Linage, C.; Rodell, M.; Swenson, S.C. Groundwater Depletion in the Middle East from GRACE with Implications for Transboundary Water Management in the Tigris-Euphrates-Western Iran Region. Water Resour. Res. 2013, 49, 904–914. [Google Scholar] [CrossRef]
- Rodell, M.; Velicogna, I.; Famiglietti, J.S. Satellite-Based Estimates of Groundwater Depletion in India. Nature 2009, 460, 999–1002. [Google Scholar] [CrossRef]
- Jain, M.; Fishman, R.; Mondal, P.; Galford, G.L.; Bhattarai, N.; Naeem, S.; Lall, U.; DeFries, R.S. Groundwater Depletion Will Reduce Cropping Intensity in India. Sci. Adv. 2021, 7, eabd2849. [Google Scholar] [CrossRef]
- Zaveri, E.; Grogan, D.S.; Fisher-Vanden, K.; Frolking, S.; Lammers, R.B.; Wrenn, D.H.; Prusevich, A.; Nicholas, R.E. Invisible Water, Visible Impact: Groundwater Use and Indian Agriculture under Climate Change. Environ. Res. Lett. 2016, 11, 084005. [Google Scholar] [CrossRef]
- Konikow, L.F.; Kendy, E. Groundwater Depletion: A Global Problem. Hydrogeol. J. 2005, 13, 317–320. [Google Scholar] [CrossRef]
- Feng, W.; Zhong, M.; Lemoine, J.M.; Biancale, R.; Hsu, H.T.; Xia, J. Evaluation of Groundwater Depletion in North China Using the Gravity Recovery and Climate Experiment (GRACE) Data and Ground-Based Measurements. Water Resour. Res. 2013, 49, 2110–2118. [Google Scholar] [CrossRef]
- Thomas, B.F.; Famiglietti, J.S. Identifying Climate-Induced Groundwater Depletion in GRACE Observations. Sci. Rep. 2019, 9, 474. [Google Scholar] [CrossRef] [PubMed]
- Swain, S.; Taloor, A.K.; Dhal, L.; Sahoo, S.; Al-Ansari, N. Impact of Climate Change on Groundwater Hydrology: A Comprehensive Review and Current Status of the Indian Hydrogeology. Appl. Water Sci. 2022, 12, 120. [Google Scholar] [CrossRef]
- Panwar, S.; Chakrapani, G.J. Climate Change and Its Influence on Groundwater Resources. Curr. Sci. 2013, 105, 37–46. [Google Scholar]
- Wu, W.-Y.; Lo, M.-H.; Wada, Y.; Famiglietti, J.S.; Reager, J.T.; Yeh, P.J.-F.; Ducharne, A.; Yang, Z.-L. Divergent Effects of Climate Change on Future Groundwater Availability in Key Mid-Latitude Aquifers. Nat. Commun. 2020, 11, 3710. [Google Scholar] [CrossRef] [PubMed]
- McGrane, S.J. Impacts of Urbanisation on Hydrological and Water Quality Dynamics, and Urban Water Management: A Review. Hydrol. Sci. J. 2016, 61, 2295–2311. [Google Scholar] [CrossRef]
- Joshi, P.K.; Kumar, M.; Midha, N.; Paliwal, A. Assessing Areas Deforested by Coal Mining Activities through Satellite Remote Sensing Images and GIS in Parts of Korba, Chattisgarh. J. Indian Soc. Remote Sens. 2006, 34, 415–421. [Google Scholar] [CrossRef]
- Hutjes, R.; Kabat, P.; Running, S.; Shuttleworth, W.; Field, C.; Bass, B.; da Silva Dias, M.; Avissar, R.; Becker, A.; Claussen, M.; et al. Biospheric Aspects of the Hydrological Cycle. J. Hydrol. 1998, 212, 1–21. [Google Scholar] [CrossRef]
- DeFries, R.; Eshleman, K.N. Land-Use Change and Hydrologic Processes: A Major Focus for the Future. Hydrol. Process. 2004, 18, 2183–2186. [Google Scholar] [CrossRef]
- Zhang, L.; Dawes, W.R.; Walker, G.R. Response of Mean Annual Evapotranspiration to Vegetation Changes at Catchment Scale. Water Resour. Res. 2001, 37, 701–708. [Google Scholar] [CrossRef]
- Shankar, P.; Kulkarni, H.; Krishnana, S. India’s Groundwater Challenge and the Way Forward. Econ. Political Wkly. 2011, 46, 37–45. [Google Scholar]
- Mishra, V.; Asoka, A.; Vatta, K.; Lall, U. Groundwater Depletion and Associated CO2 Emissions in India. Earth’s Future 2018, 6, 1672–1681. [Google Scholar] [CrossRef]
- Asoka, A.; Wada, Y.; Fishman, R.; Mishra, V. Strong Linkage Between Precipitation Intensity and Monsoon Season Groundwater Recharge in India. Geophys. Res. Lett. 2018, 45, 5536–5544. [Google Scholar] [CrossRef]
- Sinha, R.; Gupta, S.; Nepal, S. Groundwater Dynamics in North Bihar Plains. Curr. Sci. 2018, 114, 2482–2493. [Google Scholar] [CrossRef]
- Annual Report 2013–14; Central Ground Water Board Ministry of Water Resources, River Development and Ganga Rejuvention: Faridabad, India, 2015; pp. 1–74.
- Annual Report 2007–2008; Central Ground Water Board Ministry of Water Resources Government of India: Faridabad, India, 2007; pp. 1–260.
- Banerjee, C.; Kumar, D.N. Assessment of Surface Water Storage Trends for Increasing Groundwater Areas in India. J. Hydrol. 2018, 562, 780–788. [Google Scholar] [CrossRef]
- Jeet, P.; Singh, D.K.; Sarangi, A. Groundwater Potential in a Drought Prone Betwa River Basin, Bundelkhand. Indian J. Agric. Sci. 2019, 89, 1623–1627. [Google Scholar] [CrossRef]
- Pandey, R.P.; Mishra, S.K.; Singh, R.; Ramasastri, K.S. Streamflow Drought Severity Analysis of Betwa River System (India). Water Resour. Manag. 2008, 22, 1127–1141. [Google Scholar] [CrossRef]
- Kumar, A.; Singh, A.; Gaurav, K. Assessing the Synergic Effect of Land Use and Climate Change on the Upper Betwa River Catchment in Central India under Present, Past, and Future Climate Scenarios. Environ. Dev. Sustain. 2022, 1–22. [Google Scholar] [CrossRef]
- Suryavanshi, S.; Pandey, A.; Chaube, U.C. Hydrological Simulation of the Betwa River Basin (India) Using the SWAT Model. Hydrol. Sci. J. 2017, 62, 960–978. [Google Scholar] [CrossRef]
- Pandey, A.; Dayal, D.; Palmate, S.S.; Mishra, S.K.; Himanshu, S.K.; Pandey, R.P. Long-Term Historic Changes in Temperature and Potential Evapotranspiration over Betwa River Basin. In Climate Impacts on Water Resources in India; Springer: Berlin/Heidelberg, Germany, 2021; pp. 267–286. [Google Scholar]
- Palmate, S.S.; Pandey, A.; Kumar, D.; Pandey, R.P.; Mishra, S.K. Climate Change Impact on Forest Cover and Vegetation in Betwa Basin, India. Appl. Water Sci. 2017, 7, 103–114. [Google Scholar] [CrossRef]
- Kumar, A.; Gaurav, K. Assessing the Impact of Climate and Land-Use Change on the Hydrological Response of the Upper Betwa River Basin. In Proceedings of the EGU General Assembly Conference Abstracts, Vienna, Austria, 19–30 April 2021; p. EGU21-14062. [Google Scholar]
- Helsel, D.R.; Hirsch, R.M. Statistical Methods in Water Resources, 4th-A3 ed.; United States Geological Survey: Reston, VA, USA, 2002. [Google Scholar]
- Lu, M.; Rogiers, B.; Beerten, K.; Gedeon, M.; Huysmans, M. Exploring River–Aquifer Interactions and Hydrological System Response Using Baseflow Separation, Impulse Response Modeling, and Time Series Analysis in Three Temperate Lowland Catchments. Hydrol. Earth Syst. Sci. 2022, 26, 3629–3649. [Google Scholar] [CrossRef]
- Shamsudduha, M.; Chandler, R.E.; Taylor, R.G.; Ahmed, K.M. Recent Trends in Groundwater Levels in a Highly Seasonal Hydrological System: The Ganges-Brahmaputra-Meghna Delta. Hydrol. Earth Syst. Sci. 2009, 13, 2373–2385. [Google Scholar] [CrossRef]
- Cleveland, R.B.; Cleveland, W.S.; McRae, J.E.; Terpenning, I. STL: A Seasonal-Trend Decomposition Procedure Based on Loess. J. Off. Stat. 1990, 6, 3–73. [Google Scholar]
- Carslaw, D.C. On the Changing Seasonal Cycles and Trends of Ozone at Mace Head, Ireland. Atmos. Chem. Phys. 2005, 5, 3441–3450. [Google Scholar] [CrossRef]
- Lafare, A.E.A.; Peach, D.W.; Hughes, A.G. Use of Seasonal Trend Decomposition to Understand Groundwater Behaviour in the Permo-Triassic Sandstone Aquifer, Eden Valley, UK. Hydrogeol. J. 2016, 24, 141–158. [Google Scholar] [CrossRef]
- Sakizadeh, M.; Mohamed, M.M.A.; Klammler, H. Trend Analysis and Spatial Prediction of Groundwater Levels Using Time Series Forecasting and a Novel Spatio-Temporal Method. Water Resour. Manag. 2019, 33, 1425–1437. [Google Scholar] [CrossRef]
- Xia, J.; Wu, X.; Zhan, C.; Qiao, Y.; Hong, S.; Yang, P.; Zou, L. Evaluating the Dynamics of Groundwater Depletion for an Arid Land in the Tarim Basin, China. Water 2019, 11, 186. [Google Scholar] [CrossRef]
- Beck, H.E.; Zimmermann, N.E.; McVicar, T.R.; Vergopolan, N.; Berg, A.; Wood, E.F. Present and Future Köppen-Geiger Climate Classification Maps at 1-Km Resolution. Sci. Data 2018, 5, 1–12. [Google Scholar] [CrossRef]
- Yao, L.; Huo, Z.; Feng, S.; Mao, X.; Kang, S.; Chen, J.; Xu, J.; Steenhuis, T.S. Evaluation of Spatial Interpolation Methods for Groundwater Level in an Arid Inland Oasis, Northwest China. Environ. Earth Sci. 2014, 71, 1911–1924. [Google Scholar] [CrossRef]
- Ahmadi, S.H.; Sedghamiz, A. Geostatistical Analysis of Spatial and Temporal Variations of Groundwater Level. Environ. Monit. Assess. 2007, 129, 277–294. [Google Scholar] [CrossRef]
- Negreiros, J.; Painho, M.; Aguilar, F.; Aguilar, M. Geographical Information Systems Principles of Ordinary Kriging Interpolator. J. Appl. Sci. 2010, 10, 852–867. [Google Scholar] [CrossRef]
- Cay, T.; Uyan, M. Spatial and Temporal Groundwater Level Variation Geostatistical Modeling in the City of Konya, Turkey. Water Environ. Res. 2009, 81, 2460–2470. [Google Scholar] [CrossRef] [PubMed]
- Kaur, L.; Rishi, M.S. Integrated Geospatial, Geostatistical, and Remote-Sensing Approach to Estimate Groundwater Level in North-Western India. Environ. Earth Sci. 2018, 77, 786. [Google Scholar] [CrossRef]
- Machiwal, D.; Mishra, A.; Jha, M.K.; Sharma, A.; Sisodia, S.S. Modeling Short-Term Spatial and Temporal Variability of Groundwater Level Using Geostatistics and GIS. Nat. Resour. Res. 2012, 21, 117–136. [Google Scholar] [CrossRef]
- Roy, P.S.; Meiyappan, P.; Joshi, P.K.; Kale, M.P.; Srivastav, V.K.; Srivasatava, S.K.; Behera, M.D.; Roy, A.; Sharma, Y.; Ramachandran, R.M.; et al. Decadal Land Use and Land Cover Classifications across India, 1985, 1995, 2005; ORNL Distributed Active Archive Center (ORNL DAAC): Oak Ridge, TN, USA, 2016. [Google Scholar]
- Clark, B.; DeFries, R.; Krishnaswamy, J. India’s Commitments to Increase Tree and Forest Cover: Consequences for Water Supply and Agriculture Production within the Central Indian Highlands. Water 2021, 13, 959. [Google Scholar] [CrossRef]
- Chandler, K.R.; Stevens, C.J.; Binley, A.; Keith, A.M. Influence of Tree Species and Forest Land Use on Soil Hydraulic Conductivity and Implications for Surface Runoff Generation. Geoderma 2018, 310, 120–127. [Google Scholar] [CrossRef]
- Owuor, S.O.; Guzha, A.C.; Rufino, M.C.; Pelster, D.E.; Breuer, L. Groundwater Recharge Rates and Surface Runoff Response to Land Use and Land Cover Changes in Semi-Arid Environments. Ecol. Process. 2016, 5, 16. [Google Scholar] [CrossRef]
- Bonsor, H.C.; MacDonald, A.M.; Ahmed, K.M.; Burgess, W.G.; Basharat, M.; Calow, R.C.; Dixit, A.; Foster, S.S.D.; Gopal, K.; Lapworth, D.J.; et al. Hydrogeological Typologies of the Indo-Gangetic Basin Alluvial Aquifer, South Asia. Hydrogeol. J. 2017, 25, 1377–1406. [Google Scholar] [CrossRef]
- GEC-2015 Report of the Ground Water Resources Estimation Committee (GEC-2015); Ministry of Water Resources, River Development & Ganga Rejuvenation Government of India: New Delhi, India, 2017; pp. 1–137.
- Ahmed, A.; Deb, D.; Mondal, S. Assessment of Rainfall Variability and Its Impact on Groundnut Yield in Bundelkhand Region of India. Curr. Sci. 2019, 117, 794–803. [Google Scholar] [CrossRef]
- Chourasia, L.P.; Jhariya, D.C. Water Crisis in the Bundelkhand Region: An Observation. IOP Conf. Ser. Earth Environ. Sci. 2020, 597, 012024. [Google Scholar] [CrossRef]
- Patle, D.; Awasthi, M.K. Past Two Decadal Groundwater Level Study in Tikamgarh District of Bundelkhand. J. Geol. Soc. India 2019, 94, 416–418. [Google Scholar] [CrossRef]
- Tiwari, A.; Joshi, S.K.; Tripathi, S.K.; Saxena, R. Spatial Pattern of Groundwater Recharge in Jhansi District in the Bundelkhand Region, Central India. Environ. Dev. Sustain. 2021, 23, 18618–18630. [Google Scholar] [CrossRef]
- Annual Report 2006–2007; Central Ground Water Board (CGWB) Ministry of Water Resources Goverment of India: Faridabad, India, 2006; pp. 1–284.
- Singh, A.; Gaurav, K.; Meena, G.K.; Kumar, S. Estimation of Soil Moisture Applying Modified Dubois Model to Sentinel-1; A Regional Study from Central India. Remote Sens. 2020, 12, 2266. [Google Scholar] [CrossRef]
- Saharwardi, M.S.; Mahadeo, A.S.; Kumar, P. Understanding Drought Dynamics and Variability over Bundelkhand Region. J. Earth Syst. Sci. 2021, 130, 122. [Google Scholar] [CrossRef]
- Mohanavelu, A.; Kasiviswanathan, K.S.; Mohanasundaram, S.; Ilampooranan, I.; He, J.; Pingale, S.M.; Soundharajan, B.S.; Mohaideen, M.M.D. Trends and Non-Stationarity in Groundwater Level Changes in Rapidly Developing Indian Cities. Water 2020, 12, 3209. [Google Scholar] [CrossRef]
- Kumar, M.D.; Perry, C.J. What Can Explain Groundwater Rejuvenation in Gujarat in Recent Years? Int. J. Water Resour. Dev. 2019, 35, 891–906. [Google Scholar] [CrossRef]
- Thakur, G.S.; Usmani, H.U.; Gupta, S.K. Bhimkund and Arjunkund Dolines, Chhatarpur District, Madhya Pradesh. J. Geol. Soc. India 2010, 76, 369–370. [Google Scholar] [CrossRef]
- Aquifer Maps and Ground Water Management Plan of Jhansi District, Uttar Pradesh; Central Ground Water Board (CGWB) Ministry of Water Resources, River Development and Ganga Rejuvenation Government of India: Lucknow, India, 2017; pp. 1–62.
- Porosity, Permeability, and Their Relationship in Granite, Basalt, and Tuff; Intera Environmental Consultants, Inc.: Houston, TX, USA, 1983; pp. 1–87.
- Bhanja, S.N.; Mukherjee, A.; Rangarajan, R.; Scanlon, B.R.; Malakar, P.; Verma, S. Long-Term Groundwater Recharge Rates across India by in Situ Measurements. Hydrol. Earth Syst. Sci. 2019, 23, 711–722. [Google Scholar] [CrossRef]
- Mankikar, T.Y. Aquifer Mapping and Management of Groundwater Resources of Hamirpur District, Uttar Pradesh; Central Ground Water Board Department of Water Resources, River Development and Ganga Rejuvenation, Ministry of Jal Shakti Government of India: Lucknow, India, 2018; pp. 1–72. [Google Scholar]
- Aquifer Systems of Madhya Pradesh; Cental Ground Water Board (CGWB) Ministry of Water Resources: Bhopal, India, 2013; pp. 1–78.
- Singh, D.K.; Singh, A.K. Groundwater Situation in India: Problems and Perspective. Int. J. Water Resour. Dev. 2002, 18, 563–580. [Google Scholar] [CrossRef]
- Roy, P.S.; Roy, A.; Joshi, P.K.; Kale, M.P.; Srivastava, V.K.; Srivastava, S.K.; Dwevidi, R.S.; Joshi, C.; Behera, M.D.; Meiyappan, P.; et al. Development of Decadal (1985–1995–2005) Land Use and Land Cover Database for India. Remote Sens. 2015, 7, 2401–2430. [Google Scholar] [CrossRef]
- Palmate, S.S.; Wagner, P.D.; Fohrer, N.; Pandey, A. Assessment of Uncertainties in Modelling Land Use Change with an Integrated Cellular Automata–Markov Chain Model. Environ. Model. Assess. 2022, 27, 275–293. [Google Scholar] [CrossRef]
- Palmate, S.S.; Pandey, A.; Mishra, S.K. Modelling Spatiotemporal Land Dynamics for a Trans-Boundary River Basin Using Integrated Cellular Automata and Markov Chain Approach. Appl. Geogr. 2017, 82, 11–23. [Google Scholar] [CrossRef]
- Kumar, M.; Denis, D.M.; Kundu, A.; Joshi, N.; Suryavanshi, S. Understanding Land Use/Land Cover and Climate Change Impacts on Hydrological Components of Usri Watershed, India. Appl. Water Sci. 2022, 12, 39. [Google Scholar] [CrossRef]
- Vijay Shankar, P.S. Four Decades of Agricultural Development in MP: An Agro-Ecological Sub-Region Approach. Econ. Political Wkly. 2005, 40, 5014–5024. [Google Scholar]













| Districts | No. Wells | Lithology | Minimum GWL | Maximum GWL | ||
|---|---|---|---|---|---|---|
| GWL [mbgl] | Period | GWL [mbgl] | Period | |||
| Ashoknagar | 16 | Basalt, sandstone, Shale | 1.03 | 1997 monsoon | 14.21 | 2015 Pre-monsoon |
| Bhopal | 23 | Basalt, sandstone, and Alluvium | 0.71 | 2006 monsoon | 16.71 | 2011 Pre-monsoon |
| Chhatarpur | 27 | Coarse-grained, Porphyritic Granite | 0.61 | 1996 monsoon | 13.36 | 2018 Pre-monsoon |
| Guna | - | Basalt | - | - | - | - |
| Raisen | 18 | Sandstone, Alluvium | 0.79 | 2013 monsoon | 12.81 | 1997 Pre-monsoon |
| Sagar | 46 | Basalt, Sandstone | 0.61 | 1993 monsoon | 16.89 | 1997 Pre-monsoon |
| Sehore | 9 | Basalt | 1.09 | 2009 post-monsoon | 13.44 | 2001 Pre-monsoon |
| Shivpuri | 10 | Coarse-grained, Porphyritic Granite, Sandstone | 2.78 | 2008 monsoon | 12.52 | 1995 Pre-monsoon |
| Tikamgarh | 57 | Coarse-grained, Porphyritic Granite | 1.29 | 1997 monsoon | 14.87 | 2001 Pre-monsoon |
| Vidisha | 43 | Basalt with newly formed Alluvium | 0.39 | 2005 monsoon | 19.94 | 1997 Pre-monsoon |
| Hamirpur | 5 | Alluvium | 0.91 | 2002 monsoon | 17.85 | 1997 Pre-monsoon |
| Jalaun | - | Alluvium | - | - | - | - |
| Jhansi | 10 | Coarse-grained, Porphyritic Granite, Alluvium | 0.31 | 2002 monsoon | 13.12 | 1997 Pre-monsoon |
| Lalitpur | 12 | Coarse-grained, Porphyritic Granite | 0.57 | 2002 monsoon | 10.89 | 1997 Pre-monsoon |
| Mahoba | 1 | Coarse-grained, Porphyritic Granite, Alluvium | 1.1 | 1999 monsoon | 12.3 | 2018 Pre-monsoon |
| Datasets | Source | Time Period | Data Type | Resolution | |
|---|---|---|---|---|---|
| Spatial | Temporal | ||||
| In-situ data | MPWRD | 1983–2018 | GWL | - | Seasonal (Pre, post, monsoon, and winter) |
| CGWB | 1996–2018 | GWL | - | Seasonal (Pre, post, monsoon, and winter) | |
| IMD | 1980–2018 | Rainfall | 0.25° | Daily | |
| Satellite data | SRTM | - | DEM | 30 m | Single |
| Geology | GSI | - | Lithology | 1:50,000 | Single |
| Population | Census India | 1990–2011 | Population | - | Decadal |
| Irrigation area source | MPKrishi.mp.gov.in (accessed on 20 June 2022) | 1960–2010 | Irrigation source | - | Decadal |
| Landuse/ landcover | Roy et al., 2015; Palmate et al., 2022, 2017 | 1995, 2005, 1998, 2008 | - | 30, 100 m | Decadal |
Publisher’s Note: MDPI stays neutral with regard to jurisdictional claims in published maps and institutional affiliations. |
© 2022 by the authors. Licensee MDPI, Basel, Switzerland. This article is an open access article distributed under the terms and conditions of the Creative Commons Attribution (CC BY) license (https://creativecommons.org/licenses/by/4.0/).
Share and Cite
Niranjannaik, M.; Kumar, A.; Beg, Z.; Singh, A.; Swarnkar, S.; Gaurav, K. Groundwater Variability in a Semi-Arid River Basin, Central India. Hydrology 2022, 9, 222. https://doi.org/10.3390/hydrology9120222
Niranjannaik M, Kumar A, Beg Z, Singh A, Swarnkar S, Gaurav K. Groundwater Variability in a Semi-Arid River Basin, Central India. Hydrology. 2022; 9(12):222. https://doi.org/10.3390/hydrology9120222
Chicago/Turabian StyleNiranjannaik, M., Amit Kumar, Zafar Beg, Abhilash Singh, Somil Swarnkar, and Kumar Gaurav. 2022. "Groundwater Variability in a Semi-Arid River Basin, Central India" Hydrology 9, no. 12: 222. https://doi.org/10.3390/hydrology9120222
APA StyleNiranjannaik, M., Kumar, A., Beg, Z., Singh, A., Swarnkar, S., & Gaurav, K. (2022). Groundwater Variability in a Semi-Arid River Basin, Central India. Hydrology, 9(12), 222. https://doi.org/10.3390/hydrology9120222

