A Near Real-Time Hydrological Information System for the Upper Danube Basin
Abstract
1. Introduction
2. Materials and Methods
2.1. Study Area
2.2. Data
2.3. COSERO Model
2.3.1. Data Requirements and Preprocessing
2.3.2. Parameter Calibration and Model Evaluation
2.4. Identification of Hydrometeorological Deficits: Thirty-Days Moving Window Quantile Threshold
2.5. Software Implementation
3. Results
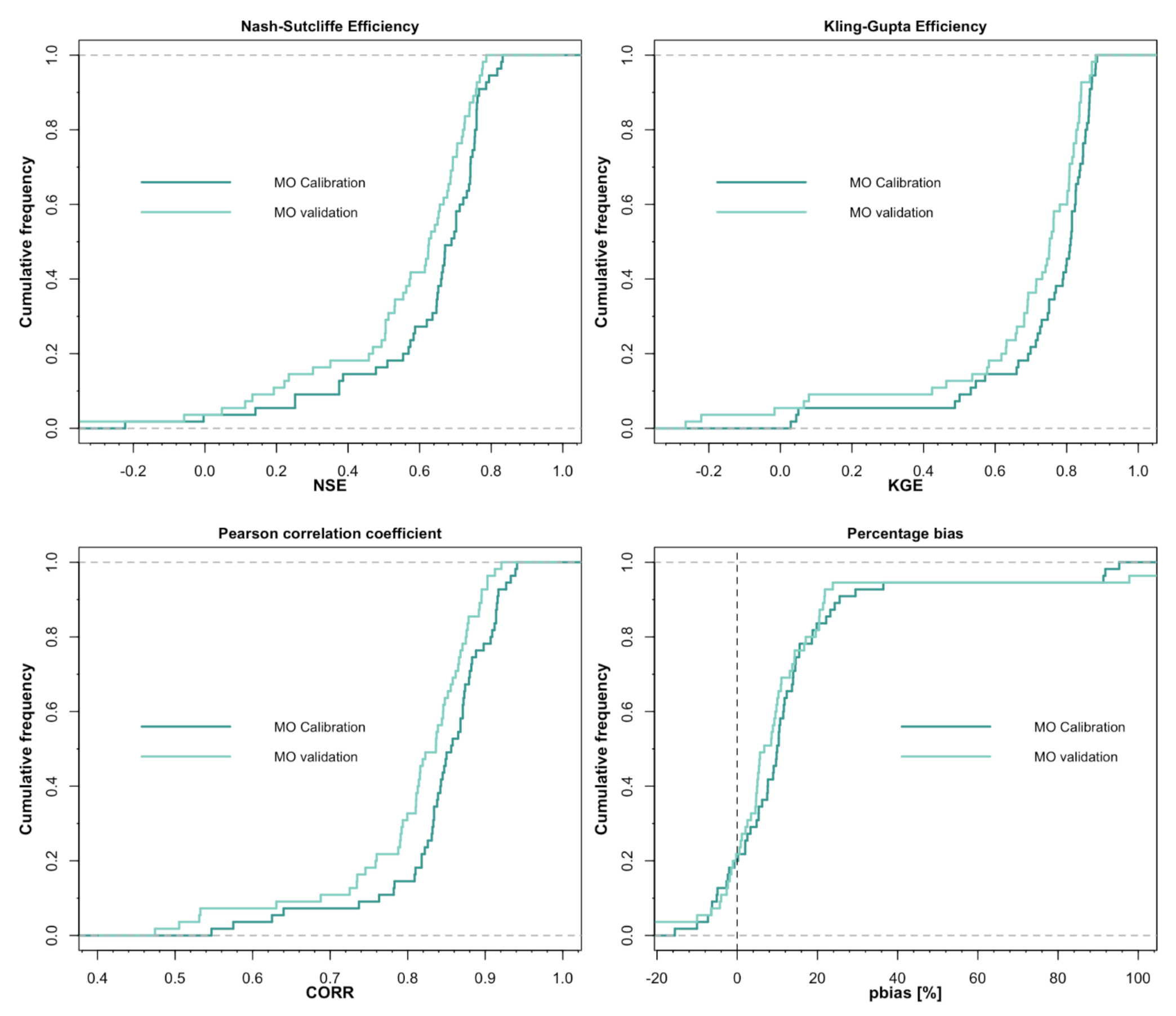
3.1. Calibration and Validation
3.2. Upper Danube HIS
3.2.1. Implementation
3.2.2. User Interface
3.2.3. System Capabilities
3.2.4. Potential Use Cases
4. Discussion
4.1. Uncertainties
4.2. Basins with Poor Simulation Performance
4.3. Limitations and Future Prospects
5. Conclusions
Author Contributions
Funding
Data Availability Statement
Acknowledgments
Conflicts of Interest
Appendix A
| Subbasin | River | Gauge | Subbasin | River | Gauge |
|---|---|---|---|---|---|
| 1 | Danube | NA | 34 | Danube ZEG RP East | Achleiten |
| 2 | Iller | Kempten | 35 | Kleine Mühl | Obermühl |
| 3 | Iller | Neu-Ulm Bad Held Donau | 36 | Grosse Mühl | Teufelmühle |
| 4 | Danube | NA | 37 | NA | Kropfmühle |
| 5 | Wörnitz | NA | 38 | NA | Fraham |
| 6 | Danube | Donauwörth | 39 | Grosse Rodl | Rottenegg |
| 7 | Lech | Lechbruck | 40 | Danube | Linz |
| 8 | Lech | Augsburg Wertach | 41 | Traun | Ebensee |
| 9 | Altmühl | Eichstätt | 42 | Traun | Lambach |
| 10 | Danube | Oberndorf | 43 | Traun | Wels-Lichtenegg |
| 11 | Naab | Heitzenhofen | 44 | Gusen | St. Georgen an der Gusen |
| 12 | Regen | Marienthal | 45 | Enns | Liezen (Röthelbrücke) |
| 13 | Danube | Schwabelweis | 46 | Enns | Kraftwerk Schönau |
| 14 | Danube ZEG RP West | Pfelling | 47 | Steyr | Pergern |
| 15 | Isar | Muenchen/Isar | 48 | Enns | Steyr (Ortskai) |
| 16 | Amper | Inkofen | 49 | Danube | Mauthausen |
| 17 | Isar | Plattling | 50 | Aist | Schwertberg |
| 18 | Danube ZEG RP Mitte | Hofkirchen | 51 | Naarn | Haid |
| 19 | Inn | Kajetans Bruecke | 52 | Isper | Isperdorf |
| 20 | Inn | Imst Bahnhof | 53 | Danube | Ybbs an der Donau |
| 21 | Inn | Jenbach Rotholz | 54 | Ybbs | Greimpersdorf |
| 22 | Inn | Oberaudorf | 55 | Erlauf | Niederndorf |
| 23 | Inn | Wasserburg | 56 | Weitenbach | Weitenegg |
| 24 | Alz | Altenmark oh Traun | 57 | Melk | Matzleinsdorf |
| 25 | Salzach | Bruck (Salzach) | 58 | Pielach | Hofstetten |
| 26 | Salzach | Salzburg | 59 | Danube | Kienstock |
| 27 | Saalach | Siezenheim | 60 | Krems | Imbach |
| 28 | Salzach | Ach/Burghausen | 61 | Kamp | Stiefern |
| 29 | Inn | Braunau/Simbach KW | 62 | Schmida | Hollenstein |
| 30 | Rott | Ruhstorf | 63 | Göllersbach | Obermallebarn |
| 31 | Inn | Ingling | 64 | Traisen | Windpassing |
| 32 | Vils | Grafenmuehle | 65 | Danube | Korneuburg |
| 33 | Ilz | Kaltenegg |

| Nr. | Parameter | Lower Constraint | Upper Constraint | Description |
|---|---|---|---|---|
| 1 | RAINTRT | 0 | 4 | Transition temperature above which precipitation is pure rain |
| 2 | SNOWTRT | −2 | 2 | Transition temperature below which precipitation is pure snow |
| 3 | CTMIN | 1 | 7 | Minimum snow melt factor on Dec 21 |
| 4 | CTMAX | 1 | 7 | Maximum snow melt factor on June 21 |
| 5 | NVAR | 0 | 10 | Variance for distributing new snowfall with a log-normal distribution |
| 6 | BETA | 0.1 | 10 | Parameter to compute runoff generation as a function of soil moisture |
| 7 | H1 | 1 | 20 | Outlet level of reservoir for simulating surface flow |
| 8 | TAB1 | 1 | 200 | Recession constant for simulating surface flow |
| 9 | M | 10 | 500 | Storage capacity of the soil |
| 10 | TVS1 | 1 | 400 | Recession constant for simulating percolation from the surface flow module |
| 11 | TVS2 | 1 | 1000 | Recession constant for simulating percolation from the inter flow module |
| 12 | H2 | 0 | 50 | Outlet level of reservoir for simulating inter flow |
| 13 | TAB2 | 1 | 500 | Recession constant for simulating inter flow |
| 14 | TAB3 | 10 | 10,000 | Recession constant for simulating base flow |
| 15 | TAB4 | 0.3 | 3 | Recession constant for simulating routing within a subbasin |
| 16 | FKFAK | 0.1 | 1 | Factor to compute ETA from ETP as a function of soil moisture |
| 17 | KBF | 1000 | 10,000 | Recession constant for simulating outflow from the soil module with a linear reservoir |
| Name | Description | Reference |
|---|---|---|
| abind | Combine Multidimensional Arrays | [59] |
| data.table | Extension of ‘data.frame’ | [60] |
| dygraphs | Interface to ‘Dygraphs’ Interactive Time Series Charting Library | [61] |
| ecmwfr | The ecwmfr package: an interface to ECMWF API endpoints | [48] |
| keyring | Access the System Credential Store from R | [62] |
| leaflet | Create Interactive Web Maps with the JavaScript ‘Leaflet’ Library | [63] |
| lfstat | Calculation of Low Flow Statistics for Daily Stream Flow Data | [50] |
| lubridate | Dates and Times Made Easy with lubridate | [64] |
| ncdf4 | Interface to Unidata netCDF (Version 4 or Earlier) Format Data Files | [65] |
| readr | Read Rectangular Text Data | [66] |
| rsconnect | Deployment Interface for R Markdown Documents and Shiny Applications | [67] |
| sf | Simple Features for R: Standardized Support for Spatial Vector Data | [68] |
| shiny | Web Application Framework for R | [49] |
| stringr | Simple, Consistent Wrappers for Common String Operations | [69] |
| taskscheduleR | Schedule R Scripts and Processes with the Windows Task Scheduler | [70] |
| tidyverse | Welcome to the tidyverse | [71] |
| xts | eXtensible Time Series | [72] |
| zoo | S3 Infrastructure for Regular and Irregular Time Series | [73] |
| Subbasin | River | Gauge | Calibration | Validation | ∆NSE | ∆KGE | ∆pbias | ||||
|---|---|---|---|---|---|---|---|---|---|---|---|
| NSE | KGE | pbias | NSE | KGE | pbias | ||||||
| 2 | Iller | Kempten | 0.73 | 0.86 | 2.02 | 0.61 | 0.80 | 6.73 | −0.12 | −0.06 | 4.71 |
| 3 | Iller | Neu-Ulm Bad Held | 0.76 | 0.86 | 7.62 | 0.69 | 0.84 | 3.42 | −0.07 | −0.02 | −4.20 |
| 6 | Danube | Donauwörth | 0.76 | 0.83 | 14.49 | 0.73 | 0.84 | 10.28 | −0.03 | 0.01 | −4.21 |
| 7 | Lech | Lechbruck | 0.58 | 0.75 | 7.66 | 0.46 | 0.63 | −1.48 | −0.12 | −0.12 | −6.18 |
| 8 | Lech | Augsburg Wertach | 0.67 | 0.81 | 9.08 | 0.51 | 0.75 | 5.54 | −0.16 | −0.06 | −3.54 |
| 9 | Altmühl | Eichstätt | 0.70 | 0.81 | 10.52 | 0.57 | 0.66 | 21.85 | −0.12 | −0.15 | 11.33 |
| 10 | Danube | Oberndorf | 0.76 | 0.86 | 6.21 | 0.70 | 0.81 | 4.94 | −0.05 | −0.05 | −1.27 |
| 11 | Naab | Heitzenhofen | 0.76 | 0.85 | 7.46 | 0.67 | 0.83 | 5.20 | −0.09 | −0.02 | −2.26 |
| 12 | Regen | Marienthal | 0.74 | 0.85 | 9.67 | 0.69 | 0.84 | 5.04 | −0.05 | 0.00 | −4.63 |
| 13 | Danube | Schwabelweis | 0.79 | 0.86 | 10.70 | 0.74 | 0.82 | 8.91 | −0.05 | −0.04 | −1.79 |
| 14 | Danube | Pfelling | 0.79 | 0.86 | 9.96 | 0.75 | 0.82 | 4.75 | −0.04 | −0.05 | −5.21 |
| 15 | Isar | Muenchen/Isar | 0.37 | 0.57 | 36.43 | 0.47 | 0.58 | 21.77 | 0.09 | 0.01 | −14.66 |
| 16 | Amper | Innkofen | 0.48 | 0.75 | 12.34 | 0.50 | 0.75 | 2.56 | 0.03 | 0.00 | −9.78 |
| 17 | Isar | Plattling | 0.55 | 0.79 | 11.80 | 0.62 | 0.75 | 0.52 | 0.07 | −0.04 | −11.28 |
| 18 | Danube | Hofkirchen | 0.76 | 0.85 | 11.48 | 0.76 | 0.83 | 4.69 | 0.00 | −0.02 | −6.79 |
| 19 | Inn | Kajetans Bruecke | 0.66 | 0.77 | 14.56 | 0.50 | 0.63 | 14.27 | −0.16 | −0.14 | −0.29 |
| 20 | Inn | Imst Bahnhof | 0.74 | 0.79 | 15.46 | 0.68 | 0.76 | 13.11 | −0.06 | −0.03 | −2.35 |
| 21 | Inn | Jenbach Rotholz | 0.71 | 0.75 | 18.59 | 0.72 | 0.76 | 17.09 | 0.01 | 0.01 | −1.50 |
| 22 | Inn | Oberaudorf | 0.75 | 0.82 | 13.96 | 0.65 | 0.76 | 14.34 | −0.10 | −0.05 | 0.38 |
| 23 | Inn | Wasserburg | 0.74 | 0.82 | 15.59 | 0.72 | 0.83 | 13.74 | −0.02 | 0.01 | −1.85 |
| 24 | Alz | Altenmark Traun | 0.51 | 0.73 | 24.29 | 0.35 | 0.69 | 23.84 | −0.16 | −0.03 | −0.45 |
| 25 | Salzach | Bruck(Salzach) | 0.65 | 0.81 | 2.55 | 0.68 | 0.84 | 0.89 | 0.03 | 0.02 | −1.66 |
| 26 | Salzach | Salzburg | 0.75 | 0.87 | 0.20 | 0.71 | 0.81 | −4.33 | −0.05 | −0.06 | 4.13 |
| 27 | Saalach | Siezenheim | 0.59 | 0.71 | 23.21 | 0.57 | 0.69 | 20.45 | −0.02 | −0.02 | −2.76 |
| 28 | Salzach | Ach/Burghausen | 0.74 | 0.86 | 3.32 | 0.69 | 0.82 | 5.43 | −0.06 | −0.04 | 2.11 |
| 30 | Rott | Ruhstorf | 0.00 | 0.03 | 95.26 | −0.06 | −0.27 | 125.03 | −0.05 | −0.29 | 29.77 |
| 31 | Inn | Ingling | 0.77 | 0.84 | 13.65 | 0.77 | 0.88 | 5.67 | 0.01 | 0.04 | −7.98 |
| 32 | Vils | Grafenmuehle | −0.22 | 0.05 | 91.33 | −0.56 | −0.22 | 115.24 | −0.34 | −0.27 | 23.91 |
| 33 | Ilz | Kaltenegg | 0.66 | 0.82 | −4.92 | 0.66 | 0.81 | −2.64 | −0.01 | −0.02 | −2.28 |
| 34 | Danube | Achleiten | 0.82 | 0.89 | 8.94 | 0.76 | 0.87 | 9.27 | −0.06 | −0.02 | 0.33 |
| 35 | Kleine Mühl | Obermühl | 0.64 | 0.81 | −6.47 | 0.62 | 0.75 | −2.33 | −0.01 | −0.05 | −4.14 |
| 36 | Grosse Mühl | Teufelmühle | 0.69 | 0.81 | −7.32 | 0.53 | 0.72 | −6.40 | −0.16 | −0.10 | −0.92 |
| 39 | Grosse Rodl | Rottenegg | 0.75 | 0.85 | 2.01 | 0.53 | 0.73 | 9.79 | −0.22 | −0.12 | 7.78 |
| 41 | Traun | Ebensee | 0.67 | 0.83 | −2.34 | 0.63 | 0.78 | −1.84 | −0.05 | −0.04 | −0.50 |
| 42 | Traun | Lambach | 0.76 | 0.84 | −2.02 | 0.73 | 0.80 | −1.08 | −0.03 | −0.04 | −0.94 |
| 44 | Gusen | St. Georgen Gusen | 0.65 | 0.70 | 25.54 | 0.50 | 0.69 | 20.55 | −0.14 | −0.01 | −4.99 |
| 45 | Enns | Liezen | 0.57 | 0.67 | 18.81 | 0.30 | 0.54 | 21.39 | −0.27 | −0.13 | 2.58 |
| 46 | Enns | Kraftwerk Schönau | 0.70 | 0.85 | 5.34 | 0.56 | 0.74 | 10.89 | −0.14 | −0.11 | 5.55 |
| 47 | Steyr | Pergern | 0.65 | 0.80 | −6.27 | 0.63 | 0.81 | −0.25 | −0.02 | 0.01 | −6.02 |
| 48 | Enns | Steyr (Ortskai) | 0.74 | 0.87 | −0.68 | 0.69 | 0.84 | 4.53 | −0.05 | −0.04 | 3.85 |
| 50 | Aist | Schwertberg | 0.62 | 0.66 | 29.50 | 0.62 | 0.71 | 19.57 | 0.00 | 0.05 | −9.93 |
| 51 | Naarn | Haid | 0.67 | 0.73 | 22.19 | 0.55 | 0.66 | 16.71 | −0.12 | −0.07 | −5.48 |
| 52 | Isper | Isperdorf | 0.65 | 0.77 | 4.84 | 0.49 | 0.68 | 10.01 | −0.15 | −0.09 | 5.17 |
| 54 | Ybbs | Greimpersdorf | 0.72 | 0.80 | −10.04 | 0.77 | 0.83 | −4.02 | 0.05 | 0.04 | −6.02 |
| 55 | Erlauf | Niederndorf | 0.70 | 0.83 | −5.10 | 0.74 | 0.76 | 1.13 | 0.04 | −0.07 | −3.97 |
| 56 | Weitenbach | Weitenegg | 0.57 | 0.69 | 11.64 | 0.19 | 0.58 | 20.42 | −0.38 | −0.11 | 8.78 |
| 57 | Melk | Matzleinsdorf | 0.25 | 0.04 | 91.80 | 0.23 | −0.02 | 97.75 | −0.02 | −0.06 | 5.95 |
| 58 | Pielach | Hofstetten | 0.66 | 0.72 | −15.56 | 0.64 | 0.62 | −10.02 | −0.02 | −0.10 | −5.54 |
| 59 | Danube | Kienstock | 0.83 | 0.88 | 10.36 | 0.79 | 0.87 | 9.52 | −0.05 | −0.01 | −0.84 |
| 60 | Krems | Imbach | 0.39 | 0.50 | 19.80 | 0.11 | 0.42 | 11.03 | −0.27 | −0.08 | −8.77 |
| 61 | Kamp | Stiefern | 0.37 | 0.49 | 13.93 | 0.22 | 0.46 | 8.58 | −0.15 | −0.02 | −5.35 |
| 62 | Schmida | Hollenstein | 0.25 | 0.55 | 5.38 | 0.13 | 0.08 | −40.34 | −0.12 | −0.47 | 34.96 |
| 63 | Göllersbach | Obermallebarn | 0.14 | 0.53 | 9.82 | 0.05 | 0.07 | −44.20 | −0.09 | −0.47 | 34.38 |
| 64 | Traisen | Windpassing | 0.70 | 0.82 | −2.67 | 0.65 | 0.68 | 2.08 | −0.05 | −0.14 | −0.59 |
| 65 | Danube | Korneuburg | 0.83 | 0.88 | 10.38 | 0.78 | 0.87 | 8.44 | −0.05 | −0.01 | −1.94 |
| Min | −0.22 | 0.03 | −15.56 | −0.56 | −0.27 | −44.20 | −0.38 | −0.47 | −14.66 | ||
| Max | 0.83 | 0.89 | 95.26 | 0.79 | 0.88 | 125.03 | 0.09 | 0.05 | 34.96 | ||
| Mean | 0.62 | 0.74 | 13.21 | 0.55 | 0.67 | 11.60 | −0.08 | −0.07 | 0.41 | ||
| Median | 0.69 | 0.81 | 9.96 | 0.63 | 0.75 | 6.73 | −0.05 | −0.04 | −1.79 | ||
Appendix B

| Calibration | Validation | Difference | |||||||
|---|---|---|---|---|---|---|---|---|---|
| Subbasin | NSE | KGE | pbias | NSE | KGE | pbias | ∆NSE | ∆KGE | ∆pbias |
| 15 | 0.37 | 0.57 | 36.43 | 0.47 | 0.58 | 21.77 | 0.09 | 0.01 | −14.66 |
| 16 | 0.48 | 0.75 | 12.34 | 0.50 | 0.75 | 2.56 | 0.03 | 0.00 | −9.78 |
| 30 | 0.00 | 0.03 | 95.26 | −0.06 | −0.27 | 125.03 | −0.05 | −0.29 | 29.77 |
| 32 | −0.22 | 0.05 | 91.33 | −0.56 | −0.22 | 115.24 | −0.34 | −0.27 | 23.91 |
| 57 | 0.25 | 0.04 | 91.80 | 0.23 | −0.02 | 97.75 | −0.02 | −0.06 | 5.95 |
| 60 | 0.39 | 0.50 | 19.80 | 0.11 | 0.42 | 11.03 | −0.27 | −0.08 | −8.77 |
| 61 | 0.37 | 0.49 | 13.93 | 0.22 | 0.46 | 8.58 | −0.15 | −0.02 | −5.35 |
| 62 | 0.25 | 0.55 | 5.38 | 0.13 | 0.08 | −40.34 | −0.12 | −0.47 | 34.96 |
| 63 | 0.14 | 0.53 | 9.82 | 0.05 | 0.07 | −44.20 | −0.09 | −0.47 | 34.38 |









References
- Frew, J.E.; Dozier, J. Environmental Informatics. Annu. Rev. Environ. Resour. 2012, 37, 449–472. [Google Scholar] [CrossRef]
- Moraga, P. SpatialEpiApp: A Shiny web application for the analysis of spatial and spatio-temporal disease data. Spat. Spatio-temporal Epidemiol. 2017, 23, 47–57. [Google Scholar] [CrossRef]
- Wojciechowski, J.; Hopkins, A.; Upton, R.N. Interactive Pharmacometric Applications Using R and the Shiny Package. CPT: Pharmacometrics Syst. Pharmacol. 2015, 4, 146–159. [Google Scholar] [CrossRef]
- BMLRT. eHYD—der Zugang zu Hydrographischen Daten Österreichs. 2020. Available online: https://ehyd.gv.at/ (accessed on 22 December 2020).
- Land Salzburg. Hydris Online. 2020. Available online: https://www.salzburg.gv.at/wasser/hydro/#/Fliessgew%C3%A4sser (accessed on 22 December 2020).
- Zink, M.; Samaniego, L.; Kumar, R.; Thober, S.; Mai, J.; Schäfer, D.; Marx, A. The German drought monitor. Environ. Res. Lett. 2016, 11, 074002. [Google Scholar] [CrossRef]
- SMHI. HypeWeb-Scientific Estimates of Past, Present and Future Water Resources, HypeWeb. 2020. Available online: https://hypeweb.smhi.se/ (accessed on 6 February 2021).
- CEMS-a. Copernicus European Emergency System CEMS—European Flood Awareness System EFAS. 2020. Available online: https://www.efas.eu/ (accessed on 6 February 2021).
- CEMS-b. Global Flood Awareness System GloFAS—Global Ensemble Streamflow Forecasting and Flood Forecasting. 2020. Available online: https://www.globalfloods.eu/ (accessed on 6 February 2021).
- Sabater, J.M. ERA5-Land hourly data from 1981 to present. Copernicus Climate Change Service (C3S) Climate Data Store (CDS). 2019. [Google Scholar] [CrossRef]
- Herrnegger, M.; Senoner, T.; Klotz, D.; Wesemann, J.; Nachtnebel, H.; Schulz, K. COSERO—Handbook 2015 Version 2.0; Institute of Water Management, Hydrology and Hydraulic Engineering: Vienna, Austria, 2015. [Google Scholar]
- Van Loon, A.F. Hydrological drought explained. Wiley Interdiscip. Rev. Water 2015, 2, 359–392. [Google Scholar] [CrossRef]
- Stagl, J.C.; Hattermann, F.F. Impacts of Climate Change on the Hydrological Regime of the Danube River and Its Tributaries Using an Ensemble of Climate Scenarios. Water 2015, 7, 6139–6172. [Google Scholar] [CrossRef]
- Coppola, E.; Verdecchia, M.; Giorgi, F.; Colaiuda, V.; Tomassetti, B.; Lombardi, A. Changing hydrological conditions in the Po basin under global warming. Sci. Total Environ. 2014, 493, 1183–1196. [Google Scholar] [CrossRef] [PubMed]
- Beyene, B.S.; van Loon, A.F.; van Lanen, H.A.J.; Torfs, P.J.J.F. Investigation of variable threshold level approaches for hydrological drought identification. Hydrol. Earth Syst. Sci. Discuss. 2014, 11, 12765–12797. [Google Scholar] [CrossRef]
- BMLRT. Pegel aktuell Web Feature Service; Bundesministerium Landwirtschaft, Regionen und Tourismus: Wien, Austria, 2020. [Google Scholar]
- ICPDR. Danube Basin: Facts & Figures. International Commission for the Protection of the Danube River. Available online: https://www.icpdr.org/flowpaper/viewer/default/files/nodes/documents/icpdr_facts_figures.pdf (accessed on 1 December 2020).
- Wesemann, J.; Holzmann, H.; Schulz, K.; Herrnegger, M. Behandlung künstlicher Speicher und Überleitungen in der alpinen Niederschlags-Abfluss-Vorhersage. Osterr. Wasser Abfallwirtsch. 2018, 70, 485–496. [Google Scholar] [CrossRef][Green Version]
- Copernicus. Coperenicus (clc2018). Available online: https://land.copernicus.eu/pan-european/corine-land-cover/clc2018 (accessed on 13 April 2019).
- OpenStreetMap Foundation. OpenStreetMap. OpenStreetMap. 2017. Available online: https://www.openstreetmap.org/copyright/en (accessed on 7 November 2020).
- Eurostat. Dataset—EU Countries. Eurostat—Your Key to European Statistics. Available online: https://ec.europa.eu/eurostat/web/gisco/geodata/reference-data/administrative-units-statistical-units/countries (accessed on 6 November 2020).
- EFSA; JRC. Soil Map 15—Topseoil Texture Class. European Food Safety Athority (EFSA) Data and EU Joint Reserach Centre (JRC). 2020. Available online: https://esdac.jrc.ec.europa.eu/content/european-food-safety-authority-efsa-data-persam-software-tool (accessed on 13 April 2019).
- Santos, I.M.; Herrnegger, M.; Holzmann, H. Seasonal discharge forecasting for the Upper Danube. J. Hydrol. Reg. Stud. 2021. submitted for publication. [Google Scholar]
- GKD, “Abflussdaten Bayern,” Gewässerkundlicher Dienst Bayern. 2020. Available online: https://www.gkd.bayern.de/de/fluesse/abfluss (accessed on 27 December 2020).
- Copernicus Climate Change Service (C3S). ERA5: Fifth Generation of ECMWF Atmospheric Reanalyses of the Global Climate. Copernicus Climate Change Service Climate Data Store (CDS). Available online: https://cds.climate.copernicus.eu/cdsapp#!/home (accessed on 29 January 2020).
- ECMWF. The family of ERA5 Datasets—Copernicus Knowledge Base—ECMWF Confluence Wiki. 2020. Available online: https://confluence.ecmwf.int/display/CKB/The+family+of+ERA5+datasets (accessed on 28 December 2020).
- Beven, K. Rainfall-Runoff Modelling; John Wiley & Sons: Hoboken, NJ, USA, 2012. [Google Scholar]
- Dingman, S.L. Physical Hydrology, 3rd ed.; Waveland Press: Long Grove, IL, USA, 2015. [Google Scholar]
- Nachtnebel, H.P.; Baumung, S.; Lettl, W. Abflußprognosemodell für das Einzugsgebiet der Enns und der Steyr Report; Institute of Water Management, Hydology and Hydraulic Engineering, University of Natural Resources and Applied Life Sciences: Vienna, Austria, 1993. [Google Scholar]
- Nachtnebel, H.P.; Hebenstreit, K.; Diernhofer, W.; Fuchs, W. Auswirkungen von Klimaänderungen auf die Hydrologie alpiner Einzugsgebiete; Österreichische Abfall- und Wasserwirtschaft: Wien, Austria, 1999; Volume 51, pp. 262–275. [Google Scholar]
- Stanzel, P.; Nachtnebel, H.P. Mögliche Auswirkungen des Klimawandels auf den Wasserhaushalt und die Wasserkraftnutzung in Österreich. Österr. Wasser Abfallw. 2010, 62, 180–187. [Google Scholar] [CrossRef]
- Herrnegger, M.; Nachtnebel, H.-P.; Haiden, T. Evapotranspiration in high alpine catchments—An important part of the water balance! Hydrol. Res. 2012, 43, 460–475. [Google Scholar] [CrossRef]
- Wesemann, J.; Herrnegger, M.; Schulz, K. Hydrological modelling in the anthroposphere: Predicting local runoff in a heavily modified high-alpine catchment. J. Mt. Sci. 2018, 15, 921–938. [Google Scholar] [CrossRef]
- Kling, H.; Stanzel, P.; Fuchs, M.; Nachtnebel, H.-P. Performance of the COSERO precipitation–runoff model under non-stationary conditions in basins with different climates. Hydrol. Sci. J. 2015, 60, 1374–1393. [Google Scholar] [CrossRef]
- Burgholzer, R. Comparison of manual and automatic Parameter Calibration of the R-R-Model COSERO for the Mur catchment. Master’s Thesis, Universität für Bodenkultur, Wien, Austria, 2017. [Google Scholar]
- Herrnegger, M.; Klotz, D.; Wesemann, J.; Nachtnebel, H.P.; Schulz, K. RAINFALL-RUNOFF-MODEL COSERO Handbook 2015; Institute for Hydrology and Water Management, University of Applied Life Sciences: Vienna, Austria, 2015. [Google Scholar]
- Tolson, B.A.; Shoemaker, C.A. Dynamically dimensioned search algorithm for computationally efficient watershed model calibration. Water Resour. Res. 2007, 43. [Google Scholar] [CrossRef]
- Nash, J.; Sutcliffe, J. River flow forecasting through conceptual models part I—A discussion of principles. J. Hydrol. 1970, 10, 282–290. [Google Scholar] [CrossRef]
- Gupta, H.; Kling, H.; Yilmaz, K.K.; Martinez, G.F. Decomposition of the mean squared error and NSE performance criteria: Implications for improving hydrological modelling. J. Hydrol. 2009, 377, 80–91. [Google Scholar] [CrossRef]
- Krause, P.; Boyle, D.P.; Bäse, F. Comparison of different efficiency criteria for hydrological model assessment. Adv. Geosci. 2005, 5, 89–97. [Google Scholar] [CrossRef]
- Duan, Q. Global optimization for watershed model calibration. Calibration Watershed Models 2003, 6, 89–104. [Google Scholar] [CrossRef]
- Vrugt, J.A.; Gupta, H.; Bastidas, L.A.; Bouten, W.; Sorooshian, S. Effective and efficient algorithm for multiobjective optimization of hydrologic models. Water Resour. Res. 2003, 39. [Google Scholar] [CrossRef]
- Deb, K.; Sundar, J.; Bhaskara, R.N.U.; Chaudhuri, S. Reference Point Based Multi-Objective Optimization Using Evolutionary Algorithms. Int. J. Comput. Intell. Res. 2006, 2. [Google Scholar] [CrossRef]
- Yapo, P.O.; Gupta, H.; Sorooshian, S. Multi-objective global optimization for hydrologic models. J. Hydrol. 1998, 204, 83–97. [Google Scholar] [CrossRef]
- Van Loon, A.F.; Laaha, G. Hydrological drought severity explained by climate and catchment characteristics. J. Hydrol. 2015, 526, 3–14. [Google Scholar] [CrossRef]
- R Core Team. R: A Language and Environment for Statistical Computing; R Foundation for Statistical Computing: Vienna, Austria, 2020. [Google Scholar]
- Slater, L.J.; Thirel, G.; Harrigan, S.; Delaigue, O.; Hurley, A.; Khouakhi, A.; Prosdocimi, I.; Vitolo, C.; Smith, K. Using R in hydrology: A review of recent developments and future directions. Hydrol. Earth Syst. Sci. 2019, 23, 2939–2963. [Google Scholar] [CrossRef]
- Hufkens, K.; Stauffer, R.; Campitelli, E. The ecwmfr package: An interface to ECMWF API endpoints. Zenodo 2019. [Google Scholar] [CrossRef]
- Winston Chang, J.C.; Allaire, J.J.; Xie, Y.; McPherson, J. Shiny: Web Application Framework for R. R Package Version 1.4.0. Available online: https://CRAN.R-project.org/package=shiny (accessed on 22 September 2021).
- Koffler, D.; Gauster, T.; Laaha, G. lfstat: Calculation of Low Flow Statistics for Daily Stream Flow Data. 2016. Available online: https://CRAN.R-project.org/package=lfstat (accessed on 22 September 2021).
- Klingler, C.; Schulz, K.; Herrnegger, M. LamaH|Large-Sample Data for Hydrology and Environmental Sciences for Central Europe. Earth Syst. Sci. Data Discuss. 2021, 13, 1–46. [Google Scholar] [CrossRef]
- Lehner, B.; Liermann, C.R.; Revenga, C.; Vorosmarty, C.J.; Fekete, B.M.; Crouzet, P.; Döll, P.; Endejan, M.; Frenken, K.; Magome, J.; et al. High-resolution mapping of the world’s reservoirs and dams for sustainable river-flow management. Front. Ecol. Environ. 2011, 9, 494–502. [Google Scholar] [CrossRef]
- Mulligan, M.; Van Soesbergen, A.; Sáenz, L. GOODD, a global dataset of more than 38,000 georeferenced dams. Sci. Data 2020, 7, 1–8. [Google Scholar] [CrossRef]
- Tarek, M.; Brissette, F.P.; Arsenault, R. Evaluation of the ERA5 reanalysis as a potential reference dataset for hydrological modelling over North America. Hydrol. Earth Syst. Sci. 2020, 24, 2527–2544. [Google Scholar] [CrossRef]
- Koch, F.; Prasch, M.; Bach, H.; Mauser, W.; Appel, F.; Weber, M. How Will Hydroelectric Power Generation Develop under Climate Change Scenarios? A Case Study in the Upper Danube Basin. Energies 2011, 4, 1508–1541. [Google Scholar] [CrossRef]
- Giudici, F.; Anghileri, D.; Castelletti, A.; Burlando, P. Descriptive or normative: How does reservoir operations modeling influence hydrological simulations under climate change? J. Hydrol. 2021, 595, 125996. [Google Scholar] [CrossRef]
- Stanzel, P.; Kahl, B.; Haberl, U.; Herrnegger, M.; Nachtnebel, H.P. Continuous hydrological modelling in the context of real time flood forecasting in alpine Danube tributary catchments. IOP Conf. Ser. Earth Environ. Sci. 2008, 4. [Google Scholar] [CrossRef]
- Feigl, M.; Lebiedzinski, K.; Herrnegger, M.; Schulz, K. Machine-learning methods for stream water temperature prediction. Hydrol. Earth Syst. Sci. 2021, 25, 2951–2977. [Google Scholar] [CrossRef]
- Plate, T.; Heidberger, R. abind: Combine Multidimensional Arrays. 2016. Available online: https://CRAN.R-project.org/package=abind (accessed on 22 September 2021).
- Dowle, M.; Srinivasan, A.; Gorecki, J.; Chirico, M.; Stetsenko, P.; Short, T.; Lianoglou, S.; Antonyan, E.; Bonsch, M.; Parsonage, H.; et al. data.table: Extension of “data.frame”. Available online: https://CRAN.R-project.org/package=data.table (accessed on 22 September 2021).
- Vanderkam, D.; Allaire, J.; Owen, J.; Gromer, D.; Thieurmel, B. Dygraphs: Interface to “Dygraphs” Interactive Time Series Charting Library. 2018. Available online: https://CRAN.R-project.org/package=dygraphs (accessed on 22 September 2021).
- Csárdi, G. Keyring: Access the System Credential Store from R. 2018. Available online: https://CRAN.R-project.org/package=keyring (accessed on 22 September 2021).
- Cheng, J.; Karambelkar, B.; Xie, Y. Leaflet: Create Interactive Web Maps with the JavaScript “Leaflet” Library. 2021. Available online: https://CRAN.R-project.org/package=leaflet (accessed on 22 September 2021).
- Grolemund, G.; Wickham, H. Dates and Times Made Easy with lubridate. J. Stat. Softw. 2011, 40, 1–25. [Google Scholar]
- Pierce, D. ncdf4: Interface to Unidata netCDF (Version 4 or Earlier) Format Data Files. 2021. Available online: https://CRAN.R-project.org/package=ncdf4 (accessed on 22 September 2021).
- Wickham, H.; Hester, J.; Francois, R. readr: Read Rectangular Text Data. Available online: https://CRAN.R-project.org/package=readr (accessed on 22 September 2021).
- Allaire, J. rsconnect: Deployment Interface for R Markdown Documents and Shiny Applications. 2019. Available online: https://CRAN.R-project.org/package=rsconnect (accessed on 22 September 2021).
- Pebesma, E. Simple Features for R: Standardized Support for Spatial Vector Data. R J. 2018, 10, 439–446. [Google Scholar] [CrossRef]
- Wickham, H. stringr: Simple, Consistent Wrappers for Common String Operations. Available online: https://CRAN.R-project.org/package=stringr (accessed on 22 September 2021).
- Wijffels, J.; Belmans, O. TaskscheduleR: Schedule R Scripts and Processes with the Windows Task Scheduler. 2018. Available online: https://CRAN.R-project.org/package=taskscheduleR (accessed on 22 September 2021).
- Wickham, H.; Averick, M.; Bryan, J.; Chang, W.; McGowan, L.; François, R.; Grolemund, G.; Hayes, A.; Henry, L.; Hester, J.; et al. Welcome to the Tidyverse. J. Open Source Softw. 2019, 4, 1686. [Google Scholar] [CrossRef]
- Ryan, J.A.; Ulrich, J.M. xts: eXtensible Time Series. 2020. Available online: https://CRAN.R-project.org/package=xts (accessed on 22 September 2021).
- Zeileis, A.; Grothendieck, G. Zoo: S3Infrastructure for Regular and Irregular Time Series. J. Stat. Softw. 2005, 14, 1–27. [Google Scholar] [CrossRef]











| Variable | Data Source |
|---|---|
| Temperature | ERA5/ERA5-Land |
| Precipitation | ERA5/ERA5-Land |
| Liquid precipitation | COSERO |
| Solid precipitation | COSERO |
| Actual evapotranspiration | COSERO |
| Potential evapotranspiration | COSERO |
| Observed runoff | Hydrological Services (HZB, GKD) |
| Simulated runoff | COSERO |
| Water stored in soil reservoir | COSERO |
| Water stored in baseflow reservoir | COSERO |
| Snow water equivalent | COSERO |
Publisher’s Note: MDPI stays neutral with regard to jurisdictional claims in published maps and institutional affiliations. |
© 2021 by the authors. Licensee MDPI, Basel, Switzerland. This article is an open access article distributed under the terms and conditions of the Creative Commons Attribution (CC BY) license (https://creativecommons.org/licenses/by/4.0/).
Share and Cite
Pulka, T.; Martin Santos, I.; Schulz, K.; Herrnegger, M. A Near Real-Time Hydrological Information System for the Upper Danube Basin. Hydrology 2021, 8, 144. https://doi.org/10.3390/hydrology8040144
Pulka T, Martin Santos I, Schulz K, Herrnegger M. A Near Real-Time Hydrological Information System for the Upper Danube Basin. Hydrology. 2021; 8(4):144. https://doi.org/10.3390/hydrology8040144
Chicago/Turabian StylePulka, Thomas, Ignacio Martin Santos, Karsten Schulz, and Mathew Herrnegger. 2021. "A Near Real-Time Hydrological Information System for the Upper Danube Basin" Hydrology 8, no. 4: 144. https://doi.org/10.3390/hydrology8040144
APA StylePulka, T., Martin Santos, I., Schulz, K., & Herrnegger, M. (2021). A Near Real-Time Hydrological Information System for the Upper Danube Basin. Hydrology, 8(4), 144. https://doi.org/10.3390/hydrology8040144

