Data-Driven Gas Holdup Correlation in Bubble Column Reactors Considering Alcohol Concentration and Carbon Number
Abstract
1. Introduction
2. Material and Methods
2.1. Data Collection
- The number of dimensionless groups should be minimized;
- Each group should be closely related to the output parameter ( in this case);
- The input parameters should have weak cross-correlations with each other;
- The input selected should provide the most accurate output prediction, which can be verified through statistical analysis (for example, squared regression).
2.2. Mathematical Modelling
2.2.1. ML Model
2.2.2. Data Fitting Model
2.3. Experimental Section
3. Results and Discussion
3.1. The Effects of Superficial Gas Velocity, Alcohol Concentration, and Number of Carbon Atoms on Gas Holdup
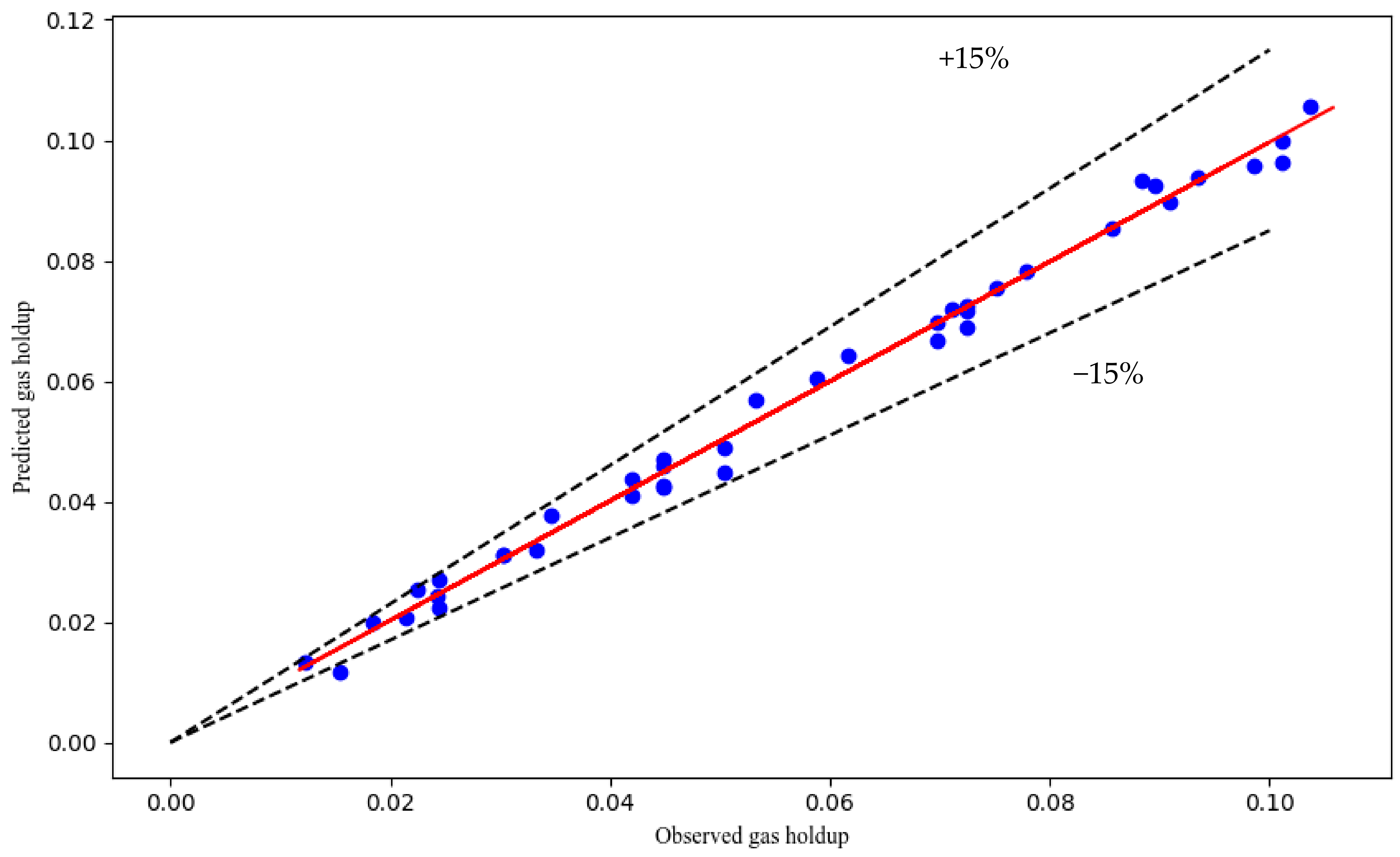
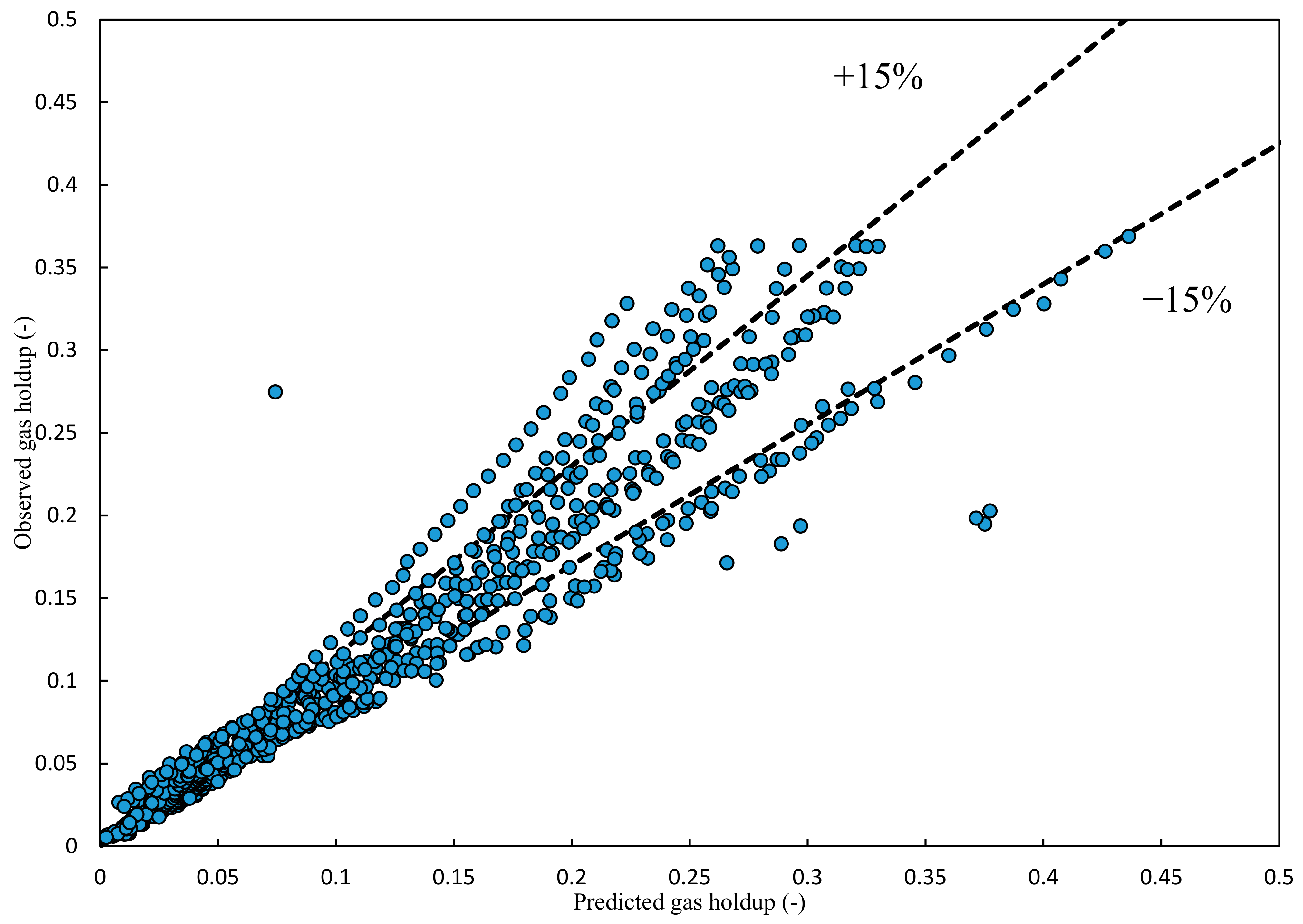
3.2. Gas Holdup Empirical Correlation
3.3. Machine Learning Results
4. Conclusions
Author Contributions
Funding
Institutional Review Board Statement
Informed Consent Statement
Data Availability Statement
Acknowledgments
Conflicts of Interest
Nomenclature
| column cross-sectional area, m2 | |
| carbon number | |
| bubble column diameter, m | |
| pore diameter, m | |
| sparger diameter, m | |
| Eötvös number, dimensionless | |
| Froude number of the gas, dimensionless | |
| acceleration gravity, m.s−2 | |
| height of liquid phase after aeration, m | |
| height of liquid phase before aeration, m | |
| Morton number, dimensionless | |
| gas flow rate, m3.s−1 | |
| Reynolds number of the gas, dimensionless | |
| superficial liquid velocity, m.s−1 | |
| superficial gas velocity, m.s−1 | |
| Greek Letters | |
| gas holdup, dimensionless | |
| liquid viscosity, mPa.s | |
| liquid density, kg.m−3 | |
| surface tension, mN.m−1 |
References
- Gemello, L.; Cappello, V.; Augier, F.; Marchisio, D.; Plais, C. CFD-based scale-up of hydrodynamics and mixing in bubble columns. Chem. Eng. Res. Des. 2018, 136, 846–858. [Google Scholar] [CrossRef]
- Abdulrahman, M.W. CFD Simulations of Gas Holdup in a Bubble Column at High Gas Temperature of a Helium-Water System. In Proceedings of the 7th World Congress on Mechanical, Chemical, and Material Engineering, Online, 16–18 August 2020; pp. 161–169. [Google Scholar]
- Mouza, A.; Dalakoglou, G.; Paras, S. Effect of liquid properties on the performance of bubble column reactors with fine pore spargers. Chem. Eng. Sci. 2005, 60, 1465–1475. [Google Scholar] [CrossRef]
- Jasim, A.A.; Sultan, A.J.; Al-Dahhan, M.H. Influence of heat-exchanging tubes diameter on the gas holdup and bubble dynamics in a bubble column. Fuel 2019, 236, 1191–1203. [Google Scholar] [CrossRef]
- Nedeltchev, S.; Marchini, S.; Schubert, M.; Hlawitschka, M.W.; Hampel, U. Novel identifier of transitions in bubble columns operated with water and aqueous alcohol solutions. Chem. Eng. Technol. 2023, 46, 1782–1790. [Google Scholar] [CrossRef]
- Luo, X.; Lee, D.J.; Lau, R.; Yang, G.; Fan, L. Maximum stable bubble size and gas holdup in high-pressure slurry bubble columns. AIChE J. 1999, 45, 665–680. [Google Scholar] [CrossRef]
- Behkish, A. Hydrodynamic and Mass Transfer Parameters in Large-Scale Slurry Bubble Column Reactors. Ph.D. Thesis, University of Pittsburgh, Pittsburgh, PA, USA, 2005. [Google Scholar]
- Helchi, S.; Shariati, F.P.; Emamshoushtari, M.M.; Sohani, E.; Mohseni, M.M.; Bonakdarpour, B. The hydrodynamic characterization of an oval airlift open pond (AOP) in the air–water system. Chem. Eng. Commun. 2023, 210, 1853–1863. [Google Scholar] [CrossRef]
- Behkish, A.; Lemoine, R.; Oukaci, R.; Morsi, B.I. Novel correlations for gas holdup in large-scale slurry bubble column reactors operating under elevated pressures and temperatures. Chem. Eng. J. 2006, 115, 157–171. [Google Scholar] [CrossRef]
- Walke, S.; Sathe, V. Review of gas holdup characteristics of bubble column reactors. Int. J. Chem. Eng. Res. 2011, 3, 71–80. [Google Scholar] [CrossRef]
- Coletto, A.; Poesio, P. Hold-up formation in bubble channel reactors: A bubble-scale investigation. Chem. Eng. Res. Des. 2024, 201, 1–17. [Google Scholar] [CrossRef]
- Shariati, F.P.; Bonakdarpour, B.; Mehrnia, M.R. Hydrodynamics and oxygen transfer behaviour of water in diesel microemulsions in a draft tube airlift bioreactor. Chem. Eng. Process. Process. Intensif. 2007, 46, 334–342. [Google Scholar] [CrossRef]
- Akosman, C.; Orhan, R.; Dursun, G. Effects of liquid property on gas holdup and mass transfer in co-current downflow contacting column. Chem. Eng. Process. Process. Intensif. 2004, 43, 503–509. [Google Scholar] [CrossRef]
- Feng, D.; Ferrasse, J.-H.; Soric, A.; Boutin, O. Bubble characterization and gas–liquid interfacial area in two phase gas–liquid system in bubble column at low Reynolds number and high temperature and pressure. Chem. Eng. Res. Des. 2019, 144, 95–106. [Google Scholar] [CrossRef]
- Al-Oufi, F.M.; Rielly, C.D.; Cumming, I.W. An experimental study of gas void fraction in dilute alcohol solutions in annular gap bubble columns using a four-point conductivity probe. Chem. Eng. Sci. 2011, 66, 5739–5748. [Google Scholar] [CrossRef]
- Kojić, P.S.; Tokić, M.S.; Šijački, I.M.; Lukić, N.L.; Petrović, D.L.; Jovičević, D.Z.; Popović, S.S. Influence of the Sparger Type and Added Alcohol on the Gas Holdup of an External-Loop Airlift Reactor. Chem. Eng. Technol. 2015, 38, 701–708. [Google Scholar] [CrossRef]
- Kelkar, B.G.; Godbole, S.P.; Honath, M.F.; Shah, Y.T.; Carr, N.L.; Deckwer, W. Effect of addition of alcohols on gas holdup and backmixing in bubble columns. AIChE J. 1983, 29, 361–369. [Google Scholar] [CrossRef]
- Rahman–Al Ezzi, A.A.; Najmuldeena, G.F. Gas hold-up, mixing time and circulation time in internal loop airlift bubble column. Int. J. Eng. Res. Appl. 2014, 4, 286–294. [Google Scholar]
- El Azher, N.; Gourich, B.; Vial, C.; Bellhaj, M.S.; Bouzidi, A.; Barkaoui, M.; Ziyad, M. Influence of alcohol addition on gas hold-up, liquid circulation velocity and mass transfer coefficient in a split-rectangular airlift bioreactor. Biochem. Eng. J. 2005, 23, 161–167. [Google Scholar] [CrossRef]
- Helchi, S.; Hosseini, P.K.; Hosseini, M.K.; Shariati, F.P. The Effect of Alcohol Concentration on Gas Holdup in Bubble Column Reactors. In Proceedings of the 10th International Chemical Engineering Congress & Exhibition (IChEC), Isfahan, Iran, 6–10 May 2018. [Google Scholar]
- Besagni, G.; Inzoli, F. The effect of liquid phase properties on bubble column fluid dynamics: Gas holdup, flow regime transition, bubble size distributions and shapes, interfacial areas and foaming phenomena. Chem. Eng. Sci. 2017, 170, 270–296. [Google Scholar] [CrossRef]
- Basařová, P.; Pišlová, J.; Mills, J.; Orvalho, S. Influence of molecular structure of alcohol-water mixtures on bubble behaviour and bubble surface mobility. Chem. Eng. Sci. 2018, 192, 74–84. [Google Scholar] [CrossRef]
- Tan, Y.H.; Finch, J.A. Frother structure-property relationship: Effect of hydroxyl position in alcohols on bubble rise velocity. Miner. Eng. 2016, 92, 1–8. [Google Scholar] [CrossRef]
- Moshtari, B.; Babakhani, E.G.; Moghaddas, J.S. Experimental study of gas hold-up and bubble behavior in gas-liquid bubble column. Pet. Coal 2009, 51, 27–32. [Google Scholar]
- Götz, M.; Lefebvre, J.; Mörs, F.; Ortloff, F.; Reimert, R.; Bajohr, S.; Kolb, T. Novel gas holdup correlation for slurry bubble column reactors operated in the homogeneous regime. Chem. Eng. J. 2017, 308, 1209–1224. [Google Scholar] [CrossRef]
- Kazakis, N.; Papadopoulos, I.; Mouza, A. Bubble columns with fine pore sparger operating in the pseudo-homogeneous regime: Gas hold up prediction and a criterion for the transition to the heterogeneous regime. Chem. Eng. Sci. 2007, 62, 3092–3103. [Google Scholar] [CrossRef]
- Anastasiou, A.; Passos, A.; Mouza, A. Bubble columns with fine pore sparger and non-Newtonian liquid phase: Prediction of gas holdup. Chem. Eng. Sci. 2013, 98, 331–338. [Google Scholar] [CrossRef]
- James, G. An Introduction to Statistical Learning; Springer: Berlin/Heidelberg, Germany, 2013. [Google Scholar]
- Mask, G.; Wu, X.; Ling, K. An improved model for gas-liquid flow pattern prediction based on machine learning. J. Pet. Sci. Eng. 2019, 183, 106370. [Google Scholar] [CrossRef]
- Hanafizadeh, P.; Sattari, A.; Hosseini-Doost, S.E.; Nouri, A.G.; Ashjaee, M. Effect of orifice shape on bubble formation mechanism. Meccanica 2018, 53, 2461–2483. [Google Scholar] [CrossRef]
- Shu, S.; Vidal, D.; Bertrand, F.; Chaouki, J. Multiscale multiphase phenomena in bubble column reactors: A review. Renew. Energy 2019, 141, 613–631. [Google Scholar] [CrossRef]
- Lin, Z.; Liu, X.; Lao, L.; Liu, H. Prediction of two-phase flow patterns in upward inclined pipes via deep learning. Energy 2020, 210, 118541. [Google Scholar] [CrossRef]
- Zhu, L.-T.; Chen, X.-Z.; Ouyang, B.; Yan, W.-C.; Lei, H.; Chen, Z.; Luo, Z.-H. Review of Machine Learning for Hydrodynamics, Transport, and Reactions in Multiphase Flows and Reactors. Ind. Eng. Chem. Res. 2022, 61, 9901–9949. [Google Scholar] [CrossRef]
- Samuel, A.L. Some Studies in Machine Learning Using the Game of Checkers. IBM J. Res. Dev. 1959, 3, 210–229. [Google Scholar] [CrossRef]
- Liu, J.; Jiang, L.; Chen, Y.; Liu, Z.; Yuan, H.; Wen, Y. Study on prediction model of liquid hold up based on random forest algorithm. Chem. Eng. Sci. 2023, 268, 118383. [Google Scholar] [CrossRef]
- Khanzode, K.C.A.; Sarode, R.D. Advantages and disadvantages of artificial intelligence and machine learning: A literature review. Int. J. Libr. Inf. Sci. 2020, 9, 3. [Google Scholar]
- Gandhi, A.B.; Joshi, J.B.; Jayaraman, V.K.; Kulkarni, B.D. Development of support vector regression (SVR)-based correlation for prediction of overall gas hold-up in bubble column reactors for various gas–liquid systems. Chem. Eng. Sci. 2007, 62, 7078–7089. [Google Scholar] [CrossRef]
- Cortes, C. Support-Vector Networks. Mach. Learn. 1995, 20, 273–297. [Google Scholar] [CrossRef]
- Gandhi, A.; Joshi, J.; Kulkarni, A.; Jayaraman, V.; Kulkarni, B. SVR-based prediction of point gas hold-up for bubble column reactor through recurrence quantification analysis of LDA time-series. Int. J. Multiph. Flow 2008, 34, 1099–1107. [Google Scholar] [CrossRef]
- Guo, K.; Wang, T.; Yang, G.; Wang, J. Distinctly different bubble behaviors in a bubble column with pure liquids and alcohol solutions. J. Chem. Technol. Biotechnol. 2017, 92, 432–441. [Google Scholar] [CrossRef]
- Shaikh, A.; Al-Dahhan, M. Development of an artificial neural network correlation for prediction of overall gas holdup in bubble column reactors. Chem. Eng. Process. Process. Intensif. 2003, 42, 599–610. [Google Scholar] [CrossRef]
- Gandhi, A.B.; Joshi, J.B. Unified correlation for overall gas hold-up in bubble column reactors for various gas–liquid systems using hybrid genetic algorithm-support vector regression technique. Can. J. Chem. Eng. 2010, 88, 758–776. [Google Scholar] [CrossRef]
- Smola, A.J.; Schölkopf, B. A tutorial on support vector regression. Stat. Comput. 2004, 14, 199–222. [Google Scholar] [CrossRef]
- Smith, G. Essential Statistics, Regression, and Econometrics; Academic Press: New York, NY, USA, 2015. [Google Scholar]
- Varallo, N.; Besagni, G.; Mereu, R. Computational fluid dynamics simulation of the heterogeneous regime in a large-scale bubble column. Chem. Eng. Sci. 2023, 280, 119090. [Google Scholar] [CrossRef]
- Moraveji, M.K.; Sajjadi, B.; Davarnejad, R. Gas-Liquid Hydrodynamics and Mass Transfer in Aqueous Alcohol Solutions in a Split-Cylinder Airlift Reactor. Chem. Eng. Technol. 2011, 34, 465–474. [Google Scholar] [CrossRef]
- Fadili, A.; Essadki, A.H. Flow pattern study, gas hold-up and gas liquid mass transfer correlations in a bubble column: Effect of non—Coalescing water—Organic mixtures. Korean J. Chem. Eng. 2021, 38, 924–937. [Google Scholar] [CrossRef]
- Nedeltchev, S.; Marchini, S.; Schubert, M.; Hampel, U. New Approaches for Prediction of Flow Regime Boundaries and Overall Gas Holdups in a Bubble Column Operated with Aqueous Solutions of 2-Pentanol. J. Chem. Eng. Jpn. 2024, 57, 2330388. [Google Scholar] [CrossRef]






| Ref. | Gas/Liquid/Solid | Correlation | |
|---|---|---|---|
| [17] | Air/aqueous–alcoholic solutions | (1) | |
| [3] | Air/water, n-butanol, glycerin | (2) | |
| [26] | Air/water, n-butanol, glycerin, kerosene | (3) | |
| [27] | Air/glycerin/xanthan | (4) | |
| Author | System | Geometry | ||||
|---|---|---|---|---|---|---|
| [3] | Air/glycerin CN = 3, 33.3% wt | 0.00076–0.026 | 1081 | 3.5 | 70 | Rectangular |
| Air/glycerin 50% wt | 0.0007–0.008 | 1126 | 8.2 | 68 | ||
| Air/glycerin 66.7% wt | 0.0007–0.008 | 1173 | 22.5 | 67 | ||
| Air/n-butanol CN = 4, 0.6% wt | 0.00068–0.008 | 994 | 0.9 | 60 | ||
| Air/n-butanol 1.5% wt | 0.0007–0.008 | 991 | 0.9 | 48 | ||
| [27] | Air/glycerin, CN = 3, 70% wt | 0.00004–0.038 | 1180 | 20 | 68 | Tubular, (ID = 0.09 m) |
| [26] | Air/glycerin, 33.3% v.v−1 | 0.0024–0.0209 | 1080 | 3.6 | 70 | Tubular, (ID = 0.09 m) |
| Air/glycerin, 68% v.v−1 | 0.0023–0.0203 | 1182 | 23 | 67 | ||
| Air/n-butanol CN = 4, 0.75% v/v | 0.00096–0.0255 | 992 | 0.9 | 60 | ||
| Air/n-butanol 1.5% v/v | 0.000106–0.025 | 990 | 0.9 | 50 | ||
| Air/n-propanol CN = 3, 0.5% wt | 0.027–0.269 | 994.8 | 0.85 | 66 | ||
| [17] | Air/ethanol CN = 2, 0.5% wt | 0.0274–0.257 | 997.3 | 0.83 | 68 | (Tubular), ID = 0.154 m |
| Air/methanol CN = 1, 0.5% wt | 0.0234–0.265 | 997 | 0.83 | 70 | ||
| [21] | Air/water | 0.0150757–0.196993 | 997.086 | 0.8903 | 71.5 | Tubular, (ID = 0.24) |
| Air/ethanol 0.05% and 0.1% wt | 0.00336134–0.191176 | 996.7 and 997.158 | 0.9–0.8917 | 71.66–71.5 | ||
| Air/MEG 0.05−80% wt | 0.008–0.194 | 997.158−1094.801 | 0.8917−7.9655 | 71.5−50.2 | ||
| [40] | Air/water | 0.0302438–0.200337 | 998.2 | 1.0016 | 72.75 | Tubular, (ID = 0.1) |
| Air/pure ethanol | 0.0205662–0.199878 | 789.2 | 1.28 | 22.4 |
| Author | ||||
|---|---|---|---|---|
| [17] | 0.000136–0.003108 | 6.057895–34.40026 | 4.65 × 108–9.24 × 108 | 0−4 |
| [26] | 1.07 × 10−6–0.00074 | 0.004621–2.53209 | 181.5341–43,736,178 | 0−4 |
| [3] | 5 × 10−7–6.53E−05 | 0.076984–0.882485 | 240.9992–54,213,224 | 0−4 |
| [27] | 1.74 × 10−5–0.157236 | 0.002122–0.201577 | 325.9469 | 3 |
| [21] | 4.8 × 10−6–0.016482 | 0.116338–52.88619 | 43,216.35–4.66 × 108 | 0, 2 |
| [40] | 0.000431–0.040912 | 1.266133–19.94201 | 1,164,207–52,399,104 | 0, 2 |
| Present study | 5.27 × 10−5–0.000656 | 1.209073–5.103548 | 1.09 × 108–2.19 × 108 | 0−3 |
| Liquid Phase | |||
|---|---|---|---|
| Methanol 0.25% v/v | 997.7 | 0.82 | 71.2 |
| Methanol 0.5% v/v | 997 | 0.83 | 70 |
| Methanol 1% v/v | 996.4 | 0.83 | 67 |
| Ethanol 0.25% v/v | 997.7 | 0.83 | 71 |
| Ethanol 0.5% v/v | 997.3 | 0.83 | 70 |
| Ethanol 1% v/v | 995 | 0.84 | 69.3 |
| n-Propanol 0.25% v/v | 995 | 0.85 | 68 |
| n-Propanol 0.5% v/v | 994.8 | 0.85 | 66 |
| n-Propanol 1% v/v | 994 | 0.85 | 60 |
| Water | 997 | 0.98 | 72 |
Disclaimer/Publisher’s Note: The statements, opinions and data contained in all publications are solely those of the individual author(s) and contributor(s) and not of MDPI and/or the editor(s). MDPI and/or the editor(s) disclaim responsibility for any injury to people or property resulting from any ideas, methods, instructions or products referred to in the content. |
© 2024 by the authors. Licensee MDPI, Basel, Switzerland. This article is an open access article distributed under the terms and conditions of the Creative Commons Attribution (CC BY) license (https://creativecommons.org/licenses/by/4.0/).
Share and Cite
Helchi, S.; Emamshoushtari, M.M.; Pajoum Shariati, F.; Bonakdarpour, B.; Haddadi, B. Data-Driven Gas Holdup Correlation in Bubble Column Reactors Considering Alcohol Concentration and Carbon Number. ChemEngineering 2024, 8, 117. https://doi.org/10.3390/chemengineering8060117
Helchi S, Emamshoushtari MM, Pajoum Shariati F, Bonakdarpour B, Haddadi B. Data-Driven Gas Holdup Correlation in Bubble Column Reactors Considering Alcohol Concentration and Carbon Number. ChemEngineering. 2024; 8(6):117. https://doi.org/10.3390/chemengineering8060117
Chicago/Turabian StyleHelchi, Salar, Mir Mehrshad Emamshoushtari, Farshid Pajoum Shariati, Babak Bonakdarpour, and Bahram Haddadi. 2024. "Data-Driven Gas Holdup Correlation in Bubble Column Reactors Considering Alcohol Concentration and Carbon Number" ChemEngineering 8, no. 6: 117. https://doi.org/10.3390/chemengineering8060117
APA StyleHelchi, S., Emamshoushtari, M. M., Pajoum Shariati, F., Bonakdarpour, B., & Haddadi, B. (2024). Data-Driven Gas Holdup Correlation in Bubble Column Reactors Considering Alcohol Concentration and Carbon Number. ChemEngineering, 8(6), 117. https://doi.org/10.3390/chemengineering8060117

