Recent Trends of Metabolic Syndrome and Its Components in Military Recruits from Saudi Arabia
Abstract
:1. Introduction
2. Materials and Methods
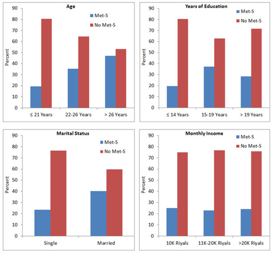
3. Results
4. Discussion
Author Contributions
Funding
Institutional Review Board Statement
Informed Consent Statement
Data Availability Statement
Acknowledgments
Conflicts of Interest
References
- Isomaa, B.; Almgren, P.; Tuomi, T.; Forsén, B.; Lahti, K.; Nissén, M.; Taskinen, M.-R.; Groop, L. Cardiovascular Morbidity and Mortality Associated With the Metabolic Syndrome. Diabetes Care 2001, 24, 683–689. [Google Scholar] [CrossRef] [Green Version]
- Lorenzo, C.; Okoloise, M.; Williams, K.; Stern, M.P.; Haffner, S.M. The Metabolic Syndrome as Predictor of Type 2 Diabetes: The San Antonio Heart Study. Diabetes Care 2003, 26, 3153–3159. [Google Scholar] [CrossRef] [Green Version]
- WHO. A Global Brief on Hypertension Silent Killer: Global Public Health Crisis; World Health Organization: Geneva, Switzerland, 2013; Available online: http://www.who.int/cardiovascular_diseases/publications/global_brief_hypertension/en (accessed on 11 October 2017).
- WHO. Prevention of cardio—vascular disease. In Guidelines for Assessment and Management of Cardiovascular Risk; WHO: Geneva, Switzerland, 2004; Available online: https://www.who.int/cardiovas_cular_diseases/guidelines/Full%20text.pdf (accessed on 12 September 2019).
- Hilgenberg, F.E.; Santos, A.S.; Silveira, E.A.; Cominetti, C. Cardiovascular risk factors and food consumption of cadets from the Brazilian Air Force Academy. Cien. Saude Colet. 2016, 21, 1165–1174. [Google Scholar] [CrossRef] [PubMed] [Green Version]
- Pasiakos, S.M.; Karl, J.P.; Lutz, L.J.; Murphy, N.E.; Margolis, L.M.; Rood, J.C.; Cable, S.J.; Williams, K.W.; Young, A.J.; McClung, J.P. Cardiometabolic Risk in US Army Recruits and the Effects of Basic Combat Training. PLoS ONE 2012, 7, e31222. [Google Scholar] [CrossRef] [PubMed] [Green Version]
- Hruby, A.; Bulathsinhala, L.; McKinnon, C.J.; Hill, O.T.; Montain, S.J.; Young, A.J.; Smith, T.J. Body Mass Index at Accession and Incident Cardiometabolic Risk Factors in US Army Soldiers, 2001–2011. PLoS ONE 2017, 12, e0170144. [Google Scholar] [CrossRef] [PubMed]
- Funderburk, L.K.; Arsenault, J.E. Prevalence of Abnormal Serum Lipids Among Overweight and Obese Soldiers. Mil. Med. 2013, 178, 1137–1140. [Google Scholar] [CrossRef] [Green Version]
- Ceppa, F.; Merens, A.; Burnat, P.; Mayaudon, H.; Bauduceau, B. Military Community: A Privileged Site for Clinical Research: Epidemiological Study of Metabolic Syndrome Risk Factors in the Military Environment. Mil. Med. 2008, 173, 960–967. [Google Scholar] [CrossRef] [Green Version]
- Flynn, D.; Johnson, J.D.; Bailey, C.J.; Perry, J.T.; Andersen, C.A.; Meyer, J.G.; Cox, N.A. Cardiovascular risk factor screening and follow-up in a military population aged 40 years and older. US Army Med. Dep. J. 2009, 4, 67–71. [Google Scholar]
- Al-Asmary, S.M.; Al-Shehri, A.A.; Farahat, F.M.; Abdel-Fattah, M.M.; Al-Shahrani, M.M.; Al-Omari, F.K.; Al-Otaibi, F.S.; Al-Malki, D.M. Community-based screening for pre-hypertension among military active duty personnel. Saudi Med. J. 2008, 29, 1779–1784. [Google Scholar] [PubMed]
- Wenzel, D.; Souza, J.M.; Souza, S.B. Prevalence of arterial hypertension in young military personnel and associated factors. Rev. Rev. Saude Publica 2009, 43, 789–795. [Google Scholar] [CrossRef] [PubMed] [Green Version]
- Abu-Aisha, H.; Elhassan, E.A.M.; Khamis, A.H.; Abu-Emaali, A. Hypertension and Obesity in police forces households in Khartoum, Sudan. Sudan. J. Public Health 2008, 3, 17–25. [Google Scholar]
- Mullie, P.; Clarys, P.; Hulens, M.; VanSant, G. Distribution of Cardiovascular Risk Factors in Belgian Army Men. Arch. Environ. Occup. Health 2010, 65, 135–139. [Google Scholar] [CrossRef]
- Al-Rubeaan, K.; Bawazeer, N.; Al Farsi, Y.; Youssef, A.M.; Al-Yahya, A.A.; AlQumaidi, H.; Al-Malki, B.M.; Naji, K.A.; Al-Shehri, K.; Al Rumaih, F.I. Prevalence of metabolic syndrome in Saudi Arabia—A cross sectional study. BMC Endocr. Disord. 2018, 18, 1–9. [Google Scholar] [CrossRef] [PubMed]
- Chobanian, A.V.; Bakris, G.L.; Black, H.R.; Cushman, W.C.; Green, L.A.; Izzo, J.L., Jr.; Jones, D.W.; Materson, B.J.; Oparil, S.; Wright, J.T., Jr.; et al. The seventh report of the joint national committee on prevention, detection, evaluation, and treatment of high blood pressure: The JNC 7 report. JAMA 2003, 290, 197. [Google Scholar]
- Osei-Yeboah, J.; Owiredu, W.K.B.A.; Norgbe, G.K.; Lokpo, S.Y.; Gyamfi, J.; Allotey, E.A.; Aduko, R.A.; Noagbe, M.; Attah, F.A. The Prevalence of Metabolic Syndrome and Its Components among People with Type 2 Diabetes in the Ho Municipality, Ghana: A Cross-Sectional Study. Int. J. Chronic Dis. 2017, 2017, 1–8. [Google Scholar] [CrossRef] [Green Version]
- Aguilar, M.; Bhuket, T.; Torres, S.; Liu, B.; Wong, R.J. Prevalence of the Metabolic Syndrome in the United States, 2003–2012. JAMA 2015, 313, 1973–1974. [Google Scholar] [CrossRef] [PubMed]
- Ruan, X.; Guan, Y. Metabolic syndrome and chronic kidney disease. J. Diabetes 2009, 1, 236–245. [Google Scholar] [CrossRef]
- Gyakobo, M.; Amoah, A.G.; Martey-Marbell, D.-A.; Snow, R.C. Prevalence of the metabolic syndrome in a rural population in Ghana. BMC Endocr. Disord. 2012, 12, 25. [Google Scholar] [CrossRef] [Green Version]
- Alzaabi, A.; Al-Kaabi, J.; Al-Maskari, F.; Farhood, A.F.; Ahmed, L.A. Prevalence of diabetes and cardio-metabolic risk factors in young men in the United Arab Emirates: A cross-sectional national survey. Endocrinol. Diabetes Metab. 2019, 2, e00081. [Google Scholar] [CrossRef] [Green Version]
- Saeed, A.A. Prevalence of Metabolic Syndrome and Its Components among Saudi Young Adults 18–30 Years of Age. Open J. Endocr. Metab. Dis. 2019, 09, 49–59. [Google Scholar] [CrossRef] [Green Version]
- Aljefree, N.; Ahmed, F. Prevalence of Cardiovascular Disease and Associated Risk Factors among Adult Population in the Gulf Region: A Systematic Review. Adv. Public Health 2015, 2015, 1–23. [Google Scholar] [CrossRef] [Green Version]
- Fordah, S.D. Metabolic Syndrome and Associated Factors among Out Patients in Kumasi Metropolis. Master’s Thesis, University of Ghana, Accra, Ghana, 2017. [Google Scholar]
- Redon, J.; Cífková, R.; Laurent, S.; Nilsson, P.; Narkiewicz, K.; Erdine, S.; Mancia, G. The metabolic syndrome in hypertension: European society of hypertension position statement. J. Hypertens. 2008, 26, 1891–1900. [Google Scholar] [CrossRef] [PubMed]
- Alexander, M.R.; Madhur, M.S.; Harrison, D.G.; Dreisbach, W.A.; Riaz, K. Hypertension: Practice essentials, background and pathophysiology. Medscape 2017, 8, 29–35. [Google Scholar]
- Gutierrez, J.; Alloubani, A.; Mari, M.; Alzaatreh, M. Cardiovascular Disease Risk Factors: Hypertension, Diabetes Mellitus and Obesity among Tabuk Citizens in Saudi Arabia. Open Cardiovasc. Med. J. 2018, 12, 41–49. [Google Scholar] [CrossRef]
- Singh, G.M.; Danaei, G.; Farzadfar, F.; Stevens, G.A.; Woodward, M.; Wormser, D.; Kaptoge, S.; Whitlock, G.; Qiao, Q.; Lewington, S.; et al. The Age-Specific Quantitative Effects of Metabolic Risk Factors on Cardiovascular Diseases and Diabetes: A Pooled Analysis. PLoS ONE 2013, 8, e65174. [Google Scholar] [CrossRef] [PubMed]
- Grundy, S.M.; Brewer, H.B., Jr.; Cleeman, J.I.; Smith, S.C., Jr.; Lenfant, C.; National Heart; Blood Institute; American Heart Association. Definition of metabolic syndrome: Report of the National Heart, Lung, and Blood Institute/American Heart Association conference on scientific issues related to definition. Circulation 2004, 109, 433–438. [Google Scholar] [CrossRef] [Green Version]
- Alberti, K.G.M.M.; Zimmet, P.; Shaw, J. Metabolic syndrome—A new world-wide definition. A Consensus Statement from the International Diabetes Federation. Diabet. Med. 2006, 23, 469–480. [Google Scholar] [CrossRef] [PubMed]
- Al-Qurashi, M.M.; El-Mouzan, M.I.; Al-Herbish, A.S.; Al-Salloum, A.A.; Al-Omar, A.A. Age related reference ranges of heart rate for Saudi children and adolescents. Saudi Med. J. 2009, 30, 926–931. [Google Scholar]
- Alsunni, A.; Majeed, F.; Yar, T.; Alrahim, A.; Ajhawaj, A.F.; Alzaki, M. Effects of energy drink consumption on corrected QT interval and heart rate variability in young obese Saudi male university students. Ann. Saudi Med. 2015, 35, 282–287. [Google Scholar] [CrossRef] [PubMed] [Green Version]
- Alansare, A.; Alford, K.; Lee, S.; Church, T.; Jung, H.C. The Effects of High-Intensity Interval Training vs. Moderate-Intensity Continuous Training on Heart Rate Variability in Physically Inactive Adults. Int. J. Environ. Res. Public Health 2018, 15, 1508. [Google Scholar] [CrossRef] [PubMed] [Green Version]
- Alkahtani, S.; Flatt, A.A.; Kanas, J.; Aldyel, A.; Habib, S.S. Role of Type and Volume of Recreational Physical Activity on Heart Rate Variability in Men. Int. J. Environ. Res. Public Health 2020, 17, 2719. [Google Scholar] [CrossRef] [Green Version]
- Alassiri, M.; Alanazi, A.; Aldera, H.; Alqahtani, S.A.; Alraddadi, A.S.; Alberreet, M.S.; Alhussaini, A.I.; Alotaibi, Y.; Alkhateeb, M.A.; Shatoor, A.S. Exposure to cell phones reduces heart rate variability in both normal-weight and obese normotensive medical students. Explore 2020, 16, 264–270. [Google Scholar] [CrossRef]
- Elemam, A.E.; Omer, N.D.; Ibrahim, N.M.; Ali, A.B. The Effect of Dipping Tobacco on Pulse Wave Analysis among Adult Males. BioMed Res. Int. 2020, 2020, 1–6. [Google Scholar] [CrossRef] [PubMed]
- Latif, R.; Majeed, F. Association between chocolate consumption frequency and heart rate variability indices. Explore 2020, 16, 372–375. [Google Scholar] [CrossRef] [PubMed]
- Al-Rubeaan, K.; Al-Manaa, H.; Khoja, T.; Ahmad, N.; Al-Sharqawi, A.; Siddiqui, K.; AlNaqeb, D.; Aburisheh, K.; Youssef, A.; Al-Batil, A.; et al. The Saudi Abnormal Glucose Metabolism and Diabetes Impact Study (SAUDI-DM). Ann. Saudi Med. 2014, 34, 465–475. [Google Scholar] [CrossRef]
- Mohieldein, A.H.; Hasan, M.; Al-Harbi, K.K.; Alodailah, S.S.; Azahrani, R.M.; Al-Mushawwah, S.A. Dyslipidemia and reduced total antioxidant status in young adult Saudis with prediabetes. Diabetes Metab. Syndr. Clin. Res. Rev. 2015, 9, 287–291. [Google Scholar] [CrossRef]
- Khan, H.A. Clinical significance of HbA1c as a marker of circulating lipids in male and female type 2 diabetic patients. Acta Diabetol. 2007, 44, 193–200. [Google Scholar] [CrossRef]
- Khan, H.A.; Sobki, S.H.; Khan, S.A. Association between glycemic control and serum lipids profile in type 2 diabetic patients: HbA1c predicts dyslipidemia. Clin. Exp. Med. 2007, 7, 24–29. [Google Scholar] [CrossRef] [PubMed]
- Baygi, F.; Herttua, K.; Jensen, O.C.; Djalalinia, S.; Ghorabi, A.M.; Asayesh, H.; Qorbani, M. Global prevalence of cardiometabolic risk factors in the military population: A systematic review and meta-analysis. BMC Endocr. Disord. 2020, 20, 1–17. [Google Scholar] [CrossRef] [Green Version]
- Lee, J.H.; Seo, D.H.; Nam, M.J.; Lee, G.H.; Yang, D.H.; Lee, M.J.; Choi, U.-R.; Hong, S. The Prevalence of Obesity and Metabolic Syndrome in the Korean Military Compared with the General Population. J. Korean Med. Sci. 2018, 33. [Google Scholar] [CrossRef]
- Bin, H.G.; Al-Khashan, H.I.; Mishriky, A.M.; Selim, M.A.; Alnowaiser, N.; Binsaeed, A.A.; Alawad, A.D.; Al-Asmari, A.K.; Alqumaizi, K. Prevalence of obesity among military personnel in Saudi Arabia and associated risk factors. Saudi Med. J. 2013, 34, 401–407. [Google Scholar]
- Knapik, J.J.; Sharp, M.A.; Darakjy, S.; Jones, S.B.; Hauret, K.G.; Jones, B.H. Temporal Changes in the Physical Fitness of US Army Recruits. Sports Med. 2006, 36, 613–634. [Google Scholar] [CrossRef] [PubMed]


| Variable | Mean ± SD | Median [Range] | 95% Confidence Interval |
|---|---|---|---|
| Age (years) | 20.16 ± 2.93 | 19.0 [18.0–30.0] | 20.03–20.29 |
| Height (cm) | 169.38 ± 6.88 | 169.0 [136.5–192.0] | 169.08–169.68 |
| Weight (kg) | 75.26 ± 23.94 | 74.0 [35.0–138.0] | 74.21–76.31 |
| Education (years of study) | 13.27 ± 12.0 | 12.0 [9.0–22.0] | 13.18–13.37 |
| BMI (kg/m2) | 26.10 ± 7.49 | 28.00 [10.0–45.0] | 25.77–26.43 |
| Waist Ab (cm) | 65.72 ± 29.35 | 67.0 [10.0–130.0] | 76.24–79.19 |
| Systolic blood pressure (mm/Hg) | 133.93 ± 13.29 | 134.00 [93–202] | 133.37–134.53 |
| Diastolic blood pressure (mm/Hg) | 79.89 ± 12.31 | 79.0 [43–162] | 79.37–80.45 |
| Pulse rate (counts/min) | 84.77 ± 13.97 | 84.0 [44–137] | 84.18–85.40 |
| Frequency (N) | Percent (%) | |
|---|---|---|
| Age | ||
| ≤21.0 | 1448 | 72.0 |
| 22.0–26.0 | 513 | 25.5 |
| 27.0–30.0 | 49 | 2.4 |
| Total | 2010 | 100.0 |
| Education | ||
| ≤14.0 (First period of education) | 1470 | 73.1 |
| 15.0–19.0 (Second period of education) | 533 | 26.5 |
| 20.0+ (Third, longest period of education) | 7 | 0.3 |
| Total | 2010 | 100.0 |
| Marital status | ||
| Married | 77 | 3.8 |
| Single | 1932 | 96.1 |
| Divorced | 1 | 0.1 |
| Total | 2010 | 100.0 |
| Family members > 18y | ||
| ≤5 (Usual family) | 1259 | 62.6 |
| 6–10 (Slightly large family) | 588 | 29.3 |
| 11–15 (Medium large family) | 141 | 7.0 |
| 16+ (Large family) | 22 | 1.1 |
| Total | 2010 | 100.0 |
| Monthly income (Saudi Riyals) | ||
| 10,000 (Low) | 977 | 48.6 |
| 11,000–20,000 (Medium) | 843 | 41.9 |
| >20,000 (High) | 137 | 6.8 |
| Refused to answer | 53 | 2.6 |
| Total | 2010 | 100.0 |
| Frequency (N) | Percent (%) | |
|---|---|---|
| BMI | ||
| ≤18.4 (Underweight) | 574 | 28.6 |
| 18.5–24.9 (Normal weight) | 281 | 14.0 |
| 25.0–29.9 (Overweight) | 226 | 11.2 |
| >30.0 (Obese) | 929 | 46.2 |
| Total | 2010 | 100.0 |
| Waist circumference | ||
| Normal (≤94 cm) | 1514 | 75.3 |
| Abnormal (>94 cm) | 496 | 24.7 |
| Total | 2010 | 100.0 |
| Blood pressure (systolic) | ||
| ≤129.0 (Normal) | 737 | 36.7 |
| >129.0 (Abnormal) | 1273 | 63.3 |
| Total | 2010 | 100.0 |
| Blood pressure (diastolic) | ||
| ≤84.0 (Normal) | 1261 | 62.7 |
| >84.0 (Abnormal) | 749 | 37.3 |
| Total | 2010 | 100.0 |
| Pulse/min | ||
| ≤72 (Normal) | 378 | 18.8 |
| >72 (High) | 1632 | 81.2 |
| Total | 2010 | 100.0 |
| ‘Yes’ Answer | ||
|---|---|---|
| Frequency (N) | Percent (%) | |
| Hypertension Queries | ||
| Was BP checked by medical professional | 497 | 24.7 |
| Informed of BP | 117 | 5.8 |
| Informed of BP last 12 months | 127 | 6.3 |
| Hypertension Treatment Queries | ||
| Any treatment for blood pressure (BP) at present | 10 | 0.5 |
| Medicine being used for last 2 weeks | 13 | 0.6 |
| Advised to reduce salt intake | 43 | 2.1 |
| Advised/treated to reduce body weight | 58 | 2.9 |
| Advised/treated to stop smoking | 48 | 2.4 |
| Advised to start/do more exercise | 64 | 3.2 |
| Herbal medicine for BP control | 3 | 0.1 |
| Diabetes Queries | ||
| Blood sugar checked at clinic | 458 | 22.8 |
| Informed that you have diabetes | 34 | 1.7 |
| Hyperglycemia during last 12 months | 61 | 3.0 |
| Diabetes Treatment Queries | ||
| Currently receiving treatment | 28 | 1.4 |
| Insulin | 0 | 0.0 |
| Oral medication | 31 | 1.5 |
| Prescribed diet | 32 | 1.6 |
| Advised/treated to reduce body weight | 13 | 0.6 |
| Advised/treated to stop smoking | 13 | 0.6 |
| Advised to start/do more exercise | 15 | 0.7 |
| Herbal drugs for diabetes control | 3 | 0.1 |
| Variable | Mean ± SD | Median [Range] | 95% Confidence Interval |
|---|---|---|---|
| Fasting blood glucose (mg/dL) | 105.46 ± 16.77 | 104.0 [65–232] | 104.73–106.20 |
| Total cholesterol (mg/dL) | 190.63 ± 57.84 | 185.70 [58.7–448.4] | 188.10–193.16 |
| High density lipproteins (HDL) (mg/dL) | 66.53 ± 35.72 | 58.00 [7.0–298.0] | 64.97–68.09 |
| Triglycerides (mg/dL) | 110.18 ± 61.02 | 99.00 [12.0–457.0] | 107.51–112.85 |
| Frequency (N) | Percent (%) | |
|---|---|---|
| Fasting Blood sugar (FBS) | ||
| ≤99 mg/dL (Normal fasting blood sugar) | 731 | 36.4 |
| >99 mg/dL (Abnormal fasting blood sugar) | 1279 | 63.6 |
| Total | 2010 | 100.0 |
| Triglycerides (TGs) | ||
| ≤149 mg/dL (Normal TGs) | 1622 | 80.7 |
| >149 mg/dL (High TGs) | 388 | 19.3 |
| Total | 2010 | 100.0 |
| High Density Lipoproteins (HDL) | ||
| ≤40 mg/dL (Low) | 235 | 11.7 |
| >40 mg/dL (Normal) | 1775 | 88.3 |
| Total | 2010 | 100.0 |
| Triplets | Met-S Components | With High Cut-Off, N | Percent (%) | 95% Confidence Interval |
|---|---|---|---|---|
| Triplet 1 (BMI/FBS/BP) | BMI | 1114 | 55.4 | 53.2–57.5 |
| FBS | 1279 | 63.6 | 61.5–65.7 | |
| BPS/BPD | 1262 | 62.8 | 60.6–64.8 | |
| Filter count | 260 | 12.9 | 11.4–14.4 | |
| Triplet 2 (BMI/FBS/TGs) | BMI | 1114 | 55.4 | 53.2–57.5 |
| FBS | 1279 | 63.6 | 61.5–65.7 | |
| TGs | 382 | 19.0 | 17.2–20.7 | |
| Filter count | 157 | 7.8 | 6.6–8.9 | |
| Triplet 3 (BMI/FBS/HDL) | BMI | 1114 | 55.4 | 53.2–57.5 |
| FBS | 1279 | 63.6 | 61.5–65.7 | |
| HDL | 254 | 12.6 | 11.2–14.1 | |
| Filter count | 106 | 5.3 | 4.3–6.2 | |
| Triplet 4 (BMI/BP/TGs) | BMI | 1114 | 55.4 | 53.2–57.5 |
| BP | 1262 | 62.8 | 60.6–64.8 | |
| TGs | 382 | 19.0 | 17.2–20.7 | |
| Filter count | 90 | 4.5 | 3.6–5.4 | |
| Triplet 5 (BMI/BP/HDL) | BMI | 1114 | 55.4 | 53.2–57.5 |
| BP | 1262 | 62.8 | 60.6–64.8 | |
| HDL | 254 | 12.6 | 11.2–14.1 | |
| Filter count | 50 | 2.5 | 1.8–3.2 | |
| Triplet 6 (BMI/TGs/HDL) | BMI | 1114 | 55.4 | 53.2–57.5 |
| TGs | 384 | 19.1 | 17.4–20.8 | |
| HDL | 254 | 12.6 | 11.2–14.1 | |
| Filter count | 36 | 1.8 | 1.2–2.3 | |
| Total Met-S (Triplets 1–6) | Cumulative filter count | 488 | 24.3 | 22.4–26.1 |
Publisher’s Note: MDPI stays neutral with regard to jurisdictional claims in published maps and institutional affiliations. |
© 2021 by the authors. Licensee MDPI, Basel, Switzerland. This article is an open access article distributed under the terms and conditions of the Creative Commons Attribution (CC BY) license (https://creativecommons.org/licenses/by/4.0/).
Share and Cite
Al-Shehri, H.A.; Al-Asmari, A.K.; Khan, H.A.; Horaib, G.B.; Al-Buraidi, A.; Al-Sharif, A.A.; Kadasah, S.G.; Al-Omani, S.; Mohammed, F.S.; Abbasmanthiri, R.; et al. Recent Trends of Metabolic Syndrome and Its Components in Military Recruits from Saudi Arabia. Medicines 2021, 8, 65. https://doi.org/10.3390/medicines8110065
Al-Shehri HA, Al-Asmari AK, Khan HA, Horaib GB, Al-Buraidi A, Al-Sharif AA, Kadasah SG, Al-Omani S, Mohammed FS, Abbasmanthiri R, et al. Recent Trends of Metabolic Syndrome and Its Components in Military Recruits from Saudi Arabia. Medicines. 2021; 8(11):65. https://doi.org/10.3390/medicines8110065
Chicago/Turabian StyleAl-Shehri, Hamoud Abdullah, Abdulrahman Khazim Al-Asmari, Haseeb Ahmad Khan, Ghaleb Bin Horaib, Ahmed Al-Buraidi, Abdullah Ali Al-Sharif, Saeed Ghander Kadasah, Saud Al-Omani, Fayez S. Mohammed, Rajamohamed Abbasmanthiri, and et al. 2021. "Recent Trends of Metabolic Syndrome and Its Components in Military Recruits from Saudi Arabia" Medicines 8, no. 11: 65. https://doi.org/10.3390/medicines8110065
APA StyleAl-Shehri, H. A., Al-Asmari, A. K., Khan, H. A., Horaib, G. B., Al-Buraidi, A., Al-Sharif, A. A., Kadasah, S. G., Al-Omani, S., Mohammed, F. S., Abbasmanthiri, R., & Osman, N. M. (2021). Recent Trends of Metabolic Syndrome and Its Components in Military Recruits from Saudi Arabia. Medicines, 8(11), 65. https://doi.org/10.3390/medicines8110065

