Quantitative Analysis of Separated Impurities inside Filter Cakes with Phantom-Aided X-ray Tomography
Abstract
1. Introduction
2. Materials and Methods
2.1. Material System
2.2. Filtration
2.3. Phantom Preparation
2.3.1. Preliminary
2.3.2. Preparation Methodology
2.4. XRM Measurements
2.5. CT Scaling Procedure
2.6. Image Processing and Analysis
3. Results
3.1. Calibration Curve
3.2. Results of a Validation Filter Cake
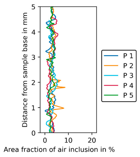
3.3. Quantitative Analysis of Filter Cakes
4. Discussion
4.1. Assessment of the Quantitative Analysis
4.2. Error Evaluation
4.2.1. Filtration
4.2.2. Phantom
4.2.3. XRM
5. Conclusions
Author Contributions
Funding
Data Availability Statement
Acknowledgments
Conflicts of Interest
Appendix A
| Kieselguhr, Flux Calcinated—Filter Aid | Barium Sulphate—Impurity | |
|---|---|---|
| Material name | Celite® Hyflo Supercel | Barium sulfate puriss., Ph. Eur., BP |
| CAS No. | 91053-39-3 | 7727-43-7 |
| Supplier | Lehmann & Voss & Co. | Honeywell Fluka ™ |
| Density ρ | 2.29 g/cm3 | 4.36 g/cm3 |
| Experiment | 1 | 2 | 3 | 4 | ||||||||
|---|---|---|---|---|---|---|---|---|---|---|---|---|
| C | M | E | C | M | E | C | M | E | C | M | E | |
| hmeas in mm | 5.5 | 5.6 | 5.9 | 5.8 | ||||||||
| hCT in mm | 4.8 | 5.1 | 4.9 | 4.8 | 5.0 | 4.5 | 4.8 | 5.2 | 5.2 | 3.8 | 4.3 | 4.6 |


References
- Buzug, T.M. Computed Tomography: From Photon Statistics to Modern Cone-Beam CT; Springer: Berlin/Heidelberg, Germany, 2008. [Google Scholar]
- Englisch, S.; Ditscherlein, R.; Furat, O.; Hansen, L.; Drobek, D.; Wirth, J.; Carl, S.; Leißner, T.; Zubiri, B.A.; Weber, A.; et al. Comprehensive, multidimensional and correlative particle characterization of a saxolite and talcum compound to support the understanding of complex separation processes. Microsc. Microanal. 2021, 27, 934–937. [Google Scholar] [CrossRef]
- Löwer, E.; Pfaff, F.; Leißner, T.; Peuker, U.A. Neighborhood Relationships of Widely Distributed and Irregularly Shaped Particles in Partially Dewatered Filter Cakes. Transp. Porous Media 2021, 138, 201–224. [Google Scholar] [CrossRef]
- Cnudde, V.; Boone, M.N. High-resolution X-ray computed tomography in geosciences: A review of the current technology and applications. Earth-Sci. Rev. 2013, 123, 1–17. [Google Scholar] [CrossRef]
- Wellington, S.L.; Vinegar, H.J. X-Ray Computerized Tomography. J. Pet. Technol. 1987, 39, 886–898. [Google Scholar] [CrossRef]
- Clausnitzer, V.; Hopmans, J.W. Pore-scale measurements of solute breakthrough using microfocus X-ray computed tomography. Water Resour. Res. 2000, 36, 2067–2079. [Google Scholar] [CrossRef]
- Boas, F.; Fleischmann, D. CT artifacts: Causes and reduction techniques. Imaging Med. 2012, 4, 229–240. [Google Scholar] [CrossRef]
- Withers, P.J.; Bouman, C.; Carmignato, S.; Cnudde, V.; Grimaldi, D.; Hagen, C.K.; Maire, E.; Manley, M.; Du Plessis, A.; Stock, S.R. X-ray computed tomography. Nat. Rev. Methods Prim. 2021, 1, 18. [Google Scholar] [CrossRef]
- Zhang, Y.; Mostaghimi, P.; Armstrong, R.T. On the challenges of greyscale-based quantifications using X-ray computed microtomography. J. Microsc. 2019, 275, 82–96. [Google Scholar] [CrossRef]
- Bailey, J.J.; Heenan, T.M.M.; Finegan, D.P.; Lu, X.; Daemi, S.R.; Iacoviello, F.; Backeberg, N.R.; Taiwo, O.O.; Brett, D.J.L.; Atkinson, A.; et al. Laser-preparation of geometrically optimised samples for X-ray nano-CT. J. Microsc. 2017, 267, 384–396. [Google Scholar] [CrossRef]
- Maire, E.; Withers, P.J. Quantitative X-ray tomography. Int. Mater. Rev. 2013, 59, 1–43. [Google Scholar] [CrossRef]
- Bruns, S.; Stipp, S.L.S.; Sørensen, H.O. Statistical representative elementary volumes of porous media determined using greyscale analysis of 3D tomograms. Adv. Water Resour. 2017, 107, 32–42. [Google Scholar] [CrossRef]
- Xu, X.G. An exponential growth of computational phantom research in radiation protection, imaging, and radiotherapy: A review of the fifty-year history. Phys. Med. Biol. 2014, 59, R233–R302. [Google Scholar] [CrossRef] [PubMed]
- Cann, C.E.; Genant, H.K. Precise measurement of vertebral mineral content using computed tomography. J. Comput. Assist. Tomogr. 1980, 4, 493–500. [Google Scholar] [CrossRef] [PubMed]
- Free, J.; Eggermont, F.; Derikx, L.; van Leeuwen, R.; van der Linden, Y.; Jansen, W.; Raaijmakers, E.; Tanck, E.; Kaatee, R. The effect of different CT scanners, scan parameters and scanning setup on Hounsfield units and calibrated bone density: A phantom study. Biomed. Phys. Eng. Express 2018, 4, 055013. [Google Scholar] [CrossRef]
- De Marzi, L.; Lesven, C.; Ferrand, R.; Sage, J.; Boule, T.; Mazal, A. Calibration of CT Hounsfield units for proton therapy treatment planning: Use of kilovoltage and megavoltage images and comparison of parameterized methods. Phys. Med. Biol. 2013, 58, 4255–4276. [Google Scholar] [CrossRef]
- Üncü, Y.A.; Sevim, G.; Canpolat, M. Approaches to preclinical studies with heterogeneous breast phantom using reconstruction and three-dimensional image processing algorithms for diffuse optical imaging. Int. J. Imaging Syst. Technol. 2022, 32, 343–353. [Google Scholar] [CrossRef]
- Rahn, H.; Alexiou, C.; Trahms, L.; Odenbach, S. 3-Dimensional quantitative detection of nanoparticle content in biological tissue samples after local cancer treatment. J. Magn. Magn. Mater. 2014, 360, 92–97. [Google Scholar] [CrossRef]
- Darma, I.S.; Sugiyama, T.; Promentilla, M.A.B. Application of X-Ray CT to Study Diffusivity in Cracked Concrete Through the Observation of Tracer Transport. J. Adv. Concr. Technol. 2013, 11, 266–281. [Google Scholar] [CrossRef]
- Molnar, I.L.; Willson, C.S.; O’Carroll, D.M.; Rivers, M.L.; Gerhard, J.I. Method for obtaining silver nanoparticle concentrations within a porous medium via synchrotron X-ray computed microtomography. Environ. Sci. Technol. 2014, 48, 1114–1122. [Google Scholar] [CrossRef]
- Pham, T.H.; Peuker, U.A. Shrinkage Cracking During Filtration Experiments—Influence of Suspension Concentration on Crack Formation. In Proceedings of the International Conference on Innovations for Sustainable and Responsible Mining; Springer: Cham, Switzerland, 2021; pp. 385–406. [Google Scholar]
- Löwer, E.; Leißner, T.; Peuker, U.A. Insight into filter cake structures using micro tomography: The dewatering equilibrium. Sep. Purif. Technol. 2020, 252, 117215. [Google Scholar] [CrossRef]
- Du Plessis, A.; Boshoff, W.P. A review of X-ray computed tomography of concrete and asphalt construction materials. Constr. Build. Mater. 2019, 199, 637–651. [Google Scholar] [CrossRef]
- Sutherland, D.N.; Hidi, P. An Investigation of Filter-Aid Behaviour. Trans. Instn. Chem. Engrs. 1966, 44, T122–T127. [Google Scholar]
- Hackl, A.; Heidenreich, E.; Höflinger, W.; Tittel, R. Filterhilfsmittelfiltration. Fortschr.-Ber. VDI Reihe 3 Nr. 348; VDI-Verlag: Düsseldorf, Germany, 1993. [Google Scholar]
- Heertjes, P.M.; Zuideveld, P.L. Clarifications of Liquids Using Filter Aids. Part II. Depth Filtration. Powder Technol. 1978, 19, 31–43. [Google Scholar]
- Tien, C.; Bai, R.; Ramarao, B.V. Analysis of cake growth in cake filtration: Effect of fine particle retention. AIChE J. 1997, 43, 33–44. [Google Scholar] [CrossRef]
- Kuhn, M.; Briesen, H. Dosage of Filter Aids in the Case of Pure Surface Filtration—An Optimal Control Approach. In 12th International Symposium on Process Systems Engineering and 25th European Symposium on Computer Aided Process Engineering; Gernaey, K., Huusom, J., Gani, R., Eds.; Elsevier: Copenhagen, Denmark, 2015. [Google Scholar]
- Kuhn, M.; Briesen, H. Dynamic Modeling of Filter-Aid Filtration Including Surface- and Depth-Filtration Effects. Chem. Eng. Technol. 2016, 39, 425–434. [Google Scholar] [CrossRef]
- Kuhn, M.; Kirse, C.; Briesen, H. Improving the design of depth filters: A model-based method using optimal control theory. AIChE J. 2018, 64, 68–76. [Google Scholar] [CrossRef]
- Blery, P.; Pilet, P.; Bossche, A.V.; Thery, A.; Guicheux, J.; Amouriq, Y.; Espitalier, F.; Mathieu, N.; Weiss, P. Vascular imaging with contrast agent in hard and soft tissues using microcomputed-tomography. J. Microsc. 2016, 262, 40–49. [Google Scholar] [CrossRef] [PubMed]
- Hill, M.L.; Mainprize, J.G.; Mawdsley, G.E.; Yaffe, M.J. A solid iodinated phantom material for use in tomographic X-ray imaging. Med. Phys. 2009, 36, 4409–4420. [Google Scholar] [CrossRef] [PubMed]
- Du, L.Y.; Umoh, J.; Nikolov, H.N.; Pollmann, S.I.; Lee, T.Y.; Holdsworth, D.W. A quality assurance phantom for the performance evaluation of volumetric micro-CT systems. Phys. Med. Biol. 2007, 52, 7087–7108. [Google Scholar] [CrossRef]
- Ditscherlein, R.; Furat, O.; de Langlard, M.; Martins de Souza, E.S.J.; Sygusch, J.; Rudolph, M.; Leissner, T.; Schmidt, V.; Peuker, U.A. Multiscale Tomographic Analysis for Micron-Sized Particulate Samples. Microsc. Microanal. 2020, 26, 676–688. [Google Scholar] [CrossRef]
- Hubbell, J.H.; Seltzer, S.M. Tables of X-ray Mass Attenuation Coefficients and Mass Energy-Absorption Coefficients (Version 1.4). Available online: http://physics.nist.gov/xaamdi (accessed on 11 February 2022).
- Brooks, R.A.; Di Chiro, G. Principles of Computer Assisted Tomography (CAT) in Radiographic and Radioisotopic Imaging. Phys. Med. Biol. 1976, 21, 689–732. [Google Scholar] [CrossRef]
- Furnas, C.C. Grading Aggregates—I.—Mathematical Relations for Beds of Broken Solids of Maximum Density. Ind. Eng. Chem. 1931, 23, 1052–1058. [Google Scholar] [CrossRef]
- Wong, V.; Kwan, A.K.H. A 3-parameter model for packing density prediction of ternary mixes of spherical particles. Powder Technol. 2014, 268, 357–367. [Google Scholar] [CrossRef]
- Carman, P.C. The Action of Filter Aids. Ind. Eng. Chem. 1938, 30, 1163–1167. [Google Scholar] [CrossRef]
- Perera, H.J.; Khatiwada, B.K.; Paul, A.; Mortazavian, H.; Blum, F.D. Superhydrophobic surfaces with silane-treated diatomaceous earth/resin systems. J. Appl. Polym. Sci. 2016, 133. [Google Scholar] [CrossRef]
- Pettinato, C.; Nanni, C.; Farsad, M.; Castellucci, P.; Sarnelli, A.; Civollani, S.; Franchi, R.; Fanti, S.; Marengo, M.; Bergamini, C. Artefacts of PET/CT images. Biomed. Imaging Interv. J. 2006, 2, e60. [Google Scholar] [CrossRef] [PubMed]

















| Precoat Filtration | ||
| Support layer (filter medium) | RPD 40 S (Reverse Plain Dutch Weave, pore size = 40 µm), Haver & Boecker | |
| Specific precoat mass | 1.5 kg filter aid per m2 | |
| Solid volume fraction of filter aid | 0.44% | |
| Mass flow suspension | 7.5 kg/h | |
| Body Feed Filtration | ||
| Solid volume fraction of filter aid | 0.046% | |
| Solid volume fraction of impurity | 0.023% | |
| Volume ratio | 2 | |
| Mass flow suspension | 5 kg/h | |
| Layer No. | in % | in % |
|---|---|---|
| 5 (top) | 8.0 | 12.0 |
| 4 | 6.7 | 13.3 |
| 3 | 3.3 | 16.7 |
| 2 | 0.8 | 19.2 |
| 1 (bottom) | 0 | 20 |
| Parameter | Value |
|---|---|
| Acquisition | |
| Acceleration voltage (keV) | 80 |
| Power (W) | 7 |
| Exposure time (s) | 5 |
| Voxel size (µm) | 12 |
| Number of projections | 1601 |
| Angle range (°) | 360 |
| Optical magnification | 0.4 |
| Binning | 2 |
| Source filter | Zeiss standard low energy LE5 |
| Reconstruction | |
| Algorithm | Filtered back projection |
| Beam hardening correction | 0.05 |
| Smooth filter | 0.5 |
| Byte scaling | User-defined CT scale filter |
| Layer No.1 | 1 | 2 | 3 | 4 | 5 |
|---|---|---|---|---|---|
| Mean GV | 3284.5 | 4661.8 | 8617.1 | 13,958.0 | 15,208.1 |
| Std. deviation | 93.5 | 50.0 | 144.2 | 175.1 | 448.5 |
| Coeff. of variation (%) | 2.9 | 1.1 | 1. 7 | 1.3 | 3.0 |
Disclaimer/Publisher’s Note: The statements, opinions and data contained in all publications are solely those of the individual author(s) and contributor(s) and not of MDPI and/or the editor(s). MDPI and/or the editor(s) disclaim responsibility for any injury to people or property resulting from any ideas, methods, instructions or products referred to in the content. |
© 2023 by the authors. Licensee MDPI, Basel, Switzerland. This article is an open access article distributed under the terms and conditions of the Creative Commons Attribution (CC BY) license (https://creativecommons.org/licenses/by/4.0/).
Share and Cite
Friebel, J.M.; Neuber, D.; Buchwald, T.; Ditscherlein, R.; Peuker, U.A. Quantitative Analysis of Separated Impurities inside Filter Cakes with Phantom-Aided X-ray Tomography. ChemEngineering 2023, 7, 40. https://doi.org/10.3390/chemengineering7030040
Friebel JM, Neuber D, Buchwald T, Ditscherlein R, Peuker UA. Quantitative Analysis of Separated Impurities inside Filter Cakes with Phantom-Aided X-ray Tomography. ChemEngineering. 2023; 7(3):40. https://doi.org/10.3390/chemengineering7030040
Chicago/Turabian StyleFriebel, Judith Miriam, Diana Neuber, Thomas Buchwald, Ralf Ditscherlein, and Urs Alexander Peuker. 2023. "Quantitative Analysis of Separated Impurities inside Filter Cakes with Phantom-Aided X-ray Tomography" ChemEngineering 7, no. 3: 40. https://doi.org/10.3390/chemengineering7030040
APA StyleFriebel, J. M., Neuber, D., Buchwald, T., Ditscherlein, R., & Peuker, U. A. (2023). Quantitative Analysis of Separated Impurities inside Filter Cakes with Phantom-Aided X-ray Tomography. ChemEngineering, 7(3), 40. https://doi.org/10.3390/chemengineering7030040

