Leaf Water Storage Capacity Among Eight US Hardwood Tree Species: Differences in Seasonality and Methodology
Abstract
1. Introduction
2. Materials and Methods
2.1. Leaf Water Storage Capacity—Water Displacement Method
2.2. Leaf Water Storage Capacity—Rainfall Simulator
2.3. Data Analysis
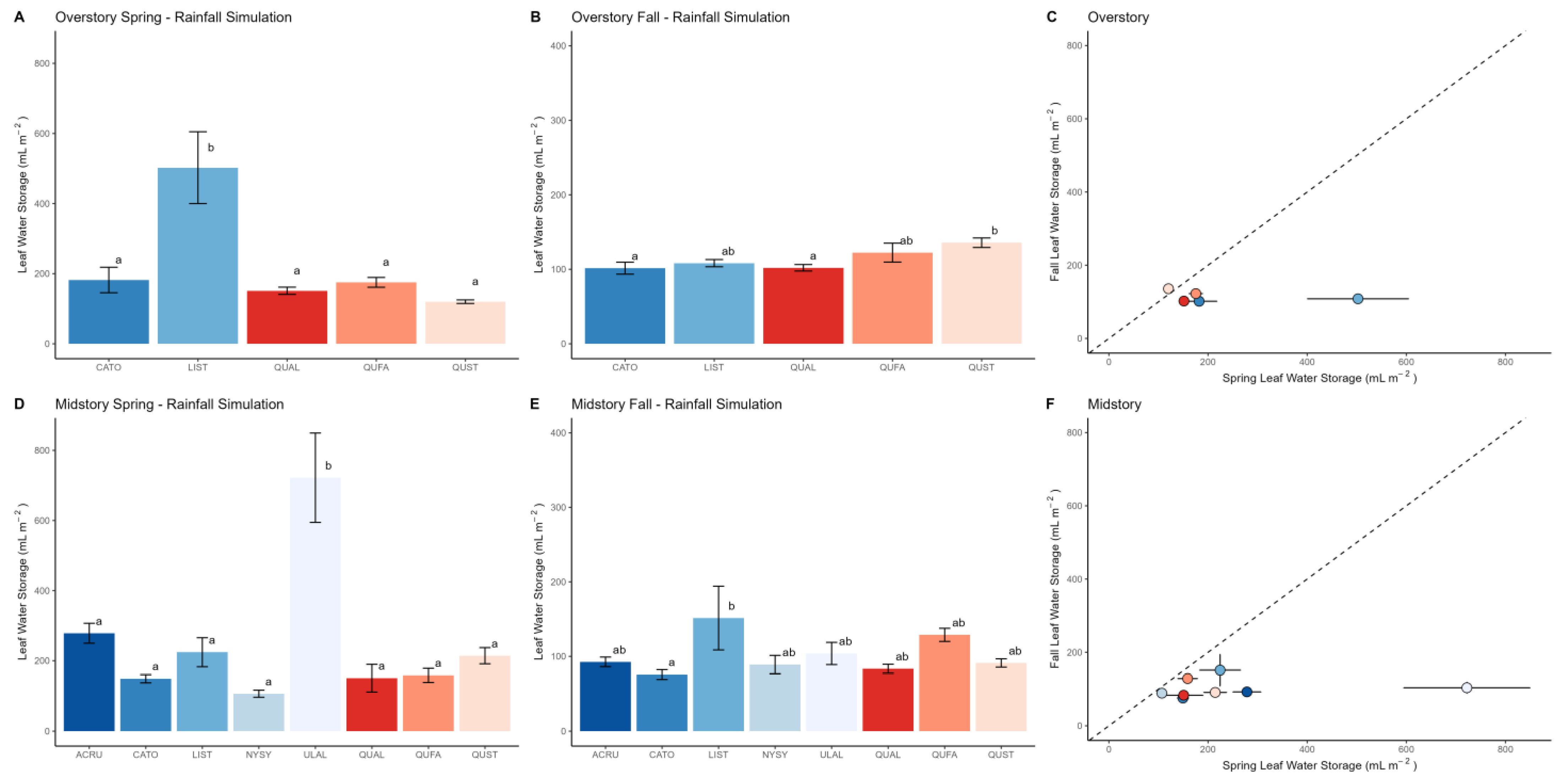
3. Results
4. Discussion
5. Conclusions
Supplementary Materials
Author Contributions
Funding
Data Availability Statement
Acknowledgments
Conflicts of Interest
References
- Fei, S.; Kong, N.; Steiner, K.C.; Moser, W.K.; Steiner, E.B. Change in Oak Abundance in the Eastern United States from 1980 to 2008. For. Ecol. Manag. 2011, 262, 1370–1377. [Google Scholar] [CrossRef]
- Nowacki, G.J.; Abrams, M.D. The Demise of Fire and “Mesophication” of Forests in the Eastern United States. BioScience 2008, 58, 123–138. [Google Scholar] [CrossRef]
- Alexander, H.D.; Siegert, C.; Brewer, J.S.; Kreye, J.; Lashley, M.A.; McDaniel, J.K.; Paulson, A.K.; Renninger, H.J.; Varner, J.M. Mesophication of Oak Landscapes: Evidence, Knowledge Gaps, and Future Research. BioScience 2021, 71, 531–542. [Google Scholar] [CrossRef]
- Abrams, M.D.; Kubiske, M.E. Leaf Structural Characteristics of 31 Hardwood and Conifer Tree Species in Central Wisconsin: Influence of Light Regime and Shade-Tolerance Rank. For. Ecol. Manag. 1990, 31, 245–253. [Google Scholar] [CrossRef]
- Babl, E.; Alexander, H.D.; Siegert, C.M.; Willis, J.L. Could Canopy, Bark, and Leaf Litter Traits of Encroaching Non-Oak Species Influence Future Flammability of Upland Oak Forests? For. Ecol. Manag. 2020, 458, 117731. [Google Scholar] [CrossRef]
- Siegert, C.M.; Limpert, K.E.; Drotar, N.; Siegle-Gaither, M.; Burton, M.; Lowery, J.; Alexander, H.D. Effects of Canopy Structure on Water Cycling: Implications for Changing Forest Composition. In Proceedings of the 20th Biennial Southern Silvicultural Research Conference, Shreveport, LA, USA, 12–14 March 2019; U.S. Department of Agriculture, Forest Service, Southern Research Station: Asheville, NS, USA, 2020. [Google Scholar]
- Barbier, S.; Balandier, P.; Gosselin, F. Influence of Several Tree Traits on Rainfall Partitioning in Temperate and Boreal Forests: A Review. Ann. For. Sci. 2009, 66, 602. [Google Scholar] [CrossRef]
- Scavotto, N.; Siegert, C.; Alexander, H.D.; Varner, J.M. Bark and Crown Morphology Drive Differences in Rainwater Distribution in an Upland Oak Forest. For. Ecol. Manag. 2024, 553, 121642. [Google Scholar] [CrossRef]
- Siegert, C.M.; Drotar, N.A.; Alexander, H.D. Spatial and Temporal Variability of Throughfall among Oak and Co-Occurring Non-Oak Tree Species in an Upland Hardwood Forest. Geosciences 2019, 9, 405. [Google Scholar] [CrossRef]
- Klaasen, W.; Bosveld, F.; de Water, E. Water Storage and Evaporation as Constituents of Rainfall Interception. J. Hydrol. 1995, 212–213, 36–50. [Google Scholar] [CrossRef]
- Llorens, P.; Gallart, F. A Simplified Method for Forest Water Storage Capacity Measurement. J. Hydrol. 2000, 240, 131–144. [Google Scholar] [CrossRef]
- Crockford, R.H.; Richardson, D.P. Partitioning of Rainfall into Throughfall, Stemflow and Interception: Effect of Forest Type, Ground Cover and Climate. Hydrol. Process. 2000, 14, 2903–2920. [Google Scholar] [CrossRef]
- Link, T.E.; Unsworth, M.; Marks, D. The Dynamics of Rainfall Interception by a Seasonal Temperate Rainforest. Agric. For. Meteorol. 2004, 124, 171–191. [Google Scholar] [CrossRef]
- Van Stan, J.T.; Siegert, C.M.; Levia, D.F.; Scheick, C.E. Effects of Wind-Driven Rainfall on Stemflow Generation between Codominant Tree Species with Differing Crown Characteristics. Agric. For. Meteorol. 2011, 151, 1277–1286. [Google Scholar] [CrossRef]
- Levia, D.F.; Nanko, K.; Amasaki, H.; Giambelluca, T.W.; Hotta, N.; Iida, S.; Mudd, R.G.; Nullet, M.A.; Sakai, N.; Shinohara, Y.; et al. Throughfall Partitioning by Trees. Hydrol. Process. 2019, 33, 1698–1708. [Google Scholar] [CrossRef]
- Siegert, C.M.; Levia, D.F. Seasonal and Meteorological Effects on Differential Stemflow Funneling Ratios for Two Deciduous Tree Species. J. Hydrol. 2014, 519, 446–454. [Google Scholar] [CrossRef]
- Staelens, J.; De Schrijver, A.; Verheyen, K. Seasonal Variation in Throughfall and Stemflow Chemistry Beneath a European Beech (Fagus sylvatica) Tree in Relation to Canopy Phenology. Can. J. For. Res. 2007, 37, 1359–1372. [Google Scholar] [CrossRef]
- Park, A.; Cameron, J.L. The Influence of Canopy Traits on Throughfall and Stemflow in Five Tropical Trees Growing in a Panamanian Plantation. For. Ecol. Manag. 2008, 255, 1915–1925. [Google Scholar] [CrossRef]
- Sadeghi, S.M.M.; Van Stan, J.T.; Pypker, T.G.; Tamjidi, J.; Friesen, J.; Farahnaklangroudi, M. Importance of Transitional Leaf States in Canopy Rainfall Partitioning Dynamics. Eur. J. For. Res. 2018, 137, 121–130. [Google Scholar] [CrossRef]
- Muhammad, S.; Wuyts, K.; Nuyts, G.; De Wael, K.; Samson, R. Characterization of Epicuticular Wax Structures on Leaves of Urban Plant Species and Its Association with Leaf Wettability. Urban For. Urban Green. 2020, 47, 126557. [Google Scholar] [CrossRef]
- Neinhuis, C.; Barthlott, W. Seasonal Changes of Leaf Surface Contamination in Beech, Oak, and Ginkgo in Relation to Leaf Micromorphology and Wettability. New Phytol. 1998, 138, 91–98. [Google Scholar] [CrossRef]
- Wang, H.; Shi, H.; Li, Y.; Yu, Y.; Zhang, J. Seasonal Variations in Leaf Capturing of Particulate Matter, Surface Wettability and Micromorphology in Urban Tree Species. Front. Environ. Sci. Eng. 2013, 7, 579–588. [Google Scholar] [CrossRef]
- Holder, C.D. The Relationship between Leaf Hydrophobicity, Water Droplet Retention, and Leaf Angle of Common Species in a Semi-Arid Region of the Western United States. Agric. For. Meteorol. 2012, 152, 11–16. [Google Scholar] [CrossRef]
- Barthlott, W.; Neinhuis, C. Purity of the Sacred Lotus, or Escape from Contamination in Biological Surfaces. Planta 1997, 202, 1–8. [Google Scholar] [CrossRef]
- Ren, L.; Wang, S.; Tian, X.; Han, Z.; Yan, L.; Qiu, Z. Non-Smooth Morphologies of Typical Plant Leaf Surfaces and Their Anti-Adhesion Effects. J. Bionic Eng. 2007, 4, 33–40. [Google Scholar] [CrossRef]
- Poorter, L. Leaf Traits Show Different Relationships with Shade Tolerance in Moist Versus Dry Tropical Forests. New Phytol. 2009, 181, 890–900. [Google Scholar] [CrossRef]
- Yan, T.; Wang, Z.; Liao, C.; Xu, W.; Wan, L. Effects of the Morphological Characteristics of Plants on Rainfall Interception and Kinetic Energy. J. Hydrol. 2021, 592, 125807. [Google Scholar] [CrossRef]
- Coble, A.P.; Fogel, M.L.; Parker, G.G. Canopy Gradients in Leaf Functional Traits for Species That Differ in Growth Strategies and Shade Tolerance. Tree Physiol. 2017, 37, 1415–1425. [Google Scholar] [CrossRef]
- Vogel, S. Leaves in the Lowest and Highest Winds: Temperature, Force and Shape. New Phytol. 2009, 183, 13–26. [Google Scholar] [CrossRef]
- Van Stan, J.; Lewis, E.S.; Hildebrandt, A.; Rebmann, C.; Friesen, J. Impact of Interacting Bark Structure and Rainfall Conditions on Stemflow Variability in a Temperate Beech-Oak Forest, Central Germany. Hydrol. Sci. J. 2016, 61, 2071–2083. [Google Scholar] [CrossRef]
- Zhang, Y.-F.; Wang, X.-P.; Hu, R.; Pan, Y.-X. Meteorological Influences on Process-Based Spatial-Temporal Pattern of Throughfall of a Xerophytic Shrub in Arid Lands of Northern China. Sci. Total Environ. 2018, 619–620, 1003–1013. [Google Scholar] [CrossRef]
- Calder, I.R. Rainfall Interception and Drop Size-Development and Calibration of the Two-Layer Stochastic Interception Model. Tree Physiol. 1996, 16, 727–732. [Google Scholar] [CrossRef] [PubMed]
- Xiao, Q.; McPherson, E.G. Surface Water Storage Capacity of Twenty Tree Species in Davis, California. J. Environ. Qual. 2016, 45, 188. [Google Scholar] [CrossRef] [PubMed]
- Campellone, S.V.; Levia, D.F.; Montalto, F.A. Differences in Sub-Millimeter Surface Morphology and Canopy Interception Storage Capacities of G Leditsia triacanthos L. (Honeylocust) in Relation to Canopy Phenophase and Position. Ecohydrology 2020, 13, e2192. [Google Scholar] [CrossRef]
- Herwitz, S.R. Interception Storage Capacities of Tropical Rainforest Canopy Trees. J. Hydrol. 1985, 77, 237–252. [Google Scholar] [CrossRef]
- Keim, R.F.; Skaugset, A.E.; Weiler, M. Storage of Water on Vegetation under Simulated Rainfall of Varying Intensity. Adv. Water Resour. 2006, 29, 974–986. [Google Scholar] [CrossRef]
- Li, K.; Zhao, L.; Hou, R.; Fang, Q.; Fan, C. Effect of Leaf Distribution Pattern on the Interception Storage Capacity of Leaf Litter Under Simulated Rainfall Conditions. Hydrol. Process. 2021, 35, e14022. [Google Scholar] [CrossRef]
- Arthur, M.A.; Varner, J.M.; Lafon, C.W.; Alexander, H.D.; Dey, D.C.; Harper, C.A.; Horn, S.P.; Hutchinson, T.F.; Keyser, T.L.; Lashley, M.A.; et al. Fire Ecology and Management in Eastern Broadleaf and Appalachian Forests. In Fire Ecology and Management: Past, Present, and Future of US Forested Ecosystems; Greenberg, C.H., Collins, B., Eds.; Managing Forest Ecosystems; Springer International Publishing: Cham, Switzerland, 2021; Volume 39, pp. 105–147. ISBN 978-3-030-73266-0. [Google Scholar]
- McDaniel, J.K.; Alexander, H.D.; Siegert, C.M.; Lashley, M.A. Shifting Tree Species Composition of Upland Oak Forests Alters Leaf Litter Structure, Moisture, and Flammability. For. Ecol. Manag. 2021, 482, 118860. [Google Scholar] [CrossRef]
- Bates, D.; Maechler, M.; Bolker, B.; Walker, S. Lme4: Linear Mixed-Effects Models Using Eigen and S4; R Package Version 1.1-7; R Foundation for Statistical Computing: Vienna, Austria, 2014. [Google Scholar]
- R Core Team. A Language and Environment for Statistical Computing; R Foundation for Statistical Computing: Vienna, Austria, 2024; Available online: https://www.R-project.org (accessed on 31 October 2024).
- eFloras. Flora of North America; Missouri Botanical Garden, St. Louis, Missouri & Harvard University Herbaria: Cambridge, MA, USA, 2008; Available online: https://www.efloras.org (accessed on 15 December 2024).
- Ou, Y.; Li, Y.; Lv, L.; Mu, H.; Li, H. Effects of Leaf Microstructures on the Water Storage Capacity of Common Urban Landscape Trees. Ecohydrology 2023, 16, e2538. [Google Scholar] [CrossRef]
- Saiki, S.-T.; Ilek, A.; Ando, Y.; Sahashi, N.; Nanko, K. Impact of Pathogenic Fungi on Leaf Surface Wettability: A Case Study of Erysiphe castaneigena. Ecohydrobiology 2025, e2755. [Google Scholar] [CrossRef]
- Krokene, P.; Børja, I.; Carneros, E.; Eldhuset, T.D.; Nagy, N.E.; Volařík, D.; Gebauer, R. Effects of Combined Drought and Pathogen Stress on Growth, Resistance and Gene Expression in Young Norway Spruce Trees. Tree Physiol. 2023, 43, 1603–1618. [Google Scholar] [CrossRef]
- Umami, M.; Parker, L.M.; Arndt, S.K. The Impacts of Drought Stress and Phytophthora cinnamomi Infection on Short-Term Water Relations in Two Year-Old Eucalyptus obliqua. Forests 2021, 12, 109. [Google Scholar] [CrossRef]
- Berry, Z.C.; Emery, N.C.; Gotsch, S.G.; Goldsmith, G.R. Foliar Water Uptake: Processes, Pathways, and Integration into Plant Water Budgets. Plant Cell Environ. 2019, 42, 410–423. [Google Scholar] [CrossRef]
- Gotsch, S.G.; Draguljić, D.; Williams, C.J. Evaluating the Effectiveness of Urban Trees to Mitigate Storm Water Runoff via Transpiration and Stemflow. Urban Ecosyst. 2018, 21, 183–195. [Google Scholar] [CrossRef]
- Jiao, Y.; Niklas, K.J.; Wang, L.; Yu, K.; Li, Y.; Shi, P. Influence of Leaf Age on the Scaling Relationships of Lamina Mass vs. Area. Front. Plant Sci. 2022, 13, 860206. [Google Scholar] [CrossRef]
- Alexander, H.D.; Arthur, M.A. Implications of a Predicted Shift from Upland Oaks to Red Maple on Forest Hydrology and Nutrient Availability. Can. J. For. Res. 2010, 726, 716–726. [Google Scholar] [CrossRef]
- Caldwell, P.V.; Miniat, C.F.; Elliott, K.J.; Swank, W.T.; Brantley, S.T.; Laseter, S.H. Declining Water Yield from Forested Mountain Watersheds in Response to Climate Change and Forest Mesophication. Glob. Change Biol. 2016, 22, 2997–3012. [Google Scholar] [CrossRef]



| Overstory Leaf Area (cm2) | Midstory Leaf Area (cm2) | |
|---|---|---|
| A. rubrum (ACRU) | - | 36.0 ± 4.1 |
| C. tomentosa (CATO) | 310.4 ± 53.2 | 589.3 ± 99.5 |
| L. styraciflua (LIST) | 54.7 ± 9.6 | 69.4 ± 8.6 |
| N. sylvatica (NYSY) | - | 57.0 ± 4.0 |
| U. alata (ULAL) | - | 10.0 ± 1.4 |
| Q. alba (QUAL) | 84.1 ± 14.3 | 88.5 ± 10.9 |
| Q. falcata (QUFA) | 99.0 ± 22.2 | 120.0 ± 17.8 |
| Q. stellata (QUST) | 118.1 ± 12.3 | 79.1 ± 15.9 |
Disclaimer/Publisher’s Note: The statements, opinions and data contained in all publications are solely those of the individual author(s) and contributor(s) and not of MDPI and/or the editor(s). MDPI and/or the editor(s) disclaim responsibility for any injury to people or property resulting from any ideas, methods, instructions or products referred to in the content. |
© 2025 by the authors. Licensee MDPI, Basel, Switzerland. This article is an open access article distributed under the terms and conditions of the Creative Commons Attribution (CC BY) license (https://creativecommons.org/licenses/by/4.0/).
Share and Cite
Scavotto, N.; Siegert, C.M.; Alexander, H.D.; Varner, J.M. Leaf Water Storage Capacity Among Eight US Hardwood Tree Species: Differences in Seasonality and Methodology. Hydrology 2025, 12, 40. https://doi.org/10.3390/hydrology12020040
Scavotto N, Siegert CM, Alexander HD, Varner JM. Leaf Water Storage Capacity Among Eight US Hardwood Tree Species: Differences in Seasonality and Methodology. Hydrology. 2025; 12(2):40. https://doi.org/10.3390/hydrology12020040
Chicago/Turabian StyleScavotto, Natasha, Courtney M. Siegert, Heather D. Alexander, and J. Morgan Varner. 2025. "Leaf Water Storage Capacity Among Eight US Hardwood Tree Species: Differences in Seasonality and Methodology" Hydrology 12, no. 2: 40. https://doi.org/10.3390/hydrology12020040
APA StyleScavotto, N., Siegert, C. M., Alexander, H. D., & Varner, J. M. (2025). Leaf Water Storage Capacity Among Eight US Hardwood Tree Species: Differences in Seasonality and Methodology. Hydrology, 12(2), 40. https://doi.org/10.3390/hydrology12020040

