Does Applying Subsampling in Quantile Mapping Affect the Climate Change Signal?
Abstract
1. Introduction
2. Materials and Methods
3. Results
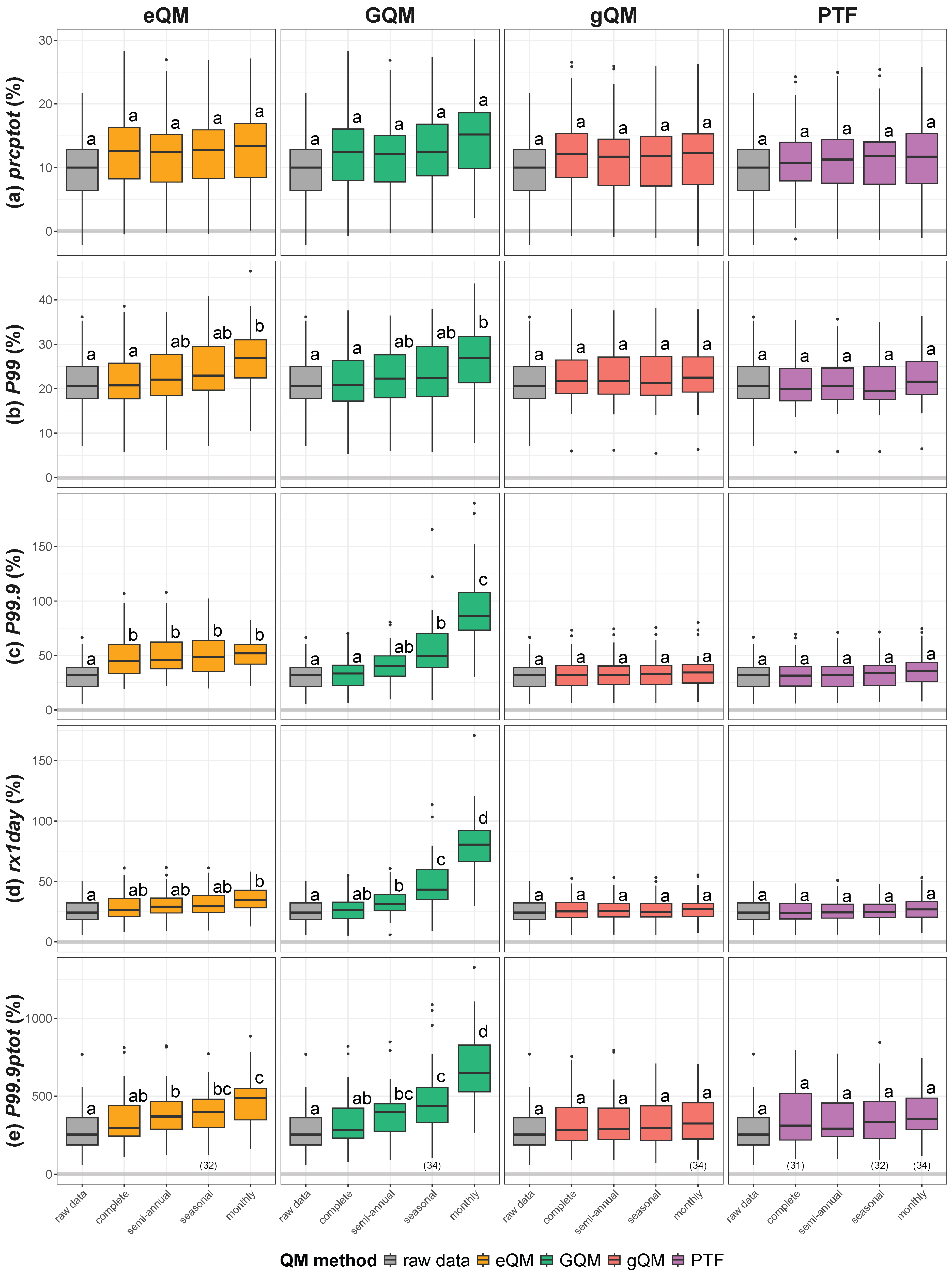
3.1. Bias Correction
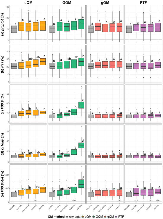
3.2. Climate Change Signals
4. Discussion
5. Conclusions
Author Contributions
Funding
Data Availability Statement
Acknowledgments
Conflicts of Interest
Abbreviations
| rsm | robust spatial mean |
| QM | quantile mapping |
| BC | bias correction |
| CCS | climate change signal |
| RCM | regional climate model |
| GCM | global climate model |
References
- Intergovernmental Panel On Climate Change (IPCC). Climate Change 2021—The Physical Science Basis: Working Group I Contribution to the Sixth Assessment Report of the Intergovernmental Panel on Climate Change, 1st ed.; Cambridge University Press: Cambridge, UK, 2023. [Google Scholar] [CrossRef]
- Haerter, J.O.; Hagemann, S.; Moseley, C.; Piani, C. Climate model bias correction and the role of timescales. Hydrol. Earth Syst. Sci. 2011, 15, 1065–1079. [Google Scholar] [CrossRef]
- Ehret, U.; Zehe, E.; Wulfmeyer, V.; Warrach-Sagi, K.; Liebert, J. HESS Opinions “Should we apply bias correction to global and regional climate model data?”. Hydrol. Earth Syst. Sci. 2012, 16, 3391–3404. [Google Scholar] [CrossRef]
- Vogel, E.; Johnson, F.; Marshall, L.; Bende-Michl, U.; Wilson, L.; Peter, J.R.; Wasko, C.; Srikanthan, S.; Sharples, W.; Dowdy, A.; et al. An evaluation framework for downscaling and bias correction in climate change impact studies. J. Hydrol. 2023, 622, 129693. [Google Scholar] [CrossRef]
- Papadimitriou, L.V.; Koutroulis, A.G.; Grillakis, M.G.; Tsanis, I.K. High-end climate change impact on European runoff and low flows—exploring the effects of forcing biases. Hydrol. Earth Syst. Sci. 2016, 20, 1785–1808. [Google Scholar] [CrossRef]
- Trancoso, R.; Syktus, J.; Toombs, N.; Ahrens, D.; Wong, K.K.H.; Pozza, R.D. Heatwaves intensification in Australia: A consistent trajectory across past, present and future. Sci. Total Environ. 2020, 742, 140521. [Google Scholar] [CrossRef] [PubMed]
- Eccles, R.; Zhang, H.; Hamilton, D.; Trancoso, R.; Syktus, J. Impacts of climate change on streamflow and floodplain inundation in a coastal subtropical catchment. Adv. Water Resour. 2021, 147, 103825. [Google Scholar] [CrossRef]
- Maraun, D.; Wetterhall, F.; Ireson, A.M.; Chandler, R.E.; Kendon, E.J.; Widmann, M.; Brienen, S.; Rust, H.W.; Sauter, T.; Themeßl, M.; et al. Precipitation downscaling under climate change: Recent developments to bridge the gap between dynamical models and the end user. Rev. Geophys. 2010, 48, RG3003. [Google Scholar] [CrossRef]
- Maraun, D.; Huth, R.; Gutiérrez, J.M.; Martín, D.S.; Dubrovsky, M.; Fischer, A.; Hertig, E.; Soares, P.M.M.; Bartholy, J.; Pongrácz, R.; et al. The VALUE perfect predictor experiment: Evaluation of temporal variability. Int. J. Climatol. 2019, 39, 3786–3818. [Google Scholar] [CrossRef]
- Widmann, M.; Bedia, J.; Gutiérrez, J.M.; Bosshard, T.; Hertig, E.; Maraun, D.; Casado, M.J.; Ramos, P.; Cardoso, R.M.; Soares, P.M.M.; et al. Validation of spatial variability in downscaling results from the VALUE perfect predictor experiment. Int. J. Climatol. 2019, 39, 3819–3845. [Google Scholar] [CrossRef]
- Maraun, D. Bias Correction, Quantile Mapping, and Downscaling: Revisiting the Inflation Issue. J. Clim. 2013, 26, 2137–2143. [Google Scholar] [CrossRef]
- Wilcke, R.A.I.; Mendlik, T.; Gobiet, A. Multi-variable error correction of regional climate models. Clim. Chang. 2013, 120, 871–887. [Google Scholar] [CrossRef]
- Enayati, M.; Bozorg-Haddad, O.; Bazrafshan, J.; Hejabi, S.; Chu, X. Bias correction capabilities of quantile mapping methods for rainfall and temperature variables. J. Water Clim. Chang. 2021, 12, 401–419. [Google Scholar] [CrossRef]
- Themeßl, M.J.; Gobiet, A.; Leuprecht, A. Empirical-statistical downscaling and error correction of daily precipitation from regional climate models. Int. J. Climatol. 2011, 31, 1530–1544. [Google Scholar] [CrossRef]
- Teutschbein, C.; Seibert, J. Bias correction of regional climate model simulations for hydrological climate-change impact studies: Review and evaluation of different methods. J. Hydrol. 2012, 456–457, 12–29. [Google Scholar] [CrossRef]
- Fang, G.H.; Yang, J.; Chen, Y.N.; Zammit, C. Comparing bias correction methods in downscaling meteorological variables for a hydrologic impact study in an arid area in China. Hydrol. Earth Syst. Sci. 2015, 19, 2547–2559. [Google Scholar] [CrossRef]
- Hagemann, S.; Chen, C.; Haerter, J.O.; Heinke, J.; Gerten, D.; Piani, C. Impact of a Statistical Bias Correction on the Projected Hydrological Changes Obtained from Three GCMs and Two Hydrology Models. J. Hydrometeor. 2011, 12, 556–578. [Google Scholar] [CrossRef]
- Maurer, E.P.; Pierce, D.W. Bias correction can modify climate model simulated precipitation changes without adverse effect on the ensemble mean. Hydrol. Earth Syst. Sci. 2014, 18, 915–925. [Google Scholar] [CrossRef]
- Wootten, A.M.; Dixon, K.W.; Adams-Smith, D.J.; McPherson, R.A. Statistically downscaled precipitation sensitivity to gridded observation data and downscaling technique. Int. J. Climatol. 2021, 41, 980–1001. [Google Scholar] [CrossRef]
- Zhang, H.; Chapman, S.; Trancoso, R.; Toombs, N.; Syktus, J. Assessing the impact of bias correction approaches on climate extremes and the climate change signal. Meteorol. Appl. 2024, 31, e2204. [Google Scholar] [CrossRef]
- Gobiet, A.; Suklitsch, M.; Heinrich, G. The effect of empirical-statistical correction of intensity-dependent model errors on the temperature climate change signal. Hydrol. Earth Syst. Sci. 2015, 19, 4055–4066. [Google Scholar] [CrossRef]
- Boberg, F.; Christensen, J.H. Overestimation of Mediterranean summer temperature projections due to model deficiencies. Nat. Clim. Chang. 2012, 2, 433–436. [Google Scholar] [CrossRef]
- Ivanov, M.A.; Luterbacher, J.; Kotlarski, S. Climate Model Biases and Modification of the Climate Change Signal by Intensity-Dependent Bias Correction. J. Clim. 2018, 31, 6591–6610. [Google Scholar] [CrossRef]
- Cannon, A.J.; Sobie, S.R.; Murdock, T.Q. Bias Correction of GCM Precipitation by Quantile Mapping: How Well Do Methods Preserve Changes in Quantiles and Extremes? J. Clim. 2015, 28, 6938–6959. [Google Scholar] [CrossRef]
- Pierce, D.W.; Cayan, D.R.; Maurer, E.P.; Abatzoglou, J.T.; Hegewisch, K.C. Improved Bias Correction Techniques for Hydrological Simulations of Climate Change*. J. Hydrometeorol. 2015, 16, 2421–2442. [Google Scholar] [CrossRef]
- Tefera, G.W.; Dile, Y.T.; Ray, R.L. Evaluating the Impact of Statistical Bias Correction on Climate Change Signal and Extreme Indices in the Jemma Sub-Basin of Blue Nile Basin. Sustainability 2023, 15, 10513. [Google Scholar] [CrossRef]
- Casanueva, A.; Herrera, S.; Iturbide, M.; Lange, S.; Jury, M.; Dosio, A.; Maraun, D.; Gutiérrez, J.M. Testing bias adjustment methods for regional climate change applications under observational uncertainty and resolution mismatch. Atmos. Sci. Lett. 2020, 21, e978. [Google Scholar] [CrossRef]
- Hempel, S.; Frieler, K.; Warszawski, L.; Schewe, J.; Piontek, F. A trend-preserving bias correction – the ISI-MIP approach. Earth Syst. Dynam. 2013, 4, 219–236. [Google Scholar] [CrossRef]
- Grillakis, M.G.; Koutroulis, A.G.; Daliakopoulos, I.N.; Tsanis, I.K. A method to preserve trends in quantile mapping bias correction of climate modeled temperature. Earth Syst. Dynam. 2017, 8, 889–900. [Google Scholar] [CrossRef]
- Switanek, M.B.; Troch, P.A.; Castro, C.L.; Leuprecht, A.; Chang, H.I.; Mukherjee, R.; Demaria, E.M.C. Scaled distribution mapping: A bias correction method that preserves raw climate model projected changes. Hydrol. Earth Syst. Sci. 2017, 21, 2649–2666. [Google Scholar] [CrossRef]
- Maraun, D.; Shepherd, T.G.; Widmann, M.; Zappa, G.; Walton, D.; Gutiérrez, J.M.; Hagemann, S.; Richter, I.; Soares, P.M.M.; Hall, A.; et al. Towards process-informed bias correction of climate change simulations. Nat. Clim. Chang. 2017, 7, 764–773. [Google Scholar] [CrossRef]
- Maraun, D. Bias Correcting Climate Change Simulations - a Critical Review. Curr. Clim. Chang. Rep. 2016, 2, 211–220. [Google Scholar] [CrossRef]
- Maraun, D.; Truhetz, H.; Schaffer, A. Regional Climate Model Biases, Their Dependence on Synoptic Circulation Biases and the Potential for Bias Adjustment: A Process-Oriented Evaluation of the Austrian Regional Climate Projections. Geophys. Res. Atmos. 2021, 126, e2020JD032824. [Google Scholar] [CrossRef]
- Dosio, A. Projections of climate change indices of temperature and precipitation from an ensemble of bias-adjusted high-resolution EURO-CORDEX regional climate models. Geophys. Res. Atmos. 2016, 121, 5488–5511. [Google Scholar] [CrossRef]
- Ugolotti, A.; Anders, T.; Lanssens, B.; Hickler, T.; François, L.; Tölle, M.H. Impact of bias correction on climate change signals over central Europe and the Iberian Peninsula. Front. Environ. Sci. 2023, 11, 1116429. [Google Scholar] [CrossRef]
- Räty, O.; Räisänen, J.; Ylhäisi, J.S. Evaluation of delta change and bias correction methods for future daily precipitation: Intermodel cross-validation using ENSEMBLES simulations. Clim. Dyn. 2014, 42, 2287–2303. [Google Scholar] [CrossRef]
- Rajczak, J.; Kotlarski, S.; Salzmann, N.; Schär, C. Robust climate scenarios for sites with sparse observations: A two-step bias correction approach. Int. J. Climatol. 2016, 36, 1226–1243. [Google Scholar] [CrossRef]
- Reiter, P.; Gutjahr, O.; Schefczyk, L.; Heinemann, G.; Casper, M. Does applying quantile mapping to subsamples improve the bias correction of daily precipitation? Int. J. Climatol. 2018, 38, 1623–1633. [Google Scholar] [CrossRef]
- Gutiérrez, J.M.; Maraun, D.; Widmann, M.; Huth, R.; Hertig, E.; Benestad, R.; Roessler, O.; Wibig, J.; Wilcke, R.; Kotlarski, S.; et al. An intercomparison of a large ensemble of statistical downscaling methods over Europe: Results from the VALUE perfect predictor cross-validation experiment. Int. J. Climatol. 2019, 39, 3750–3785. [Google Scholar] [CrossRef]
- Boé, J.; Terray, L.; Habets, F.; Martin, E. Statistical and dynamical downscaling of the Seine basin climate for hydro-meteorological studies. Int. J. Climatol. 2007, 27, 1643–1655. [Google Scholar] [CrossRef]
- Berg, P.; Feldmann, H.; Panitz, H.J. Bias correction of high resolution regional climate model data. J. Hydrol. 2012, 448–449, 80–92. [Google Scholar] [CrossRef]
- Räisänen, J.; Räty, O. Projections of daily mean temperature variability in the future: Cross-validation tests with ENSEMBLES regional climate simulations. Clim. Dyn. 2013, 41, 1553–1568. [Google Scholar] [CrossRef]
- Piani, C.; Weedon, G.P.; Best, M.; Gomes, S.M.; Viterbo, P.; Hagemann, S.; Haerter, J.O. Statistical bias correction of global simulated daily precipitation and temperature for the application of hydrological models. J. Hydrol. 2010, 395, 199–215. [Google Scholar] [CrossRef]
- Gudmundsson, L.; Bremnes, J.B.; Haugen, J.E.; Engen-Skaugen, T. Technical Note: Downscaling RCM precipitation to the station scale using statistical transformations—A comparison of methods. Hydrol. Earth Syst. Sci. 2012, 16, 3383–3390. [Google Scholar] [CrossRef]
- Piani, C.; Haerter, J.O. Two dimensional bias correction of temperature and precipitation copulas in climate models. Geophys. Res. Lett. 2012, 39, L20401. [Google Scholar] [CrossRef]
- Reiter, P.; Gutjahr, O.; Schefczyk, L.; Heinemann, G.; Casper, M. Bias correction of ENSEMBLES precipitation data with focus on the effect of the length of the calibration period. Meteorol. Z. 2016, 25, 85–96. [Google Scholar] [CrossRef]
- Jacob, D.; Petersen, J.; Eggert, B.; Alias, A.; Christensen, O.B.; Bouwer, L.M.; Braun, A.; Colette, A.; Déqué, M.; Georgievski, G.; et al. EURO-CORDEX: New high-resolution climate change projections for European impact research. Reg. Environ. Chang. 2014, 14, 563–578. [Google Scholar] [CrossRef]
- Rauthe, M.; Steiner, H.; Riediger, U.; Mazurkiewicz, A.; Gratzki, A. A Central European precipitation climatology? Part I: Generation and validation of a high-resolution gridded daily data set (HYRAS). Meteorol. Z. 2013, 22, 235–256. [Google Scholar] [CrossRef]
- Piani, C.; Haerter, J.O.; Coppola, E. Statistical bias correction for daily precipitation in regional climate models over Europe. Theor. Appl. Climatol. 2010, 99, 187–192. [Google Scholar] [CrossRef]
- Gutjahr, O.; Heinemann, G. Comparing precipitation bias correction methods for high-resolution regional climate simulations using COSMO-CLM. Theor. Appl. Climatol. 2013, 114, 511–529. [Google Scholar] [CrossRef]
- Denis, B.; Laprise, R.; Caya, D.; Côté, J. Downscaling ability of one-way nested regional climate models: The Big-Brother Experiment. Clim. Dyn. 2002, 18, 627–646. [Google Scholar] [CrossRef]
- Boberg, F.; Berg, P.; Thejll, P.; Gutowski, W.J.; Christensen, J.H. Improved confidence in climate change projections of precipitation evaluated using daily statistics from the PRUDENCE ensemble. Clim. Dyn. 2008, 32, 1097–1106. [Google Scholar] [CrossRef]
- Zwiers, F.W.; Zhang, X. Guidelines on Analysis of Extremes in a Changing Climate in Support of Informed Decisions for Adaptation; Technical Report 72; World Meteorological Organization (WMO): Geneva, Switzerland, 2009. [Google Scholar]
- Wilcoxon, F. Individual Comparisons by Ranking Methods. Biom. Bull. 1945, 1, 80–83. [Google Scholar] [CrossRef]
- Themeßl, M.J.; Gobiet, A.; Heinrich, G. Empirical-statistical downscaling and error correction of regional climate models and its impact on the climate change signal. Clim. Chang. 2012, 112, 449–468. [Google Scholar] [CrossRef]
- Lafon, T.; Dadson, S.; Buys, G.; Prudhomme, C. Bias correction of daily precipitation simulated by a regional climate model: A comparison of methods. Int. J. Climatol. 2013, 33, 1367–1381. [Google Scholar] [CrossRef]
- Luo, M.; Liu, T.; Meng, F.; Duan, Y.; Frankl, A.; Bao, A.; De Maeyer, P. Comparing Bias Correction Methods Used in Downscaling Precipitation and Temperature from Regional Climate Models: A Case Study from the Kaidu River Basin in Western China. Water 2018, 10, 1046. [Google Scholar] [CrossRef]
- De Luca, D.L.; Ridolfi, E.; Russo, F.; Moccia, B.; Napolitano, F. Climate change effects on rainfall extreme value distribution: The role of skewness. J. Hydrol. 2024, 634, 130958. [Google Scholar] [CrossRef]
- Kotz, M.; Lange, S.; Wenz, L.; Levermann, A. Constraining the Pattern and Magnitude of Projected Extreme Precipitation Change in a Multimodel Ensemble. J. Clim. 2024, 37, 97–111. [Google Scholar] [CrossRef]
- Pant, M.; Bhatla, R.; Ghosh, S.; Das, S.; Mall, R.K. How climate change is affecting the summer monsoon extreme rainfall pattern over the Indo-Gangetic Plains of India: Present and future perspectives. Clim. Dyn. 2024, 62, 1055–1075. [Google Scholar] [CrossRef]




| GCM 1 | Run | RCM 2 | Institution | |
|---|---|---|---|---|
| M1 | CNRM-CERFACS-CNRM-CM5 | r1i1p1 | CLMcom-CCLM4-8-17 | Climate Limited-area Modelling Community |
| M2 | ICHEC-EC-EARTH | r12i1p1 | CLMcom-CCLM4-8-17 | Climate Limited-area Modelling Community |
| M3 | ICHEC-EC-EARTH | r1i1p1 | KNMI-RACMO22E | Royal Netherlands Meteorological Institute |
| M4 | ICHEC-EC-EARTH | r3i1p1 | DMI-HIRHAM5 | Danish Meteorological Institute |
| M5 | MOHC-HadGEM2-ES | r1i1p1 | CLMcom-CCLM4-8-17 | Climate Limited-area Modelling Community |
| M6 | MOHC-HadGEM2-ES | r1i1p1 | KNMI-RACMO22E | Royal Netherlands Meteorological Institute |
| M7 | MPI-M-MPI-ESM-LR | r1i1p1 | CLMcom-CCLM4-8-17 | Climate Limited-area Modelling Community |
| QM Method | Type | Description | Reference |
|---|---|---|---|
| eQM | non-parametric | empirical QM | Boé et al. [40] |
| gQM | parametric | gamma distribution based QM | Piani et al. [49] |
| GQM | parametric | gamma distribution and GPD based QM | Gutjahr and Heinemann [50] |
| PTF | semi-parametric | exponential tendency toward an asymptote | Piani et al. [43] |
| Subsampling Timescale | Referred to as | Number of Subsamples |
|---|---|---|
| no subsampling | complete | 1 |
| separately for winter (NDJFMA) and summer (MJJASO) | semi-annual | 2 |
| separately for each meteorological season | seasonal | 4 |
| separately for each calendar month | monthly | 12 |
| Index | Description | Reference |
|---|---|---|
| prcptot | mean annual precipitation sum for wet-days (≥1 mm) | Zwiers and Zhang [53] |
| 99th percentile of precipitation on wet days (≥1 mm) | - | |
| 99.9th percentile of precipitation on wet days (≥1 mm) | - | |
| rx1day | mean annual maximum daily precipitation | Zwiers and Zhang [53] |
| ptot | precipitation amount for days with precipitation larger than the 99.9th percentile on wet days (≥1 mm) of the base period 1951 to 2005 | modified in reference to Zwiers and Zhang [53] |
Disclaimer/Publisher’s Note: The statements, opinions and data contained in all publications are solely those of the individual author(s) and contributor(s) and not of MDPI and/or the editor(s). MDPI and/or the editor(s) disclaim responsibility for any injury to people or property resulting from any ideas, methods, instructions or products referred to in the content. |
© 2024 by the authors. Licensee MDPI, Basel, Switzerland. This article is an open access article distributed under the terms and conditions of the Creative Commons Attribution (CC BY) license (https://creativecommons.org/licenses/by/4.0/).
Share and Cite
Reiter, P.; Casper, M.C. Does Applying Subsampling in Quantile Mapping Affect the Climate Change Signal? Hydrology 2024, 11, 143. https://doi.org/10.3390/hydrology11090143
Reiter P, Casper MC. Does Applying Subsampling in Quantile Mapping Affect the Climate Change Signal? Hydrology. 2024; 11(9):143. https://doi.org/10.3390/hydrology11090143
Chicago/Turabian StyleReiter, Philipp, and Markus C. Casper. 2024. "Does Applying Subsampling in Quantile Mapping Affect the Climate Change Signal?" Hydrology 11, no. 9: 143. https://doi.org/10.3390/hydrology11090143
APA StyleReiter, P., & Casper, M. C. (2024). Does Applying Subsampling in Quantile Mapping Affect the Climate Change Signal? Hydrology, 11(9), 143. https://doi.org/10.3390/hydrology11090143

