Influence of Crust Formation on Soil Porosity under Tillage Systems and Simulated Rainfall
Abstract
:1. Introduction
2. Materials and Method
2.1. Study Area, Soil Characteristics and Experimental Design
2.2. First Year of Experiment (2009)
2.3. Soil Sampling, Impregnation and Porosity Analysis
2.4. Second Year of Experiment (2010)
2.5. Statistical Analysis
3. Results
3.1. Effects of Years (2009 and 2010) and Layers on the Percentage of the Image Area Occupied by Pores
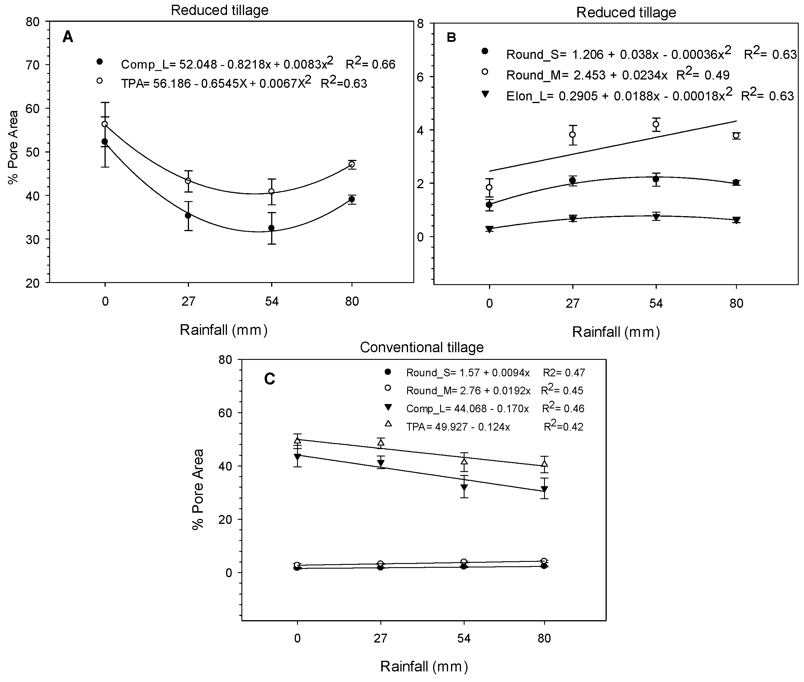
3.2. Effect of Soil Tillage and Rainfall Amount on the Percentage of the Area Occupied by Pores in Layer 1 (2009 and 2010)
3.3. Effect of Soil Tillage and Rainfall Volume on the Percentage of the Area Occupied by Pores in Layer 2 (2009 and 2010)
4. Discussion
4.1. Effect of Tillage on Soil Porosity
4.2. Effect of Simulated Rainfall on Crust Formation and Porosity
5. Conclusions
Acknowledgments
Author Contributions
Conflicts of Interest
References
- Keesstra, S.D.; Geissen, V.; Mosse, K.; Piiranen, S.; Scudiero, E.; Leistra, M.; van Schaik, L. Soil as a filter for groundwater quality. Curr. Opin. Environ. Sustain. 2012, 4, 507–516. [Google Scholar] [CrossRef]
- Brevik, E.C.; Cerdà, A.; Mataix-Solera, J.; Pereg, L.; Quinton, J.N.; Six, J.; van Oost, K. The interdisciplinary nature of SOIL. Soil 2015, 1, 117–129. [Google Scholar] [CrossRef]
- Fox, D.M.; Bryan, R.B.; Fox, C.A. Changes in pore characteristics with depth for structural crusts. Geoderma 2004, 120, 109–120. [Google Scholar] [CrossRef]
- Valentin, C.; Bresson, L.M. Morphology, genesis and classification of surface crusts in loamy and sandy soils. Geoderma 1992, 55, 225–245. [Google Scholar] [CrossRef]
- Usón, A.; Poch, R.M. Effects of tillage and management practices on soil crust morphology under a Mediterranean environment. Soil Till. Res. 2000, 54, 191–196. [Google Scholar] [CrossRef]
- Panini, T.; Torri, D.; Pellegrini, S.; Pagliai, M.; Sanchis, M.P.S. A theoretical approach to soil porosity and sealing development using simulated rainstorms. Catena 1997, 31, 199–218. [Google Scholar] [CrossRef]
- Rasa, K.; Eickhorst, T.; Tippkötter, R.; Yli-halla, M. Structure and pore system in differently managed clayey surface soil as described by micromorphology and image analysis. Geoderma 2012, 173, 10–18. [Google Scholar] [CrossRef]
- Ringrose-Voase, A.J. Micromorphology of soil structure: description, quantification, application. Aust. J. Soil Res. 1991, 29, 777–813. [Google Scholar] [CrossRef]
- Pagliai, M.; Pezzarossa, B.; Mazzoncini, M.; Bonari, E. Effects of tillage on porosity and microstructure of a loam soil. Soil Technol. 1989, 2, 345–358. [Google Scholar] [CrossRef]
- Pires, L.F.; Cooper, M.; Cássaro, F.A.M.; Reichardt, K.; Bacchi, O.O.S.; Dias, N.M.P. Micromorphological analysis to characterize structure modifications of soil samples submitted to wetting and drying cycles. Catena 2008, 72, 297–304. [Google Scholar] [CrossRef]
- Schiettecatte, W.; Jin, K.; Yao, Y.; Cornelis, W.M.; Lu, J.; Wu, H.; Verbist, K.; Cai, D.; Gabriels, D.; Hartmann, R. Influence of simulated rainfall on physical properties of a conventionally tilled loess soil. Catena 2005, 64, 209–221. [Google Scholar] [CrossRef]
- Rousseva, S.; Torri, D.; Pagliai, M. Effect of rain in the macroporosity at the soil surface. Eur. J. Soil Sci. 2002, 53, 83–94. [Google Scholar] [CrossRef]
- Hu, F.N.; Xu, C.Y.; Li, H.; Li, S.; Yu, Z.H.; Li, Y.; He, X. Particles interaction forces and their effects on soil aggregates breakdown. Soil Till. Res. 2015, 147, 1–9. [Google Scholar] [CrossRef]
- Ma, R.M.; Li, Z.X.; Cai, C.F.; Wang, J.G. The dynamic response of splash erosion to aggregate mechanical breakdown through rainfall simulation events in Ultisols (subtropical China). Catena 2014, 121, 279–287. [Google Scholar] [CrossRef]
- Chong-Feng, B.U.; Gale, W.J.; Qiang-Gu, C.I.; Shu-Fang, W.U. Process and mechanism for the development of physical crusts in three typical Chinese Soils. Pedosphere 2013, 23, 321–332. [Google Scholar]
- Fox, D.M.; Le Bissonnais, Y. A process-based analysis of the influence of aggregate stability on surface crusting, infiltration, and interrill erosion. Soil Sci. Soc. Am. J. 1998, 62, 717–724. [Google Scholar] [CrossRef]
- Agassi, M.; Shainberg, I.; Morin, J. Effect of electrolyte concentration and soil sodicity on infiltration rate and crust formation. Soil Sci. Soc. Am. J. 1981, 45, 848–851. [Google Scholar] [CrossRef]
- Salles, C.; Poesen, J. Rain properties controlling soil splash detachment. Hydrol. Process. 2000, 14, 271–282. [Google Scholar] [CrossRef]
- Sharma, P.P.; Gupta, S.C. Sand detachment by single rain drops of varying kinetic energy and momentum. Soil Sci. Soc. Am. J. 1989, 53, 1005–1010. [Google Scholar] [CrossRef]
- Torri, D.; Sfalanga, M.; Del Sette, M. Splash detachment: runoff depht and soil cohesion. Catena 1987, 14, 149–155. [Google Scholar] [CrossRef]
- Al-Durrah, M.M.; Bradford, J.M. The mechanism of raindrop splash on soil surfaces. Soil Sci. Soc. Am. J. 1982, 46, 1086–1090. [Google Scholar] [CrossRef]
- Darboux, F.; Dalla Rosa, J.; Cooper, M. Conditions for the occurrence of slaking and other disaggregation processes under rainfall. Hydrology 2016, 27, 1–9. [Google Scholar] [CrossRef]
- Sun, Y.; Zeng, Y.; Shi, Q.; Pan, X.; Huang, S. No-tillage controls on runoff: A meta-analysis. Soil Till. Res. 2015, 153, 1–6. [Google Scholar] [CrossRef]
- Armand, R.; Bockstaller, C.; Auzat, A.V.; van Dijk, P. Runoff generation related to intra-field soil surface characteristics variability. Application to conservation tillage context. Soil Till. Res. 2009, 102, 27–37. [Google Scholar] [CrossRef]
- Castro, L.G.; Cogo, N.P.; Volk, L.B.D. Alterations in soil surface roughness by tillage and rainfall in relation to water erosion. Rev. Bras. Cienc. Solo 2006, 30, 339–352. [Google Scholar] [CrossRef]
- Pagliai, M.; Vignozzi, N.; Pellegrini, S. Soil structure and the effect of management practices. Soil Till. Res. 2004, 79, 131–143. [Google Scholar] [CrossRef]
- Dalla Rosa, J.; Cooper, M.; Darboux, F.; Medeiros, J.C. Processo de formação de crostas superficiais em razão de sistemas de preparo do solo e chuva simulada. Rev. Bras. Cienc. Solo 2013, 37, 400–410. (In Portuguese) [Google Scholar] [CrossRef]
- Food and Agriculture Organization of the United Nations (FAO). World Reference Base for Soil Resources; Food and Agriculture Organization of the United Nations: Rome, Italy, 2014. [Google Scholar]
- Raij, B.V.; Quaggio, J.A.; Cantarella, H.; Ferreira, M.E.; Lopes, A.S.; Bataglia, O.A. Análise de Solo para Fins de Fertilidade; Fundação Cargill: Campinas, Brazil, 1987; p. 170. (In Portuguese) [Google Scholar]
- Gee, G.W.; Bauder, J.W. Particle size analysis. In Methods of Soil Analysis, 2nd ed.; Klute, A., Ed.; American Society of Agronomy; Soil Science Society of America: Madison, WI, USA, 1986; pp. 383–411. [Google Scholar]
- Legout, C.; Leguédois, S.; Le Bissonnais, Y. Aggregate breakdown dynamics under rainfall compared with aggregate stability measurements. Eur. J. Soil Sci. 2005, 56, 225–238. [Google Scholar] [CrossRef]
- Lassu, T.; Seeger, M.; Peters, P.; Keesstra, S.D. The Wageningen rainfall simulator: Set-up and calibration of an indoor nozzle-type rainfall simulator for soil erosion studies. Land Degrad. Dev. 2015, 26, 604–612. [Google Scholar] [CrossRef]
- Murphy, C.P. Thin Section Preparation of Soils and Sediments; A.B. Academic Publication: Berkhamsted, UK, 1986; p. 149. [Google Scholar]
- Murphy, C.P.; Bullock, P.; Turner, R.H. The measurement and characterization of voids in soil thin sections by image analysis. Part I. Principles and techniques. J. Soil Sci. 1977, 98, 498–508. [Google Scholar] [CrossRef]
- Castro, S.S.; Cooper, M.; Santos, M.C.; Vidal-Torrado, P. Micromorfologia do solo: Bases e aplicações. Tópicos Ciência Solo 2003, 3, 107–164. (In Portuguese) [Google Scholar]
- Cooper, M.; Vidal-Torrado, P.; Chaplot, V. Origin of microaggregates in soils with ferralic horizons. Sci. Agricola 2005, 62, 256–263. [Google Scholar] [CrossRef]
- Pagliai, M.; La Marca, M.; Lucamante, G.; Genovese, L. Effects of zero and conventional tillage on the lengh and irregularity of elongated pores in a clay loam soil under viticulture. Soil Till. Res. 1984, 4, 433–444. [Google Scholar] [CrossRef]
- Pagliai, M.; La Marca, M.; Lucamante, G.; Genovese, L. Micromorphometric and micromorphological investigations of a clay loam soil in viticulture under zero and conventional tillage. Soil Sci. Soc. Am. J. 1983, 34, 391–403. [Google Scholar] [CrossRef]
- Gabriel, K.R. The Biplots graphic display of matrices with application to principal component analysis. Biometrika 1971, 58, 453–467. [Google Scholar] [CrossRef]
- Kroonenberg, P.M. Introduction to Biplots for GxE Tables. 1997. Available online: http://www.fsw.leidenuniv.nl/~kroonenb/document/biplot.zip (accessed on 12 February 2012).
- Anderson, W.F.; Beute, M.K.; Wynne, J.C.; Wongkaew, S. Statistical procedures for assessment of resistance in a multiple foliar disease complex of peanut. Phytopathology 1990, 80, 1451–1459. [Google Scholar] [CrossRef]
- Moraaguilera, G.; Nietoangel, D.; Teliz, D.; Campbell, C.L. Development of a prediction model for papaya ringspot in Veracruz, Mexico. Plant Dis. 1993, 77, 1205–1211. [Google Scholar]
- Lipkovich, I.; Smith, E.P. Biplot and Singular Value Decomposition Macros for Excel©. J. Stat. Softw. 2002, 7, 1–15. Available online: http://www.jstatsoft.org/v07/i05 (accessed on 12 February 2012). [Google Scholar] [CrossRef]
- Pagliai, M.; Raglione, M.; Panini, T.; Maletta, M.; La Marcac, M. The structure of two alluvial soils in Italy after 10 years of conventional and minimum tillage. Soil Till. Res. 1995, 34, 209–223. [Google Scholar] [CrossRef]
- Mermut, A.R.; Grevers, M.C.J.; Jong, E. Evaluation of pores under different management systems by image analysis of clay soils in Saskatchewan, Canada. Geoderma 1992, 53, 357–372. [Google Scholar] [CrossRef]
- Bresson, L.M.; Valentin, C. Soil surface crust formation: contribution of micromorphology. In Developments in Soil Science; Ringrose-Voase, A.J., Humphreys, G.S., Eds.; Elsevier: Amsterdam, The Netherlands, 1993; pp. 737–762. [Google Scholar]
- Thompson, M.L.; Singh, P.; Corak, S.; Straszheim, W.E. Cautionary notes for the automated analysis of soil pore-space images. Geoderma 1992, 53, 399–415. [Google Scholar] [CrossRef]
- Vandenbygaard, A.J.; Protz, R.; Tomlin, A.D. Changes in pore structure in a no-till chronosequense of silt loam soils, Southern Ontario. Can. J. Soil Sci. 1999, 79, 149–160. [Google Scholar] [CrossRef]
- Pagliai, M. Micromorphometric and micromorphological investigations on the effect of compaction by pressures and deformations resulting from tillage and wheel traffic. In Soil Compaction and Regeneration; Monnier, G., Goss, M.J., Eds.; AA Balkema: Rotterdam, The Netherlands, 1987; pp. 31–38. [Google Scholar]
- Castilho, S.C.P.; Cooper, M.; Juhász, C.E.P. Influence of crust formation under natural rain on physical attributes of soils with different textures. Rev. Bras. Cienc. Solo 2011, 35, 1893–1905. [Google Scholar] [CrossRef]
- Valentin, C. Surface crusting in 2 alluvial soils of northern Niger. Geoderma 1991, 48, 201–222. [Google Scholar] [CrossRef]







| Layer | Clay | Silt | Sand | |||||
|---|---|---|---|---|---|---|---|---|
| (cm) | VFS | FS | MS | CS | VCS | Total Sand | ||
| g·kg−1 | ||||||||
| 0–5 | 164 | 20 | 164 | 471 | 155 | 20 | 6 | 816 |
| 5–20 | 179 | 38 | - | - | - | - | - | 783 |
| 40–60 | 257 | 52 | - | - | - | - | - | 691 |
| 80–100 | 262 | 37 | - | - | - | - | - | 701 |
| 2009 | |||||||
| Variation Factors/Porosity | Round_S | Round_M | Elong_M | Elong_L | Comp_M | Comp_L | TPA |
| Soil Tilllage | 0.016 | 0.0271 | 0.032 | 0.034 | ns | 0.0002 | <0.0001 |
| Layer | ns | ns | ns | ns | 0.0343 | ns | ns |
| Soil tillage*Layer | ns | ns | ns | ns | ns | ns | ns |
| Rainfall | 0.0262 | ns | 0.0082 | ns | 0.0044 | 0.0034 | 0.0017 |
| 2010 | |||||||
| Round_S | Round_M | Round_L | Elong_L | Comp_M | Comp_L | TPA | |
| Soil Tilllage | ns | ns | 0.001 | 0.0073 | 0.0007 | ns | ns |
| Layer | 0.014 | 0.0065 | ns | 0.032 | ns | 0.0005 | 0.0003 |
| Soil tillage*Layer | ns | ns | ns | ns | ns | ns | ns |
| Rainfall | 0.015 | 0.0005 | ns | 0.0002 | ns | 0.005 | 0.011 |
| 2009 | ||||||||||||||||
| Pores/Soil Tillage | Round_S | Round_M | Round_L | Elong_M | Elong_L | Comp_M | Comp_L | TPA | ||||||||
| CT | 1.31 | AB | 2.42 | AB | 0.21 | ns | 0.47 | AB | 0.35 | AB | 0.13 | ns | 49.01 | B | 53.89 | B |
| RT | 1.22 | B | 1.98 | B | 0.14 | 0.42 | B | 0.25 | B | 0.10 | 50.19 | B | 54.31 | B | ||
| NT | 1.50 | A | 2.60 | A | 0.25 | 0.60 | A | 0.40 | A | 0.15 | 43.56 | A | 49.05 | A | ||
| 2010 | ||||||||||||||||
| CT | 2.02 | ns | 3.72 | ns | 0.57 | A | 0.76 | ns | 0.82 | AB | 0.12 | A | 35.50 | ns | 43.52 | ns |
| RT | 1.99 | 3.72 | 0.35 | B | 0.83 | 0.66 | B | 0.17 | B | 33.97 | 41.69 | |||||
| NT | 2.09 | 4.02 | 0.67 | A | 0.72 | 0.94 | A | 0.11 | A | 31.06 | 39.61 | |||||
© 2017 by the authors; licensee MDPI, Basel, Switzerland. This article is an open access article distributed under the terms and conditions of the Creative Commons Attribution (CC-BY) license (http://creativecommons.org/licenses/by/4.0/).
Share and Cite
Dalla Rosa, J.; Cooper, M.; Darboux, F.; Medeiros, J.C.; Campanaro, C.; Martins Pinto, L.R. Influence of Crust Formation on Soil Porosity under Tillage Systems and Simulated Rainfall. Hydrology 2017, 4, 3. https://doi.org/10.3390/hydrology4010003
Dalla Rosa J, Cooper M, Darboux F, Medeiros JC, Campanaro C, Martins Pinto LR. Influence of Crust Formation on Soil Porosity under Tillage Systems and Simulated Rainfall. Hydrology. 2017; 4(1):3. https://doi.org/10.3390/hydrology4010003
Chicago/Turabian StyleDalla Rosa, Jaqueline, Miguel Cooper, Frédéric Darboux, João Carlos Medeiros, Carla Campanaro, and Luiz Roberto Martins Pinto. 2017. "Influence of Crust Formation on Soil Porosity under Tillage Systems and Simulated Rainfall" Hydrology 4, no. 1: 3. https://doi.org/10.3390/hydrology4010003
APA StyleDalla Rosa, J., Cooper, M., Darboux, F., Medeiros, J. C., Campanaro, C., & Martins Pinto, L. R. (2017). Influence of Crust Formation on Soil Porosity under Tillage Systems and Simulated Rainfall. Hydrology, 4(1), 3. https://doi.org/10.3390/hydrology4010003
