Assessment of Minimum Water Level in Lakes and Reservoirs Based on Their Morphological and Hydrological Features
Abstract
1. Introduction
2. Materials and Methods
2.1. Study Area and Data Sets
2.2. Methodology
2.2.1. Morphological Method
2.2.2. Hydromorphological Method
- Calculation for the minimum volume in lake:
- Calculation for the minimum lake level from the water level–volume curve:
2.2.3. Hydrological Evaluation of Methods
- Calculation for the minimum volume from the minimum environmental lake level and the water level–volume curve:Vmin = f (Hmin)
- Calculation for the required water volume to rise the lake’s level from the minimum level to the maximum level:Vr = Vmax − VminFor each Year
- Calculation for the “overflow” or “deficit” lake water volume:If Vinflow > Vr Then overflow = Vinflow − VrIf Vinflow < Vr Then deficit = Vinflow − VrEnd YearEnd Method
3. Results and Discussion
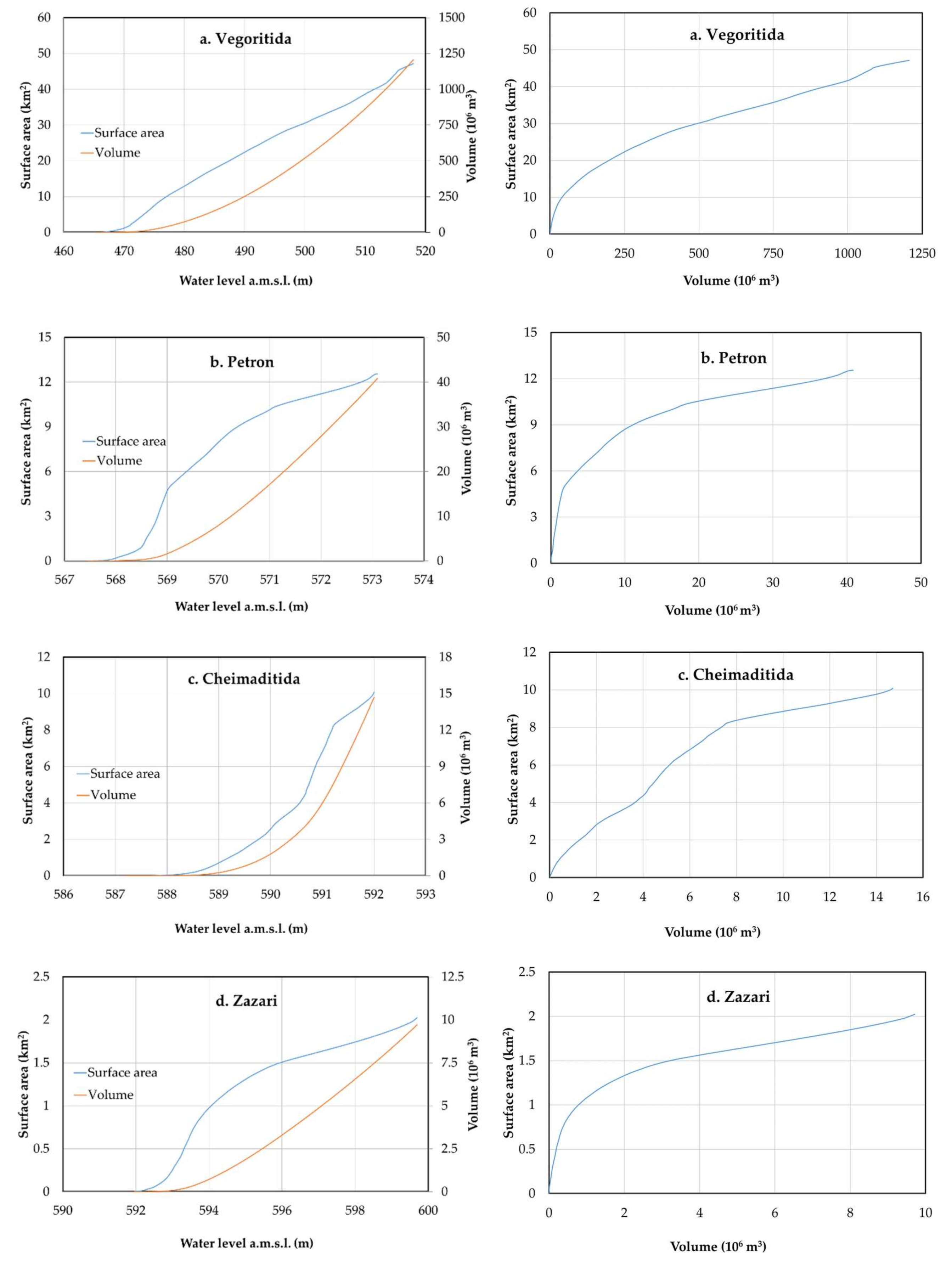
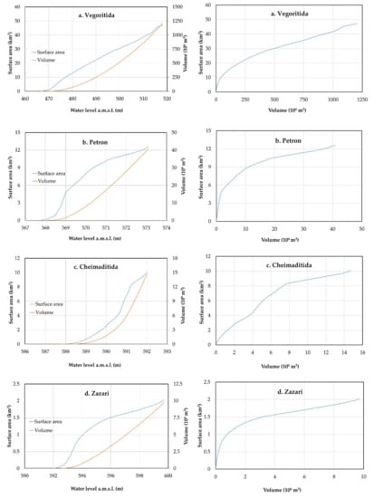
- With regards to Lake Vegoritida, the minimum water level using the morphological method was 516.2 m, i.e., 1.8 m below the maximum level of 518.0 m. The minimum water level corresponds to a volume decrease of approximately 83.7 × 106 m3 (6.9% of the maximum water volume), and to a surface shrinkage of 1.3 km2 (2.7% of the maximum surface area). Based on the hydromorphological method, the minimum level was 517.6 m, i.e., 0.40 m below the maximum level, corresponding to a considerably lower volume decrease of 18.8 × 106 m3 (1.6% of the maximum water volume), and to a surface shrinkage of 0.28 km2 (0.6% of the maximum surface area).
- In Lake Petron, the minimum water level according to the morphological method was 571.1 m, which is 2.0 m below the maximum level of 573.1 m, corresponding to a volume decrease of 22.7 × 106 m3 (55.6% of its maximum water volume) and to a surface shrinkage of 2.2 km2 (17.7% of its maximum surface area). In the case of the hydromorphological method, the proposed minimum level was 572.6 m, i.e., 0.50 m below the maximum level, corresponding to a considerably lower volume decrease of 6.1 × 106 m3 (14.9% of the maximum water volume), and to a surface shrinkage of 0.77 km2 (6.1% of the maximum surface area).
- In Lake Cheimaditida, the minimum water level using the morphological method was 591.3 m, 0.7 m below the maximum level of 592.0 m, corresponding to a volume decrease of 6.4 × 106 m3 (43.6% of its maximum water volume) and to a surface shrinkage of 1.6 km2 (16.1% of its maximum surface area). According to the hydromorphological method, the proposed minimum level was 591.6 m, i.e., 0.40 m below the maximum level, corresponding to a volume decrease of 3.8 × 106 m3 (25.8% of the maximum water volume), and to a surface shrinkage of 1.0 km2 (10.3% of the maximum surface area).
- In the case of Lake Zazari, the minimum water level according to the morphological method was 596.0 m, i.e., 3.7 m below the maximum level of 599.7 m. This minimum water level corresponds to a volume decrease of 6.4 × 106 m3 (66.1% of the maximum water volume) and to a surface shrinkage of 0.52 km2 (25.6% of the maximum surface area). According to the hydromorphological method, the proposed minimum level was 596.7 m, i.e., 3.0 m below the maximum level, corresponding to a volume decrease of 5.3 × 106 m3 (54.9% of the maximum water volume), and to a surface shrinkage of 0.44 km2 (21.5% of the maximum surface area).
- Figure 4 shows the hydrological evaluation of the two methods in Lake Vegoritida. According to the morphological method, for 32 out of 35 years a deficit existed, and only for 3 years there was an overflow of water. In the case of the hydromorphological method, deficit occurred for 20 years and overflow for 15 years, which means that overflow has increased considerably compared to the morphological method.
- Figure 5 shows the hydrological evaluation of the two methods in Lake Petron. Based on the morphological method, there was a deficit for 28 years and only for 7 years there was an overflow of water. On the contrary, deficit occurred for 16 years and overflow for 19 years, according to the hydromorphological method, which is again a considerable increase in the number of years with overflow, compared to the morphological method.
- Figure 6 shows the hydrological evaluation of the two methods in Lake Cheimaditida. According to the morphological method, deficit was observed for 21 years and overflow for 14 years, while in the case of hydromorphological method, deficit was observed for 16 years and overflow for 19 years.
- Figure 7 shows the hydrological evaluation of the two methods in Lake Zazari. According to the morphological method, deficit was observed for 20 years and overflow for 15 years, while in the case of hydromorphological method, deficit was observed for 16 years and overflow for 19 years.
4. Conclusions
Author Contributions
Funding
Conflicts of Interest
References
- Tharme, R.E. A global perspective on environmental flow assessment: Emerging trends in the development and application of environmental flow methodologies for rivers. River Res. Appl. 2003, 19, 397–441. [Google Scholar] [CrossRef]
- Jain, S.K. Assessment of environmental flow requirements. Hydrol. Process. 2012, 26, 3472–3476. [Google Scholar] [CrossRef]
- Xu, Z.X.; Chen, M.J.; Dong, Z.C. Researches on the calculation methods of the lowest ecological water level of lake. Acta Ecol. Sin. 2004, 24, 2324–2328. [Google Scholar]
- Leeper, D.A.; Ellison, D.L. Proposed Minimum and Guidance Levels for Lake Hancock in Polk County, Florida; Southwest Florida Water Management District: Brooksville, FL, USA, 2015. [Google Scholar]
- Li, X.H.; Song, Y.D.; Li, Y.T.; Xing, X.; Zhang, S.Y. Calculation methods of lowest ecological water level of lake. Arid Land Geogr. 2007, 30, 526–530. [Google Scholar]
- Shang, S.H. Lake surface area method to define minimum ecological lake level from level-area-storage curves. J. Arid. Land 2013, 5, 133–142. [Google Scholar] [CrossRef]
- Cui, B.S.; Zhao, X.; Yang, Z.F. Eco-hydrology-based calculation of the minimum ecological water requirement for lakes. Acta Ecol. Sin. 2005, 25, 1788–1795. [Google Scholar]
- Abbaspour, M.; Nazaridoust, A. Determination of environmental water requirements of Lake Urmia, Iran: An ecological approach. Int. J. Environ. Stud. 2007, 64, 161–169. [Google Scholar] [CrossRef]
- Mjelde, M.; Hellsten, S.; Ecke, F. A water level drawdown index for aquatic macrophytes in Nordic lakes. Hydrobiologia 2013, 704, 141–151. [Google Scholar] [CrossRef]
- Wen, D.; Jin, C.; Shixiang, G.; Gang, C.; Jinming, C.; Mi, Z. Hydrological variability of water level of Dianchi lake and its application. IOP Conf. Ser. Mater. Sci. Eng. 2020, 780, 062048. [Google Scholar] [CrossRef]
- Shang, S.; Shang, S. Simplified lake surface area method for the minimum ecological water level of lakes and wetlands. Water 2018, 10, 1056. [Google Scholar] [CrossRef]
- Sajedipour, S.; Zarei, H.; Oryan, S. Estimation of environmental water requirements via an ecological approach: A case study of Bakhtegan lake, Iran. Ecol. Eng. 2017, 100, 246–255. [Google Scholar] [CrossRef]
- Petriki, O.; Zervas, D.; Doulgeris, C.; Bobori, D. Assessing the Ecological Water Level: The Case of Four Mediterranean Lakes. Water 2020, 12, 2977. [Google Scholar] [CrossRef]
- Stefanidis, K.; Papastergiadou, E. Relationships between lake morphology, water quality and aquatic macrophytes in lakes of Western Greece. Fresenius Environ. Bull. 2012, 21, 3018–3026. [Google Scholar]
- Papamichail, D.; Antonopoulos, V.; Georgiou, P.; Doulgeris, C.; Papadimos, D. Determination of the minimum water level and its variation of lakes by applying the percentiles method. In Proceedings of the 10th Conference of Hellenic Society of Agricultural Engineers, Athens, Greece, 28–29 September 2017; pp. 55–65. [Google Scholar]
- Gianniou, K.S.; Antonopoulos, Z.V. Evaporation and energy budget in Lake Vegoritis, Greece. J. Hydrol. 2007, 345, 212–223. [Google Scholar] [CrossRef]
- Doulgeris, C.; Pisinaras, V.; Argyroudi, A.; Tziritis, E.; Hatzigiannakis, E.; Panagopoulos, A. Impacts on water level fluctuation in Lake Vegoritida: Insights for the historical and projected climate period. Desalin. Water Treat. 2020, 194, 358–368. [Google Scholar] [CrossRef]
- National Water Monitoring Network. Available online: http://nmwn.ypeka.gr/en (accessed on 1 September 2019).
- Doulgeris, C.; Georgiou, P.; Apostolakis, A.; Papadimos, D.; Zervas, D.; Petriki, O.; Bobori, D.; Papamichail, D.; Antonopoulos, V.; Farcas, C.; et al. Assessment of the environmentally minimum lake level based on hydromorphological features. Eur. Water 2017, 58, 197–202. [Google Scholar]
- Greek Biotope Wetland Centre. Available online: http://biodiversity-info.gr (accessed on 5 February 2020).
- Charou, E.; Stefouli, M.; Dimitrakopoulos, D.; Vasiliou, E.; Mavrantza, O.D. Using remote sensing to assess impact of mining activities on land and water resources. Mine Water Environ. 2010, 29, 45–52. [Google Scholar] [CrossRef]
- Hellenic Statistical Authority. Available online: http://www.statistics.gr/en/home/ (accessed on 18 July 2018).
- Browne, R.A. Lakes as islands: Biogeographic distribution, turnover rates, and species composition in the lakes of central New York. J. Biogeogr. 1981, 8, 75–83. [Google Scholar] [CrossRef]
- Gippel, C.J.; Stewardson, M.J. Use of wetted perimeter in defining minimum environmental flows. Regul. Rivers: Res. Mgmt. 1998, 14, 53–67. [Google Scholar] [CrossRef]
- Nielsen, S.A.; Hansen, E. Numerical simulation of the rainfall runoff process on a daily basis. Nord. Hydrol. 1973, 4, 171–190. [Google Scholar] [CrossRef]







| Vegoritida | Petron | Cheimaditida | Zazari | |
|---|---|---|---|---|
| Maximum water level a.m.s.l. (m) | 518 | 573.1 | 592 | 599.7 |
| Maximum surface area (km2) | 47.2 | 12.6 | 10.1 | 2.0 |
| Maximum stored volume (106 m3) | 1206.2 | 40.8 | 14.7 | 9.7 |
| Average depth (m) | 26 | 3.5 | 1.5 | 5 |
| Maximum depth (m) | 52.6 | 5.5 | 4.8 | 7.6 |
| Vegoritida | Petron | Cheimaditida | Zazari | |
|---|---|---|---|---|
| Maximum water level (m) | 518.0 | 573.1 | 592.0 | 599.7 |
| Proposed minimum water level (m) | ||||
| Morphological method | 516.2 | 571.1 | 591.3 | 596.0 |
| Hydromorphological method | 517.6 | 572.6 | 591.6 | 596.7 |
Publisher’s Note: MDPI stays neutral with regard to jurisdictional claims in published maps and institutional affiliations. |
© 2020 by the authors. Licensee MDPI, Basel, Switzerland. This article is an open access article distributed under the terms and conditions of the Creative Commons Attribution (CC BY) license (http://creativecommons.org/licenses/by/4.0/).
Share and Cite
Doulgeris, C.; Koukouli, P.; Georgiou, P.; Dalampakis, P.; Karpouzos, D. Assessment of Minimum Water Level in Lakes and Reservoirs Based on Their Morphological and Hydrological Features. Hydrology 2020, 7, 83. https://doi.org/10.3390/hydrology7040083
Doulgeris C, Koukouli P, Georgiou P, Dalampakis P, Karpouzos D. Assessment of Minimum Water Level in Lakes and Reservoirs Based on Their Morphological and Hydrological Features. Hydrology. 2020; 7(4):83. https://doi.org/10.3390/hydrology7040083
Chicago/Turabian StyleDoulgeris, Charalampos, Panagiota Koukouli, Pantazis Georgiou, Paschalis Dalampakis, and Dimitrios Karpouzos. 2020. "Assessment of Minimum Water Level in Lakes and Reservoirs Based on Their Morphological and Hydrological Features" Hydrology 7, no. 4: 83. https://doi.org/10.3390/hydrology7040083
APA StyleDoulgeris, C., Koukouli, P., Georgiou, P., Dalampakis, P., & Karpouzos, D. (2020). Assessment of Minimum Water Level in Lakes and Reservoirs Based on Their Morphological and Hydrological Features. Hydrology, 7(4), 83. https://doi.org/10.3390/hydrology7040083

