Evaluating Non-Stationarity in Precipitation Intensity-Duration-Frequency Curves for the Dallas–Fort Worth Metroplex, Texas, USA
Abstract
:1. Introduction
2. Materials and Methods
2.1. Study Area
2.2. Data and Key Steps
- Following the methods of Atlas 14 [18], the daily duration the AMS data of 88 stations in the study area were used for developing historical IDF curves.
- To determine whether the AMS data followed the stationary or non-stationary trend, two null-hypothesis significance trend tests, namely, Mann–Kendall (MK) [35] and Pettitt (PT) [36] used in hydrology and extreme analyses, were chosen. These two tests are popularly used and recommended in the hydrology and climate literature [29,37,38] for analyzing hydro-climatological time series data, including precipitation AMS [18]. Only those stations exhibiting a trend and change point detection were selected for developing IDF curves under non-stationary conditions.
- In this research, 24 h duration IDF curves were developed using Process-informed Non-stationary Extreme Value Analysis (ProNEVA) software (https://amir.eng.uci.edu/software.php#:~:text=Process%2Dinformed%20Nonstationary%20Extreme%20Value%20Analysis%20(ProNEVA)%20is%20a,change%20in%20statistics%20of%20extremes, accessed on 22 October 2023) [39], because a 24 h duration is one of the most commonly used durations for assessing rainfall intensity and designing drainage systems. It is also a duration of interest for flood management in many areas.
- ProNEVA is a statistical modeling framework developed to estimate the frequency and magnitude of extreme events, such as floods and droughts, under stationary and non-stationary conditions. ProNEVA is a modified and the most recent version of the NEVA tool developed by Cheng et al. [25]. The GEV method was used for fitting the AMS distribution, as GEV is a commonly used distribution to model extreme events [40,41,42,43]. Moreover, NOAA used the GEV distribution function to develop Atlas 14. The GEV distribution had three parameters as explained by θ = (μ,σ,ξ), where the location parameter (μ) explains the center of the distribution, the scale parameter (σ) determines the size of deviations around the location parameter, and the shape parameter (ξ) governs the tail behavior of the GEV distribution. In this study, the location and scale parameters were assumed to be linear functions of time to account for non-stationarity while keeping the shape parameter constant, because the shape parameter is known to be difficult to precisely estimate, even in the stationary case [20,39]. Pro-NEVA uses the Bayes theorem for estimating GEV parameters under the non-stationary assumption. According to the Bayes theorem, the probability of an event occurring given some prior knowledge and new evidence is proportional to the product of the prior probability and the likelihood of the evidence given the event [44]. The Bayes approach is beneficial when there is incomplete or uncertain information and decisions must be based on probabilities [45]. It also offers uncertainty in the parameter estimates, yielding more realistic estimations [46]. Cheng et al. [25] provided detailed explanations of the application of the Bayes theorem in generating non-stationary IDF curves.
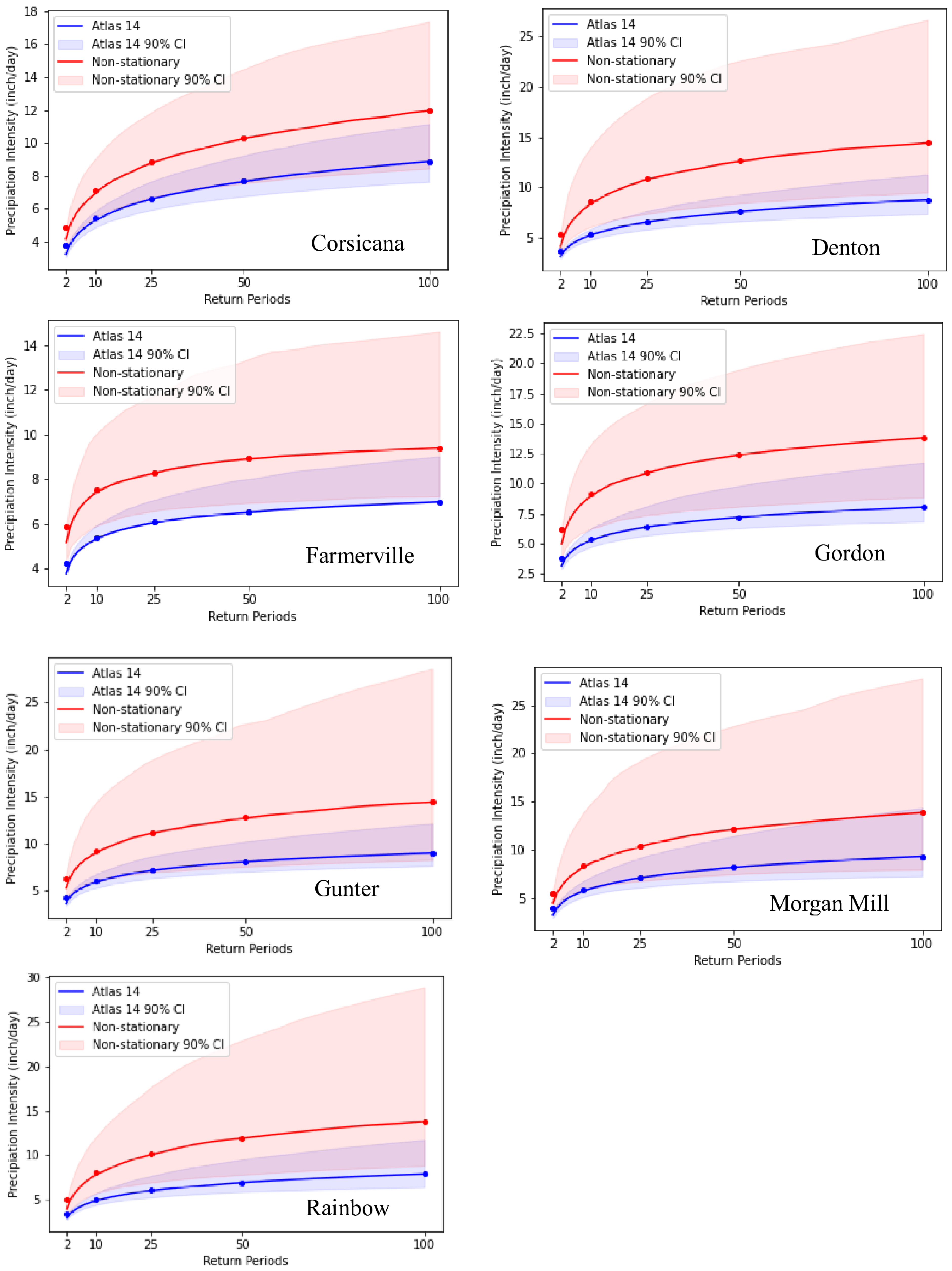
- Non-stationary IDF curves were developed for stations (Figure 1) that showed a trend (step 2) using the historical AMS data for each station as used in Atlas 14 and applying the GEV distribution to be consistent with the method used in Atlas 14. As the ProNEVA tool uses the Bayes theorem for estimating the GEV, prior parameters’ (μ,σ,ξ) values were calculated for each station, as listed in Table 1, and were used to develop the IDF curves for each station. This study used time as a covariate for the non-stationary assumption.
- The performance of non-stationary and stationary models was evaluated using four statistical indices—the Akaike Information Criterion (AIC), Bayesian Information Criterion (BIC), Root Mean Square Error (RMSE), and Nash–Sutcliffe Efficiency (NSE)—available in ProNEVA. AIC [47] and BIC [48] are probabilistic statistical measures to quantify model performance in hydro-climatological studies [49]. RMSE and NSE are the two most commonly used coefficients of the goodness of fit to select models based on minimum residual [50]. The selection of the final model in ProNEVA is based on the performance of the combination of all four statistical metrics—the AIC, BIC, RMSE, and NSE—that maximize the posterior distribution [39].
3. Results
4. Discussion
Study Limitations and Research Direction
5. Conclusions
Supplementary Materials
Author Contributions
Funding
Data Availability Statement
Conflicts of Interest
Appendix A
| Station | Mann–Kendall Test | Pettit’s Test | ||
|---|---|---|---|---|
| p-Value | z-Statistic | p-Value | U-Statistic | |
| Corsicana | 0.0039 | 2.8860 | 0.0018 | 1299 |
| Denton | 0.0185 | 2.3560 | 0.0017 | 1067 |
| Farmerville | 0.0044 | 2.8490 | 0.0179 | 313 |
| Gordon | 0.0064 | 2.7287 | 0.0170 | 453 |
| Gunter | 0.0289 | 2.1849 | 0.0246 | 295 |
| Morgan Mill | 0.0237 | 2.2617 | 0.0308 | 347 |
| Rainbow | 0.0124 | 2.4990 | 0.0229 | 560 |

References
- NOAA. Climate at a Glance. Available online: https://www.ncei.noaa.gov/access/monitoring/climate-at-a-glance/ (accessed on 14 January 2023).
- Sarkar, S.; Maity, R. Global climate shift in 1970s causes a significant worldwide increase in precipitation extremes. Sci. Rep. 2021, 11, 11574. [Google Scholar] [CrossRef] [PubMed]
- Damberg, L.; AghaKouchak, A. Global trends and patterns of drought from space. Theor. Appl. Climatol. 2014, 117, 441–448. [Google Scholar] [CrossRef]
- Tabari, H. Climate change impact on flood and extreme precipitation increases with water availability. Sci. Rep. 2020, 10, 13768. [Google Scholar] [CrossRef] [PubMed]
- Fischer, E.M.; Knutti, R. Observed heavy precipitation increase confirms theory and early models. Nat. Clim. Chang. 2016, 6, 986–991. [Google Scholar] [CrossRef]
- Berg, P.; Moseley, C.; Haerter, J.O. Strong increase in convective precipitation in response to higher temperatures. Nat. Geosci. 2013, 6, 181–185. [Google Scholar] [CrossRef]
- Dewan, A. Germany’s Deadly Floods Were up to 9 Times More Likely Because of Climate Change, Study Estimates; CNN Newssource Sales, Inc.: Atlanta, GA, USA, 2021. [Google Scholar]
- Kreienkamp, F.; Philip, S.Y.; Tradowsky, J.S.; Kew, S.F.; Lorenz, P.; Arrighi, J.; Belleflamme, A.; Bettmann, T.; Caluwaerts, S.; Chan, S.C. Rapid Attribution of Heavy Rainfall Events Leading to the Severe Flooding in Western Europe during July 2021; World Weather Atribution: Location, UK, 2021. [Google Scholar]
- Luu, L.N.; Scussolini, P.; Kew, S.; Philip, S.; Hariadi, M.H.; Vautard, R.; Van Mai, K.; Van Vu, T.; Truong, K.B.; Otto, F.; et al. Attribution of typhoon-induced torrential precipitation in Central Vietnam, October 2020. Clim. Chang. 2021, 169, 24. [Google Scholar] [CrossRef]
- Allan, R.P.; Barlow, M.; Byrne, M.P.; Cherchi, A.; Douville, H.; Fowler, H.J.; Gan, T.Y.; Pendergrass, A.G.; Rosenfeld, D.; Swann, A.L.S.; et al. Advances in understanding large-scale responses of the water cycle to climate change. Ann. N. Y. Acad. Sci. 2020, 1472, 49–75. [Google Scholar] [CrossRef]
- Walsh, J.; Wuebbles, D.; Hayhoe, K.; Kossin, J.; Kunkel, K.; Stephens, G.; Thorne, P.; Vose, R.; Wehner, M.; Willis, J.C. 2: Our changing climate. In Climate Change Impacts in the United States: The Third National Climate Assessment; U.S. Global Change Research Program: Washington, DC, USA, 2014; pp. 19–67. [Google Scholar]
- NOAA. US Billion-Dollar Weather and Climate Disasters. 2023. Available online: https://www.doi.org/10.25921/stkw-7w73 (accessed on 23 June 2023).
- Paul, S.; Ghebreyesus, D.; Sharif, H.O. Brief Communication: Analysis of the Fatalities and Socio-Economic Impacts Caused by Hurricane Florence. Geosciences 2019, 9, 58. [Google Scholar] [CrossRef]
- Bernard, M.M. Formulas for rainfall intensities of long duration. Trans. Am. Soc. Civ. Eng. 1932, 96, 592–606. [Google Scholar] [CrossRef]
- Hershfield, D.M. Rainfall Frequency Atlas of the United States; Technical Paper; US Dept of Commerce National Oceanic and Atmospheric Administration National Weather Service: Gray, ME, USA, 1961; Volume 40, pp. 1–61. [Google Scholar]
- NOAA. NOAA Updates Texas Rainfall Frequency Values: Data Is Used in Infrastructure Design and Flood Risk Management. Available online: https://www.noaa.gov/media-release/noaa-updates-texas-rainfall-frequency-values (accessed on 14 November 2022).
- Miller, J.F.; Frederick, R.H.; Tracey, R.J. Precipitation-Frequency Atlas of the Western United States; Soil Conservation Service, Engineering, Division; U.S. Department of Commerce, National Oceanic and Atmospheric Administration, National Weather Service: Silver Spring, ML, USA, 1973. [Google Scholar]
- Perica, S.; Pavlovic, S.; Laurent, M.; Trypaluk, C.; Unruh, D.; Wilhite, O. Precipitation-Frequency Atlas of the United States, Texas; NOAA Atlas; NOAA, National Weather Service: Silver Spring, MD, USA, 2018; Volume 14. [Google Scholar]
- Tank, A.M.G.K.; Können, G.P. Trends in Indices of Daily Temperature and Precipitation Extremes in Europe, 1946–99. J. Clim. 2003, 16, 3665–3680. [Google Scholar] [CrossRef]
- Coles, S. An Introduction to Statistical Modeling of Extreme Values; Springer: London, UK, 2013. [Google Scholar]
- Alexander, L.V.; Zhang, X.; Peterson, T.C.; Caesar, J.; Gleason, B.; Klein Tank, A.M.G.; Haylock, M.; Collins, D.; Trewin, B.; Rahimzadeh, F.; et al. Global observed changes in daily climate extremes of temperature and precipitation. J. Geophys. Res.—Atmos. 2006, 111, D05109-n/a. [Google Scholar] [CrossRef]
- Easterling, D.R.; Arnold, J.; Knutson, T.; Kunkel, K.; LeGrande, A.; Leung, L.R.; Vose, R.; Waliser, D.; Wehner, M. Precipitation Change in the United States; NASA: Washington, DC, USA, 2017.
- Groisman, P.Y.; Knight, R.W.; Easterling, D.R.; Karl, T.R.; Hegerl, G.C.; Razuvaev, V.N. Trends in Intense Precipitation in the Climate Record. J. Clim. 2005, 18, 1326–1350. [Google Scholar] [CrossRef]
- Kunkel, K.E. North American trends in extreme precipitation. Nat. Hazards 2003, 29, 291–305. [Google Scholar] [CrossRef]
- Cheng, L.; AghaKouchak, A. Nonstationary precipitation intensity-duration-frequency curves for infrastructure design in a changing climate. Sci. Rep. 2014, 4, 7093. [Google Scholar] [CrossRef] [PubMed]
- Soulis, E.D.; Sarhadi, A.; Tinel, M.; Suthar, M. Extreme precipitation time trends in Ontario, 1960–2010. Hydrol. Process. 2016, 30, 4090–4100. [Google Scholar] [CrossRef]
- Wi, S.; Valdés, J.B.; Steinschneider, S.; Kim, T.-W. Non-stationary frequency analysis of extreme precipitation in South Korea using peaks-over-threshold and annual maxima. Stoch. Environ. Res. Risk Assess. 2016, 30, 583–606. [Google Scholar] [CrossRef]
- Cooley, D.; Nychka, D.; Naveau, P. Bayesian Spatial Modeling of Extreme Precipitation Return Levels. J. Am. Stat. Assoc. 2007, 102, 824–840. [Google Scholar] [CrossRef]
- Cheng, L.; AghaKouchak, A.; Gilleland, E.; Katz, R.W. Non-stationary extreme value analysis in a changing climate. Clim. Chang. 2014, 127, 353–369. [Google Scholar] [CrossRef]
- Feng, B.; Zhang, Y.; Bourke, R. Urbanization impacts on flood risks based on urban growth data and coupled flood models. Nat. Hazards 2021, 106, 613–627. [Google Scholar] [CrossRef]
- Winguth, A.; Lee, J.H.; Ko, Y. Climate Change/Extreme Weather Vulnerability and Risk Assessment for Transportation Infrastructure in Dallas and Tarrant Counties; University of Texas at Arlington: Arlington, TX, USA, 2015. [Google Scholar]
- Nielsen-Gammon, J.; Escobedo, J.; Ott, C.; Dedrick, J.; Van Fleet, A. Assessment of Historic and Future Trends of Extreme Weather in Texas, 1900–2036; Texas A&M University: College Station, TX, USA, 2020; p. 40. [Google Scholar]
- Lanning-Rush, J.; Asquith, W.H.; Slade, R.M., Jr. Extreme Precipitation Depths for Texas, Excluding the Trans-Pecos Region; U.S. Geological Survey: Austin, TX, USA, 1998. [Google Scholar]
- Dey, S.D.; Douglas, E. Flooding Hits Dallas-Fort Worth as Some Areas Receive More Than 13 Inches of Rain; The United Press International: Washington, DC, USA, 2022. [Google Scholar]
- Kendall, M.G. Rank Correlation Methods, 2nd ed.; Hafner Pub. Co.: New York, NY, USA, 1955. [Google Scholar]
- Pettitt, A.N. A Non-Parametric Approach to the Change-Point Problem. Appl. Stat. 1979, 28, 126–135. [Google Scholar] [CrossRef]
- Sam, M.G.; Nwaogazie, I.L.; Ikebude, C. Non-Stationary Trend Change Point Pattern Using 24-Hourly Annual Maximum Series (AMS) Precipitation Data. J. Water Resour. Prot. 2022, 14, 592–609. [Google Scholar] [CrossRef]
- Um, M.-J.; Heo, J.-H.; Markus, M.; Wuebbles, D.J. Performance Evaluation of four Statistical Tests for Trend and Non-stationarity and Assessment of Observed and Projected Annual Maximum Precipitation Series in Major United States Cities. Water Resour. Manag. 2018, 32, 913–933. [Google Scholar] [CrossRef]
- Ragno, E.; AghaKouchak, A.; Cheng, L.; Sadegh, M. A generalized framework for process-informed nonstationary extreme value analysis. Adv. Water Resour. 2019, 130, 270–282. [Google Scholar] [CrossRef]
- Hossain, I.; Khastagir, A.; Aktar, M.N.; Imteaz, M.A.; Huda, D.; Rasel, H.M. Comparison of estimation techniques for generalised extreme value (GEV) distribution parameters: A case study with Tasmanian rainfall. Int. J. Environ. Sci. Technol. 2022, 19, 7737–7750. [Google Scholar] [CrossRef]
- Park, J.S.; Kang, H.S.; Lee, Y.S.; Kim, M.K. Changes in the extreme daily rainfall in South Korea. Int. J. Climatol. 2011, 31, 2290–2299. [Google Scholar] [CrossRef]
- Rypkema, D.; Tuljapurkar, S. Modeling extreme climatic events using the generalized extreme value (GEV) distribution. In Handbook of Statistics; Elsevier: Amsterdam, The Netherlands, 2021; Volume 44, pp. 39–71. [Google Scholar]
- Zalina, M.D.; Desa, M.N.M.; Nguyen, V.T.V.; Kassim, A.H.M. Selecting a probability distribution for extreme rainfall series in Malaysia. Water Sci. Technol. 2002, 45, 63–68. [Google Scholar] [CrossRef]
- Swinburne, R. Bayes’ Theorem; Oxford University Press: Oxford, UK; New York, NY, USA, 2004; Volume 194, pp. 250–251. [Google Scholar]
- Barber, D. Bayesian Reasoning and Machine Learning; Cambridge University Press: Cambridge, UK, 2012. [Google Scholar]
- Robert, C.P. The Bayesian Choice: From Decision-Theoretic Foundations to Computational Implementation; Springer: New York, NY, USA, 2007. [Google Scholar]
- Akaike, H. A new look at the statistical model identification. IEEE Trans. Autom. Control 1974, 19, 716–723. [Google Scholar] [CrossRef]
- Schwarz, G. Estimating the Dimension of a Model. Ann. Stat. 1978, 6, 461–464. [Google Scholar] [CrossRef]
- Aho, K.; Derryberry, D.; Peterson, T. Model selection for ecologists: The worldviews of AIC and BIC. Ecology 2014, 95, 631–636. [Google Scholar] [CrossRef] [PubMed]
- Sadegh, M.; Moftakhari, H.; Gupta, H.V.; Ragno, E.; Mazdiyasni, O.; Sanders, B.; Matthew, R.; AghaKouchak, A. Multihazard Scenarios for Analysis of Compound Extreme Events. Geophys. Res. Lett. 2018, 45, 5470–5480. [Google Scholar] [CrossRef]
- Markolf, S.A.; Chester, M.V.; Helmrich, A.M.; Shannon, K. Re-imagining design storm criteria for the challenges of the 21st century. Cities 2021, 109, 102981. [Google Scholar] [CrossRef]
- Ren, H.; Hou, Z.J.; Wigmosta, M.; Liu, Y.; Leung, L.R. Impacts of Spatial Heterogeneity and Temporal Non-Stationarity on Intensity-Duration-Frequency Estimates-A Case Study in a Mountainous California-Nevada Watershed. Water 2019, 11, 1296. [Google Scholar] [CrossRef]
- Underwood, B.S.; Guido, Z.; Gudipudi, P.; Feinberg, Y. Increased costs to US pavement infrastructure from future temperature rise. Nat. Clim. Chang. 2017, 7, 704–707. [Google Scholar] [CrossRef]
- Chen, X.; Zhang, H.; Chen, W.; Huang, G. Urbanization and climate change impacts on future flood risk in the Pearl River Delta under shared socioeconomic pathways. Sci. Total Environ. 2021, 762, 143144. [Google Scholar] [CrossRef]
- Sterzel, T.; Luedeke, M.K.B.; Walther, C.; Kok, M.T.; Sietz, D.; Lucas, P.L. Typology of coastal urban vulnerability under rapid urbanization. PLoS ONE 2020, 15, e0220936. [Google Scholar] [CrossRef] [PubMed]
- Zhou, Q.; Leng, G.; Su, J.; Ren, Y. Comparison of urbanization and climate change impacts on urban flood volumes: Importance of urban planning and drainage adaptation. Sci. Total Environ. 2019, 658, 24–33. [Google Scholar] [CrossRef]
- Gholami, H.; Moradi, Y.; Lotfirad, M.; Gandomi, M.A.; Bazgir, N.; Hajibehzad, M.S. Detection of abrupt shift and non-parametric analyses of trends in runoff time series in Dez River Basin. Water Sci. Technol. Water Supply 2022, 22, 1216–1230. [Google Scholar] [CrossRef]
- Wijngaard, J.B.; Klein Tank, A.M.G.; Können, G.P. Homogeneity of 20th century European daily temperature and precipitation series. Int. J. Climatol. 2003, 23, 679–692. [Google Scholar] [CrossRef]
- Alley, R.B.; Marotzke, J.; Nordhaus, W.D.; Overpeck, J.T.; Peteet, D.M.; Pielke, R.A.; Pierrehumbert, R.T.; Rhines, P.B.; Stocker, T.F.; Talley, L.D.; et al. Abrupt Climate Change. Sci. (Am. Assoc. Adv. Sci.) 2003, 299, 2005–2010. [Google Scholar] [CrossRef]
- Hare, S.R.; Mantua, N.J. Empirical evidence for North Pacific regime shifts in 1977 and 1989. Prog. Oceanogr. 2000, 47, 103–145. [Google Scholar] [CrossRef]
- Potter, K.W. Evidence for nonstationarity as a physical explanation of the Hurst Phenomenon. Water Resour. Res. 1976, 12, 1047–1052. [Google Scholar] [CrossRef]
- Potter, K.W. Annual precipitation in the northeast United States: Long memory, short memory, or no memory? Water Resour. Res. 1979, 15, 340–346. [Google Scholar] [CrossRef]
- Swanson, K.L.; Tsonis, A.A. Has the climate recently shifted? Geophys. Res. Lett. 2009, 36, L06711-n/a. [Google Scholar] [CrossRef]
- Villarini, G.; Smith, J.A.; Serinaldi, F.; Ntelekos, A.A. Analyses of seasonal and annual maximum daily discharge records for central Europe. J. Hydrol. 2011, 399, 299–312. [Google Scholar] [CrossRef]
- Zuo, Q.; Guo, J.; Ma, J.; Cui, G.; Yang, R.; Yu, L. Assessment of regional-scale water resources carrying capacity based on fuzzy multiple attribute decision-making and scenario simulation. Ecol. Indic. 2021, 130, 108034. [Google Scholar] [CrossRef]
- Cox, S. A Developed Ideal Emergency Management Program Setting and Plan: A Case Study of Navarro County; Texas State University: San Marcos, TX, USA, 2006. [Google Scholar]
- Liu, J.; Niyogi, D. Meta-analysis of urbanization impact on rainfall modification. Sci. Rep. 2019, 9, 7301. [Google Scholar] [CrossRef]
- Patra, S.; Sahoo, S.; Mishra, P.; Mahapatra, S.C. Impacts of urbanization on land use/cover changes and its probable implications on local climate and groundwater level. J. Urban Manag. 2018, 7, 70–84. [Google Scholar] [CrossRef]
- Song, X.; Mo, Y.; Xuan, Y.; Wang, Q.J.; Wu, W.; Zhang, J.; Zou, X. Impacts of urbanization on precipitation patterns in the greater Beijing-Tianjin-Hebei metropolitan region in northern China. Environ. Res. Lett. 2021, 16, 14042. [Google Scholar] [CrossRef]
- Li, X.; Hu, Q. Spatiotemporal Changes in Extreme Precipitation and Its Dependence on Topography over the Poyang Lake Basin, China. Adv. Meteorol. 2019, 2019, 1253932. [Google Scholar] [CrossRef]
- Zhao, Y.; Chen, D.; Li, J.; Chen, D.; Chang, Y.; Li, J.; Qin, R. Enhancement of the summer extreme precipitation over North China by interactions between moisture convergence and topographic settings. Clim. Dyn. 2020, 54, 2713–2730. [Google Scholar] [CrossRef]
- Marra, F.; Armon, M.; Morin, E. Coastal and orographic effects on extreme precipitation revealed by weather radar observations. Hydrol. Earth Syst. Sci. 2022, 26, 1439–1458. [Google Scholar] [CrossRef]
- Soumya, R.; Anjitha, U.G.; Mohan, S.; Adarsh, S.; Gopakumar, R. Incorporation of non-stationarity in precipitation intensity-duration-frequency curves for Kerala, India. IOP Conf. Ser. Earth Environ. Sci. 2020, 491, 12013. [Google Scholar] [CrossRef]
- Ganguli, P.; Coulibaly, P. Does nonstationarity in rainfall require nonstationary intensity–duration–frequency curves? Hydrol. Earth Syst. Sci. 2017, 21, 6461–6483. [Google Scholar] [CrossRef]
- Agilan, V.; Umamahesh, N. Covariate and parameter uncertainty in non-stationary rainfall IDF curve. Int. J. Climatol. 2018, 38, 365–383. [Google Scholar] [CrossRef]
- Ragno, E.; AghaKouchak, A.; Love, C.A.; Cheng, L.; Vahedifard, F.; Lima, C.H.R. Quantifying Changes in Future Intensity-Duration-Frequency Curves Using Multimodel Ensemble Simulations. Water Resour. Res. 2018, 54, 1751–1764. [Google Scholar] [CrossRef]
- Silva, D.F.; Simonovic, S.P.; Schardong, A.; Goldenfum, J.A. Assessment of non-stationary IDF curves under a changing climate: Case study of different climatic zones in Canada. J. Hydrol. Reg. Stud. 2021, 36, 100870. [Google Scholar] [CrossRef]
- Chandra, R.; Saha, U.; Mujumdar, P. Model and parameter uncertainty in IDF relationships under climate change. Adv. Water Resour. 2015, 79, 127–139. [Google Scholar] [CrossRef]
- Singh, J.; Karmakar, S.; PaiMazumder, D.; Ghosh, S.; Niyogi, D. Urbanization alters rainfall extremes over the contiguous United States. Environ. Res. Lett. 2020, 15, 74033. [Google Scholar] [CrossRef]
- Agilan, V.; Umamahesh, N.V. Non-Stationary Rainfall Intensity-Duration-Frequency Relationship: A Comparison between Annual Maximum and Partial Duration Series. Water Resour. Manag. 2017, 31, 1825–1841. [Google Scholar] [CrossRef]
- Agilan, V.; Umamahesh, N.V. What are the best covariates for developing non-stationary rainfall Intensity-Duration-Frequency relationship? Adv. Water Resour. 2017, 101, 11–22. [Google Scholar] [CrossRef]
- Ouarda, T.B.M.J.; Yousef, L.A.; Charron, C. Non-stationary intensity-duration-frequency curves integrating information concerning teleconnections and climate change. Int. J. Climatol. 2019, 39, 2306–2323. [Google Scholar] [CrossRef]
- Roderick, T.P.; Wasko, C.; Sharma, A. An Improved Covariate for Projecting Future Rainfall Extremes? Water Resour. Res. 2020, 56, e2019WR026924. [Google Scholar] [CrossRef]
- Sun, Q.; Miao, C.; Qiao, Y.; Duan, Q. The nonstationary impact of local temperature changes and ENSO on extreme precipitation at the global scale. Clim. Dyn. 2017, 49, 4281–4292. [Google Scholar] [CrossRef]
- Whan, K.; Zwiers, F. The impact of ENSO and the NAO on extreme winter precipitation in North America in observations and regional climate models. Clim. Dyn. 2017, 48, 1401–1411. [Google Scholar] [CrossRef]



| Stations | Model | Akaike Information Criterion (AIC) | Bayesian Information Criterion (BIC) | Root Mean Square Error (RMSE) | Nash–Sutcliffe Model Efficiency Coefficient (NSE) |
|---|---|---|---|---|---|
| Corsicana | Stationary | 359.4 | 367.7 | 3.15 | 0.95 |
| Non-Stationary | 355.6 | 369.4 | 2.44 | 0.97 | |
| Denton | Stationary | 329.0 | 336.9 | 1.71 | 0.98 |
| Non-Stationary | 325.9 | 339.0 | 1.41 | 0.99 | |
| Farmersville | Stationary | 151.6 | 157.4 | 1.52 | 0.97 |
| Non-Stationary | 147.0 | 156.7 | 1.58 | 0.97 | |
| Gordon | Stationary | 221.1 | 227.7 | 1.41 | 0.98 |
| Non-Stationary | 216.4 | 227.3 | 1.72 | 0.97 | |
| Gunter | Stationary | 179.7 | 185.5 | 2.38 | 0.94 |
| Non-Stationary | 178.6 | 188.3 | 2.79 | 0.92 | |
| Morgan Mill | Stationary | 210.2 | 216.3 | 1.61 | 0.97 |
| Non-Stationary | 210.0 | 220.3 | 2.37 | 0.95 | |
| Rainbow | Stationary | 235.5 | 242.5 | 1.85 | 0.97 |
| Non-Stationary | 231.9 | 243.7 | 1.53 | 0.98 |
| Stations | Percentage Change (%) One-Day Precipitation Intensities at Five Return Levels | ||||
|---|---|---|---|---|---|
| 2-Year | 10-Year | 20-Year | 50-Year | 100-Year | |
| Corsicana | 30.8 | 32.7 | 33.3 | 34.2 | 35.3 |
| Denton | 29.4 | 58.1 | 63.6 | 65.4 | 65.4 |
| Farmerville | 37.2 | 39 | 37.1 | 36.7 | 34.5 |
| Gordon | 55.5 | 69.9 | 70.1 | 71.3 | 71.6 |
| Gunter | 43.8 | 53.3 | 55.9 | 57.1 | 60.3 |
| Morgan Mill | 41.9 | 44.2 | 45.8 | 49.2 | 49.5 |
| Rainbow | 33.7 | 58.9 | 65.5 | 71.9 | 74.3 |
Disclaimer/Publisher’s Note: The statements, opinions and data contained in all publications are solely those of the individual author(s) and contributor(s) and not of MDPI and/or the editor(s). MDPI and/or the editor(s) disclaim responsibility for any injury to people or property resulting from any ideas, methods, instructions or products referred to in the content. |
© 2023 by the authors. Licensee MDPI, Basel, Switzerland. This article is an open access article distributed under the terms and conditions of the Creative Commons Attribution (CC BY) license (https://creativecommons.org/licenses/by/4.0/).
Share and Cite
Ghimire, B.; Kharel, G.; Gebremichael, E.; Cheng, L. Evaluating Non-Stationarity in Precipitation Intensity-Duration-Frequency Curves for the Dallas–Fort Worth Metroplex, Texas, USA. Hydrology 2023, 10, 229. https://doi.org/10.3390/hydrology10120229
Ghimire B, Kharel G, Gebremichael E, Cheng L. Evaluating Non-Stationarity in Precipitation Intensity-Duration-Frequency Curves for the Dallas–Fort Worth Metroplex, Texas, USA. Hydrology. 2023; 10(12):229. https://doi.org/10.3390/hydrology10120229
Chicago/Turabian StyleGhimire, Binita, Gehendra Kharel, Esayas Gebremichael, and Linyin Cheng. 2023. "Evaluating Non-Stationarity in Precipitation Intensity-Duration-Frequency Curves for the Dallas–Fort Worth Metroplex, Texas, USA" Hydrology 10, no. 12: 229. https://doi.org/10.3390/hydrology10120229
APA StyleGhimire, B., Kharel, G., Gebremichael, E., & Cheng, L. (2023). Evaluating Non-Stationarity in Precipitation Intensity-Duration-Frequency Curves for the Dallas–Fort Worth Metroplex, Texas, USA. Hydrology, 10(12), 229. https://doi.org/10.3390/hydrology10120229

