Analysis of Groundwater Level Variations Caused by the Changes in Groundwater Withdrawals Using Long Short-Term Memory Network
Abstract
1. Introduction
2. Materials and Methods
2.1. Study Area and Data
2.2. Long Short-Term Memory (LSTM)
2.3. Method
3. Results
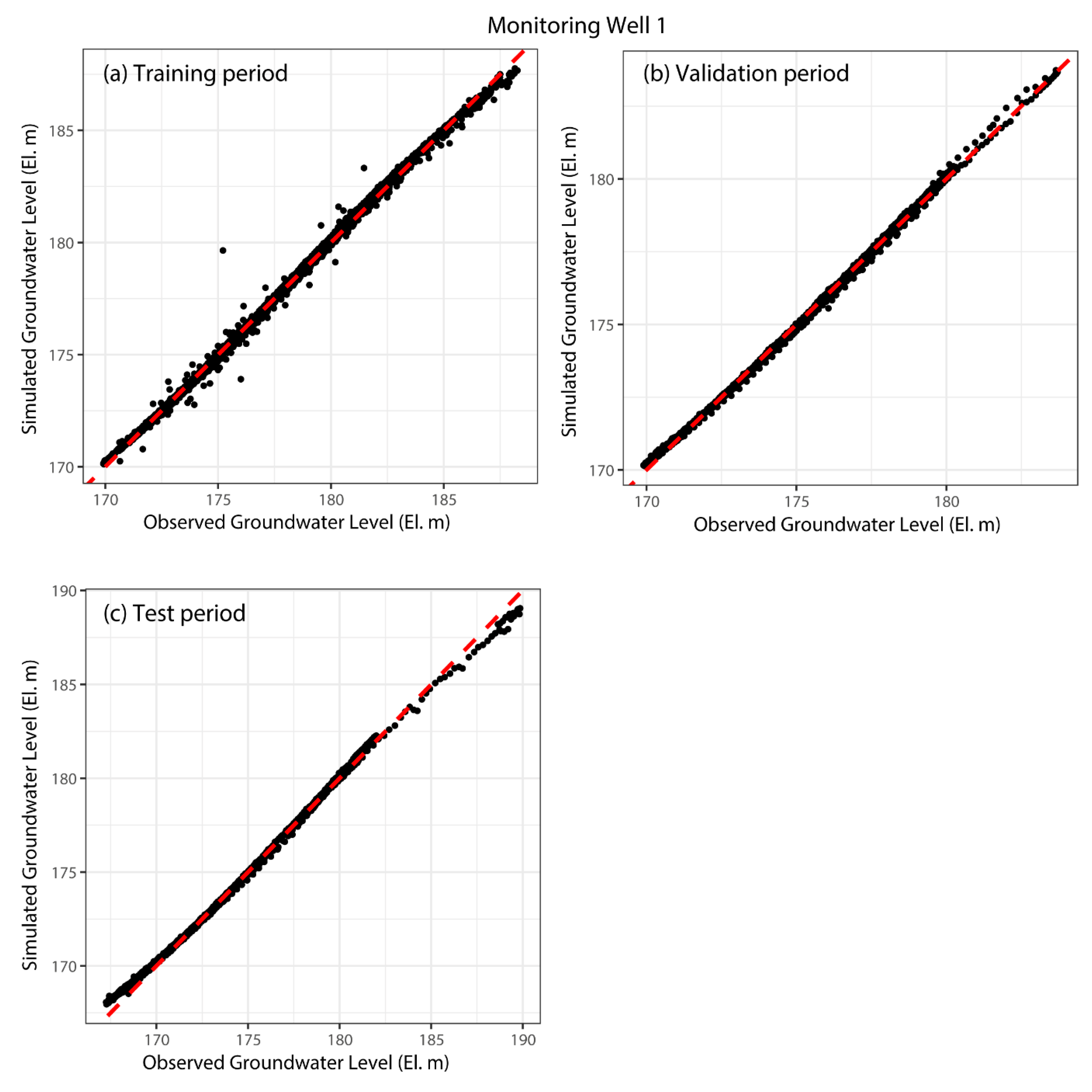
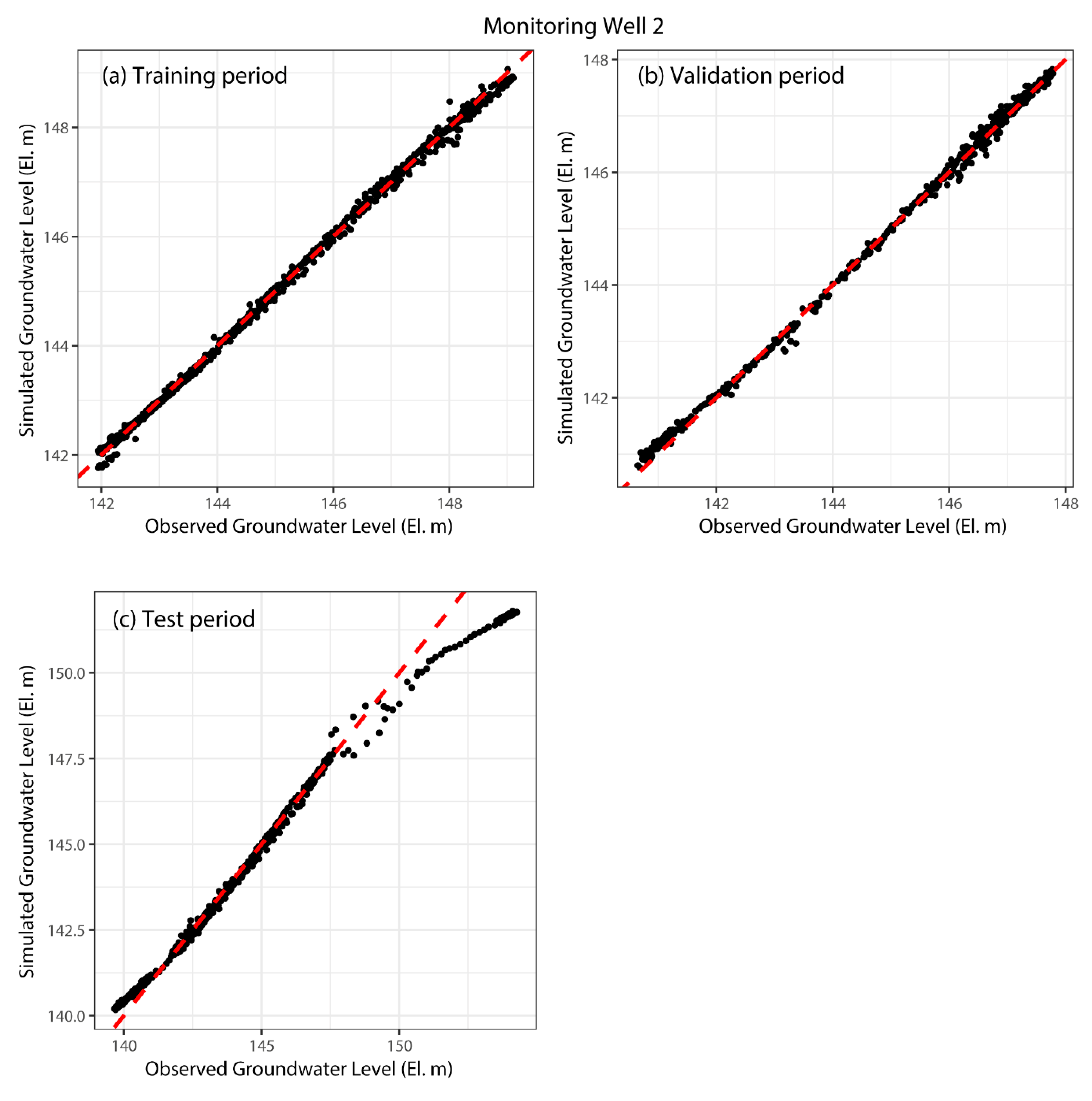
3.1. Analysis of the Prediction Performance of LSTM
3.2. Analysis of the Effect of Changes in Groundwater Withdrawals on the Variations in Groundwater Levels
4. Discussion
5. Conclusions
Author Contributions
Funding
Acknowledgments
Conflicts of Interest
References
- Todd, D.K.; Larry, W.M. Groundwater Hydrology, 3rd ed.; John Wiley & Sons Inc.: Hoboken, NJ, USA, 2004; pp. 1–656. [Google Scholar]
- Oki, D.S. Numerical Simulation of the Effects of Low-Permeability Valley-Fill Barriers and the Redistribution of Ground-Water Withdrawals in the Pearl Harbor Area, Oahu, Hawaii: U.S. Geological Survey Scientific Investigations Report; 2005-5253; U.S. Department of the Interior: Washington, DC, USA, 2005; p. 111.
- Oki, D.S. Numerical Simulation of the Hydrologic Effects of Redistributed and Additional Ground-Water Withdrawal, Island of Molokai, Hawaii: U.S. Geological Survey Scientific Investigations Report; 2006–5177; U.S. Department of the Interior: Washington, DC, USA, 2006; p. 49.
- Marçais, J.; De Dreuzy, J.R. Prospective Interest of Deep Learning for Hydrological Inference. Ground Water 2017, 55, 688–692. [Google Scholar] [CrossRef]
- Siade, A.J.; Cui, T.; Karelse, R.N.; Hampton, C. Reduced-Dimensional Gaussian Process Machine Learning for Groundwater Allocation Planning Using Swarm Theory. Water Resour. Res. 2020, 56, e2019WR026061. [Google Scholar] [CrossRef]
- Nayak, P.C.; Satyaji Rao, Y.R.; Sudheer, K.P. Groundwater Level Forecasting in a Shallow Aquifer Using Artificial Neural Network Approach. Water Resour. Manag. 2006, 20, 77–90. [Google Scholar] [CrossRef]
- Fang, K.; Shen, C.; Kifer, D.; Yang, X. Prolongation of SMAP to Spatiotemporally Seamless Coverage of Continental U.S. Using a Deep Learning Neural Network. Geophys. Res. Lett. 2017, 44, 11–30. [Google Scholar] [CrossRef]
- Fan, H.; Jiang, M.; Xu, L.; Zhu, H.; Cheng, J.; Jiang, J. Comparison of Long Short Term Memory Networks and the Hydrological Model in Runoff Simulation. Water 2020, 12, 175. [Google Scholar] [CrossRef]
- Hidayat, H.; Hoitink, A.J.F.; Sassi, M.G.; Torfs, P.J.J.F. Prediction of Discharge in a Tidal River Using Artificial Neural Networks. J. Hydrol. Eng. 2014, 19, 04014006. [Google Scholar] [CrossRef]
- Vapnik, V.N. The Nature of Statistical Learning Theory; Springer: New York, NY, USA, 1995; p. 314. [Google Scholar]
- Liong, S.-Y.; Sivapragasam, C. Flood stage forecasting with support vector machines. JAWRA J. Am. Water Resour. Assoc. 2002, 38, 173–186. [Google Scholar] [CrossRef]
- Asefa, T.; Kemblowski, M.; McKee, M.; Khalil, A. Multi-Time scale stream flow predictions: The support vector machines approach. J. Hydrol. 2006, 318, 7–16. [Google Scholar] [CrossRef]
- Lal, A.; Datta, B. Development and Implementation of Support Vector Machine Regression Surrogate Models for Predicting Groundwater Pumping-Induced Saltwater Intrusion into Coastal Aquifers. Water Resour. Manag. 2018, 32, 2405–2419. [Google Scholar] [CrossRef]
- Gangwar, S.; Bali, V.; Kumar, A. Comparative Analysis of Wind Speed Forecasting Using LSTM and SVM. EAI Endorsed Trans. Scalable Inf. Syst. 2018, 7, 1–9. [Google Scholar] [CrossRef]
- Hochreiter, S.; Schmidhuber, J. Long Short-Term Memory. Neural Comput. 1997, 9, 1735–1780. [Google Scholar] [CrossRef] [PubMed]
- LeCun, Y.; Bengio, Y.; Hinton, G. Deep learning. Nature 2015, 521, 436. [Google Scholar] [CrossRef] [PubMed]
- Bengio, Y.; Simard, P.; Frasconi, P. Learning long-term dependencies with gradient descent is difficult. IEEE Trans. Neural Netw. 1994, 5, 157–166. [Google Scholar] [CrossRef] [PubMed]
- Zhang, J.; Zhu, Y.; Zhang, X.; Ye, M.; Yang, J. Developing a Long Short-Term Memory (LSTM) based model for predicting water table depth in agricultural areas. J. Hydrol. 2018, 561, 918–929. [Google Scholar] [CrossRef]
- Bowes, B.D.; Sadler, J.M.; Morsy, M.M.; Behl, M.; Goodall, J.L. Forecasting Groundwater Table in a Flood Prone Coastal City with Long Short-term Memory and Recurrent Neural Networks. Water 2019, 11, 1098. [Google Scholar] [CrossRef]
- Huang, X.; Gao, L.; Crosbie, R.S.; Zhang, N.; Fu, G.; Doble, R. Groundwater Recharge Prediction Using Linear Regression, Multi-Layer Perception Network, and Deep Learning. Water 2019, 11, 1879. [Google Scholar] [CrossRef]
- Jeong, J.; Park, E. Comparative applications of data-driven models representing water table fluctuations. J. Hydrol. 2019, 572, 261–273. [Google Scholar] [CrossRef]
- Afzaal, H.; Farooque, A.A.; Abbas, F.; Acharya, B.; Esau, A.T. Groundwater Estimation from Major Physical Hydrology Components Using Artificial Neural Networks and Deep Learning. Water 2020, 12, 5. [Google Scholar] [CrossRef]
- Jeong, J.; Park, E.; Chen, H.; Kim, K.-Y.; Han, W.S.; Suk, H. Estimation of groundwater level based on the robust training of recurrent neural networks using corrupted data. J. Hydrol. 2020, 582, 124512. [Google Scholar] [CrossRef]
- Manandhar, A.; Greeff, H.; Thomson, P.; Hope, R.; Clifton, D.A. Shallow aquifer monitoring using handpump vibration data. J. Hydrol. X 2020, 8, 100057. [Google Scholar] [CrossRef]
- Müller, J.; Park, J.; Sahu, R.; Varadharajan, C.; Arora, B.; Faybishenko, B.; Agarwal, D. Surrogate optimization of deep neural networks for groundwater predictions. J. Glob. Optim. 2020, 1–29. [Google Scholar] [CrossRef]
- Chollet, F.; Allaire, J.J. Deep Learning with R; Manning Publications: Shelter Island, NY, USA, 2018; p. 360. [Google Scholar]
- Falbel, D.; Allaire, J.J.; Chollet, F.; Tang, Y.; Van Der Bijl, W.; Studer, M.; Keydana, S. R Interface to ’Keras’ R. Package Version 2.2.4.1. 2019. Available online: https://CRAN.R-project.org/package=keras (accessed on 5 April 2019).
- Srivastava, N.; Hinton, G.; Krizhevsky, A.; Sutskever, I.; Salakhutdinov, R. Dropout: A simple way to prevent neural networks from overfitting. J. Mach. Learn. Res. 2014, 15, 1929–1958. [Google Scholar]
- Kingma, D.P.; Ba, J. Adam: A Method for Stochastic Optimization. arXiv preprint 2014, arXiv:1412.6980. [Google Scholar]
- Le, X.H.; Ho, H.V.; Lee, G.; Jung, S. Application of Long Short-Term Memory (LSTM) Neural Network for Flood Forecasting. Water 2019, 11, 1387. [Google Scholar] [CrossRef]
- Nash, J.E.; Sutcliffe, J.V. River Flow forecasting through conceptual models-Part I: A discussion of principles. J. Hydrol. 1970, 10, 282–290. [Google Scholar] [CrossRef]
- Moriasi, D.N.; Arnold, J.G.; Van Liew, M.W.; Bingner, R.L.; Harmel, R.D.; Veith, T.L. Model Evaluation Guidelines for Systematic Quantification of Accuracy in Watershed Simulations. Trans. ASABE 2007, 50, 885–900. [Google Scholar] [CrossRef]
- Klemeš, V. Operational testing of hydrological simulation models. Hydrol. Sci. J. 1986, 31, 13–24. [Google Scholar] [CrossRef]
- Yapo, P.O.; Gupta, H.V.; Sorooshian, S. Automatic calibration of conceptual rainfall-runoff models: Sensitivity to calibration data. J. Hydrol. 1996, 181, 23–48. [Google Scholar] [CrossRef]
- Sahoo, S.; Russo, T.A.; Elliott, J.; Foster, I.T. Machine learning algorithms for modeling groundwater level changes in agricultural regions of the U.S. Water Resour. Res. 2017, 53, 3878–3895. [Google Scholar] [CrossRef]









| Classification | Station Name | Data Period | Remarks |
|---|---|---|---|
| Rainfall Station | Seongpanak | 1 January 1992–31 October 2019 | Precipitation (mm/day) |
| Gyorae | 1 January 1992–31 October 2019 | ||
| Groundwater Pumping Well | PW1 | 1 January 2001–31 October 2019 | Groundwater pumping rate (m3/day) |
| PW2 | 31 July 2013–31 October 2019 | ||
| Groundwater Monitoring Well | MW1 | 11 February 2001–31 October 2019 | Groundwater level (m) |
| MW2 | 19 March 2012–31 October 2019 |
| Station Name | Training Period | Validation Period | Test Period |
|---|---|---|---|
| MW1 a | 11 February 2001–31 December 2013 | 1 January 2014–31 December 2016 | 1 January 2017–31 October 2019 |
| MW2 b | 31 July 2013–31 December 2015 | 1 January 2016–31 December 2017 | 1 January 2018–31 October 2019 |
| Hyper-Parameter | Range | Setting Value | Description |
|---|---|---|---|
| n_timesteps | - | 1 | Number of prediction step |
| n_units | - | 100 | Number of hidden units in LSTM layer |
| batch_size | - | 50 | Number of samples fed to LSTM in one sub-simulation |
| dropout | 0–1 | 0.5 | Fraction of the units to drop for the linear transformation of the inputs |
| recurrent_dropout | 0–1 | 0.5 | Fraction of the units to drop for the linear transformation of the recurrent state |
| learning_rate | float ≥ 1 | 0.001 | Learning rate of Adam optimizer |
| n_epochs | - | 50 | Number of iterations |
| patience | - | 10 | Number of epochs for early termination of training when simulation values do not improve |
| Monitoring Well | Statistics | Training Period | Validation Period | Test Period |
|---|---|---|---|---|
| MW1 | NSE | 0.998 | 0.999 | 0.995 |
| RMSE | 0.166 | 0.120 | 0.327 | |
| MW2 | NSE | 0.999 | 0.998 | 0.976 |
| RMSE | 0.084 | 0.103 | 0.494 |
| Monitoring Well | Statistics | Groundwater Level Difference (M) (Scenario1–Scenario3) | Groundwater Level Difference (M) (Scenario2–Scenario3) |
|---|---|---|---|
| MW1 | Mean | 0.09 | 0.03 |
| Max | 0.38 | 0.13 | |
| MW2 | Mean | 0.09 a | 0.05 |
| Max | 0.11 a | 0.06 |
© 2020 by the authors. Licensee MDPI, Basel, Switzerland. This article is an open access article distributed under the terms and conditions of the Creative Commons Attribution (CC BY) license (http://creativecommons.org/licenses/by/4.0/).
Share and Cite
Shin, M.-J.; Moon, S.-H.; Kang, K.G.; Moon, D.-C.; Koh, H.-J. Analysis of Groundwater Level Variations Caused by the Changes in Groundwater Withdrawals Using Long Short-Term Memory Network. Hydrology 2020, 7, 64. https://doi.org/10.3390/hydrology7030064
Shin M-J, Moon S-H, Kang KG, Moon D-C, Koh H-J. Analysis of Groundwater Level Variations Caused by the Changes in Groundwater Withdrawals Using Long Short-Term Memory Network. Hydrology. 2020; 7(3):64. https://doi.org/10.3390/hydrology7030064
Chicago/Turabian StyleShin, Mun-Ju, Soo-Hyoung Moon, Kyung Goo Kang, Duk-Chul Moon, and Hyuk-Joon Koh. 2020. "Analysis of Groundwater Level Variations Caused by the Changes in Groundwater Withdrawals Using Long Short-Term Memory Network" Hydrology 7, no. 3: 64. https://doi.org/10.3390/hydrology7030064
APA StyleShin, M.-J., Moon, S.-H., Kang, K. G., Moon, D.-C., & Koh, H.-J. (2020). Analysis of Groundwater Level Variations Caused by the Changes in Groundwater Withdrawals Using Long Short-Term Memory Network. Hydrology, 7(3), 64. https://doi.org/10.3390/hydrology7030064
