Stable Water Isotopes and Machine Learning Approaches to Investigate Seawater Intrusion in the Magra River Estuary (Italy)
Abstract
1. Introduction
2. Research Area
2.1. Geographic and Geological Framework
2.2. Hydrography
2.3. Climatic Framework
3. Methods
3.1. Monitoring Strategies for Marine Intrusion
- Two stations were positioned upstream of the Magra–Vara confluence (one on each river) and were used to characterize their individual water EC and isotopic signatures.
- The remaining seven stations were distributed along the estuarine reach of the Magra River, from the Romito weir to Bocca di Magra, spaced at regular distance intervals.
3.2. Estimating the Marine Water Fraction via Mass-Balance Modeling
3.3. Multivariate Regression Models for the Analysis of Environmental Variables
- River discharge (m3/s), as an indicator of freshwater pressure;
- Wind speed (m/s), which can influence surface circulation;
- Wind direction (azimuth degrees), to assess orientation-related effects on saltwater propagation;
- Tidal oscillations (m), which modulate marine pressure on the estuary.
- Multicollinearity among predictors;
- Limited number of observations compared to the number of variables;
- Need for transparent and interpretable results.
4. Results
4.1. Hydrological Monitoring Outcomes
4.2. Spatial Distribution of Water Electrical Conductivity
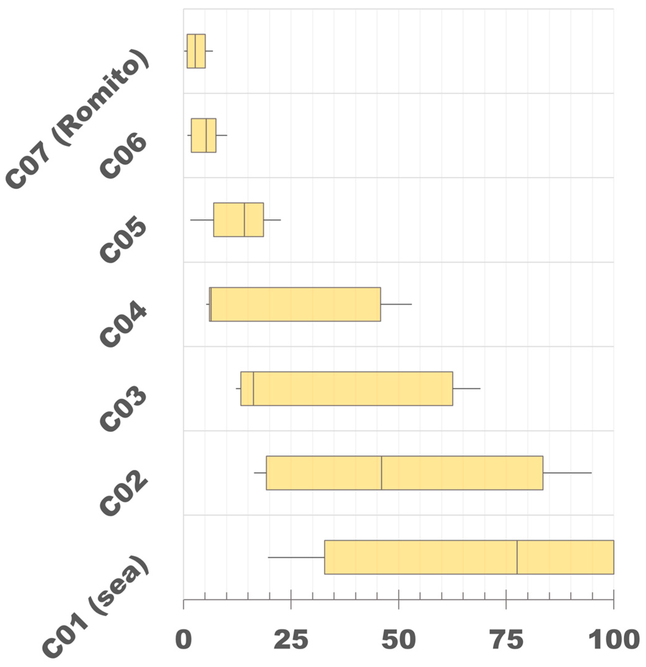
4.3. Spatial and Temporal Variation of Marine Water Fraction
5. Discussion
5.1. Cross-Validation of Water Tracers: Comparison Between EC and δ18O
5.2. Interpretation of Isotopic Analyses: Local Meteoric Water Line and Estuarine Mixing
5.3. Statistical Modeling and Interpretation of Environmental Variables Driving Intrusion Dynamics
- River Discharge: Strongly negatively correlated with marine fraction. Higher discharge pushes freshwater downstream, limiting saline intrusion. Its influence increases with distance from the Romito weir, peaking near the mouth at C01;
- Wind Intensity: Shows positive correlation with marine fraction. Stronger winds facilitate upstream movement of saltwater, particularly impacting intermediate stations (C02–C04).
6. Conclusions
Policy Recommendations
- Implement continuous and seasonal monitoring of salinity and isotopic parameters, with particular attention to low-flow periods and extreme meteorological events.
- Integrate predictive modeling into water management plans to anticipate the extent of seawater intrusion as a function of river discharge and atmospheric conditions.
- Develop adaptive planning strategies based on regional climate scenarios, accounting for projected increases in temperature, reductions in precipitation, and sea level rise.
Author Contributions
Funding
Data Availability Statement
Conflicts of Interest
References
- Bonacci, O.; Bonacci, D.; Patekar, M.; Pola, M. Increasing Trends in Air and Sea Surface Temperature in the Central Adriatic Sea (Croatia). J. Mar. Sci. Eng. 2021, 9, 358. [Google Scholar] [CrossRef]
- Borović, S.; Terzić, J.; Pola, M. Groundwater Quality on the Adriatic Karst Island of Mljet (Croatia) and Its Implications on Water Supply. Geofluids 2019, 2019, 5142712. [Google Scholar] [CrossRef]
- Passarella, G.; Masciale, R.; Menichini, M.; Doveri, M.; Portoghese, I. Decoding Salinization Dynamics in Mediterranean Coastal Aquifers: A Case Study from a Wetland in Southern Italy. Environments 2025, 12, 227. [Google Scholar] [CrossRef]
- Nisi, B.; Vaselli, O.; Taussi, M.; Doveri, M.; Menichini, M.; Cabassi, J.; Raco, B.; Botteghi, S.; Mussi, M.; Masetti, G. Hy-drogeochemical Surveys of Shallow Coastal Aquifers: A Conceptual Model to Set-up a Monitoring Network and Increase the Resilience of a Strategic Groundwater System to Climate Change and Anthropogenic Pressure. Appl. Geochem. 2022, 142, 105350. [Google Scholar] [CrossRef]
- Bellafiore, D.; Ferrarin, C.; Maicu, F.; Manfè, G.; Lorenzetti, G.; Umgiesser, G.; Zaggia, L.; Valle-Levinson, A. Saltwater Intrusion in a Mediterranean Delta Under a Changing Climate. J. Geophys. Res. Ocean. 2021, 126, e2020JC016437. [Google Scholar] [CrossRef]
- Sannino, G.; Anav, A.; Catalano, F.; Napolitano, E.; di Sarra, A.; Sferlazzo, D. Clima mediterraneo: Cambiamento in atto e scenari futuri. Energ. Ambiente e Innov. 2024, 2, 51–53. [Google Scholar] [CrossRef]
- Cos, J.; Doblas-Reyes, F.; Jury, M.; Marcos, R.; Bretonnière, P.-A.; Samsó, M. The Mediterranean Climate Change Hotspot in the CMIP5 and CMIP6 Projections. Earth Syst. Dyn. 2022, 13, 321–340. [Google Scholar] [CrossRef]
- del R Almazan-Benitéz, B.; Esteller-Alberich, M.V.; Renau-Pruñonosa, A.; Expósito-Castillo, J.L. Simulation of Seawater Intrusion and Upconing Processes in Mediterranean Aquifer in Response to Climate Change (Plana de Castellón, Spain). Hydrology 2024, 11, 205. [Google Scholar] [CrossRef]
- Siemes, R.W.A.; Duong, T.M.; Borsje, B.W.; Hulscher, S.J.M.H. Salt Intrusion Affected by Large-Scale Human Interven-tions and Sea Level Rise: A 3D Modeling Study of an Engineered Estuary. J. Geophys. Res. Ocean. 2025, 130, e2025JC022504. [Google Scholar] [CrossRef]
- Lee, J.; Biemond, B.; van Keulen, D.; Huismans, Y.; van Westen, R.M.; de Swart, H.E.; Dijkstra, H.A.; Kranenburg, W.M. Global Increases of Salt Intrusion in Estuaries under Future Environmental Conditions. Nat. Commun. 2025, 16, 3444. [Google Scholar] [CrossRef]
- Kolb, P.; Zorndt, A.; Burchard, H.; Gräwe, U.; Kösters, F. Modelling the Impact of Anthropogenic Measures on Saltwater Intrusion in the Weser Estuary. Ocean Sci. 2022, 18, 1725–1739. [Google Scholar] [CrossRef]
- Kasai, A.; Kurikawa, Y.; Ueno, M.; Robert, D.; Yamashita, Y. Salt-Wedge Intrusion of Seawater and Its Implication for Phytoplankton Dynamics in the Yura Estuary, Japan. Estuar. Coast. Shelf Sci. 2010, 86, 408–414. [Google Scholar] [CrossRef]
- Serrano, M.A.; Cobos, M.; Magaña, P.J.; Díez-Minguito, M. Sensitivity of Iberian Estuaries to Changes in Sea Water Temperature, Salinity, River Flow, Mean Sea Level, and Tidal Amplitudes. Estuar. Coast. Shelf Sci. 2020, 236, 106624. [Google Scholar] [CrossRef]
- Setiawan, I.; Morgan, L.K.; Doscher, C. Saltwater Intrusion from an Estuarine River: A Field Investigation. J. Hydrol. 2023, 617, 128955. [Google Scholar] [CrossRef]
- Wang, Y.; Jiao, J.J. Origin of Groundwater Salinity and Hydrogeochemical Processes in the Confined Quaternary Aquifer of the Pearl River Delta, China. J. Hydrol. 2012, 438–439, 112–124. [Google Scholar] [CrossRef]
- Kranenburg, W.; Kaaij, T.; Tiessen, M.; Friocourt, Y.; Blaas, M. Salt Intrusion in the Rhine Meuse Delta: Estuarine Circulation, Tidal Dispersion or Surge Effect. In Proceedings of the 39th IAHR World Congress From Snow to Sea, Granada, Spain, 19–24 June 2022; pp. 5601–5608. [Google Scholar]
- Turolla, S.; Pigozzi, S. Il Monitoraggio Della Risalita del Cuneo Salino. Ecoscienza 2023, 6, 20–21. [Google Scholar]
- Anthony, E.; Syvitski, J.; Zăinescu, F.; Nicholls, R.J.; Cohen, K.M.; Marriner, N.; Saito, Y.; Day, J.; Minderhoud, P.S.J.; Amorosi, A.; et al. Delta Sustainability from the Holocene to the Anthropocene and Envisioning the Future. Nat. Sustain 2024, 7, 1235–1246. [Google Scholar] [CrossRef]
- Luppichini, M.; Bini, M. 40-Year Shoreline Evolution in Italy: Critical Challenges in River Delta Regions. Estuar. Coast. Shelf Sci. 2025, 315, 109166. [Google Scholar] [CrossRef]
- Raggi, G. Neotettonica Ed Evoluzione Paleogeografica Plio-Pleistocenica Del Bacino Del Fiume Magra. Mem. Della Soc. Geol. Ital. 1985, 30, 35–62. [Google Scholar]
- Brozzo, G.; Marini, L.; Prochilo, F.; Zuccolini, M.V. Atlante Degli Acquiferi Della Liguria—Volume IV: L’acquifero Alluvionale Della Bassa Valle Del Fiume Magra; Pacini Editore: Pisa, Italy, 2009. [Google Scholar]
- Autorità di Bacino interregionale del Fiume Magra. PIANO STRALCIO “ASSETTO IDROGEOLOGICO” Del Bacino Del Fiume Magra e Del Torrente Parmignola; Autorità di Bacino Interregionale del Fiume Magra: Sarzana, Italy, 2016; pp. 1–57. [Google Scholar]
- Dai, Z. Estuarine Submerged Delta Modern Morphodynamics. In Changjiang Riverine and Estuarine Hydro-Morphodynamic Processes: In the Context of Anthropocene Era; Springer: Singapore, 2021; pp. 325–343. ISBN 978-981-16-3771-1. [Google Scholar]
- Cheng, H.Q.; Chen, W.; Li, J.F.; Jiang, Y.H.; Hu, X.; Zhang, X.L.; Zhou, F.N.; Hu, F.X.; Stive, M. Morphodynamic Changes in the Yangtze Estuary under the Impact of the Three Gorges Dam, Estuarine Engineering Interventions and Climate-Induced Sea Level Rise. Earth Planet. Sci. Lett. 2022, 580, 117385. [Google Scholar] [CrossRef]
- Martella, L. Monitoraggio Delle Acque Di Transizione Alla Foce Del Fiume Magra (SP)—2011/2013; ARPAL: Genoa, Italy, 2013. [Google Scholar]
- Porru, M.C.; Arras, C.; Biddau, R.; Cidu, R.; Lobina, F.; Podda, F.; Wanty, R.; Da Pelo, S. Assessing Recharge Sources and Seawater Intrusion in Coastal Groundwater: A Hydrogeological and Multi-Isotopic Approach. Water 2024, 16, 1106. [Google Scholar] [CrossRef]
- Bahir, M.; el Mountassir, O.; Ali, S. Understanding Seawater Intrusion by Hydrochemical Parameters and Stable Water Isotopes Along the Coastal Alluvial Aquifers of the Essaouira Basin, Morocco. In Groundwater Quality and Geochemistry in Arid and Semi-Arid Regions; Ali, S., Negm, A., Eds.; Springer Nature: Cham, Switzerland, 2024; pp. 267–293. ISBN 978-3-031-53777-6. [Google Scholar]
- Fry, B. Stable Isotope Ecology; Springer: Berlin/Heidelberg, Germany, 2006. [Google Scholar] [CrossRef]
- Durham, C.L.; Eggleston, D.B.; Nail, A.J.; Durham, C.L.; Eggleston, D.B.; Nail, A.J. Process-Based Statistical Models Predict Dynamic Estuarine Salinity. In Lagoon Environments Around the World—A Scientific Perspective; IntechOpen: London, UK, 2019. [Google Scholar] [CrossRef]
- Zhu, B.; Wang, T.; De Meester, J.; Willems, P. Comparative Analysis with Statistical and Machine Learning for Modeling Overall and High Salinity along the Scheldt Estuary. Water 2024, 16, 2150. [Google Scholar] [CrossRef]
- Rinaldi, M.; Simoncini, C.; Sogni, D. Variazioni morfologiche recenti di due alvei fluviali ghiaiosi appenninici: Il Fiume Trebbia ed il Fiume Vara. Geogr. Fis. Din. Quat. 2005, (Suppl. VII), 313–319. [Google Scholar]
- Rinaldi, M.; Simoncini, C. Studio Geomorfologico Del Fiume Magra e Del Fiume Vara Finalizzato Alla Gestione Dei Sedimenti e Della Fascia Di Mobilità. In Proceedings of the Nuovi Approcci per la Comprensione dei Processi Fluviali e la Gestione dei Sedimenti. Applicazioni nel Bacino del Ma-gra. Sarzana: Magra River Basin Authority, Liguria, Italy, 24–25 October 2006; pp. 93–109. [Google Scholar]
- Raggi, G. La Bassa Val Di Magra Ed Il Sottosuolo Della Piana Lunense, Da Capellini Ai Giorni d’oggi. Memorie della Accademia Luniganense di Scienze Giovanni Cappellini 2016, 86, 137–178. [Google Scholar]
- Raggi, D.; Raggi, G. Gli Acquiferi e Le Risorse Idriche Del Territorio Spezzino. Alcune Proposte per La Loro Razionale Utilizzazione e Tutela; Aracne Editrice: Ariccia, Italy, 2020. [Google Scholar]
- Mckee, T.B.; Doesken, N.J.; Kleist, J. The Relationship of Drought Frequency and Duration to Time Scales. In Proceedings of the Eighth Conference on Applied Climatology, Orange County, CA, USA, 17–22 January 1993; pp. 17–22. [Google Scholar]
- World Meteorological Organization (WMO). Drought Monitoring and Early Warning: Concepts, Progress and Future Challenges; WMO: Geneva, Switzerland, 2006; ISBN 978-92-63-11006-0. [Google Scholar]
- Kalnay, E.; Kanamitsu, M.; Kistler, R.; Collins, W.; Deaven, D.; Gandin, L.; Iredell, M.; Saha, S.; White, G.; Woollen, J.; et al. The NCEP/NCAR 40-Year Reanalysis Project. Bull. Am. Meteorol. Soc. 1996, 77, 437–472. [Google Scholar] [CrossRef]
- Mariani, S.; Braca, G.; Romano, E.; Lastoria, B.; Bussettini, M. Linee Guida Sugli Indicatori Di Siccità e Scarsità Idrica Da Utilizzare Nelle Attività Degli Osservatori Permanenti per Gli Utilizzi Idrici–Stato Attuale e Prospettive Future. CReIAMO PA 2018, 66, 1–56. [Google Scholar]
- Rossi, G.; Benedini, M.; Tsakiris, G.; Giakoumakis, S. On Regional Drought Estimation and Analysis. Water Resour. Manag. 1992, 6, 249–277. [Google Scholar] [CrossRef]
- Svoboda, M.; Hayes, M.; Wood, D. Standardized Precipitation Index: User Guide; Technical > Guides and other guidance; WMO: Geneva, Switzerland, 2012; ISBN 978-92-63-11091-6. [Google Scholar]
- Mohanty, A.K.; Rao, V.V.S.G. Hydrogeochemical, Seawater Intrusion and Oxygen Isotope Studies on a Coastal Region in the Puri District of Odisha, India. CATENA 2019, 172, 558–571. [Google Scholar] [CrossRef]
- Abou Zakhem, B.; Hafez, R. Environmental Isotope Study of Seawater Intrusion in the Coastal Aquifer (Syria). Environ. Geol. 2007, 51, 1329–1339. [Google Scholar] [CrossRef]
- Longinelli, A.; Selmo, E. Isotope Geochemistry and the Water Cycle: A Short Review with Special Emphasis on Italy. Mem. Descr. Carta Geol. d’It 2010, 90, 153–164. [Google Scholar]
- Ronchetti, F.; Deiana, M.; Lugli, S.; Sabattini, M.; Critelli, V.; Aguzzoli, A.; Mussi, M. Water Isotope Analyses and Flow Measure-ments for Understanding the Stream and Meteoric Recharge Contributions to the Poiano Evaporite Karst Spring in the North Apennines, Italy. Hydrogeol. J. 2023, 31, 601–619. [Google Scholar] [CrossRef]
- Luo, M.; Peng, X.; Zhao, Z.; Qin, D.; Pan, H. Saline Groundwater Formation in an Extremely Arid Inland Basin in Northwestern China. Hydrogeol. J. 2025, 33, 739–754. [Google Scholar] [CrossRef]
- Suzuki, T.; Tsujimura, M.; Sato, K.; Asakura, H.; Ueno, H.; Nagano, K. Evaluation of Groundwater–Surface Water Interaction Using End-Member Mixing Analysis (EMMA) in the Middle Reaches of the Tama River, Tokyo, Japan. Hydrogeol. J. 2025, 33, 825–839. [Google Scholar] [CrossRef]
- Taylor, J.R. An Introduction to Error Analysis: The Study of Uncertainties in Physical Measurements; MIT Press: Cambridge, MA, USA, 2022. [Google Scholar]
- Paiva da Silva, F.; Martins, J.R.; Nogueira, F. Impacts of Sea Level Rise on Seawater Intrusion in Cubatão River, Brazil. Environ. Model. Assess. 2020, 25, 831–841. [Google Scholar] [CrossRef]
- Wold, S.; Sjöström, M.; Eriksson, L. PLS-Regression: A Basic Tool of Chemometrics. Chemom. Intell. Lab. Syst. 2001, 58, 109–130. [Google Scholar] [CrossRef]
- Hoerl, A.E.; Kennard, R.W. Ridge Regression: Biased Estimation for Nonorthogonal Problems. Technometrics 1970, 12, 55–67. [Google Scholar] [CrossRef]
- Tibshirani, R. Regression Shrinkage and Selection Via the Lasso. J. R. Stat. Soc. Ser. B Stat. Methodol. 1996, 58, 267–288. [Google Scholar] [CrossRef]
- Zou, H.; Hastie, T. Regularization and Variable Selection Via the Elastic Net. J. R. Stat. Soc. Ser. B Stat. Methodol. 2005, 67, 301–320. [Google Scholar] [CrossRef]
- Conroy, J.L.; Murray, N.K.; Patterson, G.S.; Schore, A.I.G.; Ikuru, I.; Cole, J.E.; Chillagana, D.; Echeverria, F. Equatorial Undercur-rent Influence on Surface Seawater δ18O Values in the Galápagos. Geophys. Res. Lett. 2023, 50, e2022GL102074. [Google Scholar] [CrossRef]
- Howarth, R.; Marino, R.; Swaney, D.; Boyer, E. Wastewater and Watershed Influences on Primary Productivity and Oxygen Dynamics in the Lower Hudson River Estuary. In The Hudson River Estuary; Cambridge University Press: Cambridge, UK, 2006. [Google Scholar] [CrossRef]
- Hubert, E.; Wolkersdorfer, C. Establishing a Conversion Factor between Electrical Conductivity and Total Dissolved Solids in South African Mine Waters. Water SA 2015, 41, 490–500. [Google Scholar] [CrossRef]
- Gupta, P.K.; Goel, M. Environmental Tracers and Isotopic Techniques: Tools for Sustainable Water Management. In Geostatistics and Geospatial Technologies for Groundwater Resources in India; Adhikary, P.P., Shit, P.K., Santra, P., Bhunia, G.S., Tiwari, A.K., Chaudhary, B.S., Eds.; Springer International Publishing: Cham, Switzerland, 2021; pp. 513–529. ISBN 978-3-030-62397-5. [Google Scholar]
- Li, S.-L.; Liu, C.-Q.; Patra, S.; Wang, F.; Wang, B.; Yue, F.-J. Using a Dual Isotopic Approach to Trace Sources and Mixing of Sulphate in Changjiang Estuary, China. Appl. Geochem. 2011, 26, S210–S213. [Google Scholar] [CrossRef]
- Craig, H. Isotopic Variations in Meteoric Waters. Science 1961, 133, 1702–1703. [Google Scholar] [CrossRef]
- Tazioli, A.; Fronzi, D.; Palpacelli, S. Regional vs. Local Isotopic Gradient: Insights and Modeling from Mid-Mountain Areas in Central Italy. Ground Water 2024, 62, 714–734. [Google Scholar] [CrossRef]
- Cervi, F.; Tazioli, A. Inferring Hydrological Information at the Regional Scale by Means of δO–δH Relationships: Insights from the Northern Italian Apennines. Hydrology 2022, 9, 41. [Google Scholar] [CrossRef]
- Doveri, M.; Menichini, M.; Cerrina Feroni, A. Stable Water Isotopes as Fundamental Tool in Karst Aquifer Studies: Some Results from Isotopic Applications in the Apuan Alps Carbonatic Complexes (NW Tuscany, Italy). Ital. J. Eng. Geol. Environ. 2013, 1, 33–50. [Google Scholar] [CrossRef]
- Rozanski, K.; Araguás-Araguás, L.; Gonfiantini, R. Isotopic Patterns in Global Precipitation. J. Geophys. Res. 1992, 78, 1–36. [Google Scholar] [CrossRef]
- Natali, S.; Doveri, M.; Giannecchini, R.; Baneschi, I.; Zanchetta, G. Is the Deuterium Excess in Precipitation a Reliable Tracer of Moisture Sources and Water Resources Fate in the Western Mediterranean? New Insights from Apuan Alps (Italy). J. Hydrol. 2022, 614, 128497. [Google Scholar] [CrossRef]
- Kossova, S.A.; Dubinina, Y.e.O. Origin of the Freshwater Component in Estuaries of the Ob and Yenisey Rivers and Adjacent Waters of the Kara Sea Based on Isotopic (δD, δ18O) Data. Oceanology 2025, 65, 56–66. [Google Scholar] [CrossRef]
- Khalil, U.; Sajid, M.; Riaz, M.Z.B.; Yang, S.; Sivakumar, M. Estuarine Salinity Intrusion and Flushing Time Response to Freshwater Flows and Tidal Forcing Under the Constricted Entrance. Water 2025, 17, 693. [Google Scholar] [CrossRef]
- Li, M.; Najjar, R.G.; Kaushal, S.; Mejia, A.; Chant, R.J.; Ralston, D.K.; Burchard, H.; Hadjimichael, A.; Lassiter, A.; Wang, X. The Emerging Global Threat of Salt Contamination of Water Supplies in Tidal Rivers. Environ. Sci. Technol. Lett. 2025, 12, 881–892. [Google Scholar] [CrossRef]
- Menten, G.; Melo, W.; Pinho, J.; Iglesias, I.; Antunes do Carmo, J. Simulation of Saltwater Intrusion in the Minho River Estuary under Sea Level Rise Scenarios. Water 2023, 15, 2313. [Google Scholar] [CrossRef]
- Scroccaro, I.; Spitz, Y.H.; Seaton, C.M. Effect of Local Winds on Salinity Intrusion in the Columbia River Estuary. Water 2023, 15, 326. [Google Scholar] [CrossRef]
- Gong, W.; Lin, Z.; Chen, Y.; Chen, Z.; Zhang, H. Effect of Winds and Waves on Salt Intrusion in the Pearl River Estuary. Ocean Sci. 2018, 14, 139–159. [Google Scholar] [CrossRef]
- Ma, R.; Qiu, C.; Zhu, J.; Zhang, Z.; Zhu, Y.; Kong, L.; Ding, L.; Qiu, W.; Wu, H. Dynamic Cause of Saltwater Intrusion Extremes and Freshwater Challenges in the Changjiang Estuary in Flood Season of 2022. Front. Mar. Sci. 2025, 12, 1573883. [Google Scholar] [CrossRef]
- Uncles, R.J.; Stephens, J.A. The Effects of Wind, Runoff and Tides on Salinity in a Strongly Tidal Sub-Estuary. Estuaries Coasts 2011, 34, 758–774. [Google Scholar] [CrossRef]
- Jongbloed, H.; Schuttelaars, H.M.; Dijkstra, Y.M.; Donkers, P.B.; Hoitink, A.J.F. Influence of Wind on Subtidal Salt Intrusion and Stratification in Well-Mixed and Partially Stratified Estuaries. J. Phys. Oceanogr. 2022, 52, 3139–3158. [Google Scholar] [CrossRef]
- van Keulen, D.; Kranenburg, W.M.; Hoitink, A.J.F. A New Harmonic Regression Approach to Interpret and Predict Estuarine Salinity Variation. J. Geophys. Res. Ocean. 2025, 130, e2024JC022185. [Google Scholar] [CrossRef]
- Wegman, T.M.; Pietrzak, J.D.; Horner-Devine, A.R.; Dijkstra, H.A.; Ralston, D.K. Observations of Estuarine Salt Intrusion Dy-namics During a Prolonged Drought Event in the Rhine-Meuse Delta. J. Geophys. Res. Ocean. 2025, 130, e2024JC021655. [Google Scholar] [CrossRef]
- Costa, Y.; Martins, I.; Carvalho, G.; Barros, F. Trends of Sea-Level Rise Effects on Estuaries and Estimates of Future Saline Intru-sion. Ocean Coast. Manag. 2023, 236, 106490. [Google Scholar] [CrossRef]












| Type | Standard | δ18O (‰ VSMOW) | δD (‰ VSMOW) |
|---|---|---|---|
| Primary | VSMOW | 0.00 ± 0.00 | 0.00 ± 0.00 |
| Secondary | SS2 | −0.10 ± 0.26 | 0.20 ± 0.90 |
| Secondary | SS5 | −3.95 ± 0.22 | −20.10 ± 1.40 |
| Secondary | SS3 | −5.60 ± 0.21 | −31.80 ± 1.80 |
| Secondary | SS6 | −7.70 ± 0.24 | - |
| Secondary | SS4 | −8.61 ± 0.18 | −58.10 ± 1.90 |
| Secondary | SS7 | −12.93 ± 0.22 | - |
| Secondary | SS1 | −15.90 ± 0.21 | −105.60 ± 1.70 |
| Primary | GRASP | −33.40 ± 0.00 | −258.00 ± 0.00 |
| Primary | SLAP | −55.50 ± 0.00 | −472.50 ± 0.00 |
| Monitoring Station | δ18O (‰ VSMOW) | n. obs. | δD (‰ VSMOW) | n. obs. | EC (µS/cm) | n. obs. |
|---|---|---|---|---|---|---|
| C01 | −2.23 ± 2.47 | 9 | −10.49 ± 14.41 | 4 | 31,642 ± 19,208 | 8 |
| C02 | −2.78 ± 2.51 | 6 | −34.25 | 1 | 27,562 ± 20,027 | 6 |
| C03 | −3.87 ± 1.99 | 5 | −24.64 ± 14.80 | 2 | 19,029 ± 15,496 | 5 |
| C04 | −4.58 ± 1.70 | 5 | - | 0 | 13,197 ± 13,481 | 5 |
| C05 | −5.21 ± 0.65 | 6 | −29.00 ± 7.58 | 2 | 5243 ± 4937 | 6 |
| C06 | −5.73 ± 0.41 | 5 | - | 0 | 2387 ± 2379 | 5 |
| C07 | −5.84 ± 0.25 | 19 | −36.08 ± 1.47 | 2 | 746 ± 314 | 21 |
| C10 | −6.00 ± 0.26 | 7 | −34.57 ± 1.82 | 2 | 570 ± 124 | 8 |
| C12 | −5.97 ± 0.29 | 7 | −35.80 ± 5.11 | 3 | 612 ± 144 | 6 |
| C13 | −6.41 ± 0.31 | 12 | −37.96 ± 4.57 | 6 | 923 ± 317 | 6 |
| C14 | −5.76 ± 0.49 | 12 | −31.29 ± 3.77 | 6 | 340 ± 47 | 6 |
| Monitoring Station | PLS MSE | Ridge MSE | LASSO MSE | Elastic Net MSE | ||||
|---|---|---|---|---|---|---|---|---|
| Mean | Std. Dev. | Mean | Std. Dev. | Mean | Std. Dev. | Mean | Std. Dev. | |
| C01 | 3.95 | 1.03 | 2.94 | 0.81 | 12.48 | 7.51 | 1.84 | 0.57 |
| C02 | 1.91 | 0.23 | 1.49 | 0.26 | 3.34 | 1.00 | 1.10 | 0.23 |
| C03 | 0.56 | 0.00 | 0.51 | 0.00 | 1.50 | 0.00 | 0.01 | 0.00 |
| C04 | 0.31 | 0.00 | 0.08 | 0.00 | 1.42 | 0.00 | 0.01 | 0.00 |
| C05 | 0.08 | 0.03 | 0.04 | 0.03 | 0.18 | 0.06 | 0.01 | 0.01 |
| C06 | 0.09 | 0.00 | 0.05 | 0.00 | 0.05 | 0.00 | 0.00 | 0.00 |
| C07 | 0.28 | 0.11 | 0.05 | 0.01 | 0.26 | 0.22 | 0.05 | 0.01 |
| C10 | 0.05 | 0.02 | 0.02 | 0.01 | 0.09 | 0.03 | 0.03 | 0.01 |
Disclaimer/Publisher’s Note: The statements, opinions and data contained in all publications are solely those of the individual author(s) and contributor(s) and not of MDPI and/or the editor(s). MDPI and/or the editor(s) disclaim responsibility for any injury to people or property resulting from any ideas, methods, instructions or products referred to in the content. |
© 2025 by the authors. Licensee MDPI, Basel, Switzerland. This article is an open access article distributed under the terms and conditions of the Creative Commons Attribution (CC BY) license (https://creativecommons.org/licenses/by/4.0/).
Share and Cite
Sabattini, M.; Ronchetti, F.; Brozzo, G.; Arosio, D. Stable Water Isotopes and Machine Learning Approaches to Investigate Seawater Intrusion in the Magra River Estuary (Italy). Hydrology 2025, 12, 262. https://doi.org/10.3390/hydrology12100262
Sabattini M, Ronchetti F, Brozzo G, Arosio D. Stable Water Isotopes and Machine Learning Approaches to Investigate Seawater Intrusion in the Magra River Estuary (Italy). Hydrology. 2025; 12(10):262. https://doi.org/10.3390/hydrology12100262
Chicago/Turabian StyleSabattini, Marco, Francesco Ronchetti, Gianpiero Brozzo, and Diego Arosio. 2025. "Stable Water Isotopes and Machine Learning Approaches to Investigate Seawater Intrusion in the Magra River Estuary (Italy)" Hydrology 12, no. 10: 262. https://doi.org/10.3390/hydrology12100262
APA StyleSabattini, M., Ronchetti, F., Brozzo, G., & Arosio, D. (2025). Stable Water Isotopes and Machine Learning Approaches to Investigate Seawater Intrusion in the Magra River Estuary (Italy). Hydrology, 12(10), 262. https://doi.org/10.3390/hydrology12100262

