Effect of Rigid Xanthan Gums (RXGs) on Flow and Pressure Drops to Improve Drag Reduction Rates in Horizontal Pipe Flow
Abstract
1. Introduction
2. Experimental Setup
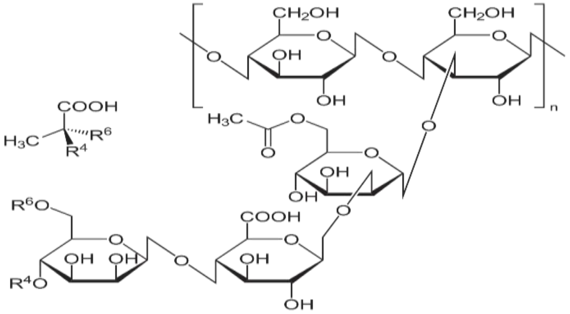
2.1. Preparation of the Modified XG Solutions
2.2. Experimental Process
3. Numerical Simulation
3.1. Assumptions
3.2. Governing Equation
- Continuity equation (mass conservation)
- 2.
- Momentum equation (Navier–Stokes equation)
3.3. Turbulence Model
3.4. Geometry and Mesh
3.5. Mesh Sensitivity
3.6. Numerical Simulation Models
4. Results and Discussion
4.1. Experimental Results
4.2. Simulation Results
4.2.1. Velocity Distribution
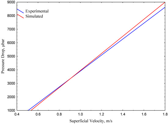
4.2.2. Validation of Performance
5. Conclusions
- The addition of the RXGs efficiently affected and was appropriate in improving the fluidity of mixture solutions at constant environmental conditions of 24 °C.
- The pressure drop reduction differed with polymer concentration, and the best dose (high concentration) resulted in a lower pressure drop that was reduced by 65% compared to that without the modified XG mixture.
- The drag reduction was affected by water velocity, which increased with increasing velocity.
- In the numerical part, the flow patterns were quite accurately depicted by the level set model and the k-turbulence model in the COMSOL simulator. Quantitatively, maximum variations of 6% between the simulated and experimental pressure drop values showed that the model accurately explained this kind of flow.
Author Contributions
Funding
Institutional Review Board Statement
Informed Consent Statement
Data Availability Statement
Acknowledgments
Conflicts of Interest
References
- Shnain, Z.Y.; Alwasiti, A.A.; Rashed, M.K. Applying Carbon Nanotubes for Enhancing Fluid Flow. Mater. Sci. Eng. 2020, 881, 012094. [Google Scholar] [CrossRef]
- Shnain, Z.Y.; Mageed, A.K.; Majdi, H.S.; Mohammadi, M.; AbdulRazak, A.A.; Abid, M.F. Investigating the effect of TiO2-based nanofluids in the stability of crude oil flow: Parametric analysis and Gaussian process regression modeling. J. Pet. Explor. Prod. Technol. 2022, 12, 2429–2439. [Google Scholar] [CrossRef]
- Sreedhar, I.; Reddy, N.S.; Rahman, S.A.; Govada, K.P. Drag reduction studies in water using polymers and their combinations. Mater. Today Proc. 2020, 24, 601–610. [Google Scholar] [CrossRef]
- Kotenko, M.; Oskarsson, H.; Bojesen, C.; Nielsen, M.P. An experimental study of the drag reducing surfactant for district heating and cooling. Energy 2019, 178, 72–78. [Google Scholar] [CrossRef]
- Tabor, M.; de Gennes, P.G. A Cascade Theory of Drag Reduction. EPL Europhys. Lett. 1986, 2, 519–522. [Google Scholar] [CrossRef]
- Sher, I.; Hetsroni, G. A mechanistic model of turbulent drag reduction by additives. Chem. Eng. Sci. 2008, 63, 1771–1778. [Google Scholar] [CrossRef]
- Virk, P.S. Drag reduction fundamentals. AIChE J. 1975, 21, 625–656. [Google Scholar] [CrossRef]
- Abubakar, A.; Al-Wahaibi, T.; Al-Hashmi, A.; Al-Ajmi, A. Roles of drag reducing polymers in single- and multi-phase flows. Chem. Eng. Res. Des. 2014, 92, 2153–2181. [Google Scholar] [CrossRef]
- Alwasiti, A.A.; Shneen, Z.Y.; Ibrahim, R.I.; Al Shalal, A.K. Energy Analysis and Phase Inversion Modeling of Two-Phase Flow with Different Additives. Ain Shams Eng. J. 2021, 12, 799–805. [Google Scholar] [CrossRef]
- Shnain, Z.Y.; Almukhtar, R.S.; Mahdi, M.S.; Alwaiti, A.A.; Shakor, Z.M. Experimental study and implementation of supervised machine learning algorithm to predict the flowability of two-phase water-oil in pipeline. Pet. Sci. Technol. 2022, 61, 1–16. [Google Scholar] [CrossRef]
- Shnain, Z.Y.; Alwaiti, A.A.; Rashed, M.K.; Shakor, Z.M. Experimental and Data-driven approach of investigating the effect of parameters on the fluid flow characteristic of nanosilica enhanced two phase flow in pipeline. Alex. Eng. J. 2021, 61, 1159–1170. [Google Scholar] [CrossRef]
- Al-Sarkhi, A. Drag reduction with polymers in gas-liquid/liquid-liquid flows in pipes: A literature review. J. Nat. Gas Sci. Eng. 2010, 2, 41–48. [Google Scholar] [CrossRef]
- Baik, S.; Hanratty, T.J. Effects of a drag reducing polymer on stratified gas–liquid flow in a large diameter horizontal pipe. Int. J. Multiph. Flow 2003, 29, 1749–1757. [Google Scholar] [CrossRef]
- Darmana, D.; Deen, N.; Kuipers, J. Detailed modeling of hydrodynamics, mass transfer and chemical reactions in a bubble column using a discrete bubble model. Chem. Eng. Sci. 2005, 60, 3383–3404. [Google Scholar] [CrossRef]
- Tan, J.; Hu, H.; Vahaji, S.; Jing, J.; Tu, J. Effects of drag-reducing polymers on the flow patterns, pressure gradients, and drag-reducing rates of horizontal oil–water flows. Int. J. Multiph. Flow 2022, 153, 104136. [Google Scholar] [CrossRef]
- Alsaedi, S.S.; Shnain, Z.Y.; Rashed, M.K.; Filip, P. Triple Solutions of Nanoparticle plus Polymer-Surfactant compound for Enhancing the Drag Reduction Using a Rotational Disk Apparatus. Mater. Sci. Eng. 2020, 881, 012079. [Google Scholar] [CrossRef]
- Alsaedi, S.S.; Yousif, Z.; Alazzawi, S.; Filip, P. Effect of Glycolic Acid Ethoxylate Lauryl Ether (GAL) Surfactant Solutions among Low and High Concentrations on Drag Reduction to Progress Flow in the Pipeline Networks Using RDA. J. Pet. Res. Stud. 2022, 12, 364–380. [Google Scholar] [CrossRef]
- Tiong, A.N.T.; Kumar, P.; Saptoro, A. Reviews on drag reducing polymers. Korean J. Chem. Eng. 2015, 32, 1455–1476. [Google Scholar] [CrossRef]
- Ideriah, F.J.K. Prediction of Turbulent Cavity Flow Driven By Buoyancy and Shear. J. Mech. Eng. Sci. 1984, 22, 287–295. [Google Scholar] [CrossRef]
- Awbi, H.B.; Setrak, A.A. Numerical Solution of Ventilation Air Jet. In Proceedings of the Fifth International Symposium on the Use of Computer for Environmental Engineering Related to Building, Bath, UK, 7–9 July 1986. [Google Scholar]
- Patanker, S.V. Numerical Heat Transfer and Fluid Flow; McGraw-Hill: New York, NY, USA, 1980. [Google Scholar]
- Terrapon, V.E.; Dubief, Y.; Moin, P.; Shaqfeh, E.S.G.; Lele, S.K. Simulated polymer stretch in a turbulent flow using Brownian dynamics. J. Fluid Mech. 2004, 504, 61–71. [Google Scholar] [CrossRef]
- Peixinho, J.; Nouar, C.; Desaubry, C.; Théron, B. Laminar transitional and turbulent flow of yield stress fluid in a pipe. J. Non-Newtonian Fluid Mech. 2005, 128, 172–184. [Google Scholar] [CrossRef]
- Lescarboura, J.A.; Culter, J.D.; Wahl, H.A. Drag Reduction with a Polymeric Additive in Crude Oil Pipelines. Soc. Pet. Eng. J. 1971, 11, 229–235. [Google Scholar] [CrossRef]
- Andrade, R.M.; Pereira, A.S.; Soares, E.J. Drag increase at the very start of drag reducing flows in a rotating cylindrical double gap device. J. Non-Newtonian Fluid Mech. 2014, 212, 73–79. [Google Scholar] [CrossRef]
- Japper-Jaafar, A.; Escudier, M.; Poole, R. Turbulent pipe flow of a drag-reducing rigid “rod-like” polymer solution. J. Non-Newtonian Fluid Mech. 2009, 161, 86–93. [Google Scholar] [CrossRef]
- Choueiri, G.H.; Lopez, J.M.; Hof, B. Exceeding the Asymptotic Limit of Polymer Drag Reduction. Phys. Rev. Lett. 2018, 120, 124501. [Google Scholar] [CrossRef]
- Liu, Z.-H.; Liao, L. Forced convective flow and heat transfer characteristics of aqueous drag-reducing fluid with carbon nanotubes added. Int. J. Therm. Sci. 2010, 49, 2331–2338. [Google Scholar] [CrossRef]
- Dianita, C.; Saputra, A.H.; Khairunissa, P.A. Simulation of Drag Reducer Polymer (DRP) for Single and Annular Two Phase Flow in Horizontal Pipe. J. Rekayasa Kim. Lingkung. 2018, 13, 154–164. [Google Scholar] [CrossRef]











| Assumption | Boundary Condition | |
|---|---|---|
| 1 | Take 2D symmetric geometry | u = uo |
| 2 | Full development | no slip on the wall |
| 3 | Constant physical properties | p = 0 at the output |
| 4 | Turbulent flow | |
| 5 | The use of average velocity | |
| 6 | Time dependent | |
| 7 | Axial Symmetry | |
| Size (1) Settings | |
|---|---|
| Description | Value |
| Calibrate for | Fluid dynamics |
| Maximum element size | 0.00142 |
| Minimum element size | 2.03 × 10−5 |
| Curvature factor | 0.25 |
| Predefined size | Finer |
Disclaimer/Publisher’s Note: The statements, opinions and data contained in all publications are solely those of the individual author(s) and contributor(s) and not of MDPI and/or the editor(s). MDPI and/or the editor(s) disclaim responsibility for any injury to people or property resulting from any ideas, methods, instructions or products referred to in the content. |
© 2023 by the authors. Licensee MDPI, Basel, Switzerland. This article is an open access article distributed under the terms and conditions of the Creative Commons Attribution (CC BY) license (https://creativecommons.org/licenses/by/4.0/).
Share and Cite
Kadhim, B.J.; Mahdy, O.S.; Alsaedi, S.S.; Majdi, H.S.; Shnain, Z.Y.; Alwaiti, A.A.; AbdulRazak, A.A. Effect of Rigid Xanthan Gums (RXGs) on Flow and Pressure Drops to Improve Drag Reduction Rates in Horizontal Pipe Flow. ChemEngineering 2023, 7, 36. https://doi.org/10.3390/chemengineering7020036
Kadhim BJ, Mahdy OS, Alsaedi SS, Majdi HS, Shnain ZY, Alwaiti AA, AbdulRazak AA. Effect of Rigid Xanthan Gums (RXGs) on Flow and Pressure Drops to Improve Drag Reduction Rates in Horizontal Pipe Flow. ChemEngineering. 2023; 7(2):36. https://doi.org/10.3390/chemengineering7020036
Chicago/Turabian StyleKadhim, Bashar J., Omar S. Mahdy, Sajda S. Alsaedi, Hasan S. Majdi, Zainab Y. Shnain, Asawer A. Alwaiti, and Adnan A. AbdulRazak. 2023. "Effect of Rigid Xanthan Gums (RXGs) on Flow and Pressure Drops to Improve Drag Reduction Rates in Horizontal Pipe Flow" ChemEngineering 7, no. 2: 36. https://doi.org/10.3390/chemengineering7020036
APA StyleKadhim, B. J., Mahdy, O. S., Alsaedi, S. S., Majdi, H. S., Shnain, Z. Y., Alwaiti, A. A., & AbdulRazak, A. A. (2023). Effect of Rigid Xanthan Gums (RXGs) on Flow and Pressure Drops to Improve Drag Reduction Rates in Horizontal Pipe Flow. ChemEngineering, 7(2), 36. https://doi.org/10.3390/chemengineering7020036

