Assessing the Robustness of Pan Evaporation Models for Estimating Reference Crop Evapotranspiration during Recalibration at Local Conditions
Abstract
1. Introduction
2. Materials and Methods
2.1. Data
2.2. Reference Crop Evapotranspiration
2.3. Pan Evaporation Method and General Forms for Local Conditions
2.4. Methods of Analysis
2.4.1. Nonlinear Regression with Random Cross-Validation
2.4.2. Multiple Random Forests
2.4.3. Models’ Metrics
3. Results
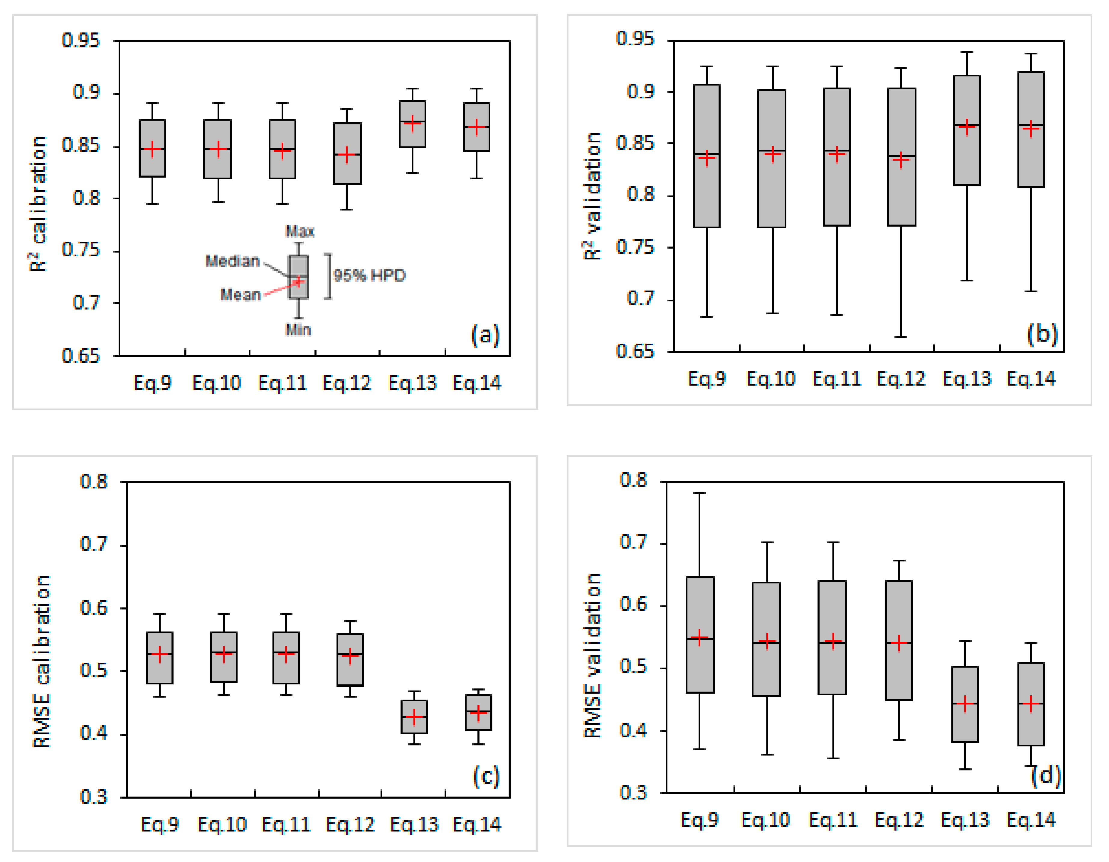
3.1. RCV-NLR Approach
- For Equation (9), four out of five regression coefficients (b, c, d, and e coefficients) could not preserve a stable sign inside their 95% HPD interval. These coefficients are associated to RH and u2 based on the specific kp model.
- For both Equations (10) and (11), one out of three regression coefficients (b coefficient for both cases) could not preserve a stable sign inside its 95% HPD interval. This coefficient is associated to u2 in both kp models.
- For Equation (12), one out of three regression coefficients (b coefficient) could not preserve a stable sign inside its 95% HPD interval. Due to the complex form of Equation (12), this coefficient is associated to all climate parameters that participate in the specific kp model.
- For Equations (13) and (14), all their coefficients presented a stable sign inside their 95% HPD intervals.
3.2. MRF Approach
3.3. Trend Line (Slope and Intercept) of Observed vs. Predicted ETo Values from 1:1 Plots Based on the Validation Datasets of All Models
4. Discussion
4.1. Testing the Inclusion of Meteorological Parameters as Independent Variables in the Epan Methodology
- The RCV-NLR method with various existing models has the advantage of analyzing the HPD interval of the coefficients, allowing to derive conclusions about the effects of their associated parameters (e.g., RH, u2, and T). On the other hand, this method has the following disadvantages: (a) it is based on predefined nonlinear models that are formed by the user and may not be efficient enough to capture the responses of the dependent variable, and (b) in some cases, the form of the nonlinear models is complex, and the effect of the regression coefficient cannot be easily interpreted (e.g., coefficients of Equation (12)).
- The MRF method has the following advantages: (a) it is a machine-learning technique that is not restricted by predefined nonlinear forms by the user, (b) its predictions can be used as a measure of the predictive accuracy of typical NLR models, and (c) it provides the relative importance of the parameters. On the other hand, this method has the following disadvantages: (a) an RF model cannot be visualized as a function that is easily applicable by others, and (b) it is impossible to derive information that could explain whether an independent variable positively or negatively affects the dependent variable.
4.2. Effect of the Nonlinear Form on the Importance of Independent Variables
4.3. Is It Really Needed to Include Climate Parameters in Epan Methodology for Estimating ETo?
4.4. Future Studies for Different Fetch and Different Climate Types
5. Conclusions
- (a)
- the typical formula of Equation (2), with the use of a predefined form of a kp model with locally calibrated coefficients, may not be the optimum solution for estimating ETo. In the case of using such models, the calibration should be performed using as a dependent variable the ETo and not the “measured” kp (defined as the ratio ETo/Epan).
- (b)
- the inclusion of climate parameters (e.g., u2, RH, and T) in pan method models (NLR, MRF, etc.) for estimating ETo may lead to underfitting and can be considered questionably from a statistical/mathematical point of view when ETo is not measured but computed by a formula that is based on the same climate parameters.
- (c)
- locally calibrated nonlinear regression functions for estimating ETo, which use only the Epan parameter, can have high predictive accuracy without the inclusion of additional climate parameters and can provide more balanced predictions along the perfect fit line of 45 degrees in 1:1 plots of observed vs. predicted ETo.
Supplementary Materials
Author Contributions
Funding
Conflicts of Interest
References
- Allen, R.G.; Pereira, L.S.; Raes, D.; Smith, M. Crop Evapotranspiration: Guidelines for Computing Crop Water Requirements. Irrigation and Drainage Paper 56; Food and Agriculture Organization of the United Nations: Rome, Italy, 1998. [Google Scholar]
- Allen, R.G.; Walter, I.A.; Elliott, R.; Howell, T.; Itenfisu, D.; Jensen, M. The ASCE Standardized Reference Evapotranspiration Equation; Final Report (ASCE–EWRI); Task Committee on Standardization of Reference Evapotranspiration, Environmental and Water Resources Institute of the American Society of Civil Engineers: Reston, VA, USA, 2005. [Google Scholar]
- Priestley, C.H.B.; Taylor, R.J. On the assessment of surface heat flux and evaporation using large–scale parameters. Mon. Weather Rev. 1972, 100, 81–92. [Google Scholar] [CrossRef]
- Hargreaves, G.H.; Samani, Z.A. Estimating potential evapotranspiration. J. Irrig. Drain Eng. 1982, 108, 223–230. [Google Scholar]
- Itenfisu, D.; Elliott, R.L.; Allen, R.G.; Walter, I.A. Comparison of reference evapotranspiration calculations as part of the ASCE standardization effort. J. Irrig. Drain Eng. 2003, 129, 440–448. [Google Scholar] [CrossRef]
- Alexandris, S.; Kerkides, P.; Liakatas, A. Daily reference evapotranspiration estimates by the “Copais” approach. Agric. Water Manage. 2006, 82, 371–386. [Google Scholar] [CrossRef]
- Aschonitis, V.G.; Papamichail, D.; Demertzi, K.; Colombani, N.; Mastrocicco, M.; Ghirardini, A.; Castaldelli, G.; Fano, E.-A. High–resolution global grids of revised Priestley–Taylor and Hargreaves–Samani coefficients for assessing ASCE–standardized reference crop evapotranspiration and solar radiation. Earth Syst. Sci. Data 2017, 9, 615–638. [Google Scholar] [CrossRef]
- Wang, K.; Dickinson, R.E. A review of global terrestrial evapotranspiration: Observation, modeling, climatology, and climatic variability. Rev. Geophys. 2012, 50, 1–54. [Google Scholar] [CrossRef]
- McMahon, T.A.; Peel, M.C.; Lowe, L.; Srikanthan, R.; McVicar, T.R. Estimating actual, potential, reference crop and pan evaporation using standard meteorological data: A pragmatic synthesis. Hydrol. Earth Syst. Sci. 2013, 17, 1331–1363. [Google Scholar] [CrossRef]
- Valipour, M. Analysis of potential evapotranspiration using limited weather data. Appl. Water Sci. 2017, 7, 187–197. [Google Scholar] [CrossRef]
- Valiantzas, J.D. Temperature- and humidity-ased simplified Penman’s ET0 formulae. Comparisons with temperature-based Hargreaves-Samani and other methodologies. Agric. Water Manage. 2018, 208, 326–334. [Google Scholar] [CrossRef]
- Frevert, D.K.; Hill, R.W.; Braaten, B.C. Estimation of FAO evapotranspiration coefficients. J. Irrig. Drain. Eng. 1983, 109, 265–270. [Google Scholar] [CrossRef]
- Cuenca, R.H. Irrigation System Design: An Engineering Approach; Prentice Hall: Englewood Cliffs, NJ, USA, 1989; p. 552. [Google Scholar]
- Allen, R.G.; Pruitt, W.O. FAO-24 reference evapotranspiration factors. J. Irrig. Drain. Eng. 1991, 117, 758–773. [Google Scholar] [CrossRef]
- Snyder, R.L. Equation for evaporation pan to evapotranspiration conversions. J. Irrig. Drain. Eng. 1992, 118, 977–980. [Google Scholar] [CrossRef]
- Pereira, A.R.; Villanova, N.; Pereira, A.S.; Baebieri, V.A. A model for the class—A pan coefficient. Agric. For. Meteorol. 1995, 76, 75–82. [Google Scholar] [CrossRef]
- Orang, M. Potential Accuracy of the Popular Non-Linear Regression Equations for Estimating Pan Coefficient Values in the Original and FAO-24 Tables. Unpublished Report; California Department of Water Resources: Sacramento, CA, USA, 1998. [Google Scholar]
- Raghuwanshi, N.S.; Wallender, W.W. Converting from pan evaporation to evapotranspiration. J. Irrig. Drain. Eng. 1998, 124, 275–277. [Google Scholar] [CrossRef]
- Grismer, M.E.; Orang, M.; Snyder, R.; Matyac, R. Pan evaporation to reference evapotranspiration conversion methods. J. Irrig. Drain. Eng. 2002, 128, 180–184. [Google Scholar] [CrossRef]
- Wahed, M.H.A.; Snyder, R.L. Simple equation to estimate reference evapotranspiration from evaporation pans surrounded by fallow soil. J. Irrig. Drain. Eng. 2008, 134, 425–429. [Google Scholar] [CrossRef]
- Tabari, H.; Mark, E.; Trajkovic, S. Comparative analysis of 31 reference evapotranspiration methods under humid conditions. Irrig. Sci. 2013, 31, 107–117. [Google Scholar] [CrossRef]
- Katul, G.G.; Cuenca, R.H.; Grebet, P.; Wright, J.L.; Pruitt, W.O. Analysis of evaporative flux data for various climates. J. Irrig. Drain. Eng. 1992, 118, 601–618. [Google Scholar] [CrossRef]
- Irmak, S.; Haman, D.Z.; Jones, J.W. Evaluation of Class A pan coefficients for estimating reference evapotranspiration in humid location. J. Irrig. Drain. Eng. 2002, 128, 153–159. [Google Scholar] [CrossRef]
- Sentelhas, P.C.; Folegatti, M.V. Class A pan coefficients (Kp) to estimate daily reference evapotranspiration (ETo). Rev. Bras. Eng. Agric. Amb. 2003, 7, 111–115. [Google Scholar] [CrossRef]
- Snyder, R.L.; Orang, M.; Matyac, S.; Grismer, M.E. Simplified estimation of reference. Evapotranspiration from pan evaporation data in california. J. Irrig. Drain. Eng. 2005, 131, 249–253. [Google Scholar] [CrossRef]
- Khoob, A.R.; Behbahani, S.; Nazarifar, M.H. Developing pan evaporation to grass reference evapotranspiration conversion model a case study in Khuzestan Province. J. Appl. Sci. 2007, 7, 936–941. [Google Scholar] [CrossRef]
- Gundekar, H.G.; Khodke, U.M.; Sarkar, S.; Rai, R.K. Evaluation of pan coefficient for reference crop evapotranspiration for semi-arid region. Irrig. Sci. 2008, 26, 169–175. [Google Scholar] [CrossRef]
- Xing, Z.; Chow, L.; Meng, F.-R.; Rees, H.W.; Monteith, J.; Lionel, S. Testing reference evapotranspiration estimation methods using evaporation pan and modeling in maritime region of Canada. J. Irrig. Drain. Eng. 2008, 134, 417–424. [Google Scholar] [CrossRef]
- Ghare, A.D.; Porey, P.D. Estimation of reference evapotranspiration of Nagpur region using simplified approach. In Proceedings of the 1st International Conference on Emerging Trends in Engineering and Technology, ICETET 2008, Nagpur, India, 16–18 July 2008; pp. 1022–1028. [Google Scholar]
- Rahimikhoob, A. An evaluation of common pan coefficient equations to estimate reference evapotranspiration in a subtropical climate (north of Iran). Irrig. Sci. 2009, 27, 289–296. [Google Scholar] [CrossRef]
- Sabziparvar, A.-A.; Tabari, H.; Aeini, A.; Ghafouri, M. Evaluation of class a pan coefficient models for estimation of reference crop evapotranspiration in cold semi-arid and warm arid climates. Water Resour. Manag. 2010, 24, 909–920. [Google Scholar] [CrossRef]
- Esteves, B.S.; Mendonça, J.C.; Sousa, E.F.; Bernardo, S. Evaluation of “Class A” pan coefficients to estimate the referential evapotranspiration in Campos dos Goytacazes, RJ. Rev. Brasil. Engenh. Agric. Amb. 2010, 14, 274–278. [Google Scholar] [CrossRef]
- Trajkovic, S.; Kolakovic, S. Comparison of simplified pan-based equations for estimating reference evapotranspiration. J. Irrig. Drain. Eng. 2010, 136, 137–140. [Google Scholar] [CrossRef]
- Ditthakit, P.; Chinnarasri, C. Estimation of pan evaporation coefficient using neuro-genetic approach. Am. J. Environ. Sci. 2011, 7, 397–401. [Google Scholar] [CrossRef]
- Cunha, A.R. Calculation of the Class—A pan coefficient in greenhouse and field by different methods [Coeficiente do tanque Classe A obtido por diferentes métodos em ambiente protegido e no campo]. Semin. Cienc. Agrar. 2011, 32, 451–464. [Google Scholar] [CrossRef]
- Aschonitis, V.G.; Antonopoulos, V.Z.; Papamichail, D. Evaluation of pan coefficient equations in a semi-arid mediterranean environment using the ASCE—Standardized penman-monteith method. Agric. Sci. 2012, 3, 58–65. [Google Scholar] [CrossRef][Green Version]
- Mohammadi, M.; Ghahraman, B.; Davary, K.; Liaghat, A.M.; Bannayan, M. Pan coefficient (Kp) estimation under uncertainty on fetch. Meteorol. Atmos. Phys. 2012, 117, 73–83. [Google Scholar] [CrossRef]
- Sabziparvar, A.A.; Shadmani, M. Evaluation of pan coefficients from ANN, ANFIS, and empirical methods, for estimation of daily reference evapotranspiration. J. Earth Space Phys. 2012, 38, 229–240. [Google Scholar]
- Kaya, S.; Evren, S.; Dasci, E.; Bakir, H.; Adiguzel, M.C.; Yilmaz, H. Evaluation of pan coefficient for reference crop evapotranspiration for Igdir region of Turkey. J. Food Agric. Environ. 2012, 10, 987–991. [Google Scholar]
- Duan, C.; Miao, Q.; Cao, W.; Wang, Y. Estimation of reference crop evapotranspiration by Chinese pan evaporation in Northwest China. Trans. Chin. Soc. Agric. Eng. 2012, 28, 94–99. [Google Scholar] [CrossRef]
- Ditthakit, P.; Chinnarasri, C. Estimation of pan coefficient using M5 model tree. Am. J. Environ. Sci. 2012, 8, 95–103. [Google Scholar] [CrossRef][Green Version]
- Sahoo, B.; Walling, I.; Deka, B.C.; Bhatt, B.P. Standardization of reference evapotranspiration models for a subhumid valley rangeland in the Eastern Himalaya. J. Irrig. Drain. Eng. 2012, 138, 880–895. [Google Scholar] [CrossRef]
- Pradhan, S.; Sehgal, V.K.; Das, D.K.; Bandyopadhyay, K.K.; Singh, R. Evaluation of pan coefficient methods for estimating FAO-56 reference crop evapotranspiration in a semi-arid environment. J. Agrometeorol. 2013, 15, 1–4. [Google Scholar]
- da Cunha, P.C.R.; do Nascimento, J.L.; da Silveira, P.M.; Júnior, J.A. Efficiency of methods for calculating class A pan coefficients to estimate evapotranspiration reference [Eficiência de métodos para o cálculo de coeficientes do tanque classe A na estimativa da evapotranspiração de referência]. Pesqui. Agropecu. Trop. 2013, 43, 114–122. [Google Scholar] [CrossRef]
- Rahimikhoob, A.; Asadi, M.; Mashal, M. A comparison between conventional and M5 Model Tree methods for converting pan evaporation to reference evapotranspiration for semi-arid region. Water Resour. Manag. 2013, 27, 4815–4826. [Google Scholar] [CrossRef]
- Heydari, M.M.; Heydari, M. Evaluation of pan coefficient equations for estimating reference crop evapotranspiration in the arid region. Arch. Agron. Soil. Sci. 2014, 60, 715–731. [Google Scholar] [CrossRef]
- Zhao, L.W.; Zhao, W.Z. Evapotranspiration of an oasis-desert transition zone in the middle stream of Heihe River, Northwest China. J. Arid Land 2014, 6, 529–539. [Google Scholar] [CrossRef]
- Pereira, P.C.; Da Silva, T.G.F.; Silva, S.M.S.E.; Da Neto, J.F.C.; De Morais, J.E.F. Evaluation and applicability of the class A pan coefficient in the middle Pajeu, Pernambuco [Avaliação e aplicabilidade do coeficiente do tanque classe “a” no médio pajeú, pernambuco]. Rev. Caatinga 2014, 27, 131–140. [Google Scholar]
- Bhartiya, K.M.; Ghare, A.D. Relative humidity based model for estimation of reference evapotranspiration for western plateau and hills region of India. Water Resour. Manag. 2014, 28, 3355–3364. [Google Scholar] [CrossRef]
- Peixoto, T.D.C.; Levien, S.L.A.; Bezerra, A.H.F.; Sobrinho, J.E. Evaluation of different methodologies of class a pan ΕΤo calculation in Μossoró, RN, Brazil [Avaliação de diferentes metodologias de estimativa da eto baseadas no tanque classe a, em mossoró, RN-1]. Rev. Caatinga 2014, 27, 58–65. [Google Scholar]
- Bayatvarkeshi, M.; Abyaneh, H.Z. Validating pan coefficient equations to estimate reference evapotranspiration in comparing with lysimeter data of grass crop. Glob. J. Adv. Pure Appl. Sci. 2014, 2, 9–18. [Google Scholar]
- Bogawski, P.; Bednorz, E. Comparison and validation of selected evapotranspiration models for conditions in Poland (Central Europe). Water Resour. Manag. 2014, 28, 5021–5038. [Google Scholar] [CrossRef]
- Meshram, D.T.; Gorantiwar, S.D. Evaluation of pan coefficient for estimating reference crop evapotranspiration in solapur station, Maharashtra. Mausam 2015, 66, 205–210. [Google Scholar]
- Andrade, A.D.; Miranda, W.L.; de Carvalho, L.G.; Figueiredo, P.H.F.; da Silva, T.B.S. Performance of methods for calculating the pan coefficient for estimating reference evapotranspiration [Desempenho de métodos de cálculo do coeficiente de tanque para estimativa da evapotranspiração de referência]. IRRIGA 2016, 21, 119–130. [Google Scholar] [CrossRef]
- SreeMaheswari, C.H.; Jyothy, S.A. Evaluation of Class A pan coefficient models for estimation of reference evapotranspiration using penman-monteith method. Int. J. Sci. Techn. Eng. 2017, 3, 90–93. [Google Scholar]
- Lennartz, F.; Kloss, S. Evaluating class a pan-based estimates of daily reference evapotranspiration with respect to irrigation scheduling on sandy soils in a hot arid environment. J. Irrig. Drain. Eng. 2018, 144, 1–9. [Google Scholar] [CrossRef]
- Poddar, A.; Gupta, P.; Kumar, N.; Shankar, V.; Ojha, C.S.P. Evaluation of reference evapotranspiration methods and sensitivity analysis of climatic parameters for sub-humid sub-tropical locations in western Himalayas (India). ISH J. Hydraul. Eng. 2018, in press. [Google Scholar] [CrossRef]
- Khobragade, S.D.; Semwal, P.; Kumar, A.R.S.; Nainwal, H.C. Pan coefficients for estimating open-water surface evaporation for a humid tropical monsoon climate region in India. J. Earth Syst. Sci. 2019, 128, 1–14. [Google Scholar] [CrossRef]
- Kumar, N.; Shankar, V.; Poddar, A. Investigating the effect of limited climatic data on evapotranspiration-based numerical modeling of soil moisture dynamics in the unsaturated root zone: A case study for potato crop. Model. Earth Syst. Environ. 2020, in press. [Google Scholar] [CrossRef]
- Ghare, A.D.; Porey, P.D.; Ingle, R.N. Discussion of “Simplified estimation of reference evapotranspiration from pan evaporation data in California” by Richard L. Snyder, Morteza Orang, Scott Matyac, and Mark E. Grismer. J. Irrig. Drain. Eng. 2006, 132, 519–520. [Google Scholar] [CrossRef]
- Aschonitis, V.G.; Lekakis, E.; Tziachris, P.; Doulgeris, C.; Papadopoulos, F.; Papadopoulos, A.; Papamichail, D. A ranking system for comparing models’ performance combining multiple statistical criteria and scenarios: The case of reference evapotranspiration models. Environ. Modell. Softw. 2019, 114, 98–111. [Google Scholar] [CrossRef]
- Clark, C. Measurements of actual and pan evaporation in the upper Brue catchment UK: The first 25 years. Weather 2013, 68, 200–208. [Google Scholar] [CrossRef]
- Doorenbos, J.; Pruitt, W.O. Guidelines for Predicting Crop Water Requirements. Irrigation and Drainage Paper No. 24, 2nd ed.; Food and Agriculture Organization of the United Nations: Rome, Italy, 1977. [Google Scholar]
- Elzhov, T.V.; Mullen, K.M.; Spiess, A.N.; Bolker, B. Package Minpack.lm: R Interface to the Levenberg-Marquardt Nonlinear Least-Squares Algorithm Found in Minpack, Plus Support for Bounds. 2016. Available online: https://cran.r-project.org/web/packages/minpack.lm/minpack.lm.pdf (accessed on 1 May 2020).
- Bernardo, J.M. Intrinsic credible regions: An objective Bayesian approach to interval estimation. Soc. Estad. Investig. Operat. 2005, 14, 317–384. [Google Scholar] [CrossRef]
- Breiman, L. Random forests. Mach. Learn. 2001, 45, 5–32. [Google Scholar] [CrossRef]
- Hastie, T.; Tibshirani, R.; Friedman, J. The Elements of Statistical Learning, 2nd ed.; Springer: New York, NY, USA, 2009. [Google Scholar]
- Díaz-Uriarte, R.; De Andres, S.A. Gene selection and classification of microarray data using random forest. BMC Bioinform. 2006, 7, 1–13. [Google Scholar] [CrossRef]
- Strobl, C.; Malley, J.; Tutz, G. An introduction to recursive partitioning: Rationale, application, and characteristics of classification and regression trees, bagging, and random forests. Psychol. Methods 2009, 14, 323–348. [Google Scholar] [CrossRef] [PubMed]
- Wright, Μ.Ν.; Wager, S.; Probst, P. Package ‘Ranger’: A Fast Implementation of Random Forests. 2020. Available online: https://cran.r-project.org/web/packages/ranger/ranger.pdf (accessed on 1 May 2020).
- Aschonitis, V.G.; Papamichail, D.M.; Lithourgidis, A.; Fano, E.A. Estimation of leaf area index and foliage area index of rice using an indirect gravimetric method. Commun. Soil Sci. Plant Analys. 2014, 45, 1726–1740. [Google Scholar] [CrossRef]
- Aschonitis, V.; Diamantopoulou, M.; Papamichail, D. Modeling plant density and ponding water effects on flooded rice evapotranspiration and crop coefficients: Critical discussion about the concepts used in current methods. Theor. Appl. Climatol. 2018, 132, 1165–1186. [Google Scholar] [CrossRef]






| Year | Month | T (°C) | u2 (m s−1) | RH (%) | ||||||
| min | max | average | min | max | average | min | max | average | ||
| 2008 | May | 20.6 | 26.1 | 22.7 | 1.3 | 1.8 | 1.5 | 50.8 | 72.7 | 58.7 |
| June | 26.1 | 30.3 | 26.1 | 1.3 | 2.0 | 1.5 | 37.5 | 63.7 | 53.2 | |
| July | 26.9 | 29.0 | 26.9 | 1.2 | 3.3 | 1.7 | 31.7 | 65.4 | 48.0 | |
| August | 27.9 | 30.6 | 27.9 | 1.1 | 2.9 | 1.4 | 31.6 | 65.0 | 47.2 | |
| September | 16.7 | 27.0 | 23.6 | 1.0 | 3.0 | 1.3 | 38.9 | 68.9 | 56.0 | |
| 2009 | May | 20.2 | 25.6 | 22.9 | 1.3 | 2.3 | 1.6 | 52.0 | 72.5 | 60.2 |
| June | 21.4 | 27.9 | 24.3 | 1.2 | 3.3 | 1.5 | 34.5 | 74.2 | 58.7 | |
| July | 24.3 | 31.0 | 27.6 | 1.2 | 3.3 | 1.6 | 36.7 | 67.7 | 51.9 | |
| August | 22.4 | 29.4 | 26.3 | 1.0 | 1.5 | 1.2 | 45.9 | 79.5 | 61.9 | |
| September | 18.6 | 26.8 | 21.8 | 0.8 | 1.9 | 1.1 | 55.4 | 81.1 | 63.6 | |
| Year | Month | Rs (w m−2) | Epan (mm day−1) | ETo (mm day−1) | ||||||
| min | max | average | min | max | average | min | max | average | ||
| 2008 | May | 294.8 | 330.6 | 312.8 | 6.0 | 9.6 | 7.6 | 5.0 | 6.8 | 5.8 |
| June | 178.2 | 336.3 | 306.3 | 5.8 | 13.4 | 9.3 | 3.4 | 7.8 | 6.2 | |
| July | 193.3 | 336.7 | 305.8 | 5.3 | 14.9 | 9.9 | 3.9 | 8.9 | 6.4 | |
| August | 172.4 | 305.1 | 266.4 | 5.3 | 11.4 | 8.5 | 3.4 | 7.7 | 5.7 | |
| September | 121.0 | 248.6 | 216.4 | 2.5 | 7.4 | 5.7 | 2.6 | 4.7 | 4.1 | |
| 2009 | May | 229.2 | 315.7 | 283.7 | 5.2 | 9.9 | 8.0 | 3.8 | 5.4 | 5.4 |
| June | 216.5 | 347.7 | 303.8 | 5.2 | 13.0 | 8.7 | 3.8 | 8.4 | 5.8 | |
| July | 263.3 | 343.0 | 314.1 | 6.6 | 13.3 | 9.5 | 4.8 | 8.0 | 6.4 | |
| August | 194.7 | 297.4 | 254.3 | 4.6 | 9.3 | 7.3 | 3.2 | 6.1 | 4.9 | |
| September | 85.8 | 252.3 | 190.5 | 2.6 | 7.3 | 4.9 | 1.8 | 4.7 | 3.4 | |
© 2020 by the authors. Licensee MDPI, Basel, Switzerland. This article is an open access article distributed under the terms and conditions of the Creative Commons Attribution (CC BY) license (http://creativecommons.org/licenses/by/4.0/).
Share and Cite
Babakos, K.; Papamichail, D.; Tziachris, P.; Pisinaras, V.; Demertzi, K.; Aschonitis, V. Assessing the Robustness of Pan Evaporation Models for Estimating Reference Crop Evapotranspiration during Recalibration at Local Conditions. Hydrology 2020, 7, 62. https://doi.org/10.3390/hydrology7030062
Babakos K, Papamichail D, Tziachris P, Pisinaras V, Demertzi K, Aschonitis V. Assessing the Robustness of Pan Evaporation Models for Estimating Reference Crop Evapotranspiration during Recalibration at Local Conditions. Hydrology. 2020; 7(3):62. https://doi.org/10.3390/hydrology7030062
Chicago/Turabian StyleBabakos, Konstantinos, Dimitris Papamichail, Panagiotis Tziachris, Vassilios Pisinaras, Kleoniki Demertzi, and Vassilis Aschonitis. 2020. "Assessing the Robustness of Pan Evaporation Models for Estimating Reference Crop Evapotranspiration during Recalibration at Local Conditions" Hydrology 7, no. 3: 62. https://doi.org/10.3390/hydrology7030062
APA StyleBabakos, K., Papamichail, D., Tziachris, P., Pisinaras, V., Demertzi, K., & Aschonitis, V. (2020). Assessing the Robustness of Pan Evaporation Models for Estimating Reference Crop Evapotranspiration during Recalibration at Local Conditions. Hydrology, 7(3), 62. https://doi.org/10.3390/hydrology7030062

