Medicinal Chemistry of Quinazolines as Analgesic and Anti-Inflammatory Agents
Abstract
1. Introduction
2. Physicochemical Characters of Quinazolines
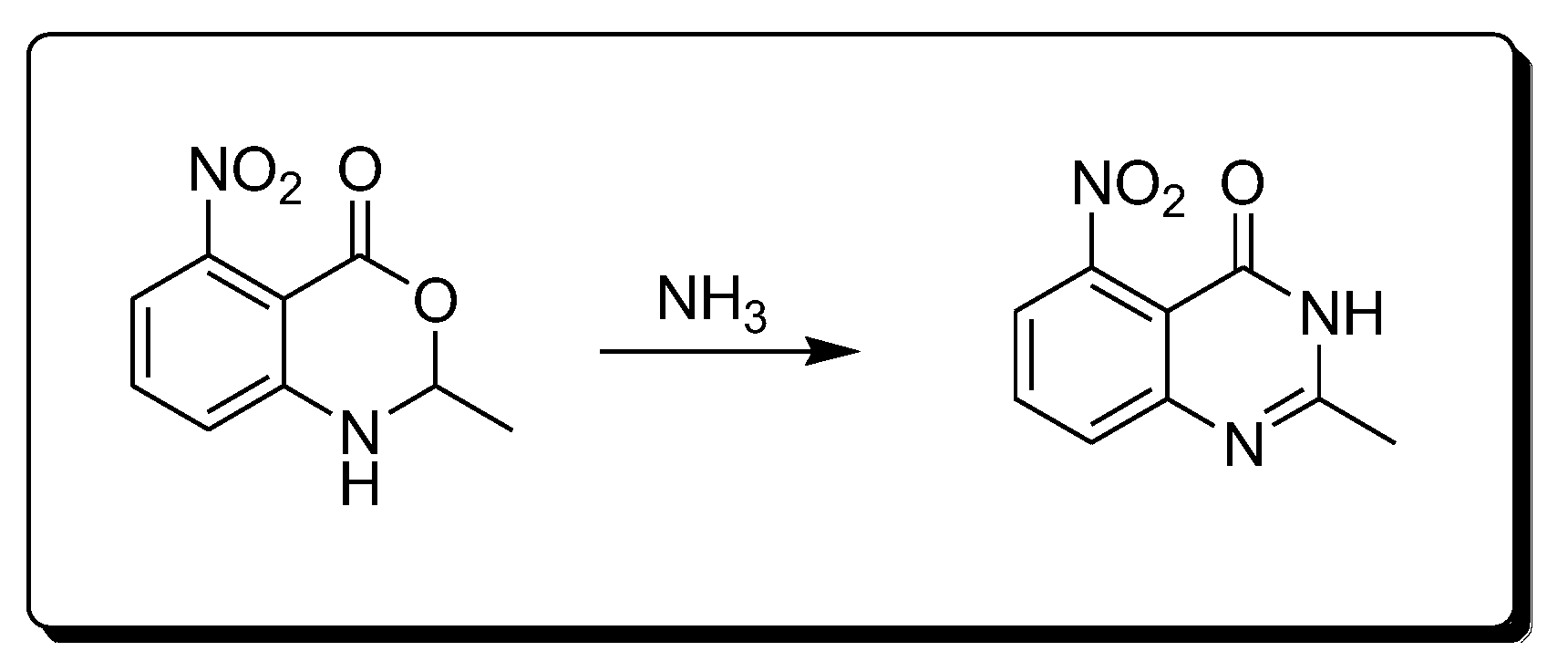
3. Methods of Preparation of Quinazolines
- 1.
- 2.
- 3.
- 4.
- 5.
- 6.
- 7.
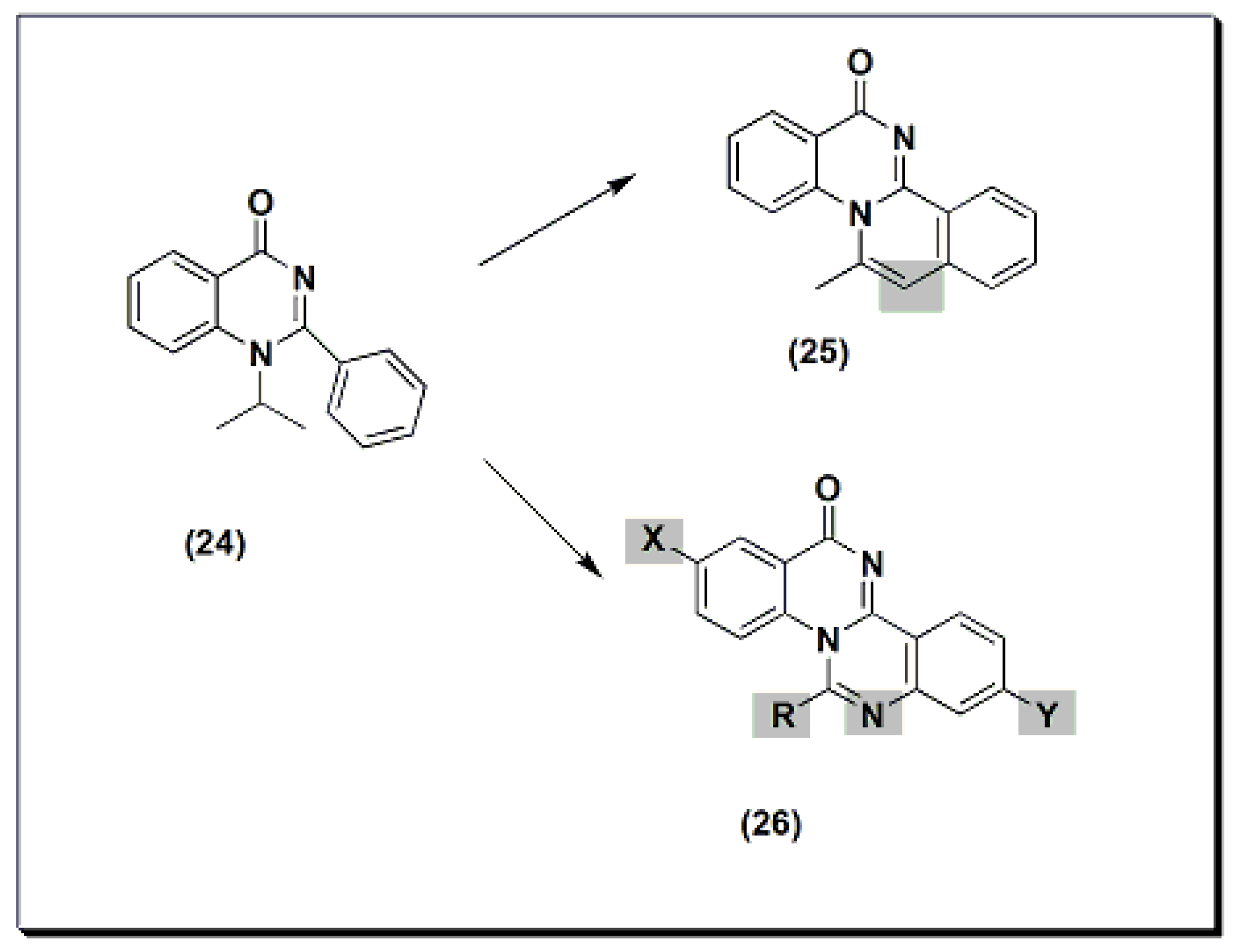
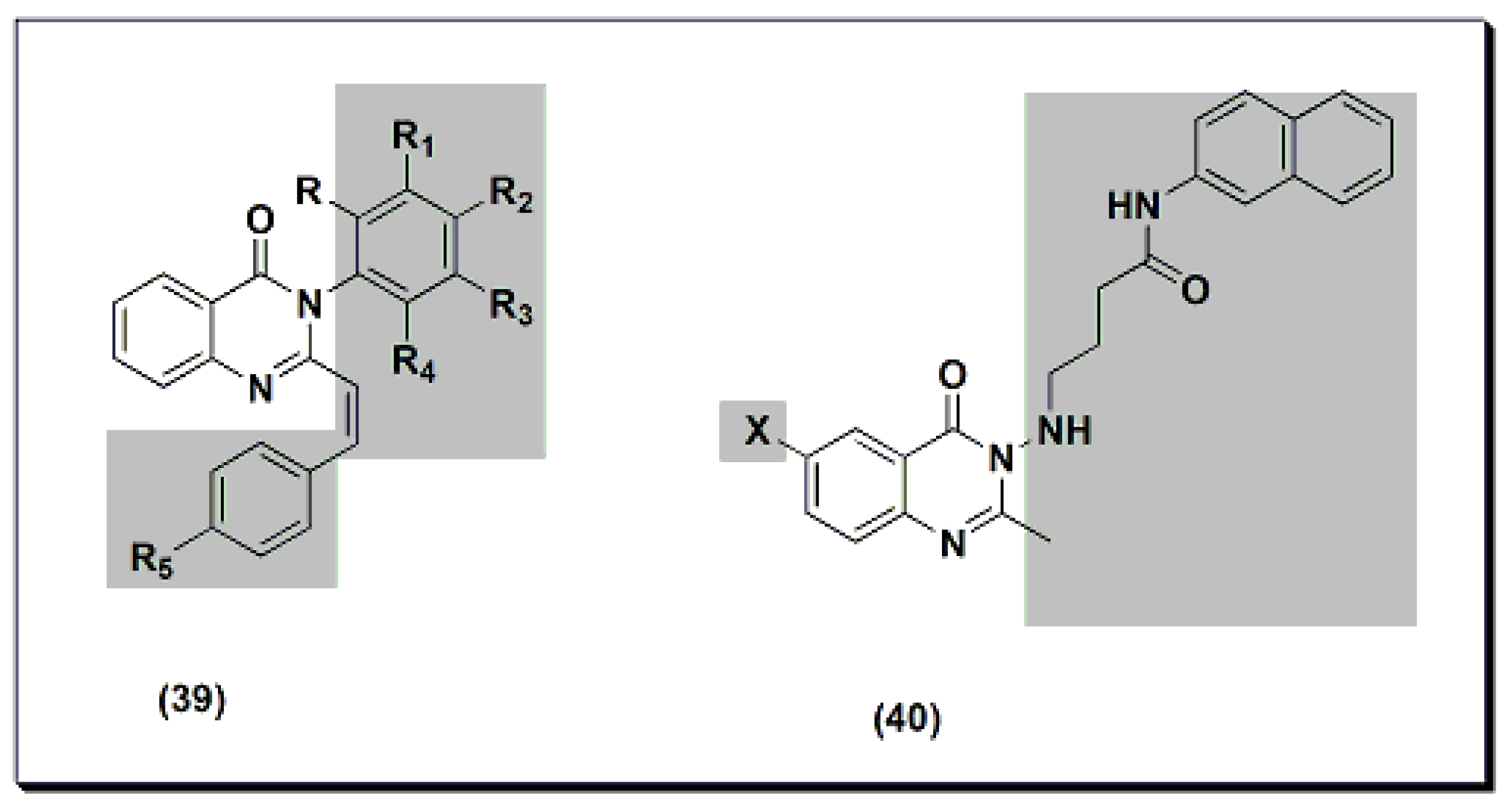
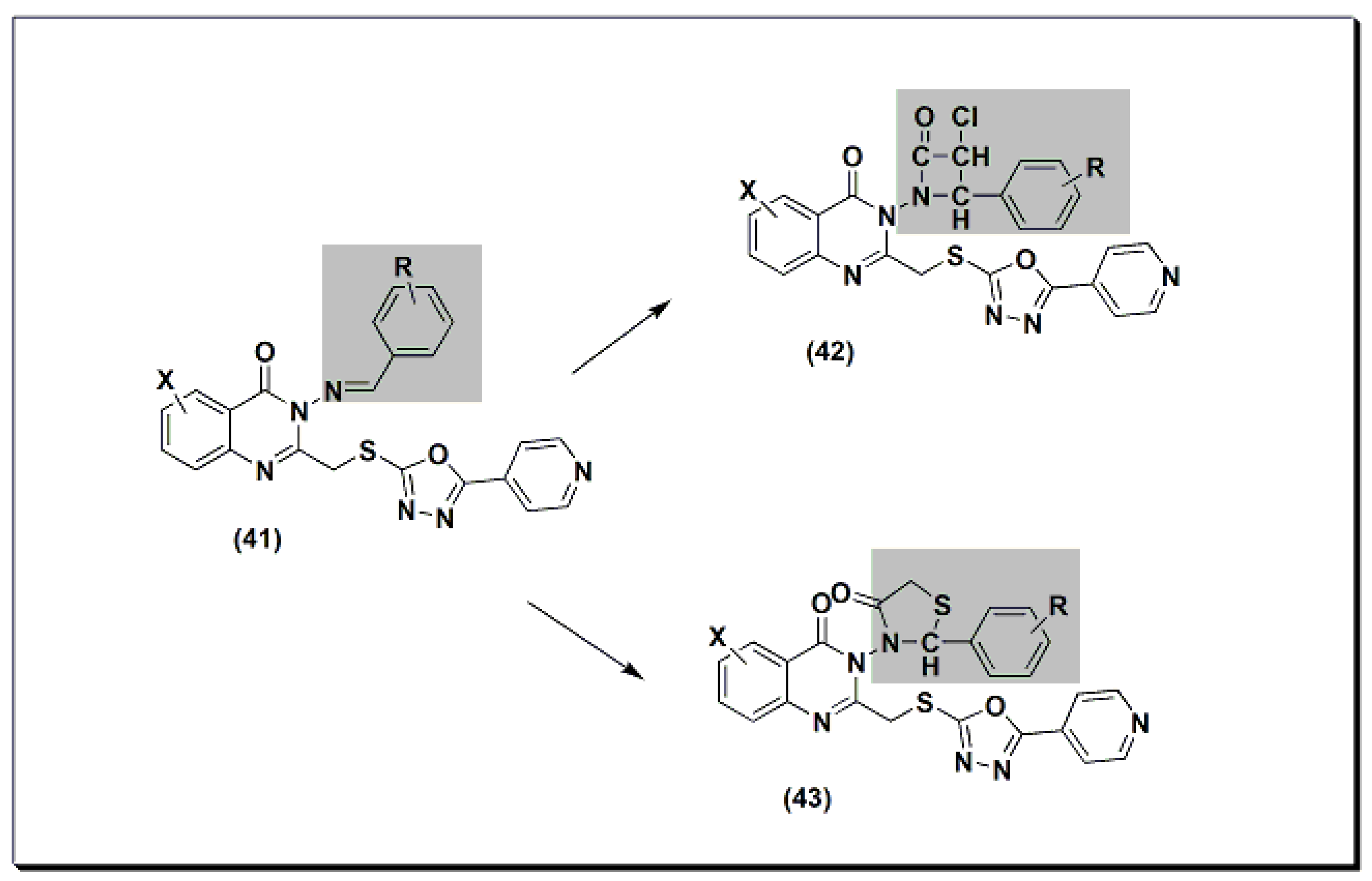
4. Analgesic Activity
5. Anti-Inflammatory Activity
6. Analgesic and Anti-Inflammatory Quinazolines Marketed Drugs
7. Summary of SAR Studies of Analgesic and Anti-Inflammatory Quinazolines
- A strong analgesic activity was noted when N-3 was an aliphatic substituent in quinazolinone moiety. Changing the aliphatic group to an aryl group enhanced the analgesic activity. Generally, electron-withdrawing groups at N-3 decreased the activity. The cyclization of C-2 and C-3 in quinazolinone moiety resulted in decreased analgesic potency. The molecular hybridization of quinazolinone moiety with another heterocyclic system, such as thiazolidinone, thiazole, and azetidinone, improved the analgesic activity
- The anti-inflammatory effect was increased by the presence of electron-withdrawing groups in C-1, C-6, and C-7 of the quinazolinone system. The introduction of the phenyl ring at N-1 position decreased the anti-inflammatory activity. The molecular hybridization of quinazolinone moiety with another heterocyclic system, such as thiazolidinone, thiazole, and azetidinone, improved the anti-inflammatory activity.
8. Conclusions
Funding
Institutional Review Board Statement
Informed Consent Statement
Data Availability Statement
Acknowledgments
Conflicts of Interest
References
- El-Zahabia, M.A.; Bamanie, H.F.; Ghareeb, S.; Alshaeri, K.H.; Alasmari, M.M.; Muostafa, M.; Al-Marzoki, Z.; Zayed, M.F. Design, Synthesis, Molecular Modeling andAnti-Hyperglycemic Evaluation of Quinazoline-Sulfonylurea Hybrids as Peroxisome Proliferator-Activated Receptor Gamma (PPAR) and Sulfonylurea Receptor (SUR) Agonists. Int. J. Mol. Sci. 2022, 23, 9605. [Google Scholar] [CrossRef] [PubMed]
- Zayed, M.F.; Ibrahim, S.; Habib, E.E.; Hassan, M.H.; Ahmed, S.; Rateb, H.S. Design, synthesis, antimicrobial and anti-biofilm evaluation, and molecular docking of new substituted fluoroquinazolinones. J. Med. Chem. 2019, 15, 657–673. [Google Scholar]
- Zhang, J.; Liu, J.; Ma, Y.; Ren, D.; Cheng, P.; Zhao, J.; Zhang, F.; Yao, Y. One-pot synthesis and antifungal activity against plant pathogens of quinazolinone derivatives containing an amide moiety. Bioorg. Med. Chem. Lett. 2016, 26, 2273–2277. [Google Scholar] [CrossRef] [PubMed]
- Zayed, M.F.; Rateb, H.; Ahmed, S.; Khaled, O.; Ibrahim, S. Quinazolinone-amino acid hybrids as Dual Inhibitors of EGFR Kinase and Tubulin Polymerization. Molecules 2018, 23, 1699. [Google Scholar] [CrossRef]
- Santos-Ballardo, L.; García-Páez, F.; Picos-Corrales, L.A.; Ochoa-Terán, A.; Bastidas, P.; Calderón-Zamora, L.; Rendón-Maldonado, G.; Osuna-Martínez, U.; Sarmiento-Sánchez, J.I. Synthesis, biological evaluation and molecular docking of 3-substituted quinazoline-2,4(1H, 3H)-diones. J. Chem. Sci. 2020, 132, 100. [Google Scholar] [CrossRef]
- Zayed, M.F.; Ahmed, S.; Ihmaid, S.; Ahmed, H.E.; Rateb, H.; Ibrahim, S. Design, Synthesis, Cytotoxic Evaluation and Molecular Docking of New Fluoroquinazolinones as Potent Anticancer Agents with Dual EGFR Kinase and Tubulin Polymerization Inhibitory Effects. Int. J. Mol. Sci. 2018, 19, 1731. [Google Scholar] [CrossRef] [PubMed]
- Jain, R.K.; Kashaw, V. Design, synthesis and evaluation of novel 2,3-disubstituted-4-(3H) quinazolinone derivatives. Asian J. Pharm. Pharmacol. 2018, 4, 644–656. [Google Scholar] [CrossRef]
- Alagarsamy, V.; Chitra, K.; Saravanan, G.; Solomon, V.R.; Sulthana, M.T.; Narendhar, B. An overview of quinazolines: Pharmacological significance and recent developments. Eur. J. Med. Chem. 2018, 151, 628–685. [Google Scholar] [CrossRef] [PubMed]
- Zayed, M.F.; Ahmed, H.E.A.; Ihmaid, S.; El-Adl, K.; Asiri, A.; Omar, A.M. Modelling and Anticonvulsant Studies of New Quinazolines Showing Three Highly Active Compounds with Low Toxicity and High Affinity to the GABA-A Receptor. Molecules 2017, 22, 188. [Google Scholar] [CrossRef]
- Hricoviniova, J.; Hricoviniova, Z.; Kozica, K. Antioxidant, Cytotoxic, Genotoxic, and DNA Protective Potential of 2,3-Substituted Quinazolinones: Structure—Activity Relationship Study. Int. J. Mol. Sci. 2021, 22, 610. [Google Scholar] [CrossRef]
- Zayed, M.F.; Ahmed, H.E.A.; Ihmaid, S.K.; Omar, A.M.; Abdelrahim, A.S. Synthesis and screening of some new fluorinated quinazolinone–sulphonamide hybrids as anticancer agents. J. Taibah Univ. Sci. 2015, 10, 333–339. [Google Scholar] [CrossRef]
- Sunil Kumar, A.; Kudva, J.; Lahtinen, M.; Peuronen, A.; Sadashiva, R.; Naral, D. Synthesis, characterization, crystal structures and biological screening of 4-amino quinazoline sulfonamide derivatives. J. Mol. Struct. 2019, 1190, 29–36. [Google Scholar] [CrossRef]
- Zayed, M.F. New fluorinated quinazolinone derivatives as anticonvulsant agents. J. Taibah Univ. Sci. 2014, 9, 104–109. [Google Scholar] [CrossRef]
- Ghorab, M.M.; Abdel-Kader, M.S.; Alqahtani, A.S.; Soliman, A.M. Synthesis of some quinazolinones inspired from the natural alkaloid L-norephedrine as EGFR inhibitors and radiosensitizers. J. Enzym. Inhib. Med. Chem. 2021, 36, 218–237. [Google Scholar] [CrossRef] [PubMed]
- Zayed, M.F.; Hassan, M.H. Synthesis and biological evaluation studies of novel quinazolinone derivatives as antibacterial and anti-inflammatory agents. Saudi Pharm. J. 2014, 22, 157–162. [Google Scholar] [CrossRef]
- Zayed, M.F.; Hassan, M.H. Design, Synthesis and Biological Evaluation Studies of Novel Quinazoline Derivatives as Cytotoxic Agents. Drug Res. 2013, 63, 210–215. [Google Scholar] [CrossRef]
- Zayed, M.F.; Ahmed, E.A.; Omar, A.M.; Abdelrahim, A.S.; El-Adl, K. Design, synthesis, and biological evaluation studies of novel quinazolinone derivatives as anticonvulsant agents. Med. Chem. Res. 2013, 22, 5823–5831. [Google Scholar] [CrossRef]
- Alam, M.J.; Alam, O.; Naim, M.J.; Alam, P. A review: Recent investigations on quinazoline scaffold. Int. J. Adv. Res. 2015, 3, 1656–1664. [Google Scholar]
- Connolly, D.J.; Cusack, D.; O’Sullivan, T.P.; Guiry, P.J. Synthesis of quinazolinones and quinazolines. Tetrahedron 2005, 61, 10153–10202. [Google Scholar] [CrossRef]
- Meyer, J.F.; Wagner, E.C. The Niementowski reaction. The use of methyl anthranilate or isatoic anhydride with substituted amides or amidines in the formation of 3-substituted-4-keto-3,4-dihydroquinazolines. The course of the reaction. J. Org. Chem. 1943, 8, 239–252. [Google Scholar] [CrossRef]
- Asif, M. Chemical Characteristics, Synthetic Methods, and Biological Potential of Quinazoline and Quinazolinone Derivatives. Int. J. Med. Chem. 2014, 2014, 395637. [Google Scholar] [CrossRef]
- Hameed, A.; Al-Rashida, M.; Uroos, M.; Ali, S.A.; Arshia; Ishtiaq, M.; Khan, K.M. Quinazoline and quinazolinone as important medicinal scaffolds: A comparative patent review (2011–2016). Expert Opin. Ther. Pat. 2018, 28, 281–297. [Google Scholar] [CrossRef]
- Auti, P.S.; George, G.; Paul, A.T. Recent advances in the pharmacological diversification of quinazoline/quinazolinone hybrids. RSC Adv. 2020, 10, 41353–41392. [Google Scholar] [CrossRef]
- Gupta, T.; Rohilla, A.; Pathak, A.; Akhtar, M.J.; Haider, M.R.; Yar, M.S. Current perspectives on quinazolines with potent biological activities: A review. Synth. Commun. 2018, 48, 1099–1127. [Google Scholar] [CrossRef]
- Bisht, A.S.; Negi, J.S.; Sharma, D.K. Chemistry and activity of quinazoline moiety: A systematic review study. Int. J. Pharm. Chem. Anal. 2020, 7, 61–65. [Google Scholar] [CrossRef]
- Molecular Operating Environment (MOE). Chemical Computing Group. Available online: http://www.chemcomp.com (accessed on 10 May 2019).
- Swiss Institute of Bioinformatics (SwissADME). Available online: http://www.swissADME.ch (accessed on 10 March 2022).
- Wang, D.; Gao, F. Quinazoline derivatives: Synthesis and bioactivities. Chem. Cent. J. 2013, 7, 95. [Google Scholar] [CrossRef] [PubMed]
- Agrawal, G.; Khan, N.; Dwivedi, S.; Patel, R.; Singh, G. Synthesis, Characterization and Anti-Microbial Evaluation of a Series of Quinazoline analogs. J. Adv. Sci. Res. 2021, 12, 123–130. [Google Scholar] [CrossRef]
- Reddy, M.M.; Sivaramakrishna, A. Remarkably flexible quinazolinones—Synthesis and biological applications. J. Heterocycl. Chem. 2020, 57, 942–954. [Google Scholar] [CrossRef]
- Kumar, A.; Sharma, S.; Bajaj, K.; Sharma, S.; Panwar, H.; Singh, T.; Srivastava, V.K. Some new 2,3,6-trisubstituted quinazolinones as potent anti-inflammatory, analgesic, and COX-II inhibitors. Bioorg. Med. Chem. 2003, 11, 5293–5299. [Google Scholar] [CrossRef]
- Kumar, A.; Singh, R.C.; Kumar, B.S. Synthesis of 3-[4′-(p-chlorophenyl)-thiazol-2′-yl]-2-[(substitutedazetidinone/thiazolidinone)-aminomethyl]-6-bromoquinazolin-4-ones as anti-inflammatory agent. Bioorg. Med. Chem. 2007, 15, 3089–3096. [Google Scholar] [CrossRef]
- Pannerselvam, P.; Pradeepchandran, R.V.; Sridhar, S.K. Synthesis, characterization and biological activities of novel 2-methylquinazolin-4(3H)-ones. Indian J. Pharm. Sci. 2003, 65, 268–273. [Google Scholar]
- Gomtsyan, A.; Bayburt, E.K.; Schmidt, R.G.; Zheng, G.Z.; Perner, R.J.; Didomenico, S.; Koenig, J.R.; Turner, S.; Jinkerson, T.; Drizin, I.; et al. Novel transient receptor potential vanilloid 1 receptor antagonists for the treatment of pain: Structure activity relationships for ureas with quinoline, isoquinoline, quinazoline, phthalazine, quinoxaline, and cinnoline moieties. J. Med. Chem. 2005, 48, 744–752. [Google Scholar] [CrossRef] [PubMed]
- Rakesh, K.P.; Manukumar, H.M.; Gowda, D.C. Schiff’s bases of quinazolinone derivatives: Synthesis and SAR studies of a novel series of potential anti-inflammatory and antioxidants. Bioorg. Med. Chem. Lett. 2015, 25, 1072–1077. [Google Scholar] [CrossRef]
- Pu, Y.; Cao, D.; Xie, C.; Pei, H.; Li, D.; Tang, M.; Lijuan, C. Anti-arthritis effect of a novel quinazoline derivative through inhibiting production of TNF-α mediated by TNF-α converting enzyme in murine collagen-induced arthritis model. Biochem. Biophys. Res. Commun. 2015, 462, 288–293. [Google Scholar] [CrossRef]
- Hu, J.; Zhang, Y.; Dong, L.; Wang, Z.; Chen, L.; Liang, D.; Shi, D.; Shan, X.; Liang, G. Design, synthesis, and biological evaluation of novel quinazoline derivatives as anti-inflammatory agents against lipopolysaccharide-induced acute lung injury in rats. Chem. Biol. Drug. Des. 2015, 85, 672–684. [Google Scholar] [CrossRef] [PubMed]
- Alagarsamy, V.; Solomon, V.R.; Vanikavitha, G.; Paluchamy, V.; Chandran, M.R.; Sujin, A.A.; Thangathiruppathy, A.; Amuthalakshmi, S.; Revathi, R. Synthesis, analgesic, anti-inflammatory and anti-bacterial activities of some novel 2-phenyl-3-substituted quinazolin-4(3H)-ones. Biol. Pharm. Bull. 2002, 25, 1432–1435. [Google Scholar] [CrossRef] [PubMed]
- Alagarsamy, V.; Muruganantham, G.; Venkateshaperumal, R. Synthesis, analgesic, anti-inflammatory and anti-bacterial activities of some novel 2-methyl-3-substituted quinazolin-4(3H)-ones. Biol. Pharm. Bull. 2003, 26, 1711–1714. [Google Scholar] [CrossRef] [PubMed]
- Alagarsamy, V.; Rajesh, R.; Ramaseshu, M.; Vijaykumar, S.; Ramseshu, K.V.; Duraianandakumar, T. Synthesis, analgesic, anti-inflammatory and anti-bacterial activities of some novel 2-methylthio-3-substitutedquinazolin-4(3H)-one. Biol. Pharm. Bull. 2004, 27, 652–656. [Google Scholar] [CrossRef]
- Alagarsamy, V.; Solomon, V.R.; Meena, R.; Ramseshu, K.V. Synthesis, analgesic, anti-inflammatory and anti-bacterial activities of some novel 2-butyl-3-substituted quinazolin-4(3H)-ones. Biol. Pharm. Bull. 2005, 28, 1091–1094. [Google Scholar] [CrossRef]
- Alagarsamy, V.; Muthukumar, V.; Pavalarani, N.; Vasanthanathan, P.; Revathi, R. Synthesis, analgesic, and anti-inflammatory activities of some novel 2,3-disubstituted quinazolin-4(3H)-ones. Biol. Pharm. Bull. 2003, 26, 557–559. [Google Scholar] [CrossRef]
- Alagarsamy, V.; Revathi, S.; Kalaiselvi, R. Analgesic, anti-inflammatory and antibacterial activity of some novel 2-phenyl-3-(substitutedmethylamino) quinazolin- 4(3H)-ones. Indian J. Pharm. Sci. 2003, 65, 534–537. [Google Scholar]
- Alagarsamy, V.; Murugesan, S. Synthesis and pharmacological evaluation of some 3-(4-methoxyphenyl)-2-substitutedamino-quinazolin-4(3H)-ones as analgesic and anti-inflammatory agents. Chem. Pharm. Bull. 2007, 55, 76–80. [Google Scholar] [CrossRef] [PubMed][Green Version]
- Alagarsamy, V.; Solomon, V.R.; Dhanabal, K. Synthesis, and pharmacological evaluation of some 3-phenyl-2-substituted-3H-quinazolin-4-one as analgesic, anti-inflammatory agents. Bio. Med. Chem. 2007, 15, 235–241. [Google Scholar] [CrossRef] [PubMed]
- Alagarsamy, V.; Thangathirupathi, A.; Mandal, S.C. Pharmacological evaluation of 2- substituted-(1,3,4)-thiadiazoloquinazolines. Indian J. Pharm. Sci. 2006, 68, 108–111. [Google Scholar] [CrossRef]
- Alagarsamy, V.; Shankar, D.; Solomon, V.R. Synthesis of some novel 2-mercapto-3-(substitutedamino)-5,6,7,8-tetrahydro-3H-benzo[4,5]thieno[2,3-d]pyrimidin-4-ones as analgesic and anti-inflammatory agents. Arkivoc 2006, XVI, 149–159. [Google Scholar]
- Kumar, A.; Sharma, S.; Bajaj, K. Synthesis and anti-inflammatory, analgesic, ulcerogenic and cyclooxygenase activities of novel quinazolinyl-Δ2-pyrazolines. Indian J. Chem. 2003, 42B, 1979–1984. [Google Scholar]
- Daidone, G.; Maggio, B.; Raffa, D.; Plescia, S.; Bajardi, M.L.; Caruso, A.; Cutuli, V.M.C.; Amico-Roxas, M. Synthesis and pharmacological study of ethyl 1-methyl-5-[2-substituted-4-oxo-3(4H)-quinazolinyl]-1H-pyrazole-4-acetates. Eur. J. Med. Chem. 1994, 29, 707–711. [Google Scholar] [CrossRef]
- Maggio, B.; Daidone, G.; Raffa, D.; Plescia, S.; Mantione, L.; Cutuli, V.M.C.; Mangano, N.G.; Caruso, A. Synthesis and pharmacological study of ethyl 1-methyl-5-(substituted-3,4-dihydro-4-oxoquinazolin-3-yl)-1H-pyrazole-4-acetates. Eur. J. Med. Chem. 2001, 36, 737–742. [Google Scholar] [CrossRef]
- Bonacorso, H.G.; Rosa, W.C.; Oliveira, S.M.; Brusco, I.; Pozza, C.C.D.; Nogara, P.A.; Wiethan, C.W.; Rodrigues, M.B.; Frizzo, C.P.; Zanatta, N. Synthesis and antinociceptive activity of new 2-substituted 4-(trifluoromethyl)-5,6- dihydrobenzo[h]quinazolines. Bioorg. Med. Chem. Lett. 2016, 26, 4808–4814. [Google Scholar] [CrossRef]
- Sarangapani, M.; Reddy, A.N.; Jayamma, Y.; Reddy, V.M. Synthesis and pharmacological activities of new isatin hydrazones. Indian Drugs 1998, 35, 336–343. [Google Scholar]
- Reddy, P.S.; Venugopala, K.N.; Rao, G.K.; Pai, P.N.S. Synthesis of some substituted quinazolinones as analgesic and anti-inflammatory agents. Indian J. Hetero. Chem. 2007, 16, 243–246. [Google Scholar]
- Sakr, A.; Kothayer, H.; Ibrahim, S.M.; Baraka, M.M.; Rezq, S. 1,4-Dihydroquinazolin-3(2H)-yl benzamide derivatives as anti-inflammatory and analgesic agents with an improved gastric profile: Design, synthesis, COX-1/2 inhibitory activity and molecular docking study. Bioorg. Chem. 2019, 84, 76–86. [Google Scholar] [CrossRef]
- Saravanan, G.; Alagarsamy, V.; Dineshkumar, P. Synthesis, analgesic, anti-inflammatory and in vitro antimicrobial activities of some novel isoxazole coupled quinazolin-4(3H)-one derivatives. Arch. Pharm. Res. 2021, 44, 1–11. [Google Scholar] [CrossRef] [PubMed]
- Ozaki, K.I.; Yamada, Y.; Oine, T. Studies on 4(1H)-quinazolinones. IV: Convenient syntheses of 12-methyl-6H-isoquino[2,1-a]quinazolin-6-one and 6-methyl-13Hquinazolino[3,4-a]quinazolin-13-one. Chem. Pharm. Bull. 1984, 32, 2160–2164. [Google Scholar] [CrossRef][Green Version]
- Bothara, K.G.; Kadam, S.S.; Shivram, V.S. Synthesis, and pharmacological screening of novel anti-inflammatory agents. Indian Drugs 1998, 35, 372–376. [Google Scholar]
- Sarma, G.V.S.R.; Thomas, J.; Murugan, V.; Elango, K. Nicotinyl incorporated quinazolinonyl thiadiazoles as possible NSAIDs. Indian J. Heterocycl. Chem. 1999, 9, 151–152. [Google Scholar]
- Saxena, S.; Verma, M.; Saxena, A.K. Synthesis and biological activity of quino(2,1-b)-quinazolinones. Indian J. Chem. 1991, 30B, 453–456. [Google Scholar]
- Gangwal, N.A.; Narasimhan, B.; Mourya, V.K.; Dhake, A.S. Synthesis and QSAR studies of substituted-4(1H)-quinazolinones. Indian J. Heterocycl. Chem. 2003, 12, 201–204. [Google Scholar]
- Rani, P.; Archana; Srivastava, V.K.; Kumar, A. Synthesis and anti-inflammatory activity of some new 2,3-disubstituted 6-monosubstitutedquinazolin-4(3H)-ones. Indian J. Chem. 2002, 41B, 2642–2646. [Google Scholar]
- Sachin, S.L.; Sudhir, G.W.; Sharad, K.M. Studies on some biologically active substituted 4(3H)-quinazolinones. Part 1: Synthesis, characterization and antiinflammatory, anti-microbial activity of 6,8-disubstituted-2-phenyl-3 [substitutedbenzothiazol-2-yl]-4(3H)-quinazolinones. Arkivoc 2006, 11, 1–20. [Google Scholar]
- Jessy, E.M.; Sambantham, A.T.; Alex, J. Synthesis, and biological evaluation of some novel quinazolones. Indian J. Pharm. Sci. 2007, 69, 476–478. [Google Scholar] [CrossRef]
- Bansal, E.; Srivastava, V.K.; Kumar, A. Synthesis, and anti-inflammatory activity of 1-acetyl-5-substitutedaryl-3-(β-aminonaphthyl)-2-pyrazolines and β-(substitutedaminoethyl) amidonaphthalenes. Eur J. Med. Chem. 2001, 36, 81–92. [Google Scholar] [CrossRef] [PubMed]
- Kumar, A.; Rajput, C.S. Synthesis, and anti-inflammatory activity of newer quinazolin-4-one derivatives. Eur. J. Med. Chem. 2007, 44, 83–90. [Google Scholar] [CrossRef] [PubMed]
- Abuelizz, H.A.; Rashad, A. An overview of triazoloquinazolines: Pharmacological significance and recent developments. Bioorg. Chem. 2021, 115, 105263. [Google Scholar] [CrossRef] [PubMed]
- Hoegenauer, K.; Soldermann, N.; Zécri, F.; Strang, R.S.; Graveleau, N.; Wolf, R.M.; Cooke, N.G.; Smith, A.B.; Hollingworth, G.J.; Blanz, J.; et al. Discovery of CDZ173 (Leniolisib), representing a structurally novel class of PI3K delta-selective inhibitors. ACS Med. Chem. Lett. 2017, 8, 975–980. [Google Scholar] [CrossRef]
- Drug Information Portal. Available online: https://druginfo.nlm.nih.gov/drugportal/ (accessed on 25 September 2022).






























| Character | 2-Quinazolinone | 4-Quinazolinone | 2,4-Quinazolinedione |
|---|---|---|---|
| Molecular formula | C8H6N2 | C8H6N2O | C8H6N2O2 |
| Molecular weight | 130.15 g/mol | 146.15 g/mol | 162.15 g/mol |
| Number of heavy atoms | 10 | 11 | 12 |
| Number of aromatic heavy atoms | 10 | 10 | 10 |
| Fraction Csp3 | 0 | 0 | 0 |
| Number of rotatable bonds | 0 | 0 | 0 |
| Number of H-bond acceptors | 2 | 2 | 2 |
| Number of H-bond donors | 0 | 1 | 2 |
| Molar refractivity | 39.54 | 42.36 | 45.19 |
| Tropological polar surface area | 25.78 A2 | 45.75 A2 | 65.72 |
| Lipophilicity | 1.46 | 1.14 | 1.04 |
| Water solubility | Soluble | Soluble | Soluble |
| GI absorption | High | High | High |
| BBB permeation | Yes | Yes | No |
| Bioavailability score | 0.55 | 0.55 | 0.55 |
| Lipinski | Yes | Yes | Yes |
| Synthetic accessibility | Very easy | Very easy | Very easy |
| Molecular Formula | Generic Names | Chemical Name | Uses |
|---|---|---|---|
| C18H18N2O | Proquazone Proquazonum RU 43715 SaH 43-715 Sandoz 43-715 UNII-42VPJ2980S | 2(1H)-Quinazolinone, 1-isopropyl-7-methyl-4-phenyl | Analgesic Anti-inflammatory Antirheumatic Cyclooxygenase Inhibitors |
| C18H17FN2O | Fluproquazone Fluproquazonum Fluproquazona RF 46-790 SaH 46-790 Tormosyl UNII-U4K85O58HD BRN 089183 | 2(1H)-Quinazolinone, 4-(4-fluorophenyl)-7-methyl-1-(1-methylethyl) | Analgesic Anti-inflammatory Antirheumatic |
| C8H5N5 | NSC127213 UNII-7UWV5UYI5C | Tetrazolo(1,5-c)quinazoline | Anti-inflammatory |
Publisher’s Note: MDPI stays neutral with regard to jurisdictional claims in published maps and institutional affiliations. |
© 2022 by the author. Licensee MDPI, Basel, Switzerland. This article is an open access article distributed under the terms and conditions of the Creative Commons Attribution (CC BY) license (https://creativecommons.org/licenses/by/4.0/).
Share and Cite
Zayed, M.F. Medicinal Chemistry of Quinazolines as Analgesic and Anti-Inflammatory Agents. ChemEngineering 2022, 6, 94. https://doi.org/10.3390/chemengineering6060094
Zayed MF. Medicinal Chemistry of Quinazolines as Analgesic and Anti-Inflammatory Agents. ChemEngineering. 2022; 6(6):94. https://doi.org/10.3390/chemengineering6060094
Chicago/Turabian StyleZayed, Mohamed F. 2022. "Medicinal Chemistry of Quinazolines as Analgesic and Anti-Inflammatory Agents" ChemEngineering 6, no. 6: 94. https://doi.org/10.3390/chemengineering6060094
APA StyleZayed, M. F. (2022). Medicinal Chemistry of Quinazolines as Analgesic and Anti-Inflammatory Agents. ChemEngineering, 6(6), 94. https://doi.org/10.3390/chemengineering6060094
