The Incidence and Risk Factors of Urinary Tract Infection in Patients with Type 2 Diabetes Mellitus Using SGLT2 Inhibitors: A Real-World Observational Study
Abstract
1. Introduction
2. Materials and Methods
2.1. Patient Population
2.2. Study Design
2.3. Outcome Measurement
2.4. Statistical Analysis
3. Results
3.1. Patient Characteristics
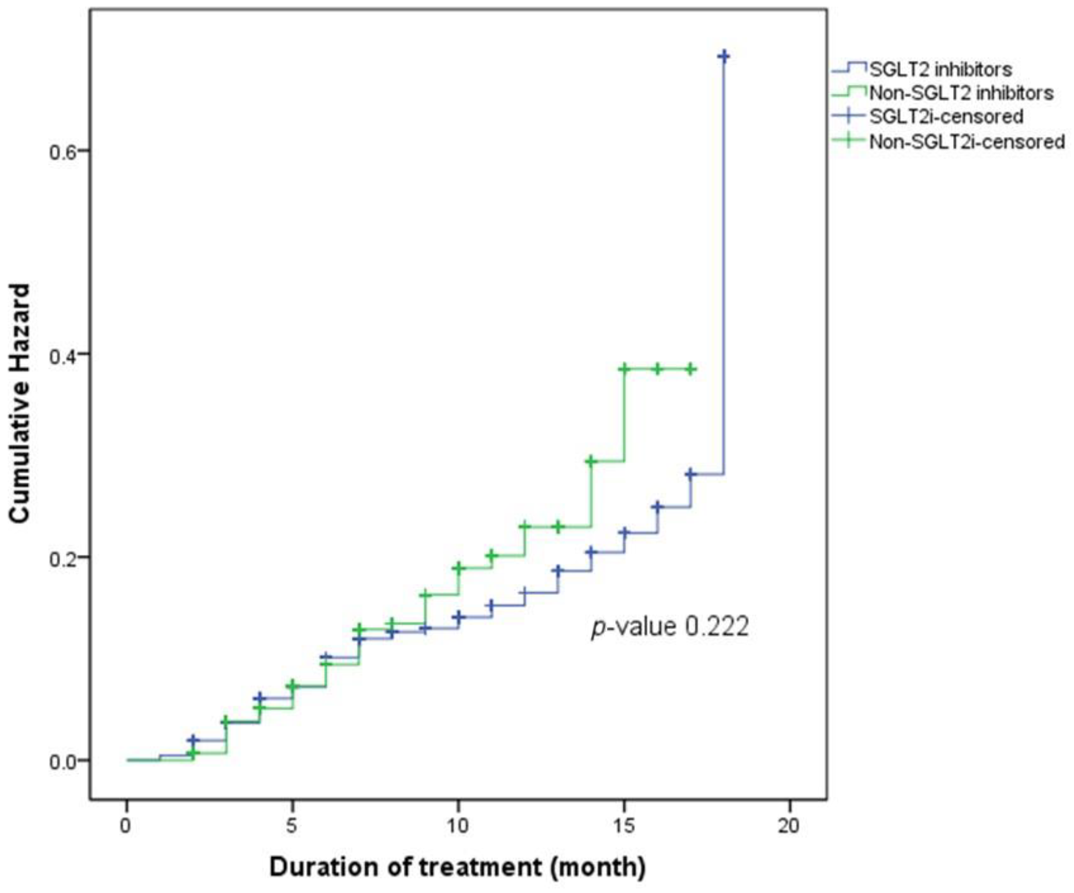
3.2. The Incidence of UTI
3.3. The Factors Associated with UTI
4. Discussion
5. Conclusions
Supplementary Materials
Author Contributions
Funding
Institutional Review Board Statement
Informed Consent Statement
Data Availability Statement
Acknowledgments
Conflicts of Interest
References
- Arakaki, R.F. Sodium-glucose cotransporter-2 inhibitors and genital and urinary tract infections in type 2 diabetes. Postgrad. Med. 2016, 128, 409–417. [Google Scholar] [CrossRef] [PubMed]
- U.S. Food and Drug Administration. FDA Drug Safety Communication: FDA Revises Labels of SGLT2 Inhibitors for Diabetes to Include Warnings about Too Much Acid in the Blood and Serious Urinary Tract Infections. 2015. Available online: http://www.fda.gov/Drugs/DrugSafety/ucm475463.htm (accessed on 26 March 2022).
- Hirji, I.; Guo, Z.; Andersson, S.W.; Hammar, N.; Gomez-Caminero, A. Incidence of urinary tract infection among patients with type 2 diabetes in the UK General Practice Research Database (GPRD). J. Diabetes Complicat. 2012, 26, 513–516. [Google Scholar] [CrossRef] [PubMed]
- Figueiredo, I.R.; Rose, S.C.P.; Freire, N.B.; Patrocínio, M.S.; Pierdoná, N.; Bittencourt, R.J. Use of sodium-glucose cotransporter-2 inhibitors and urinary tract infections in type 2 diabetes patients: A systematic review. Rev. Assoc. Med. Bras. 2019, 65, 246–252. [Google Scholar] [CrossRef] [PubMed]
- Min, S.H.; Yoon, J.H.; Moon, S.J.; Hahn, S.; Cho, Y.M. Combination of sodium-glucose cotransporter 2 inhibitor and dipeptidyl peptidase-4 inhibitor in type 2 diabetes: A systematic review with meta-analysis. Sci. Rep. 2018, 8, 4466. [Google Scholar] [CrossRef] [PubMed]
- Puckrin, R.; Saltiel, M.P.; Reynier, P.; Azoulay, L.; Yu, O.H.Y.; Filion, K.B. SGLT-2 inhibitors and the risk of infections: A systematic review and meta-analysis of randomized controlled trials. Acta Diabetol. 2018, 55, 503–514. [Google Scholar] [CrossRef]
- Donnan, J.R.; Grandy, C.A.; Chibrikov, E.; Marra, C.A.; Aubrey-Bassler, K.; Johnston, K.; Swab, M.; Hache, J.; Curnew, D.; Nguyen, H.; et al. Comparative safety of the sodium glucose co-transporter 2 (SGLT2) inhibitors: A systematic review and meta-analysis. BMJ Open 2019, 9, e022577. [Google Scholar] [CrossRef]
- Liu, J.; Li, L.; Li, S.; Jia, P.; Deng, K.; Chen, W.; Sun, X. Effects of SGLT2 inhibitors on UTIs and genital infections in type 2 diabetes mellitus: A systematic review and meta-analysis. Sci. Rep. 2017, 7, 2824. [Google Scholar] [CrossRef]
- Gadzhanova, S.; Pratt, N.; Roughead, E. Use of SGLT2 inhibitors for diabetes and risk of infection: Analysis using general practice records from the NPS MedicineWise MedicineInsight program. Diabetes Res. Clin. Pract. 2017, 130, 180–185. [Google Scholar] [CrossRef]
- Khan, S.; Hashmi, M.S.; Rana, M.A.; Zafar, G.M.; Asif, S.; Farooq, M.T.; Zahoor, S. Frequency of Urinary Tract Infections in Type 2 Diabetic Patients Taking Dapagliflozin. Cureus 2022, 14, e21720. [Google Scholar] [CrossRef]
- Rosenstock, J.; Seman, L.J.; Jelaska, A.; Hantel, S.; Pinnetti, S.; Hach, T.; Woerle, H.J. Efficacy and safety of empagliflozin, a sodium glucose cotransporter 2 (SGLT2) inhibitor, as add-on to metformin in type 2 diabetes with mild hyperglycaemia. Diabetes Obes. Metab 2013, 15, 1154–1160. [Google Scholar] [CrossRef]
- Yang, Y.; Chen, S.; Pan, H.; Zou, Y.; Wang, B.; Wang, G.; Zhu, H. Safety and efficiency of SGLT2 inhibitor combining with insulin in subjects with diabetes: Systematic review and meta-analysis of randomized controlled trials. Medicine 2017, 96, e6944. [Google Scholar] [CrossRef]
- Li, D.; Wang, T.; Shen, S.; Fang, Z.; Dong, Y.; Tang, H. Urinary tract and genital infections in patients with type 2 diabetes treated with sodium-glucose co-transporter 2 inhibitors: A meta-analysis of randomized controlled trials. Diabetes Obes. Metab. 2017, 19, 348–355. [Google Scholar] [CrossRef]
- Wilding, J.P.; Woo, V.; Rohwedder, K.; Sugg, J.; Parikh, S. Dapagliflozin in patients with type 2 diabetes receiving high doses of insulin: Efficacy and safety over 2 years. Diabetes Obes. Metab. 2014, 16, 124–136. [Google Scholar] [CrossRef]
- Brown, J.S.; Wessells, H.; Chancellor, M.B.; Howards, S.S.; Stamm, W.E.; Stapleton, A.E.; Steers, W.D.; Van Den Eeden, S.K.; McVary, K.T. Urologic complications of diabetes. Diabetes Care 2005, 28, 177–185. [Google Scholar] [CrossRef]
- Su, S.B.; Wang, J.N.; Lu, C.W.; Wang, H.Y.; Guo, H.R. Prevalence of urinary tract infections and associated factors among pregnant workers in the electronics industry. Int. Urogynecol. J. Pelvic Floor Dysfunct. 2009, 20, 939–945. [Google Scholar] [CrossRef]
- Markland, A.; Chu, H.; Epperson, C.N.; Nodora, J.; Shoham, D.; Smith, A.; Sutcliffe, S.; Townsend, M.; Zhou, J.; Bavendam, T.; et al. Occupation and lower urinary tract symptoms in women: A rapid review and meta-analysis from the PLUS research consortium. Neurourol. Urodyn. 2018, 37, 2881–2892. [Google Scholar] [CrossRef]
- Al-Rubeaan, K.A.; Moharram, O.; Al-Naqeb, D.; Hassan, A.; Rafiullah, M.R. Prevalence of urinary tract infection and risk factors among Saudi patients with diabetes. World J. Urol. 2013, 31, 573–578. [Google Scholar] [CrossRef]
- Aswani, S.M.; Chandrashekar, U.; Shivashankara, K.; Pruthvi, B. Clinical profile of urinary tract infections in diabetics and non-diabetics. Australas. Med. J. 2014, 7, 29–34. [Google Scholar]
- Persu, C.; Braschi, E.; Lavelle, J. A review of prospective Clinical Trials for neurogenic bladder: The place of surgery, experimental techniques and devices. Cent. Eur. J. Urol. 2014, 67, 270–276. [Google Scholar] [CrossRef]
- Juthani-Mehta, M.; Drickamer, M.A.; Towle, V.; Zhang, Y.; Tinetti, M.E.; Quagliarello, V.J. Nursing home practitioner survey of diagnostic criteria for urinary tract infections. J. Am. Geriatr. Soc. 2005, 53, 1986–1990. [Google Scholar] [CrossRef]
- Gilstrap, L.C.; Ramin, S.M. Urinary tract infections during pregnancy. Obstet. Gynecol. Clin. N. Am. 2001, 28, 581–591. [Google Scholar] [CrossRef] [PubMed]


| Characteristic | SGLT2 Inhibitors | Non-SGLT2 Inhibitors | ||
|---|---|---|---|---|
| Dapagliflozin | Empagliflozin | Total | ||
| (n = 200) | (n = 218) | (n = 418) | (n = 435) | |
| Gender, n (%) | ||||
| Male | 70 (35.00) | 114 (52.29) | 184 (44.02)) | 291 (66.90) |
| Female | 130 (65.00) | 104 (47.71) | 234 (55.98) | 144 (33.10) |
| Age, mean (95%CI) (year) <40 years, n (%) 40–49 years, n (%) 50–59 years, n (%) ≥60 years, n (%) | 61.96 (60.99–64.35) 4 (2.00) 18 (9.00) 51 (25.50) 127 (63.50) | 65.23 (64.13–67.33) 1 (0.46) 12 (5.50) 49 (22.48) 156 (71.56) | 63.67 (63.15–69.50) 5 (1.20) 30 (7.17) 100 (23.92) 283 (67.7) | 55.68 (53.84–57.20) 43 (9.89) 90 (20.69) 133 (30.57) 169 (38.85) |
| BMI, mean (95%CI) (kg/m2) <30 mg/m2, n (%) ≥30 mg/m2, n (%) | 26.95 (25.60–27.07) 156 (78.00) 44 (22.00) | 26.11 (25.57–26.81) 182 (83.49) 36 (16.51) | 26.51 (25.78–26.73) 338 (80.86) 80 (19.14) | 25.78 (25.02–26.43) 361 (82.99) 74 (17.01) |
| Religion, n (%) | ||||
| Buddhism | 193 (96.50) | 203 (93.12) | 396 (94.74) | 397 (91.26) |
| Islam | 2 (1.00) | 1 (0.46) | 3 (0.72) | 18 (4.14) |
| Others | 5 (2.50) | 14 (6.42) | 19 (4.55) | 20 (4.60) |
| Occupation, n (%) | ||||
| Permanent employee | 86 (43.00) | 87 (39.91) | 173 (41.39) | 74 (17.01) |
| Temporary workers | 38 (19.00) | 42 (19.27) | 80 (19.14) | 195 (44.83) |
| Agricultural jobs | 28 (14.00) | 24 (11.01) | 52 (12.44) | 72 (16.55) |
| Others | 48 (24.00) | 65 (29.82) | 113 (27.03) | 94 (21.61) |
| HbA1c, mean (95%CI) (%) | 8.60 (8.26–8.87) | 8.58 (8.36–8.80) | 8.60 (8.39–8.79) | 8.73 (8.43–9.00) |
| FBS, mean (95%CI) (mg/dL) | 162.31 (154.49–170.13) | 166.24 (158.84–173.64) | 164.32 (158.97–169.68) | 174.18 (167.69–180.67) |
| Serum creatinine, mean (95%CI) (mg/dL) | 0.92 (0.85–0.96) | 1.02 (0.96–1.06) | 0.97 (0.92–0.99) | 0.86 (0.82–0.88) |
| Type of oral anti-diabetic drugs *, n (%) | ||||
| Metformin | 187 (93.50) | 186 (85.32) | 373 (89.23) | 435 (100.00) |
| Sulfonylurea | 136 (68.00) | 124 (56.88) | 260 (62.20) | 161 (37.01) |
| Pioglitazone | 71 (35.50) | 63 (28.90) | 134 (32.06) | 43 (9.89) |
| DPP-4 inhibitors | 42 (21.00) | 46 (21.10) | 88 (21.05) | 2 (0.46) |
| Others | 14 (7.00) | 20 (9.17) | 34 (8.13) | 20 (4.60) |
| Drug | Odds Ratio (95%CI) | Adjusted Odds Ratio (95%CI) |
|---|---|---|
| Non-SGLT2 inhibitors | Reference | Reference |
| SGLT2 inhibitors | 3.71 (2.60–5.29) | 4.85 (2.77–8.52) |
| Dapagliflozin | 3.79 (2.51–5.71) | 4.23 (2.18–8.23) |
| Empagliflozin | 3.64 (2.42–5.44) | 5.29 (2.76–10.27) |
| Variable | Odds Ratio (95%CI) | p-Value |
|---|---|---|
| Gender | ||
| Male | 0.57 (0.34–0.95) | 0.031 |
| Female | Reference | |
| Age | ||
| <40 years | 1.64 (0.55–4.89) | 0.379 |
| 40–49 years | 1.68 (0.78–3.60) | 0.182 |
| 50–59 years | 1.30 (0.73–2.30) | 0.376 |
| ≥60 years | Reference | |
| Body mass index | ||
| <30 mg/m2 | 0.60 (0.34–1.05) | 0.073 |
| ≥30 mg/m2 | Reference | |
| Religion | ||
| Buddhism | 1.46 (0.46–4.64) | 0.522 |
| Islam | 2.15 (0.28–16.59) | 0.463 |
| Others | Reference | |
| Occupation | ||
| Permanent employee | 0.55 (0.30–0.99) | 0.046 |
| Temporary workers | 0.73 (0.39–1.35) | 0.308 |
| Agricultural jobs | 0.84 (0.40–1.76) | 0.647 |
| Others | Reference | |
| Hemoglobin A1c | 0.97 (0.83–1.12) | 0.652 |
| Fasting blood sugar | 0.99 (0.99–1.00) | 0.821 |
| Serum creatinine | 0.87 (0.37–2.07) | 0.755 |
Publisher’s Note: MDPI stays neutral with regard to jurisdictional claims in published maps and institutional affiliations. |
© 2022 by the authors. Licensee MDPI, Basel, Switzerland. This article is an open access article distributed under the terms and conditions of the Creative Commons Attribution (CC BY) license (https://creativecommons.org/licenses/by/4.0/).
Share and Cite
Uitrakul, S.; Aksonnam, K.; Srivichai, P.; Wicheannarat, S.; Incomenoy, S. The Incidence and Risk Factors of Urinary Tract Infection in Patients with Type 2 Diabetes Mellitus Using SGLT2 Inhibitors: A Real-World Observational Study. Medicines 2022, 9, 59. https://doi.org/10.3390/medicines9120059
Uitrakul S, Aksonnam K, Srivichai P, Wicheannarat S, Incomenoy S. The Incidence and Risk Factors of Urinary Tract Infection in Patients with Type 2 Diabetes Mellitus Using SGLT2 Inhibitors: A Real-World Observational Study. Medicines. 2022; 9(12):59. https://doi.org/10.3390/medicines9120059
Chicago/Turabian StyleUitrakul, Suriyon, Krittika Aksonnam, Pimchanok Srivichai, Sorawit Wicheannarat, and Supatcha Incomenoy. 2022. "The Incidence and Risk Factors of Urinary Tract Infection in Patients with Type 2 Diabetes Mellitus Using SGLT2 Inhibitors: A Real-World Observational Study" Medicines 9, no. 12: 59. https://doi.org/10.3390/medicines9120059
APA StyleUitrakul, S., Aksonnam, K., Srivichai, P., Wicheannarat, S., & Incomenoy, S. (2022). The Incidence and Risk Factors of Urinary Tract Infection in Patients with Type 2 Diabetes Mellitus Using SGLT2 Inhibitors: A Real-World Observational Study. Medicines, 9(12), 59. https://doi.org/10.3390/medicines9120059

