Uncertainty of Kozeny–Carman Permeability Model for Fractal Heterogeneous Porous Media
Abstract
1. Introduction
2. Theory and Methods
3. Results and Discussion
4. Conclusions
- (1)
- Heterogeneous solid volumetric fraction can have similar effects as adjusting empirical constants embedded in the classical KC equation.
- (2)
- Incorporating the truncated power-law distribution into the classical KC model predicts a higher mean permeability than the deterministic KC equation.
- (3)
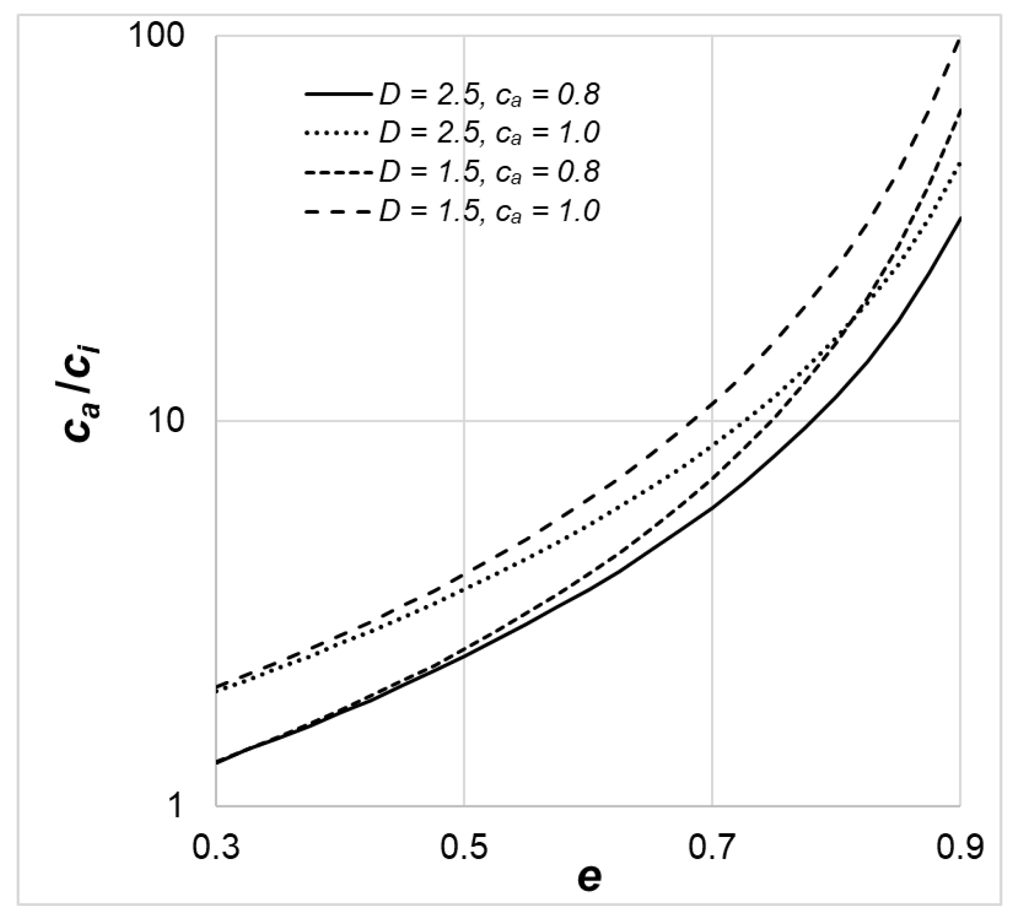
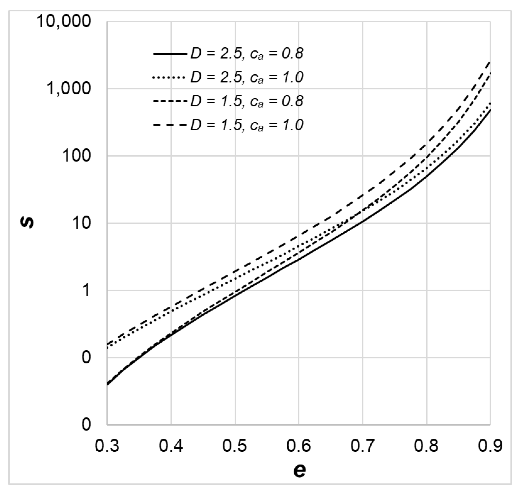
- Both the mean and standard deviation of the dimensionless permeability decrease as the fractal dimension D increases.
- (4)
- The increase in both the mean and standard deviation of dimensionless permeability with porosity is more significant when the fractal dimension D is smaller.
Funding
Institutional Review Board Statement
Informed Consent Statement
Data Availability Statement
Conflicts of Interest
Nomenclature
| A | parameter in Equation (20) | e | porosity |
| B | parameter in Equation (21) | g | gravitational acceleration (m s−2) |
| C | empirical constant in Equation (1) | K | permeability (m2) |
| C2 | empirical parameter in Equation (3) | Ks | hydraulic conductivity (m s−1 or cm s−1) |
| Cc | coefficient of curvature | k | dimensionless permeability |
| Cu | coefficient of uniformity | k* | mean dimensionless permeability |
| c | solid volumetric fraction (= 1 − e) | s | standard deviation of k |
| cm | maximum solid volumetric fraction | sc | standard deviation of c |
| ci | minimum solid volumetric fraction | T1, T2, T3, T4 | parameters in Equation (6) |
| c* | mean solid volumetric fraction | T5, T6, T7 | parameters in Equation (7) |
| D | fractal dimension | ||
| D1, D2, D3, D4, D5, D6 | parameters in Equation (5) | Greek symbols | |
| d | effective diameter of solid particles (m) | μ | viscosity of water (Pa s m−2) |
| d10 | effective particle size (m) | ρ | density of water (kg m−3) |
References
- Kozeny, J. Ueber kapillare Leitung des Wassers im Boden. Sitz. Akad. Wiss. Wien 1927, 136, 271–306. [Google Scholar]
- Carman, P.C. Fluid flow through granular beds. Trans. Inst. Chem. Eng. 1937, 15, 150–166. [Google Scholar] [CrossRef]
- Carman, P.C. Permeability of saturated sands, soils and clays. J. Agric. Sci. 1939, 29, 262–273. [Google Scholar] [CrossRef]
- Mcgregor, R.; Peters, R.H. The effect of rate of flow on rate of dyeing I—The diffusional boundary layer in dyeing. J. Soc. Dye. Colour. 1965, 81, 393–400. [Google Scholar] [CrossRef]
- Sangani, A.; Acrivos, A. Slow flow past periodic arrays of cylinders with application to heat transfer. Int. J. Multiph. Flow 1982, 8, 193–206. [Google Scholar] [CrossRef]
- Bayles, G.A.; Klinzing, G.E.; Chiang, S.-H. Fractal mathematics applied to flow in porous systems. Part. Part. Syst. Charact. 1989, 6, 168–175. [Google Scholar] [CrossRef]
- Åström, B.T.; Pipes, R.B.; Advani, S. On flow through aligned fiber beds and its application to composites processing. J. Compos. Mater. 1992, 26, 1351–1373. [Google Scholar] [CrossRef]
- Skartsis, L.; Khomami, B.; Kardos, J.L. Resin flow through fiber beds during composite manufacturing processes. Part II: Numerical and experimental studies of newtonian flow through ideal and actual fiber beds. Polym. Eng. Sci. 1992, 32, 231–239. [Google Scholar] [CrossRef]
- Le Gallo, Y.; Bildstein, O.; Brosse, E. Coupled reaction-flow modeling of diagenetic changes in reservoir permeability, porosity and mineral compositions. J. Hydrol. 1998, 209, 366–388. [Google Scholar] [CrossRef]
- Costa, A. Permeability-porosity relationship: A reexamination of the Kozeny-Carman equation based on a fractal pore-space geometry assumption. Geophys. Res. Lett. 2006, 33, L02318. [Google Scholar] [CrossRef]
- Chen, J.; Tong, H.; Yuan, J.; Fang, Y.; Gu, R. Permeability prediction model modified on Kozeny-Carman for building foundation of clay soil. Buildings 2022, 12, 1798. [Google Scholar] [CrossRef]
- Ye, Y.; Xu, Z.; Zhu, G.; Cao, C. A modification of the Kozeny–Carman equation based on soil particle size distribution. Arab. J. Geosci. 2022, 15, 1079. [Google Scholar] [CrossRef]
- Chapuis, R.P.; Aubertin, M. On the use of the Kozeny–Carman equation to predict the hydraulic conductivity of soils. Can. Geotech. J. 2003, 40, 616–628. [Google Scholar] [CrossRef]
- Szabó, N.P.; Kormos, K.; Dobróka, M. Evaluation of hydraulic conductivity in shallow groundwater formations: A comparative study of the Csókás’ and Kozeny–Carman model. Acta Geod. Geophys. 2015, 50, 461–477. [Google Scholar] [CrossRef]
- Zheng, W.; Tannant, D.D. Improved estimate of the effective diameter for use in the Kozeny–Carman equation for permeability prediction. Géotech. Lett. 2017, 7, 1–5. [Google Scholar] [CrossRef]
- Yan, G.; Shi, H.; Ma, Y.; Scheuermann, A.; Li, L. Intrinsic permeabilities of transparent soil under various aqueous environmental conditions. Géotech. Lett. 2022, 12, 225–231. [Google Scholar] [CrossRef]
- Davies, L.; Dollimore, D. Theoretical and experimental values for the parameter k of the Kozeny-Carman equation, as applied to sedimenting suspensions. J. Phys. D Appl. Phys. 1980, 13, 2013–2020. [Google Scholar] [CrossRef]
- Behrang, A.; Mohammadmoradi, P.; Taheri, S.; Kantzas, A. A theoretical study on the permeability of tight media; effects of slippage and condensation. Fuel 2016, 181, 610–617. [Google Scholar] [CrossRef]
- Panda, M.; Lake, W. Estimation of single-phase permeability from parameters of particle-size distribution. AAPG (Am. Assoc. Pet.Geol.) Bull. 1994, 78, 1028–1039. [Google Scholar]
- Yazdchi, Y.; Srivastava, S.; Luding, S. On the validity of the Carman-Kozeny equation in random fibrous media. In Proceedings of the 2nd International Conference on Particle-Based Methods—Fundamentals and Applications (Particles), Barcelona, Spain, 26–28 October 2011; pp. 264–273. [Google Scholar]
- Liu, Y.; Jeng, D.-S. Pore scale study of the influence of particle geometry on soil permeability. Adv. Water Resour. 2019, 129, 232–249. [Google Scholar] [CrossRef]
- Schulz, R.; Ray, N.; Zech, S.; Rupp, A.; Knabner, P. Beyond Kozeny–Carman: Predicting the permeability in porous media. Transp. Porous Media 2019, 130, 487–512. [Google Scholar] [CrossRef]
- Cui, X.; Zhu, C.; Hu, M.; Wang, R.; Liu, H. Permeability of porous media in coral reefs. Bull. Eng. Geol. Environ. 2021, 80, 5111–5126. [Google Scholar] [CrossRef]
- Yan, G.; Ma, Y.; Scheuermann, A.; Li, L. The hydraulic properties of aquabeads considering Forchheimer flow and local heterogeneity. Geotech. Test. J. 2022, 45, 10. [Google Scholar] [CrossRef]
- Rodriguez, E.; Giacomelli, F.; Vazquez, A. Permeability-porosity relationship in RTM for different fiberglass and natural reinforcements. J. Compos. Mater. 2004, 38, 259–268. [Google Scholar] [CrossRef]
- Khabbazi, A.E.; Ellis, J.; Bazylak, A. Developing a new form of the Kozeny–Carman parameter for structured porous media through lattice-Boltzmann modeling. Comput. Fluids 2013, 75, 35–41. [Google Scholar] [CrossRef]
- Nomura, S.; Yamamoto, Y.; Sakaguchi, H. Modified expression of Kozeny–Carman equation based on semilog–sigmoid function. Soils Found. 2018, 58, 1350–1357. [Google Scholar] [CrossRef]
- Safari, M.; Gholami, R.; Jami, M.; Ananthan, M.A.; Rahimi, A.; Khur, W.S. Developing a porosity-permeability relationship for ellipsoidal grains: A correction shape factor for Kozeny-Carman’s equation. J. Pet. Sci. Eng. 2021, 205, 108896. [Google Scholar] [CrossRef]
- Watanabe, K.; Takahashi, H. Fractal geometry characterization of geothermal reservoir fracture networks. J. Geophys. Res. Solid Earth 1995, 100, 521–528. [Google Scholar] [CrossRef]
- Roy, S.; Raju, R.; Chuang, H.F.; Cruden, B.A.; Meyyappan, M. Modeling gas flow through microchannels and nanopores. J. Appl. Phys. 2003, 93, 4870–4879. [Google Scholar] [CrossRef]
- Zhang, L.-Z. A fractal model for gas permeation through porous membranes. Int. J. Heat Mass Transf. 2008, 51, 5288–5295. [Google Scholar] [CrossRef]
- Andrade, J.; Oliveira, E.A.; Moreira, A.A.; Herrmann, H.J. Fracturing the optimal paths. Phys. Rev. Lett. 2009, 103, 225503. [Google Scholar] [CrossRef]
- Cai, J.; Yu, B.; Zou, M.; Luo, L. Fractal characterization of spontaneous co-current imbibition in porous media. Energy Fuels 2010, 24, 1860–1867. [Google Scholar] [CrossRef]
- Li, K. More general capillary pressure and relative permeability models from fractal geometry. J. Contam. Hydrol. 2010, 111, 13–24. [Google Scholar] [CrossRef]
- Zheng, Q.; Yu, B.; Wang, S.; Luo, L. A diffusivity model for gas diffusion through fractal porous media. Chem. Eng. Sci. 2012, 68, 650–655. [Google Scholar] [CrossRef]
- Soto, M.A.; Chang, H.; van Genuchten, M. Fractal-based models for the unsaturated soil hydraulic functions. Geoderma 2017, 306, 144–151. [Google Scholar] [CrossRef]
- Zhu, J. Viscoplastic and pseudoplastic flows through fractal fractures. Int. J. Non-linear Mech. 2022, 145, 104107. [Google Scholar] [CrossRef]
- Xu, P.; Yu, B. Developing a new form of permeability and Kozeny–Carman constant for homogeneous porous media by means of fractal geometry. Adv. Water Resour. 2008, 31, 74–81. [Google Scholar] [CrossRef]
- Yu, B.; Cai, J.; Zou, M. On the physical properties of apparent two-phase fractal porous media. Vadose Zone J. 2009, 8, 177–186. [Google Scholar] [CrossRef]
- Xiao, B.; Wang, W.; Zhang, X.; Long, G.; Fan, J.; Chen, H.; Deng, L. A novel fractal solution for permeability and Kozeny-Carman constant of fibrous porous media made up of solid particles and porous fibers. Powder Technol. 2019, 349, 92–98. [Google Scholar] [CrossRef]
- Wang, L.; Zeng, X.; Yang, H.; Lv, X.; Guo, F.; Shi, Y.; Hanif, A. Investigation and application of fractal theory in cement-based materials: A Review. Fractal Fract. 2021, 5, 247. [Google Scholar] [CrossRef]
- Neimark, A. A new approach to the determination of the surface fractal dimension of porous solids. Phys. A Stat. Mech. Its Appl. 1992, 191, 258–262. [Google Scholar] [CrossRef]
- Zarnaghi, V.N.; Fouroghi-Asl, A.; Nourani, V.; Ma, H. On the pore structures of lightweight self-compacting concrete containing silica fume. Constr. Build. Mater. 2018, 193, 557–564. [Google Scholar] [CrossRef]
- Wheatcraft, S.W.; Tyler, S.W. An explanation of scale-dependent dispersivity in heterogeneous aquifers using concepts of fractal geometry. Water Resour. Res. 1988, 24, 566–578. [Google Scholar] [CrossRef]
- Jin, S.; Zhang, J.; Huang, B. Fractal analysis of effect of air void on freeze–thaw resistance of concrete. Constr. Build. Mater. 2013, 47, 126–130. [Google Scholar] [CrossRef]
- Issa, M.A.; Issa, M.A.; Islam, M.S.; Chudnovsky, A. Fractal dimension—A measure of fracture roughness and toughness of concrete. Eng. Fract. Mech. 2003, 70, 125–137. [Google Scholar] [CrossRef]
- Shang, X.; Yang, J.; Wang, S.; Zhang, M. Fractal analysis of 2D and 3D mesocracks in recycled aggregate concrete using X-ray computed tomography images. J. Clean. Prod. 2021, 304, 127083. [Google Scholar] [CrossRef]
- Moskovits, M. The fractal nature of particle size distributions of grounds clinker. Cem. Concr. Res. 1990, 20, 499–505. [Google Scholar] [CrossRef]
- Mandelbrot, B.B. The Fractal Geometry of Nature; W.H. Freeman and Company: San Francisco, CA, USA, 1982. [Google Scholar]
- Majumdar, A.; Bhushan, B. Role of fractal geometry in roughness characterization and contact mechanics of surfaces. J. Tribol. 1990, 112, 205–216. [Google Scholar] [CrossRef]
- Miao, T.; Yu, B.; Duan, Y.; Fang, Q. A fractal analysis of permeability for fractured rocks. Int. J. Heat Mass Transf. 2015, 81, 75–80. [Google Scholar] [CrossRef]
- Zhu, C. Study on the Coarse-Grained Soil Permeability Characteristic. Master’s Thesis, Northwest Agriculture and Forestry University, Xianyang, China, 2005. [Google Scholar]
- Cui, R.F. Study on Permeability Characteristic of Non-Cohesive Soil and the Mechanism of Seepage-Failure. Master’s Thesis, Hohai University, Nanjing, China, 2006. [Google Scholar]
- Ren, Y.B.; Wang, Y.; Yang, Q. Effects of particle size distribution and shape on permeability of calcareous sand. Rock Soil Mech. 2018, 39, 491–497. [Google Scholar] [CrossRef]
- Huang, B.; Guo, C.; Tang, Y.; Guo, J.; Cao, L. Experimental study on the permeability characteristic of fused quartz sand and mixed oil as a transparent soil. Water 2019, 11, 2514. [Google Scholar] [CrossRef]
- Erol, S.; Fowler, S.J.; Harcouët-Menou, V.; Laenen, B. An analytical model of porosity–permeability for porous and fractured media. Transp. Porous Media 2017, 120, 327–358. [Google Scholar] [CrossRef]
- Chapuis, R.P. Predicting the saturated hydraulic conductivity of soils: A review. Bull. Eng. Geol. Environ. 2012, 71, 401–434. [Google Scholar] [CrossRef]
- Ghanbarian, B. Applications of critical path analysis to uniform grain packings with narrow conductance distributions: I. Single-phase permeability. Adv. Water Resour. 2020, 137, 103529. [Google Scholar] [CrossRef]
- Arnepalli, D.N.; Shanthakumar, S.; Rao, B.H.; Singh, D.N. Comparison of methods for determining specific-surface area of fine-grained soils. Geotech. Geol. Eng. 2007, 26, 121–132. [Google Scholar] [CrossRef]
- Yukselen, Y.; Kaya, A. Suitability of the methylene blue test for surface area, cation exchange capacity and swell potential determination of clayey soils. Eng. Geol. 2008, 102, 38–45. [Google Scholar] [CrossRef]
- Hong, B.; Li, X.; Wang, L.; Li, L.; Xue, Q.; Meng, J. Using the effective void ratio and specific surface area in the Kozeny–Carman equation to predict the hydraulic conductivity of loess. Water 2019, 12, 24. [Google Scholar] [CrossRef]






| C2 = 1000 | C2 = 2000 | C2 = 3000 | C2 = 4000 | |||||
|---|---|---|---|---|---|---|---|---|
| Modified KC Model | Ks* − 0.7s | Modified KC Model | Ks* − 0.3s | Modified KC Model | Ks* + 0.1s | Modified KC Model | Ks* + 0.4s | |
| Bias (cm s−1) | 0.0413 | 0.00366 | −0.0288 | −0.00473 | −0.0521 | −0.00709 | −0.0638 | −0.0138 |
| RMSE (cm s−1) | 0.103 | 0.0893 | 0.0996 | 0.0964 | 0.120 | 0.0996 | 0.133 | 0.101 |
| NSE | 0.495 | 0.622 | 0.530 | 0.559 | 0.313 | 0.530 | 0.162 | 0.517 |
Disclaimer/Publisher’s Note: The statements, opinions and data contained in all publications are solely those of the individual author(s) and contributor(s) and not of MDPI and/or the editor(s). MDPI and/or the editor(s) disclaim responsibility for any injury to people or property resulting from any ideas, methods, instructions or products referred to in the content. |
© 2023 by the author. Licensee MDPI, Basel, Switzerland. This article is an open access article distributed under the terms and conditions of the Creative Commons Attribution (CC BY) license (https://creativecommons.org/licenses/by/4.0/).
Share and Cite
Zhu, J. Uncertainty of Kozeny–Carman Permeability Model for Fractal Heterogeneous Porous Media. Hydrology 2023, 10, 21. https://doi.org/10.3390/hydrology10010021
Zhu J. Uncertainty of Kozeny–Carman Permeability Model for Fractal Heterogeneous Porous Media. Hydrology. 2023; 10(1):21. https://doi.org/10.3390/hydrology10010021
Chicago/Turabian StyleZhu, Jianting. 2023. "Uncertainty of Kozeny–Carman Permeability Model for Fractal Heterogeneous Porous Media" Hydrology 10, no. 1: 21. https://doi.org/10.3390/hydrology10010021
APA StyleZhu, J. (2023). Uncertainty of Kozeny–Carman Permeability Model for Fractal Heterogeneous Porous Media. Hydrology, 10(1), 21. https://doi.org/10.3390/hydrology10010021
