Cleavage via Selective Catalytic Oxidation of Lignin or Lignin Model Compounds into Functional Chemicals
Abstract
1. Introduction
2. Nitrogen-Containing Functionalized Aromatics
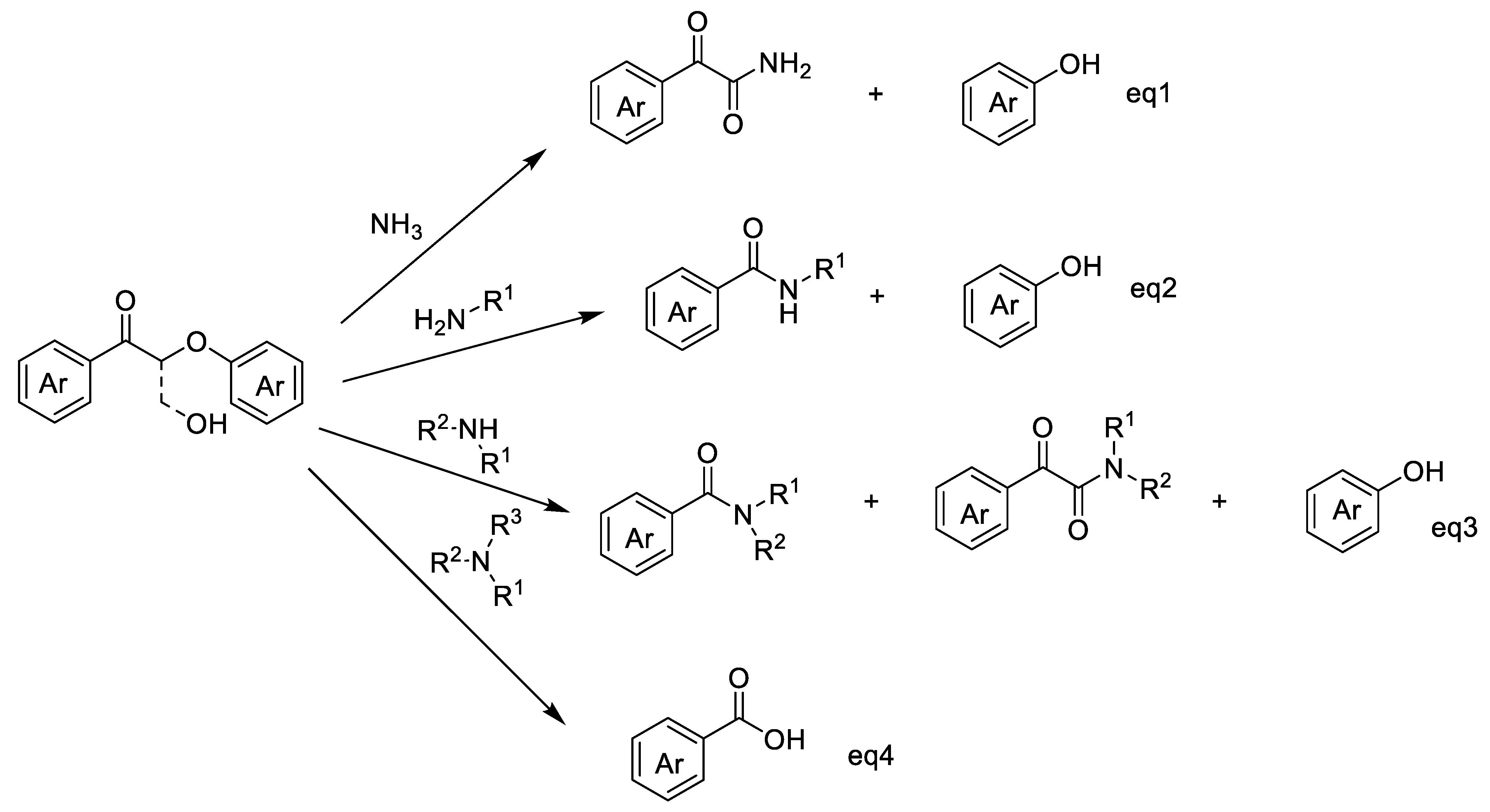
3. Aromatic Amides
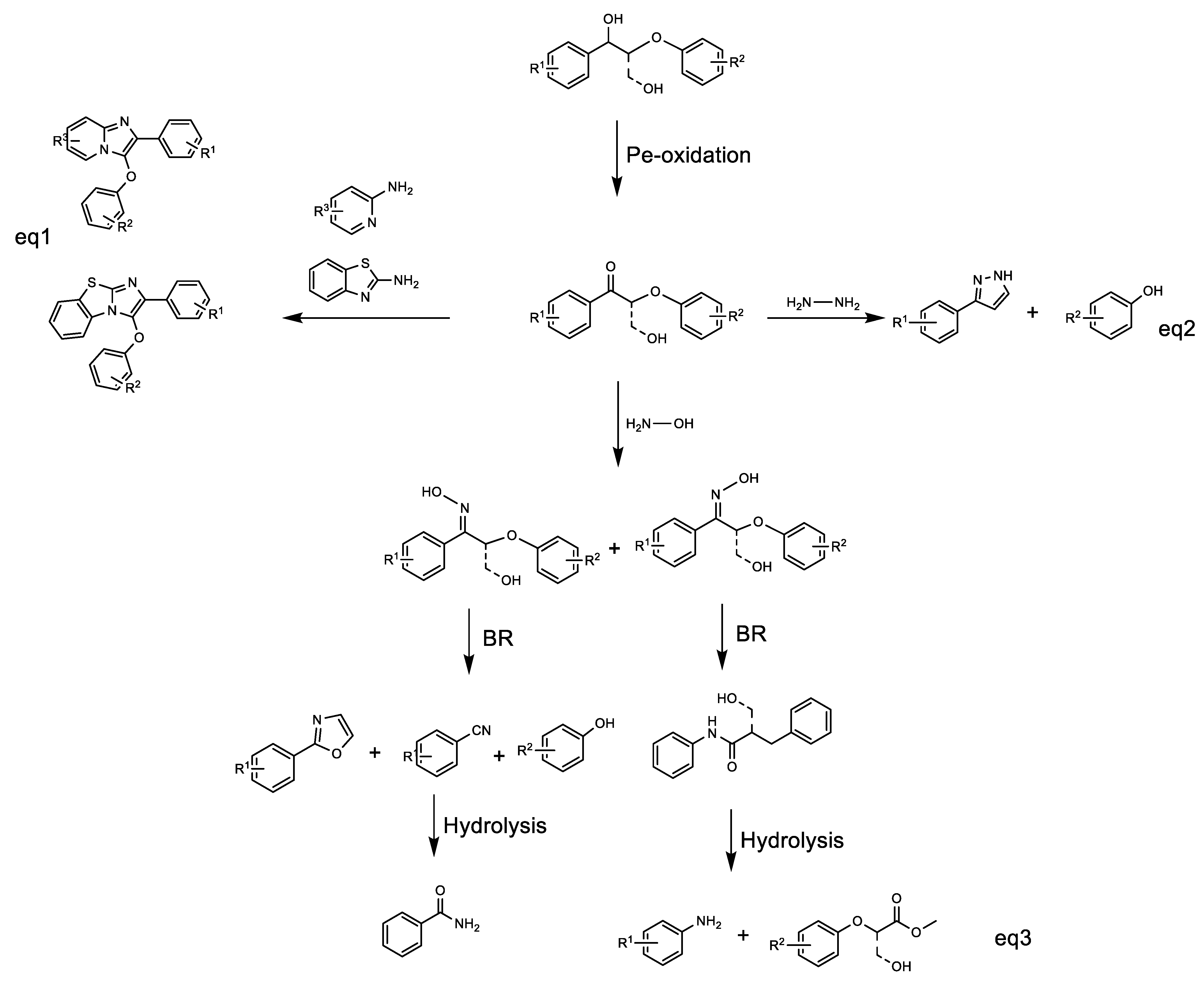
4. Nitrogen Heterocyclic Compounds and Nitriles
5. Aniline Compounds
6. Esters
7. Aromatic Esters
8. Non-Aromatic Acid Esters
9. Quinones
10. Carboxylic Acids
11. Aromatic Acids
- BV oxidation strategy for lignin oxidative cleavage.
- Synergistic strategy of strong base and oxidant for lignin oxidative cleavage.
- Copper, vanadium, rhenium, or Ir homogeneous catalysis strategies for lignin oxidative cleavage.
- Heterogeneous catalysis strategy for lignin oxidative cleavage.
12. Non-Aromatic Acids
13. Phenols, Aldehydes, and Ketones
14. Phenols and Aldehydes or Ketones
15. Phenols and Ketones
16. Conclusions
Author Contributions
Funding
Institutional Review Board Statement
Informed Consent Statement
Data Availability Statement
Conflicts of Interest
Additional Information
References
- Achyuthan, K.E.; Achyuthan, A.M.; Adams, P.D.; Dirk, S.M.; Harper, J.C.; Simmons, B.A.; Singh, A.K. Supramolecular Self-Assembled Chaos: Polyphenolic Lignin’s Barrier to Cost-Effective Lignocellulosic Biofuels. Molecules 2010, 15, 8641–8688. [Google Scholar] [CrossRef] [PubMed]
- Rahimi, A.; Ulbrich, A.; Coon, J.J.; Stahl, S.S. Formic-acid-induced depolymerization of oxidized lignin to aromatics. Nature 2014, 515, 249–252. [Google Scholar] [CrossRef]
- Zakzeski, J.; Bruijnincx, P.C.A.; Jongerius, A.L.; Weckhuysen, B.M. The Catalytic Valorization of Lignin for the Production of Renewable Chemicals. Chem. Rev. 2010, 110, 3552–3599. [Google Scholar] [CrossRef] [PubMed]
- Li, C.; Zhao, X.; Wang, A.; Huber, G.; Zhang, T. Catalytic Transformation of Lignin for the Production of Chemicals and Fuels. Chem. Rev. 2015, 115, 11559–11624. [Google Scholar] [CrossRef] [PubMed]
- Gasser, C.A.; Hommes, G.; Schäffer, A.; Corvini, P.F.-X. Multi-catalysis reactions: New prospects and challenges of biotechnology to valorize lignin. Appl. Microbiol. Biotechnol. 2012, 95, 1115–1134. [Google Scholar] [CrossRef] [PubMed]
- Ma, R.; Guo, M.; Zhang, X. Recent advances in oxidative valorization of lignin. Catal. Today 2018, 302, 50–60. [Google Scholar] [CrossRef]
- Nasrollahzadeh, M.; Shafei, N.; Nezafat, Z.; Bidgoli, N.S.S. Mol. Catal. 2020, 489, 110942.
- Lange, H.; Decina, S.; Crestini, C. Oxidative upgrade of lignin–Recent routes reviewed. Eur. Polym. J. 2013, 49, 1151–1173. [Google Scholar] [CrossRef]
- Chatel, G.; Rogers, R.D. Review: Oxidation of Lignin Using Ionic Liquids—An Innovative Strategy to Produce Renewable Chemicals. ACS Sustain. Chem. Eng. 2014, 2, 322–339. [Google Scholar] [CrossRef]
- Burns, N.Z.; Baran, P.S.; Hoffmann, R.W. Redox Economy in Organic Synthesis. Angew. Chem. Int. Ed. 2009, 48, 2854–2867. [Google Scholar] [CrossRef] [PubMed]
- Yu, X.; Wei, Z.; Lu, Z.; Pei, H.; Wang, H. Activation of lignin by selective oxidation: An emerging strategy for boosting lignin depolymerization to aromatics. Bioresour. Technol. 2019, 291, 121885. [Google Scholar] [CrossRef]
- Wang, D.; Weinstein, A.B.; White, P.B.; Stahl, S.S. Ligand-Promoted Palladium-Catalyzed Aerobic Oxidation Reactions. Chem. Rev. 2018, 118, 2636–2679. [Google Scholar] [CrossRef]
- Cai, Z.; Long, J.; Li, Y.; Ye, L.; Yin, B.; France, L.J.; Dong, J.; Zheng, L.; He, H.; Liu, S.; et al. Selective Production of Diethyl Maleate via Oxidative Cleavage of Lignin Aromatic Unit. Chem 2019, 5, 2365–2377. [Google Scholar] [CrossRef]
- Bhat, A.P.; Gogate, P.R. Degradation of nitrogen-containing hazardous compounds using advanced oxidation processes: A review on aliphatic and aromatic amines, dyes, and pesticides. J. Hazard. Mater. 2021, 403, 123657. [Google Scholar] [CrossRef] [PubMed]
- Yang, Q.; Wang, Q.; Yu, Z. Substitution of alcohols by N-nucleophiles via transition metal-catalyzed dehydrogenation. Chem. Soc. Rev. 2015, 44, 2305–2329. [Google Scholar] [CrossRef] [PubMed]
- Zell, T.; Milstein, D. Hydrogenation and Dehydrogenation Iron Pincer Catalysts Capable of Metal–Ligand Cooperation by Aromatization/Dearomatization. Acc. Chem. Res. 2015, 48, 1979–1994. [Google Scholar] [CrossRef]
- Obora, Y. Recent Advances in α-Alkylation Reactions using Alcohols with Hydrogen Borrowing Methodologies. ACS Catal. 2014, 4, 3972–3981. [Google Scholar] [CrossRef]
- Nandakumar, A.; Midya, S.P.; Landge, V.; Balaraman, E. Transition-Metal-Catalyzed Hydrogen-Transfer Annulations: Access to Heterocyclic Scaffolds. Angew. Chem. Int. Ed. 2015, 54, 11022–11034. [Google Scholar] [CrossRef]
- Mastalir, M.; Glatz, M.; Pittenauer, E.; Allmaier, G.; Kirchner, K. Rhenium-Catalyzed Dehydrogenative Coupling of Alcohols and Amines to Afford Nitrogen-Containing Aromatics and More. Org. Lett. 2019, 21, 1116–1120. [Google Scholar] [CrossRef]
- De Figueiredo, R.M.; Suppo, J.-S.; Campagne, J.-M. Nonclassical Routes for Amide Bond Formation. Chem. Rev. 2016, 116, 12029–12122. [Google Scholar] [CrossRef]
- Pattabiraman, V.R.; Bode, J.W. Rethinking amide bond synthesis. Nat. Cell Biol. 2011, 480, 471–479. [Google Scholar] [CrossRef]
- Roughley, S.D.; Jordan, A. The Medicinal Chemist’s Toolbox: An Analysis of Reactions Used in the Pursuit of Drug Candidates. J. Med. Chem. 2011, 54, 3451–3479. [Google Scholar] [CrossRef]
- Walsh, C.T.; O’Brien, R.V.; Khosla, C. Nonproteinogenic Amino Acid Building Blocks for Nonribosomal Peptide and Hybrid Polyketide Scaffolds. Angew. Chem. Int. Ed. 2013, 52, 7098–7124. [Google Scholar] [CrossRef]
- Song, W.; Dong, K.; Li, M. Visible Light-Induced Amide Bond Formation. Org. Lett. 2019, 22, 371–375. [Google Scholar] [CrossRef]
- Li, H.; Bunrit, A.; Li, N.; Wang, F. Heteroatom-participated lignin cleavage to functionalized aromatics. Chem. Soc. Rev. 2020, 49, 3748–3763. [Google Scholar] [CrossRef]
- Zhang, J.; Liu, Y.; Chiba, S.; Loh, T.-P. Chemical conversion of β-O-4 lignin linkage models through Cu-catalyzed aerobic amide bond formation. Chem. Commun. 2013, 49, 11439. [Google Scholar] [CrossRef]
- Liu, X.; Zhang, H.; Wu, C.; Liu, Z.; Chen, Y.; Yua, B.; Liu, Z. Copper-catalyzed synthesis of benzanilides from lignin model substrates 2-phenoxyacetophenones under an air atmosphere. New J. Chem. 2018, 42, 1223. [Google Scholar] [CrossRef]
- Li, H.; Liu, M.; Liu, H.; Luo, N.; Zhang, C.; Wang, F. Amine-Mediated Bond Cleavage in Oxidized Lignin Models. ChemSusChem 2020, 13, 4660–4665. [Google Scholar] [CrossRef] [PubMed]
- Degennaro, L.; Trinchera, P.; Luisi, R. Recent Advances in the Stereoselective Synthesis of Aziridines. Chem. Rev. 2014, 114, 7881–7929. [Google Scholar] [CrossRef] [PubMed]
- Stankovic, S.; D’hooghe, M.; Catak, S.; Eum, H.; Waroquier, M.; Van Speybroeck, V.; De Kimpe, N.; Ha, H.-J. Regioselectivity in the ring opening of non-activated aziridines. Chem. Soc. Rev. 2012, 41, 643. [Google Scholar] [CrossRef]
- Florio, S.; Luisi, R. Aziridinyl Anions: Generation, Reactivity, and Use in Modern Synthetic Chemistry. Chem. Rev. 2010, 110, 5128–5157. [Google Scholar] [CrossRef]
- Zhou, L.; Hossain, M.L.; Xiao, T. Synthesis ofN-Containing Heterocyclic Compounds Using Visible-light Photoredox Catalysis. Chem. Rec. 2016, 16, 319–334. [Google Scholar] [CrossRef]
- Fleming, F.F.; Yao, L.; Ravikumar, P.C.; Funk, L.; Shook, B.C. Nitrile-Containing Pharmaceuticals: Efficacious Roles of the Nitrile Pharmacophore. J. Med. Chem. 2010, 53, 7902–7917. [Google Scholar] [CrossRef]
- Miller, J.S.; Manson, J.L. Designer Magnets Containing Cyanides and Nitriles. Accounts Chem. Res. 2001, 34, 563–570. [Google Scholar] [CrossRef]
- Nandi, S.; Chakraborty, D.; Vaidhyanathan, R. A permanently porous single molecule H-bonded organic framework for selective CO2 capture. Chem. Commun. 2016, 52, 7249–7252. [Google Scholar] [CrossRef] [PubMed]
- Wasley, J.W.F. Comprehensive Organic Transformations. A Guide to Functional Group Preparations By Richard A. Larock. Wiley-VCH Publishers, New York. J. Med. Chem. 2000, 43, 2488. [Google Scholar] [CrossRef]
- Khan, A. Vilazodone, a novel dual-acting serotonergic antidepressant for managing major depression. Expert Opin. Investig. Drugs 2009, 18, 1753–1764. [Google Scholar] [CrossRef] [PubMed]
- Zappavigna, S.; Cossu, A.M.; Grimaldi, A.; Bocchetti, M.; Ferraro, G.A.; Nicoletti, G.F.; Filosa, R.; Caraglia, M. Anti-Inflammatory Drugs as Anticancer Agents. Int. J. Mol. Sci. 2020, 21, 2605. [Google Scholar] [CrossRef]
- Johnson, H.G.; Sheridan, A.Q. The characterization of lodoxamide, a very active inhibitor of mediator release, in animal and human models of asthma. Inflamm. Res. 1986, 18, 301–305. [Google Scholar] [CrossRef]
- Pascual, E.; Sivera, F.; Yasothan, U.; Kirkpatrick, P. Febuxostat. Nat. Rev. Drug Discov. 2009, 8, 191–192. [Google Scholar] [CrossRef]
- Zou, Y.-Q.; Lu, L.-Q.; Fu, L.; Chang, N.-J.; Rong, J.; Chen, J.-R.; Xiao, W.-J. Visible-Light-Induced Oxidation/[3+2] Cycloaddition/Oxidative Aromatization Sequence: A Photocatalytic Strategy To Construct Pyrrolo[2,1-a]isoquinolines. Angew. Chem. Int. Ed. 2011, 50, 7171–7175. [Google Scholar] [CrossRef] [PubMed]
- Zhu, S.; Das, A.; Bui, L.; Zhou, H.; Curran, D.P.; Rueping, M. Oxygen Switch in Visible-Light Photoredox Catalysis: Radical Additions and Cyclizations and Unexpected C–C-Bond Cleavage Reactions. J. Am. Chem. Soc. 2013, 135, 1823. [Google Scholar] [CrossRef] [PubMed]
- Zhang, Z.; Tang, X.; Thomoson, C.S.; Dolbier, W.R. Photoredox-Catalyzed Intramolecular Aminodifluoromethylation of Unactivated Alkenes. Org. Lett. 2015, 17, 3528–3531. [Google Scholar] [CrossRef]
- Hyodo, K.; Togashi, K.; Oishi, N.; Hasegawa, G.; Uchida, K. Brønsted Acid Catalyzed Nitrile Synthesis from Aldehydes Using Oximes via Transoximation at Ambient Temperature. Org. Lett. 2017, 19, 3005–3008. [Google Scholar] [CrossRef]
- Pradal, A.; Evano, G. A vinylic Rosenmund–von Braun reaction: Practical synthesis of acrylonitriles. Chem. Commun. 2014, 50, 11907–11910. [Google Scholar] [CrossRef] [PubMed]
- Friedman, L.; Shechter, H. Preparation of Nitriles from Halides and Sodium Cyanide. An Advantageous Nucleophilic Displacement in Dimethyl Sulfoxide1a. J. Org. Chem. 1960, 25, 877–879. [Google Scholar] [CrossRef]
- Zhang, X.; Xia, A.; Chen, H.; Liu, Y. General and Mild Nickel-Catalyzed Cyanation of Aryl/Heteroaryl Chlorides with Zn(CN)2: Key Roles of DMAP. Org. Lett. 2017, 19, 2118–2121. [Google Scholar] [CrossRef]
- Sundermeier, M.; Zapf, A.; Mutyala, S.; Baumann, W.; Sans, J.; Weiss, S.; Beller, M. Progress in the Palladium-Catalyzed Cyanation of Aryl Chlorides. Chem.-A Eur. J. 2003, 9, 1828–1836. [Google Scholar] [CrossRef]
- Anbarasan, P.; Schareina, T.; Beller, M. Recent developments and perspectives in palladium-catalyzed cyanation of aryl halides: Synthesis of benzonitriles. Chem. Soc. Rev. 2011, 40, 5049–5067. [Google Scholar] [CrossRef]
- Wang, Y.; Du, Y.; He, J.; Zhang, Y. Transformation of lignin model compounds to N-substituted aromatics via Beckmann rearrangement. Green Chem. 2018, 20, 3318–3326. [Google Scholar] [CrossRef]
- Li, H.; Wang, M.; Liu, H.; Luo, N.; Lu, J.; Zhang, C.; Wang, F. NH2OH–Mediated Lignin Conversion to Isoxazole and Nitrile. ACS Sustain. Chem. Eng. 2018, 6, 3748–3753. [Google Scholar] [CrossRef]
- Hofmann, L.E.; Hofmann, D.; Prusko, L.; Altmann, L.-M.; Heinrich, M.R. Sequential Cleavage of Lignin Systems by Nitrogen Monoxide and Hydrazine. Adv. Synth. Catal. 2020, 362, 1485–1489. [Google Scholar] [CrossRef]
- Zhang, J.; Lu, X.; Li, T.; Wang, S.; Zhong, G. Copper-Catalyzed Oxidative Cyclization of 2-Amino-azaarenes with Lignin Models: Synthesis of 3-Phenoxy Imidazo Heterocycles. J. Org. Chem. 2017, 82, 5222–5229. [Google Scholar] [CrossRef]
- Zhao, L.; Zhang, J.; Zhong, G.; Chen, Y.; Wang, S.; Rong, C.; Liu, T.; Sun, H.; Wang, Y. A Metal-Free Synthesis of 3-Phenoxyimidazo Heterocycles by Catalytic Oxidative Cyclization of 2-Amino-azaarenes with Lignin Models. Synthesis 2018, 50, 3169–3176. [Google Scholar] [CrossRef]
- Pillai, Z.S.; Kamat, P.V. Spectroelectrochemistry of aromatic amine oxidation: An insight into the indo dye formation. Res. Chem. Intermed. 2005, 31, 103–112. [Google Scholar] [CrossRef]
- Newhouse, T.; Baran, P.S.; Hoffmann, R.W. The economies of synthesis. Chem. Soc. Rev. 2009, 38, 3010–3021. [Google Scholar] [CrossRef] [PubMed]
- Trost, B.M. Atom Economy—A Challenge for Organic Synthesis: Homogeneous Catalysis Leads the Way. Angew. Chem. Int. Ed. 1995, 34, 259–281. [Google Scholar] [CrossRef]
- Hartwig, J.F. Carbon−Heteroatom Bond-Forming Reductive Eliminations of Amines, Ethers, and Sulfides. Accounts Chem. Res. 1998, 31, 852–860. [Google Scholar] [CrossRef]
- Hartwig, J.F. Carbon–heteroatom bond formation catalysed by organometallic complexes. Nat. Cell Biol. 2008, 455, 314–322. [Google Scholar] [CrossRef]
- Surry, D.S.; Buchwald, S.L. Biaryl Phosphane Ligands in Palladium-Catalyzed Amination. Angew. Chem. Int. Ed. 2008, 47, 6338–6361. [Google Scholar] [CrossRef]
- Surry, D.S.; Buchwald, S.L. Dialkylbiaryl phosphines in Pd-catalyzed amination: A user’s guide. Chem. Sci. 2011, 2, 27–50. [Google Scholar]
- Klinkenberg, J.L.; Hartwig, J.F. Catalytic Organometallic Reactions of Ammonia. Angew. Chem. Int. Ed. 2011, 50, 86–95. [Google Scholar] [CrossRef] [PubMed]
- Gao, H.; Zhou, Z.; Kwon, D.-H.; Coombs, J.; Jones, S.; Behnke, N.; Ess, D.H.; Kürti, L. Rapid heteroatom transfer to arylmetals utilizing multifunctional reagent scaffolds. Nat. Chem. 2016, 9, 681–688. [Google Scholar] [CrossRef] [PubMed]
- Tezuka, N.; Shimojo, K.; Hirano, K.; Komagawa, S.; Yoshida, K.; Wang, C.; Miyamoto, K.; Saito, T.; Takita, R.; Uchiyama, M. Direct Hydroxylation and Amination of Arenes via Deprotonative Cupration. J. Am. Chem. Soc. 2016, 138, 9166–9171. [Google Scholar] [CrossRef] [PubMed]
- Zhou, Z.; Ma, Z.; Behnke, N.; Gao, H.; Kürti, L. Non-Deprotonative Primary and Secondary Amination of (Hetero)Arylmetals. J. Am. Chem. Soc. 2017, 139, 115–118. [Google Scholar] [CrossRef] [PubMed]
- Morofuji, T.; Shimizu, A.; Yoshida, J.-I. ChemInform Abstract: Electrochemical C-H Amination: Synthesis of Aromatic Primary Amines via N-Arylpyridinium Ions. Cheminform 2013, 44, 5000–5003. [Google Scholar] [CrossRef]
- Romero, N.A.; Margrey, K.A.; Tay, N.E.; Nicewicz, D.A. Site-selective arene C-H amination via photoredox catalysis. Science 2015, 349, 1326–1330. [Google Scholar] [CrossRef]
- Zheng, Y.-W.; Chen, B.; Ye, P.; Feng, K.; Wang, W.; Meng, Q.-Y.; Wu, L.-Z.; Tung, C.-H. Photocatalytic Hydrogen-Evolution Cross-Couplings: Benzene C–H Amination and Hydroxylation. J. Am. Chem. Soc. 2016, 138, 10080–10083. [Google Scholar] [CrossRef]
- Paudyal, M.P.; Adebesin, A.M.; Burt, S.R.; Ess, D.H.; Ma, Z.; Kürti, L.; Falck, J.R. Dirhodium-catalyzed C-H arene amination using hydroxylamines. Science 2016, 353, 1144–1147. [Google Scholar] [CrossRef]
- Klinger, G.E.; Zhou, Y.; Foote, J.A.; Wester, A.M.; Cui, Y.; Alherech, M.; Stahl, S.S.; Jackson, J.E.; Hegg, E.L. Nucleophilic Thiols Reductively Cleave Ether Linkages in Lignin Model Polymers and Lignin. ChemSusChem 2020, 13, 4394–4399. [Google Scholar] [CrossRef]
- Tay, N.E.S.; Nicewicz, D.A. Cation Radical Accelerated Nucleophilic Aromatic Substitution via Organic Photoredox Catalysis. J. Am. Chem. Soc. 2017, 139, 16100–16104. [Google Scholar] [CrossRef]
- Liu, J.; Qiu, X.; Huang, X.; Luo, X.; Zhang, C.; Wei, J.; Pan, J.; Liang, Y.; Zhu, Y.; Qin, Q.; et al. From alkylarenes to anilines via site-directed carbon–carbon amination. Nat. Chem. 2018, 11, 71–77. [Google Scholar] [CrossRef]
- Li, H.; Bunrit, A.; Lu, J.; Gao, Z.; Luo, N.; Liu, H.; Wang, F. Photocatalytic Cleavage of Aryl Ether in Modified Lignin to Non-phenolic Aromatics. ACS Catal. 2019, 9, 8843–8851. [Google Scholar] [CrossRef]
- Sumby, K.; Grbin, P.; Jiranek, V. Microbial modulation of aromatic esters in wine: Current knowledge and future prospects. Food Chem. 2010, 121, 1–16. [Google Scholar] [CrossRef]
- Otera, J. Esterification: Methods, Reactions, and Applications; Wiley-VCH: Weinheim, Germany, 2003. [Google Scholar]
- Otera, J. Transesterification. Chem. Rev. 1993, 93, 1449. [Google Scholar] [CrossRef]
- Abiko, A.; Roberts, J.C.; Takemasa, T.; Masamune, S. ChemInform Abstract: KMnO4 Revisited: Oxidation of Aldehydes to Carboxylic Acids in the tert-Butyl Alcohol-Aqueous NaH2PO4 System. Tetrahedron Lett. 1986, 27, 4537. [Google Scholar] [CrossRef]
- Garegg, P.J.; Olsson, L.; Oscarson, S. Synthesis of Methyl (Ethyl 2-O-acyl-3,4-di-O-benzyl-1-thio-.beta.-D-glucopyranosid)uronates and Evaluation of Their Use as Reactive .beta.-Selective Glucuronic Acid Donors. J. Org. Chem. 1995, 60, 2200–2204. [Google Scholar] [CrossRef]
- Travis, B.R.; Sivakumar, M.; Hollist, A.G.O.; Borhan, B. Facile Oxidation of Aldehydes to Acids and Esters with Oxone. Org. Lett. 2003, 5, 1031–1034. [Google Scholar] [CrossRef] [PubMed]
- Gopinath, R.; Barkakaty, B.; Talukdar, B.; Patel, B.K. Peroxovanadium-Catalyzed Oxidative Esterification of Aldehydes†. J. Org. Chem. 2003, 68, 2944–2947. [Google Scholar] [CrossRef] [PubMed]
- Karimi, B.; Rajabi, J. An improved protocol for aerobic oxidation of acetals to esters catalyzed by N-hydroxy phthalimide (NHPI) and lipophilic Co(II) complexes. J. Mol. Catal. A Chem. 2005, 226, 165–169. [Google Scholar] [CrossRef]
- Gopinath, R.; Patel, B. A Catalytic Oxidative Esterification of Aldehydes Using V2O5−H2O2. Org. Lett. 2000, 2, 577–579. [Google Scholar] [CrossRef] [PubMed]
- Wu, X.-F.; Darcel, C. Iron-Catalyzed One-Pot Oxidative Esterification of Aldehydes. Eur. J. Org. Chem. 2009, 2009, 1144–1147. [Google Scholar] [CrossRef]
- Malik, P.; Chakraborty, D. Bi2O3-catalyzed oxidation of aldehydes with t-BuOOH. Tetrahedron Lett. 2010, 51, 3521. [Google Scholar] [CrossRef]
- Liu, C.; Wang, J.; Meng, L.; Deng, Y.; Li, Y.; Lei, A. Palladium-Catalyzed Aerobic Oxidative Direct Esterification of Alcohols. Angew. Chem. 2011, 123, 5250–5254. [Google Scholar] [CrossRef]
- Gowrisankar, S.; Neumann, H.; Beller, M. General and Selective Palladium-Catalyzed Oxidative Esterification of Alcohols. Angew. Chem. 2011, 123, 5245–5249. [Google Scholar] [CrossRef]
- Oliveira, R.D.L.; Kiyohara, P.K.; Rossi, L. Clean preparation of methyl esters in one-step oxidative esterification of primary alcohols catalyzed by supported gold nanoparticles. Green Chem. 2009, 11, 1366–1370. [Google Scholar] [CrossRef]
- Zweifel, T.; Naubron, J.-V.; Grützmacher, H. Catalyzed Dehydrogenative Coupling of Primary Alcohols with Water, Methanol, or Amines. Angew. Chem. 2009, 121, 567–571. [Google Scholar] [CrossRef]
- Yamamoto, N.; Obora, Y.; Ishii, Y. Iridium-Catalyzed Oxidative Methyl Esterification of Primary Alcohols and Diols with Methanol. J. Org. Chem. 2011, 76, 2937–2941. [Google Scholar] [CrossRef]
- Arita, S.; Koike, T.; Kayaki, Y.; Ikariya, T. Aerobic Oxidative Kinetic Resolution of Racemic Secondary Alcohols with Chiral Bifunctional Amido Complexes. Angew. Chem. 2008, 120, 2481–2483. [Google Scholar] [CrossRef]
- Luo, H.; Wang, L.; Shang, S.; Li, G.; Lv, Y.; Gao, S.; Dai, W. Cobalt Nanoparticles-Catalyzed Widely Applicable Successive C−C Bond Cleavage in Alcohols to Access Esters. Angew. Chem. Int. Ed. 2020, 59, 19268–19274. [Google Scholar] [CrossRef]
- Zhu, G.; Shi, S.; Zhao, L.; Liu, M.; Gao, J.; Xu, J. Catalytic Activation of Carbon–Hydrogen Bonds in Lignin Linkages over Strong-Base-Modified Covalent Triazine Frameworks for Lignin Oxidative Cleavage. ACS Catal. 2020, 10, 7526–7534. [Google Scholar] [CrossRef]
- Liu, M.; Zhang, Z.; Yan, J.; Liu, S.; Liu, H.; Liu, Z.; Wang, W.; He, Z.; Han, B. Aerobic Oxidative Cleavage and Esterification of C(OH)–C Bonds. Chem 2020, 6, 3288–3296. [Google Scholar] [CrossRef]
- Liu, S.; Bai, L.; van Muyden, A.P.; Huang, Z.; Cui, X.; Fei, Z.; Li, X.; Hu, X.; Dyson, P.J. Oxidative cleavage of β-O-4 bonds in lignin model compounds with a single-atom Co catalyst. Green Chem. 2019, 21, 1974–1981. [Google Scholar] [CrossRef]
- Luo, H.; Wang, L.; Li, G.; Shang, S.; Lv, Y.; Niu, J.; Gao, S. Nitrogen-Doped Carbon-Modified Cobalt-Nanoparticle-Catalyzed Oxidative Cleavage of Lignin β-O-4 Model Compounds under Mild Conditions. ACS Sustain. Chem. Eng. 2018, 6, 14188–14196. [Google Scholar] [CrossRef]
- Zhao, L.; Shi, S.; Liu, M.; Zhu, G.; Wang, M.; Du, W.; Gao, J.; Xu, J. Covalent triazine framework catalytic oxidative cleavage of lignin models and organosolv lignin. Green Chem. 2018, 20, 1270–1279. [Google Scholar] [CrossRef]
- Wang, M.; Li, L.H.; Lu, J.M.; Li, H.J.; Zhang, X.C.; Liu, H.F.; Luo, N.C.; Wang, F. Acid promoted C–C bond oxidative cleavage of β-O-4 and β-1 lignin models to esters over a copper catalyst. Green Chem. 2017, 19, 702. [Google Scholar] [CrossRef]
- Wang, Y.; Wang, Q.; He, J.; Zhang, Y. Highly effective C–C bond cleavage of lignin model compounds. Green Chem. 2017, 19, 3135–3141. [Google Scholar] [CrossRef]
- Yao, S.G.; Mobley, J.K.; Ralph, J.; Crocker, M.; Parkin, S.; Selegue, J.P.; Meier, M.S. Mechanochemical Treatment Facilitates Two-Step Oxidative Depolymerization of Kraft Lignin. ACS Sustain. Chem. Eng. 2018, 6, 5990–5998. [Google Scholar] [CrossRef]
- Tang, S.; Yuan, J.; Liu, C.; Lei, A. Direct oxidative esterification of alcohols. Dalton Trans. 2014, 43, 13460–13470. [Google Scholar] [CrossRef]
- Ekoue-Kovi, K.; Wolf, C. One-Pot Oxidative Esterification and Amidation of Aldehydes. Chem.-Eur. J. 2008, 14, 6302–6315. [Google Scholar] [CrossRef]
- Li, L.; Kong, J.; Zhang, H.; Liu, S.; Zeng, Q.; Zhang, Y.; Ma, H.; He, H.; Long, J.; Li, X. Selective aerobic oxidative cleavage of lignin Csingle bondC bonds over novel hierarchical Ce-Cu/MFI nanosheets. Appl. Catal. B Environ. 2020, 279, 119343. [Google Scholar] [CrossRef]
- Ponomarenko, J.; Trouillas, P.; Martin, N.; Dizhbite, T.; Krasilnikova, J.; Telysheva, G. Elucidation of antioxidant properties of wood bark derived saturated diarylheptanoids: A comprehensive (DFT-supported) understanding. Phytochemistry 2014, 103, 178–187. [Google Scholar] [CrossRef] [PubMed]
- Monks, T.J.; Jones, D.C. The Metabolism and Toxicity of Quinones, Quinonimines, Quinone Methides, and Quinone-Thioethers. Curr. Drug Metab. 2002, 3, 425–438. [Google Scholar] [CrossRef] [PubMed]
- Cooper, C.; Alam, S.; Nziko, V.D.P.N.; Johnston, R.C.; Ivanov, A.S.; Mou, Z.; Turpin, D.B.; Rudie, A.W.; Elder, T.J.; Bozell, J.J.; et al. Co(salen)-Catalyzed Oxidation of Lignin Models to Form Benzoquinones and Benzaldehydes: A Computational and Experimental Study. ACS Sustain. Chem. Eng. 2020, 8, 7225–7234. [Google Scholar] [CrossRef]
- Hanson, S.K.; Wu, R.; Silks, L.A.P. C-C or C-O Bond Cleavage in a Phenolic Lignin Model Compound: Selectivity Depends on Vanadium Catalyst. Angew. Chem. Int. Ed. 2012, 51, 3410–3413. [Google Scholar] [CrossRef]
- Dabral, S.; Wotruba, H.; Hernández, J.G.; Bolm, C. Mechanochemical Oxidation and Cleavage of Lignin β-O-4 Model Compounds and Lignin. ACS Sustain. Chem. Eng. 2018, 6, 3242–3254. [Google Scholar] [CrossRef]
- Goossen, L.J.; Gooßen, L.J.; Deng, G.; Levy, L.M. Synthesis of Biaryls via Catalytic Decarboxylative Coupling. Science 2006, 313, 662–664. [Google Scholar] [CrossRef]
- Gooßen, L.J.; Gooßen, K.; Rodriguez, N.; Blanchot, M.; Linder, C.; Zimmermann, B. New catalytic transformations of carboxylic acids. Pure Appl. Chem. 2008, 80, 1725–1733. [Google Scholar] [CrossRef]
- Nagayama, K.; Shimizu, I.; Yamamoto, A. Direct Hydrogenation of Carboxylic Acids to Corresponding Aldehydes Catalyzed by Palladium Complexes. Bull. Chem. Soc. Jpn. 2001, 74, 1803–1815. [Google Scholar] [CrossRef]
- Cronin, D.J.; Zhang, X.; Bartley, J.; Doherty, W.O.S. Lignin Depolymerization to Dicarboxylic Acids with Sodium Percarbonate. ACS Sustain. Chem. Eng. 2017, 5, 6253–6260. [Google Scholar] [CrossRef]
- Mottweiler, J.; Puche, M.; Räuber, C.; Schmidt, T.; Concepción, P.; Corma, A.; Bolm, C. Copper- and Vanadium-Catalyzed Oxidative Cleavage of Lignin using Dioxygen. ChemSusChem 2015, 8, 2106–2113. [Google Scholar] [CrossRef] [PubMed]
- Lee, T.W.; Yang, J.W. Transition-metal-free conversion of lignin model compounds to high-value aromatics: Scope and chemoselectivity. Green Chem. 2018, 20, 3761–3771. [Google Scholar] [CrossRef]
- Coupé, F.; Petitjean, L.; Anastas, P.T.; Caijo, F.; Escande, V.; Darcel, C. Sustainable oxidative cleavage of catechols for the synthesis of muconic acid and muconolactones including lignin upgrading. Green Chem. 2020, 22, 6204–6211. [Google Scholar] [CrossRef]
- Vega-Aguilar, C.A.; Barreiro, M.F.; Rodrigues, A.E. Effect of Methoxy Substituents on Wet Peroxide Oxidation of Lignin and Lignin Model Compounds: Understanding the Pathway to C4 Dicarboxylic Acids. Ind. Eng. Chem. Res. 2021, 60, 3543–3553. [Google Scholar] [CrossRef]
- Crestini, C.; Caponi, M.C.; Argyropoulos, D.; Saladino, R. Immobilized methyltrioxo rhenium (MTO)/H2O2 systems for the oxidation of lignin and lignin model compounds. Bioorganic Med. Chem. 2006, 14, 5292–5302. [Google Scholar] [CrossRef]
- Magallanes, G.; Kärkäs, M.D.; Bosque, I.; Lee, S.; Maldonado, S.; Stephenson, C.R.J. Selective C–O Bond Cleavage of Lignin Systems and Polymers Enabled by Sequential Palladium-Catalyzed Aerobic Oxidation and Visible-Light Photoredox Catalysis. ACS Catal. 2019, 9, 2252–2260. [Google Scholar] [CrossRef]
- Sun, C.; Zheng, L.; Xu, W.; Dushkin, A.V.; Su, W. Mechanochemical cleavage of lignin models and lignin via oxidation and a subsequent base-catalyzed strategy. Green Chem. 2020, 22, 3489–3494. [Google Scholar] [CrossRef]
- Bosque, I.; Magallanes, G.; Rigoulet, M.; Kärkäs, M.D.; Stephenson, C.R.J. Redox Catalysis Facilitates Lignin Depolymerization. ACS Central Sci. 2017, 3, 621–628. [Google Scholar] [CrossRef]
- Kang, J.; Irmak, S.; Wilkins, M. Conversion of lignin into renewable carboxylic acid compounds by advanced oxidation processes. Renew. Energy 2019, 135, 951–962. [Google Scholar] [CrossRef]
- Lancefield, C.S.; Teunissen, L.W.; Weckhuysen, B.M.; Bruijnincx, P.C.A. Iridium-catalysed primary alcohol oxidation and hydrogen shuttling for the depolymerisation of lignin. Green Chem. 2018, 20, 3214–3221. [Google Scholar] [CrossRef]
- Liu, H.; Li, H.; Lu, J.; Zeng, S.; Wang, M.; Luo, N.; Xu, S.; Wang, F. Photocatalytic Cleavage of C–C Bond in Lignin Models under Visible Light on Mesoporous Graphitic Carbon Nitride through π–π Stacking Interaction. ACS Catal. 2018, 8, 4761–4771. [Google Scholar] [CrossRef]
- Prado, R.; Erdocia, X.; De Gregorio, G.F.; Labidi, J.; Welton, T. Willow Lignin Oxidation and Depolymerization under Low Cost Ionic Liquid. ACS Sustain. Chem. Eng. 2016, 4, 5277–5288. [Google Scholar] [CrossRef]
- Li, X.; Zhang, Y. Metal Catalyst-Free Oxidative C−C Bond Cleavage of a Lignin Model Compound by H2O2 in Formic acid. ChemSusChem 2020, 13, 1740–1745. [Google Scholar] [CrossRef] [PubMed]
- Liu, H.; Zhu, L.; Wallraf, A.-M.; Räuber, C.; Grande, P.M.; Anders, N.; Gertler, C.; Werner, B.; Klankermayer, J.; Leitner, W.; et al. Depolymerization of Laccase-Oxidized Lignin in Aqueous Alkaline Solution at 37 °C. ACS Sustain. Chem. Eng. 2019, 7, 11150–11156. [Google Scholar] [CrossRef]
- Rahimi, A.; Azarpira, A.; Kim, H.; Ralph, J.; Stahl, S.S. Chemoselective Metal-Free Aerobic Alcohol Oxidation in Lignin. J. Am. Chem. Soc. 2013, 135, 6415–6418. [Google Scholar] [CrossRef]
- Rinaldi, R.; Jastrzebski, R.; Clough, M.T.; Ralph, J.; Kennema, M.; Bruijnincx, P.C.A.; Weckhuysen, B.M. Paving the Way for Lignin Valorisation: Recent Advances in Bioengineering, Biorefining and Catalysis. Angew. Chem. Int. Ed. 2016, 55, 8164–8215. [Google Scholar] [CrossRef]
- Constant, S.; Wienk, H.L.J.; Frissen, A.E.; de Peinder, P.; Boelens, R.; van Es, D.S.; Grisel, R.J.H.; Weckhuysen, B.M.; Huijgen, W.J.J.; Gosselink, R.J.A.; et al. New insights into the structure and composition of technical lignins: A comparative characterisation study. Green Chem. 2016, 18, 2651–2665. [Google Scholar] [CrossRef]
- Hanson, S.K.; Baker, R.T.; Gordon, J.C.; Scott, B.; Thorn, D.L. Aerobic Oxidation of Lignin Models Using a Base Metal Vanadium Catalyst. Inorg. Chem. 2010, 49, 5611–5618. [Google Scholar] [CrossRef]
- Shuai, L.; Luterbacher, J. Organic Solvent Effects in Biomass Conversion Reactions. ChemSusChem 2016, 9, 133–155. [Google Scholar] [CrossRef] [PubMed]
- Chan, J.M.W.; Bauer, S.; Sorek, H.; Sreekumar, S.; Wang, K.; Toste, F.D. Studies on the Vanadium-Catalyzed Nonoxidative Depolymerization of Miscanthus giganteus-Derived Lignin. ACS Catal. 2013, 3, 1369–1377. [Google Scholar] [CrossRef]
- Jiang, Y.-Y.; Yan, L.; Yu, H.-Z.; Zhang, Q.; Fu, Y. Mechanism of Vanadium-Catalyzed Selective C–O and C–C Cleavage of Lignin Model Compound. ACS Catal. 2016, 6, 4399–4410. [Google Scholar] [CrossRef]
- Zhang, J. Conversion of Lignin Models by Photoredox Catalysis. ChemSusChem 2018, 11, 3071–3080. [Google Scholar] [CrossRef]
- Amadio, E.; Di Lorenzo, R.; Zonta, C.; Licini, G. Vanadium catalyzed aerobic carbon–carbon cleavage. Coord. Chem. Rev. 2015, 301, 147–162. [Google Scholar] [CrossRef]
- Klinger, G.E.; Zhou, Y.; Hao, P.; Robbins, J.; Aquilina, J.M.; Jackson, J.E.; Hegg, E.L. Biomimetic Reductive Cleavage of Keto Aryl Ether Bonds by Small-Molecule Thiols. ChemSusChem 2019, 12, 4775–4779. [Google Scholar] [CrossRef]
- Wang, M.; Lu, J.; Zhang, X.; Li, L.; Li, H.; Luo, N.; Wang, F. Two-Step, Catalytic C–C Bond Oxidative Cleavage Process Converts Lignin Models and Extracts to Aromatic Acids. ACS Catal. 2016, 6, 6086–6090. [Google Scholar] [CrossRef]
- Luo, N.; Wang, M.; Li, H.; Zhang, J.; Liu, H.; Wang, F. Photocatalytic Oxidation–Hydrogenolysis of Lignin β-O-4 Models via a Dual Light Wavelength Switching Strategy. ACS Catal. 2016, 6, 7716–7721. [Google Scholar] [CrossRef]
- Ren, X.; Wang, P.; Han, X.; Zhang, G.; Gu, J.; Ding, C.; Zheng, X.; Cao, F. Depolymerization of Lignin to Aromatics by Selectively Oxidizing Cleavage of C–C and C–O Bonds Using CuCl2/Polybenzoxazine Catalysts at Room Temperature. ACS Sustain. Chem. Eng. 2017, 5, 6548–6556. [Google Scholar] [CrossRef]
- Walch, F.; Abdelaziz, O.Y.; Meier, S.; Bjelić, S.; Hulteberg, C.P.; Riisager, A. Oxidative depolymerization of Kraft lignin to high-value aromatics using a homogeneous vanadium–copper catalyst. Catal. Sci. Technol. 2021, 11, 1843–1853. [Google Scholar] [CrossRef]
- Cao, Y.; Wang, N.; He, X.; Li, H.-R.; He, L.-N. Photocatalytic Oxidation and Subsequent Hydrogenolysis of Lignin β-O-4 Models to Aromatics Promoted by In Situ Carbonic Acid. ACS Sustain. Chem. Eng. 2018, 6, 15032–15039. [Google Scholar] [CrossRef]
- Kärkäs, M.D.; Bosque, I.; Matsuura, B.S.; Stephenson, C. Photocatalytic Oxidation of Lignin Model Systems by Merging Visible-Light Photoredox and Palladium Catalysis. Org. Lett. 2016, 18, 5166–5169. [Google Scholar] [CrossRef] [PubMed]
- Bourbiaux, D.; Pu, J.; Rataboul, F.; Djakovitch, L.; Geantet, C.; Laurenti, D. Reductive or oxidative catalytic lignin depolymerization: An overview of recent advances. Catal. Today 2021, 373, 24–37. [Google Scholar] [CrossRef]
- Das, A.; König, B. Transition metal- and photoredox-catalyzed valorisation of lignin subunits. Green Chem. 2018, 20, 4844–4852. [Google Scholar] [CrossRef]
- Aguilar, C.A.V.; Barreiro, M.F.; Rodrigues, A.E. Catalytic wet peroxide oxidation of vanillic acid as a lignin model compound towards the renewable production of dicarboxylic acids. Chem. Eng. Res. Des. 2020, 159, 115–124. [Google Scholar] [CrossRef]
- Zhou, R.; Zhou, R.; Wang, S.; Ekanayake, U.M.; Fang, Z.; Cullen, P.J.; Bazaka, K.; Ostrikov, K. Power-to-chemicals: Low-temperature plasma for lignin depolymerisation in ethanol. Bioresour. Technol. 2020, 318, 123917. [Google Scholar] [CrossRef]
- Lotfi, S.; Bahrpaima, K.; Boffito, D.C.; Patience, G.S. Gas–Solid Oxidation of Unwashed Lignin to Carboxylic Acids. Energy Fuels 2020, 34, 9683–9696. [Google Scholar] [CrossRef]
- Lotfi, S.; Boffito, D.C.; Patience, G.S. Gas-Phase Partial Oxidation of Lignin to Carboxylic Acids over Vanadium Pyrophosphate and Aluminum-Vanadium-Molybdenum. ChemSusChem 2015, 8, 3424–3432. [Google Scholar] [CrossRef]
- Yu, Q.; Song, Z.; Chen, X.; Fan, J.; Clark, J.H.; Wang, Z.; Sun, Y.; Yuan, Z. A methanol–choline chloride based deep eutectic solvent enhances the catalytic oxidation of lignin into acetovanillone and acetic acid. Green Chem. 2020, 22, 6415. [Google Scholar] [CrossRef]
- Suzuki, H.; Cao, J.; Jin, F.; Kishita, A.; Enomoto, H.; Moriya, T. Wet oxidation of lignin model compounds and acetic acid production. J. Mater. Sci. 2006, 41, 1591–1597. [Google Scholar] [CrossRef]
- Alu’Datt, M.H.; Rababah, T.; Ereifej, K.; Alli, I. Distribution, antioxidant and characterisation of phenolic compounds in soybeans, flaxseed and olives. Food Chem. 2013, 139, 93–99. [Google Scholar] [CrossRef] [PubMed]
- Thiyagarajan, S.; Sankar, R.V.; Gunanathan, C. Ruthenium-Catalyzed α-Alkylation of Ketones Using Secondary Alcohols to β-Disubstituted Ketones. Org. Lett. 2020, 22, 7879–7884. [Google Scholar] [CrossRef] [PubMed]
- Brunet, J.-J.; Chauvin, R. Synthesis of diarylketones through carbonylative coupling. Chem. Soc. Rev. 1995, 24, 89–95. [Google Scholar] [CrossRef]
- McClelland, K.P.; Weiss, E.A. Selective Photocatalytic Oxidation of Benzyl Alcohol to Benzaldehyde or C–C Coupled Products by Visible-Light-Absorbing Quantum Dots. ACS Appl. Energy Mater. 2018, 2, 92–96. [Google Scholar] [CrossRef]
- Lima, M.J.; Silva, A.M.; Silva, C.G.; Faria, J.L. A microfluidic reactor application for the continuous-flow photocatalytic selective synthesis of aromatic aldehydes. Appl. Catal. A Gen. 2020, 608, 117844. [Google Scholar] [CrossRef]
- Mancuso, A.J.; Huang, S.-L.; Swern, D. Oxidation of long-chain and related alcohols to carbonyls by dimethyl sulfoxide “activated” by oxalyl chloride. J. Org. Chem. 1978, 43, 2480–2482. [Google Scholar] [CrossRef]
- Omura, K.; Swern, D. Oxidation of alcohols by “activated” dimethyl sulfoxide. a preparative, steric and mechanistic study. Tetrahedron 1978, 34, 1651–1660. [Google Scholar] [CrossRef]
- Mancuso, A.J.; Swern, D. Activated Dimethyl Sulfoxide: Useful Reagents for Synthesis. Synthesis 1981, 165–183. [Google Scholar] [CrossRef]
- Tidwell, T.T. Oxidation of Alcohols by Activated Dimethyl Sulfoxide and Related Reactions: An Update. Synthesis 1990, 857–870. [Google Scholar] [CrossRef]
- Nishide, K.; Patra, P.K.; Matoba, M.; Shanmugasundaram, K.; Node, M. A practical improvement of odorless Corey–Kim and Swern oxidations. Green Chem. 2004, 6, 142–146. [Google Scholar] [CrossRef]
- Kawaguchi, T.; Miyata, H.; Ataka, K.; Mae, K.; Yoshida, J.-I. Room-Temperature Swern Oxidations by Using a Microscale Flow System. Angew. Chem. 2005, 117, 2465–2468. [Google Scholar] [CrossRef]
- Pichlmair, S.; Marques, M.; Green, M.P.; Martin, H.J.; Mulzer, J. A Novel Approach toward the Synthesis of Kendomycin: Selective Synthesis of aC-Aryl Glycoside as a Single Atropisomer. Org. Lett. 2003, 5, 4657–4659. [Google Scholar] [CrossRef]
- Dess, D.B.; Martin, J.C. Readily accessible 12-I-5 oxidant for the conversion of primary and secondary alcohols to aldehydes and ketones. J. Org. Chem. 1983, 48, 4155–4156. [Google Scholar] [CrossRef]
- de Lera, A.R.; Okamura, W.H. The stereospecific formation of an exocyclic alkene by a consecutive radical cyclization-elimination. Tetrahedron Lett. 1987, 28, 2941. [Google Scholar]
- Gao, Y.; Liu, J.; Wang, L.; Xiao, M.; Du, Y. Total Syntheses of Cochliomycin B and Zeaenol. Eur. J. Org. Chem. 2014, 10, 2092–2098. [Google Scholar] [CrossRef][Green Version]
- Wendisch, V.F.; Kim, Y.; Lee, J.-H. Chemicals from lignin: Recent depolymerization techniques and upgrading extended pathways. Curr. Opin. Green Sustain. Chem. 2018, 14, 33–39. [Google Scholar] [CrossRef]
- De Gregorio, G.F.; Prado, R.; Vriamont, C.; Erdocia, X.; Labidi, J.; Hallett, J.P.; Welton, T. Oxidative Depolymerization of Lignin Using a Novel Polyoxometalate-Protic Ionic Liquid System. ACS Sustain. Chem. Eng. 2016, 4, 6031–6036. [Google Scholar] [CrossRef]
- Panyadee, R.; Posoknistakul, P.; Jonglertjunya, W.; Kim-Lohsoontorn, P.; Laosiripojana, N.; Matsagar, B.M.; Wu, K.C.-W.; Sakdaronnarong, C. Sequential Fractionation of Palm Empty Fruit Bunch and Microwave-Assisted Depolymerization of Lignin for Producing Monophenolic Compounds. ACS Sustain. Chem. Eng. 2018, 6, 16896–16906. [Google Scholar] [CrossRef]
- Ouyang, X.; Ruan, T.; Qiu, X. Effect of solvent on hydrothermal oxidation depolymerization of lignin for the production of monophenolic compounds. Fuel Process. Technol. 2016, 144, 181–185. [Google Scholar] [CrossRef]
- Dai, J.; Styles, G.N.; Patti, A.F.; Saito, K. CuSO4/H2O2-Catalyzed Lignin Depolymerization under the Irradiation of Microwaves. ACS Omega 2018, 3, 10433–10441. [Google Scholar] [CrossRef]
- Kumara, A.; Biswasa, B.; Bhaskar, T. Effect of cobalt on titania, ceria and zirconia oxide supported catalysts on the oxidative depolymerization of prot and alkali lignin. Bioresour. Technol. 2020, 299, 122589. [Google Scholar] [CrossRef]
- Hafezisefat, P.; Lindstrom, J.K.; Brown, R.C.; Qi, L. Non-catalytic oxidative depolymerization of lignin in perfluorodecalin to produce phenolic monomers. Green Chem. 2020, 22, 6567–6578. [Google Scholar] [CrossRef]
- Voitl, T.; von Rohr, P.R. Oxidation of Lignin Using Aqueous Polyoxometalates in the Presence of Alcohols. ChemSusChem 2008, 1, 763–769. [Google Scholar] [CrossRef]
- Rawat, S.; Gupta, P.; Singh, B.; Bhaskar, T.; Natte, K.; Narani, A. Molybdenum-catalyzed oxidative depolymerization of alkali lignin: Selective production of Vanillin. Appl. Catal. A Gen. 2020, 598, 117567. [Google Scholar] [CrossRef]
- Hosoya, T.; Yamamoto, K.; Miyafuji, H.; Yamada, T. Selective production of bio-based aromatics by aerobic oxidation of native soft wood lignin in tetrabutylammonium hydroxide. RSC Adv. 2020, 10, 19199–19210. [Google Scholar] [CrossRef]
- Almada, C.C.; Kazachenko, A.; Fongarland, P.; Da Silva Perez, D.; Kuznetsov, B.N.; Djakovitch, L. Oxidative depolymerization of lignins for producing aromatics: Variation of botanical origin and extraction methods. Biomass-Convers. Biorefinery 2020, 1–14. [Google Scholar] [CrossRef]
- Li, Y.-X.; Zhu, J.-P.; Zhang, Z.-J.; Qu, Y.-S. Preparation of Syringaldehyde from Lignin by Catalytic Oxidation of Perovskite-Type Oxides. ACS Omega 2020, 5, 2107–2113. [Google Scholar] [CrossRef] [PubMed]
- Song, Y.; Motagamwala, A.H.; Karlen, S.D.; Dumesic, J.A.; Ralph, J.; Mobley, J.K.; Crocker, M. A comparative study of secondary depolymerization methods on oxidized lignins. Green Chem. 2019, 21, 3940–3947. [Google Scholar] [CrossRef]
- Lan, W.; de Bueren, J.B.; Luterbacher, J.S. Highly Selective Oxidation and Depolymerization of α,γ-Diol-Protected Lignin. Angew. Chem. Int. Ed. 2019, 58, 2649–2654. [Google Scholar] [CrossRef] [PubMed]
- Das, A.; Rahimi, A.; Ulbrich, A.; Alherech, M.; Motagamwala, A.H.; Bhalla, A.; Sousa, L.D.C.; Balan, V.; Dumesic, J.A.; Hegg, E.L.; et al. Lignin Conversion to Low-Molecular-Weight Aromatics via an Aerobic Oxidation-Hydrolysis Sequence: Comparison of Different Lignin Sources. ACS Sustain. Chem. Eng. 2018, 6, 3367–3374. [Google Scholar] [CrossRef]
- Kumar, A.; Biswas, B.; Saini, K.; Kumar, A.; Kumar, J.; Krishna, B.B.; Bhaskar, T. Copper and manganese bimetallic catalysts for oxidation of prot lignin: Effects of metal oxide on product yield. Biomass-Convers. Biorefinery 2021, 1–14. [Google Scholar] [CrossRef]
- Zhang, C.; Li, H.; Lu, J.; Zhang, X.; MacArthur, K.; Heggen, M.; Wang, F. Promoting Lignin Depolymerization and Restraining the Condensation via an Oxidation−Hydrogenation Strategy. ACS Catal. 2017, 7, 3419–3429. [Google Scholar] [CrossRef]
- Lancefield, C.S.; Ojo, O.S.; Tran, F.; Westwood, N.J. Isolation of Functionalized Phenolic Monomers through Selective Oxidation and C-O Bond Cleavage of the β-O-4 Linkages in Lignin. Angew. Chem. Int. Ed. 2015, 54, 258–262. [Google Scholar] [CrossRef] [PubMed]
- Nguyen, J.D.; Matsuura, B.S.; Stephenson, C. A Photochemical Strategy for Lignin Degradation at Room Temperature. J. Am. Chem. Soc. 2014, 136, 1218–1221. [Google Scholar] [CrossRef] [PubMed]












| Entry | Substrate | Catalyst | Reaction Conditions | Main Products Distribution (%) | Ref. | |||
|---|---|---|---|---|---|---|---|---|
| Sovent | T(°C) | Oxidation Atmosphere | T(h) | |||||
| 1 | ![]() | 30KCTF (strong-base-modified covalent triazine framework) | Methanol | 180 | O2 (0.5 MPa) | 8 | ![]() | [92] |
| 2 | Kraft Lignin | TPPFeCl/t-BuOOH | Mechanochemical treatment in KOH and toluene. subsequent Baeyer–Villiger oxidation. | ![]() | [99] | |||
| 3 | ![]() | VB12@C-900, K2CO3 | MeOH | 80 | O2 (0.1 MPa) | 24 | ![]() | [95] |
| 4 | ![]() | K2CO3, Co-NC-900 | MeOH | 150 | O2 (0.6 MPa) | 24 | ![]() | [91] |
| 5 | ![]() | Cu(OAc)2, BF3·OEt2 | MeOH | 100 | O2 (0.4 MPa) | 3 | ![]() | [134] |
| 6 | ![]() | (PhCH2Se)2, K2CO3 | BV oxidation: (PhCH2Se)2, H2O2, THF (0.5 mL) Alcoholysis: Substrate (0.1 mmol, 1.0 Equation), K2CO3 (0.2 Equation), 0.5 mL CH3OH, 45 °C, 1.5 h. | ![]() | [98] | |||
| 7 | ![]() | CTF (covalent triazine framework) | Methanol | 160 | O2 (0.5 MPa) | 8 | ![]() | [96] |
| 8 | ![]() | Co–N–C, NaOH | MeOH | 200 | O2 (1 MPa) | 4–10 | ![]() | [94] |
| 9 | ![]() | Cu salt | DMSO | 116 | O2 (0.5 MPa) | 12 | ![]() | [93] |
Publisher’s Note: MDPI stays neutral with regard to jurisdictional claims in published maps and institutional affiliations. |
© 2021 by the authors. Licensee MDPI, Basel, Switzerland. This article is an open access article distributed under the terms and conditions of the Creative Commons Attribution (CC BY) license (https://creativecommons.org/licenses/by/4.0/).
Share and Cite
Wei, X.-Z.; Liu, J.; Ma, L. Cleavage via Selective Catalytic Oxidation of Lignin or Lignin Model Compounds into Functional Chemicals. ChemEngineering 2021, 5, 74. https://doi.org/10.3390/chemengineering5040074
Wei X-Z, Liu J, Ma L. Cleavage via Selective Catalytic Oxidation of Lignin or Lignin Model Compounds into Functional Chemicals. ChemEngineering. 2021; 5(4):74. https://doi.org/10.3390/chemengineering5040074
Chicago/Turabian StyleWei, Xiu-Zhi, Jianguo Liu, and Longlong Ma. 2021. "Cleavage via Selective Catalytic Oxidation of Lignin or Lignin Model Compounds into Functional Chemicals" ChemEngineering 5, no. 4: 74. https://doi.org/10.3390/chemengineering5040074
APA StyleWei, X.-Z., Liu, J., & Ma, L. (2021). Cleavage via Selective Catalytic Oxidation of Lignin or Lignin Model Compounds into Functional Chemicals. ChemEngineering, 5(4), 74. https://doi.org/10.3390/chemengineering5040074





















