Development of Newly Synthesized Chromone Derivatives with High Tumor Specificity against Human Oral Squamous Cell Carcinoma
Abstract
1. Introduction
2. Adverse Effects of Anticancer Drugs
2.1. Oral Mucositis Associated with Anticancer Drug
2.2. Neurotoxicity of Anticancer Drugs
2.3. Chemotherapy Extravasation
3. Development of Newly Synthesized Chromone Derivatives with High Tumor Specificity, but Low Keratinocyte Toxicity
3.1. Why We Focused on the Chromones
3.2. Synthesis of Chromones, Esters, and Amides
- Chromone derivatives:
- having intact chromone ring: 3-styrylchromones (A), 2-styrylchromones (B), 2-(N-cyclicamino)chromones (C), 3-(N-cyclicamino)chromones (D), 2-azolylchromones (E), 3-benzylidenechromones (F), pyrano[4,3-b]chromones (G), furo[2,3-b]chromones (H).
- having chromen ring: 3-styrylchromenes (I) and 3-flavens (J) (unpublished).
- having cleaved chromone ring: aurones (K) and chalcones (L).
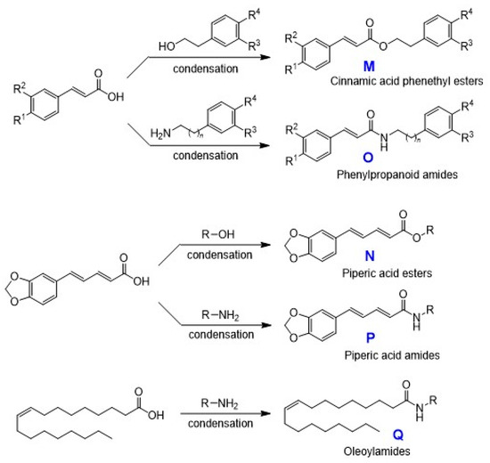
- Esters: cinnamic acid phenethyl esters (M) and piperic acid esters (N).
- Amides: phenylpronanoid amides (O), piperic acid amides (P), and oleoylamides (Q) (Figure 4).
3.3. Tumor Specificity of Chromones, Esters, and Amides
3.4. Mechanism of Action
3.5. Other Biological Actions of Chromones, Esters, and Amides
4. Serious Problems of Neurotoxicity in G2 + M Blocker
5. Conclusions and Future Direction
- (i)
- Chromone showed much higher tumor specificity as compared with three major polyphenols.
- (ii)
- A total 291 newly synthesized compounds of 17 groups (consisting of 12 chromones, 2 esters, and 3 amides) gave a wide range of the intensity of tumor specificity.
- (iii)
- Their tumor specificity is correlated with chemical descriptors that reflect 3D structure and electric state.
- (iv)
- 7-Methoxy-3-[(1E)-2-phenylethenyl]-4H-1-benzopyran-4-one (compound 22), which belongs to 3-styrylchromones, showed the highest tumor specificity. Compound 22 induced subG1 and G2 + M cell population in human OSCC cell line, with much less keratinocyte toxicity as compared with doxorubicin and 5-FU. This compound can be used as a lead compound to manufacture more active compound.
Supplementary Materials
Author Contributions
Funding
Acknowledgments
Conflicts of Interest
References
- Bellm, L.A.; Epstein, J.B.; Rose-Ped, A.; Martin, P.; Fuchs, H.J. Patient reports of complications of bone marrow transplantation. Support. Care Cancer 2000, 8, 33–39. [Google Scholar] [CrossRef] [PubMed]
- Vera-Llonch, M.; Oster, G.; Ford, C.M.; Lu, J.; Sonis, S. Oral mucositis and outcomes of allogeneic hematopoietic stem-cell transplantation in patients with hematologic malignancies. Support. Care Cancer 2007, 15, 491–496. [Google Scholar] [CrossRef] [PubMed]
- Seretny, M.; Currie, G.L.; Sena, E.S.; Ramnarine, S.; Grant, R.; MacLeod, M.R.; Colvin, L.A.; Fallon, M. Incidence, prevalence, and predictors of chemotherapy-induced peripheral neuropathy: A systematic review and meta-analysis. Pain 2014, 155, 2461–2470. [Google Scholar] [CrossRef] [PubMed]
- Mollman, J.E.; Hogan, W.M.; Glover, D.J.; McCluskey, L.F. Unusual presentation of cis-platinum neuropathy. Neurology 1988, 38, 488–490. [Google Scholar] [CrossRef] [PubMed]
- Argyriou, A.A.; Polychronopoulos, P.; Iconomou, G.; Chroni, E.; Kalofonos, H.P. A review on oxaliplatin-induced peripheral nerve damage. Cancer Treat. Rev. 2008, 34, 368–377. [Google Scholar] [CrossRef] [PubMed]
- Heinzlef, O.; Lotz, J.P.; Roullet, E. Severe neuropathy after high dose carboplatin in three patients receiving multidrug chemotherapy. J. Neurol. Neurosurg. Psychiatry 1998, 64, 667–669. [Google Scholar] [CrossRef] [PubMed]
- Mielke, S.; Sparreboom, A.; Steinberg, S.M.; Gelderblom, H.; Unger, C.; Behringer, D.; Mross, K. Association of Paclitaxel pharmacokinetics with the development of peripheral neuropathy in patients with advanced cancer. Clin. Cancer Res. 2005, 11, 4843–4850. [Google Scholar] [CrossRef] [PubMed]
- Hilkens, P.H.; Verweij, J.; Stoter, G.; Vecht, C.J.; van Putten, W.L.; van den Bent, M.J. Peripheral neurotoxicity induced by docetaxel. Neurology 1996, 46, 104–108. [Google Scholar] [CrossRef] [PubMed]
- Legha, S.S. Vincristine neurotoxicity. Pathophysiology and management. Med. Toxicol. 1986, 1, 421–427. [Google Scholar] [CrossRef] [PubMed]
- Han, Y.; Smith, M.T. Pathobiology of cancer chemotherapy-induced peripheral neuropathy (CIPN). Front. Pharm. 2013, 4, 156. [Google Scholar] [CrossRef] [PubMed]
- Bahrami, M.; Karimi, T.; Yadegarfar, G.; Norouzi, A. Assessing the Quality of Existing Clinical Practice Guidelines for Chemotherapy Drug Extravasation by Appraisal of Guidelines for Research and Evaluation II. Iran. J. Nurs. Midwifery Res. 2019, 24, 410–416. [Google Scholar] [CrossRef] [PubMed]
- Boulanger, J.; Ducharme, A.; Dufour, A.; Fortier, S.; Almanric, K. Management of the extravasation of anti-neoplastic agents. Support. Care Cancer 2015, 23, 1459–1471. [Google Scholar] [CrossRef] [PubMed]
- Ener, R.A.; Meglathery, S.B.; Styler, M. Extravasation of systemic hemato-oncological therapies. Ann. Oncol. 2004, 15, 858–862. [Google Scholar] [CrossRef] [PubMed]
- Biffi, R.; Pozzi, S.; Agazzi, A.; Pace, U.; Floridi, A.; Cenciarelli, S.; Peveri, V.; Cocquio, A.; Andreoni, B.; Martinelli, G. Use of totally implantable central venous access ports for high-dose chemotherapy and peripheral blood stem cell transplantation: Results of a monocentre series of 376 patients. Ann. Oncol. 2004, 15, 296–300. [Google Scholar] [CrossRef] [PubMed]
- Froiland, K. Extravasation injuries: Implications for WOC nursing. J. Wound Ostomy Cont. Nurs. 2007, 34, 299–302. [Google Scholar] [CrossRef] [PubMed]
- Lemmers, N.W.; Gels, M.E.; Sleijfer, D.T.; Plukker, J.T.; van der Graaf, W.T.; de Langen, Z.J.; Droste, J.H.; Koops, H.S.; Hoekstra, H.J. Complications of venous access ports in 132 patients with disseminated testicular cancer treated with polychemotherapy. J. Clin. Oncol. 1996, 14, 2916–2922. [Google Scholar] [CrossRef] [PubMed][Green Version]
- Voog, E.; Campion, L.; du Rusquec, P.; Bourgeois, H.; Domont, J.; Denis, F.; Emmanuel, E.; Dupuis, O.; Ganem, G.; Lafont, C.; et al. Totally implantable venous access ports: A prospective long-term study of early and late complications in adult patients with cancer. Support. Care Cancer 2018, 26, 81–89. [Google Scholar] [CrossRef] [PubMed]
- Harrold, K.; Gould, D.; Drey, N. The management of cytotoxic chemotherapy extravasation: A systematic review of the literature to evaluate the evidence underpinning contemporary practice. Eur. J. Cancer Care 2015, 24, 771–800. [Google Scholar] [CrossRef] [PubMed]
- Kreidieh, F.Y.; Moukadem, H.A.; Saghir, N.S.E. Overview, prevention and management of chemotherapy extravasation. World J. Clin. Oncol. 2016, 7, 87–97. [Google Scholar] [CrossRef] [PubMed]
- Fidalgo, J.A.P.; Fabregat, L.G.; Cervantes, A.; Margulies, A.; Vidall, C.; Roila, F. Management of chemotherapy extravasation: ESMO-EONS Clinical Practice Guidelines. Ann. Oncol. 2012, 23, 167–173. [Google Scholar] [CrossRef] [PubMed]
- Boschi, R.; Rostagno, E. Extravasation of antineoplastic agents: Prevention and treatments. Pediatric Rep. 2012, 4, e28. [Google Scholar] [CrossRef] [PubMed]
- Sakagami, H. Biological activities and possible dental application of three major groups of polyphenols. J. Pharm. Sci. 2014, 126, 92–106. [Google Scholar] [CrossRef] [PubMed]
- Takao, K.; Ishikawa, R.; Sugita, Y. Synthesis and biological evaluation of 3-styrylchromone derivatives as free radical scavengers and α-glucosidase inhibitors. Chem. Pharm. Bull. 2014, 62, 810–815. [Google Scholar] [CrossRef] [PubMed]
- Takao, K.; Endo, S.; Nagai, J.; Kamauchi, H.; Takemura, Y.; Uesawa, Y.; Sugita, Y. 2-Styrylchromone derivatives as potent and selective monoamine oxidase B inhibitors. Bioorg. Chem. 2019, 92, 103285. [Google Scholar] [CrossRef] [PubMed]
- Takao, K.; Sakatsume, T.; Kamauchi, H.; Sugita, Y. Syntheses and evaluation of 2- or 3-(N-cyclicamino) chromone derivatives as monoamine oxidase inhibitors. Chem. Pharm. Bull. 2020, in press. [Google Scholar]
- Takao, K.; Saito, T.; Chikuda, D.; Sugita, Y. 2-Azolylchromone derivatives as potent and selective inhibitors of monoamine oxidases A and B. Chem. Pharm. Bull. 2016, 64, 1499–1504. [Google Scholar] [CrossRef] [PubMed]
- Takao, K.; Yamashita, M.; Yashiro, A.; Sugita, Y. Synthesis and biological evaluation of 3-benzylidene-4-chromanone derivatives as free radical scavengers and α-glucosidase inhibitors. Chem. Pharm. Bull. 2016, 64, 1203–1207. [Google Scholar] [CrossRef] [PubMed]
- Takao, K.; Kubota, Y.; Kamauchi, H.; Sugita, Y. Synthesis and biological evaluation of pyrano[4,3-b][1]benzopyranone derivatives as monoamine oxidase and cholinesterase inhibitors. Bioorg. Chem. 2019, 83, 432–437. [Google Scholar] [CrossRef] [PubMed]
- Sugita, Y.; Kawai, K.; Yokoe, I. Diastereoselective ring-expansion reaction of methanochromanone with aldehydes: Formation of trans-fused tetrahydrofuro[2,3-b][1]benzopyranones and their isomerization. Heterocycles 2001, 55, 135–144. [Google Scholar] [CrossRef][Green Version]
- Takao, K.; Yahagi, H.; Uesawa, U.; Sugita, Y. 3-(E)-Styryl-2H-chromene derivatives as potent and selective monoamine oxidase B inhibitors. Bioorg. Chem. 2018, 77, 436–442. [Google Scholar] [CrossRef] [PubMed]
- Devakaram, R.; Black, D.S.; Andrews, K.T.; Fisher, G.M.; Davis, R.A.; Kumar, N. Synthesis and antimalarial evaluation of novel benzopyrano[4,3-b]benzopyran derivatives. Bioorg. Med. Chem. 2011, 19, 5199–5206. [Google Scholar] [CrossRef] [PubMed]
- Okombi, S.; Rival, D.; Bonnet, S.; Mariotte, A.M.; Perrier, E.; Boumendjel, A. Discovery of benzylidenebenzofuran-3(2H)-one (aurone) as inhibitors of tyrosinase derived from human melanocytes. J. Med. Chem. 2006, 49, 329–333. [Google Scholar] [CrossRef] [PubMed]
- Shimada, C.; Uesawa, Y.; Ishii-Nozawa, R.; Ishihara, M.; Kagaya, H.; Kanamoto, T.; Terakubo, S.; Nakashima, H.; Takao, K.; Sugita, Y.; et al. Quantitative structure-cytotoxicity relationship of 3-styrylchromones. Anticancer Res. 2014, 34, 5405–5411. [Google Scholar] [PubMed]
- Sakagami, H.; Shimada, C.; Kanda, Y.; Amano, O.; Sugimoto, M.; Ota, S.; Soga, T.; Tomita, M.; Sato, A.; Tanuma, S.I.; et al. Effects of 3-styrylchromones on metabolic profiles and cell death in oral squamous cell carcinoma cells. Toxicol. Rep. 2015, 2, 1281–1290. [Google Scholar] [CrossRef] [PubMed]
- Takao, K.; Hoshi, K.; Sakagami, H.; Shi, H.; Bandow, K.; Nagai, J.; Uesawa, Y.; Tomomura, A.; Tomomura, M.; Sugita, Y. Further Quantitative Structure-Cytotoxicity Relationship Analysis of 3-Styrylchromones. Anticancer Res. 2020, 40, 87–95. [Google Scholar] [CrossRef]
- Momoi, K.; Sugita, Y.; Ishihara, M.; Satoh, K.; Kikuchi, H.; Hashimoto, K.; Yokoe, I.; Nishikawa, H.; Fujisawa, S.; Sakagami, H. Cytotoxic activity of styrylchromones against human tumor cell lines. In Vivo 2005, 19, 157–163. [Google Scholar] [PubMed]
- Uesawa, Y.; Nagai, J.; Shi, H.; Sakagami, H.; Bandow, K.; Tomomura, A.; Tomomura, M.; Endo, S.; Takao, K.; Sugita, Y. Quantitative Structure-Cytotoxicity Relationship of 2-Styrylchromones. Anticancer Res. 2019, 39, 6489–6498. [Google Scholar] [CrossRef]
- Shi, H.; Nagai, J.; Sakatsume, T.; Bandow, K.; Okudaira, N.; Sakagami, H.; Tomomura, M.; Tomomura, A.; Uesawa, Y.; Takao, K.; et al. Quantitative Structure-Cytotoxicity Relationship of 2-(N-cyclicamino)chromone Derivatives. Anticancer Res. 2018, 38, 3897–3906. [Google Scholar] [CrossRef]
- Shi, H.; Nagai, J.; Sakatsume, T.; Bandow, K.; Okudaira, N.; Uesawa, Y.; Sakagami, H.; Tomomura, M.; Tomomura, A.; Takao, K.; et al. Quantitative Structure-Cytotoxicity Relationship of 3-(N-Cyclicamino)chromone Derivatives. Anticancer Res. 2018, 38, 4459–4467. [Google Scholar] [CrossRef]
- Sakagami, H.; Okudaira, N.; Uesawa, Y.; Takao, K.; Kagaya, H.; Sugita, Y. Quantitative Structure-Cytotoxicity Relationship of 2-Azolylchromones. Anticancer Res. 2018, 38, 763–770. [Google Scholar] [CrossRef]
- Nagai, J.; Shi, H.; Sezaki, N.; Yoshida, N.; Bandow, K.; Uesawa, Y.; Sakagami, H.; Tomomura, M.; Tomomura, A.; Takao, K.; et al. Quantitative Structure-Cytotoxicity Relationship of 2-Arylazolylchromones and 2-Triazolylchromones. Anticancer Res. 2019, 39, 6479–6488. [Google Scholar] [CrossRef] [PubMed]
- Uesawa, Y.; Sakagami, H.; Kagaya, H.; Yamashita, M.; Takao, K.; Sugita, Y. Quantitative Structure-cytotoxicity Relationship of 3-Benzylidenechromanones. Anticancer Res. 2016, 36, 5803–5812. [Google Scholar] [CrossRef] [PubMed]
- Nagai, J.; Shi, H.; Kubota, Y.; Bandow, K.; Okudaira, N.; Uesawa, Y.; Sakagami, H.; Tomomura, M.; Tomomura, A.; Takao, K.; et al. Quantitative Structure-Cytotoxicity Relationship of Pyrano[4,3-b]chromones. Anticancer Res. 2018, 38, 4449–4457. [Google Scholar] [CrossRef] [PubMed]
- Uesawa, Y.; Sakagami, H.; Shi, H.; Hirose, M.; Takao, K.; Sugita, Y. Quantitative Structure-Cytotoxicity Relationship of Furo[2,3-b]chromones. Anticancer Res. 2018, 38, 3283–3290. [Google Scholar] [CrossRef] [PubMed]
- Uesawa, Y.; Sakagami, H.; Ishihara, M.; Kagaya, H.; Kanamoto, T.; Terakubo, S.; Nakashima, H.; Yahagi, H.; Takao, K.; Sugita, Y. Quantitative Structure-Cytotoxicity Relationship of 3-Styryl-2H-chromenes. Anticancer Res. 2015, 35, 5299–5307. [Google Scholar] [PubMed]
- Uesawa, Y.; Sakagami, H.; Ikezoe, N.; Takao, K.; Kagaya, H.; Sugita, Y. Quantitative Structure-Cytotoxicity Relationship of Aurones. Anticancer Res. 2017, 37, 6169–6176. [Google Scholar] [CrossRef]
- Sakagami, H.; Masuda, Y.; Tomomura, M.; Yokose, S.; Uesawa, Y.; Ikezoe, N.; Asahara, D.; Takao, K.; Kanamoto, T.; Terakubo, S.; et al. Quantitative Structure-Cytotoxicity Relationship of Chalcones. Anticancer Res. 2017, 37, 1091–1098. [Google Scholar] [CrossRef]
- Uesawa, Y.; Sakagami, H.; Okudaira, N.; Toda, K.; Takao, K.; Kagaya, H.; Sugita, Y. Quantitative Structure-Cytotoxicity Relationship of Cinnamic Acid Phenetyl Esters. Anticancer Res. 2018, 38, 817–823. [Google Scholar] [CrossRef]
- Sakagami, H.; Uesawa, Y.; Masuda, Y.; Tomomura, M.; Yokose, S.; Miyashiro, T.; Murai, J.; Takao, K.; Kanamoto, T.; Terakubo, S.; et al. Quantitative Structure-Cytotoxicity Relationship of Newly Synthesized Piperic Acid Esters. Anticancer Res. 2017, 37, 6161–6168. [Google Scholar] [CrossRef]
- Shimada, C.; Uesawa, Y.; Ishihara, M.; Kagaya, H.; Kanamoto, T.; Terakubo, S.; Nakashima, H.; Takao, K.; Saito, T.; Sugita, Y.; et al. Quantitative structure-cytotoxicity relationship of phenylpropanoid amides. Anticancer Res. 2014, 34, 3543–3548. [Google Scholar] [PubMed]
- Shimada, C.; Uesawa, Y.; Ishihara, M.; Kagaya, H.; Kanamoto, T.; Terakubo, S.; Nakashima, H.; Takao, K.; Miyashiro, T.; Sugita, Y.; et al. Quantitative structure-cytotoxicity relationship of piperic acid amides. Anticancer Res. 2014, 34, 4877–4884. [Google Scholar] [PubMed]
- Sakagami, H.; Uesawa, Y.; Ishihara, M.; Kagaya, H.; Kanamoto, T.; Terakubo, S.; Nakashima, H.; Takao, K.; Sugita, Y. Quantitative Structure-Cytotoxicity Relationship of Oleoylamides. Anticancer Res. 2015, 35, 5341–5351. [Google Scholar] [PubMed]
- Sakagami, H.; Watanabe, T.; Hoshino, T.; Suda, N.; Mori, K.; Yasui, T.; Yamauchi, N.; Kashiwagi, H.; Gomi, T.; Oizumi, T.; et al. Recent Progress of Basic Studies of Natural Products and Their Dental Application. Medicines 2018, 6, 4. [Google Scholar] [CrossRef] [PubMed]
- Sakagami, H.; Okudaira, N.; Masuda, Y.; Amano, O.; Yokose, S.; Kanda, Y.; Suguro, M.; Natori, T.; Oizumi, H.; Oizumi, T. Induction of Apoptosis in Human Oral Keratinocyte by Doxorubicin. Anticancer Res. 2017, 37, 1023–1029. [Google Scholar] [CrossRef] [PubMed]
- Takao, K.; Toda, K.; Saito, T.; Sugita, Y. Synthesis of amide and ester derivatives of cinnamic acid and its analogs: Evaluation of their free radical scavenging and monoamine oxidase and cholinesterase inhibitory activities. Chem. Pharm. Bull. 2017, 65, 1020–1027. [Google Scholar] [CrossRef] [PubMed]
- Takao, K.; Miyashiro, T.; Sugita, Y. Synthesis and biological evaluation of piperic acid amides as free radical scavengers and α-glucosidase inhibitors. Chem. Pharm. Bull. 2015, 63, 326–333. [Google Scholar] [CrossRef] [PubMed][Green Version]
- Yang, C.P.H.; Horwitz, S.B. Taxol®: The first microtubule stabilizing agent. Int. J. Mol. Sci. 2017, 18, 1733. [Google Scholar] [CrossRef] [PubMed]
- Iijima, Y.; Bandow, K.; Sano, M.; Hino, S.; Kaneko, T.; Horie, N.; Sakagami, H. In vitro assessment of antitumor potential and combination Effect of classical and molecular-targeted anticancer drugs. Anticancer Res. 2019, 39, 6673–6684. [Google Scholar] [CrossRef] [PubMed]
- Marinho, J.; Pedro, M.; Pinto, D.C.; Silva, A.M.; Cavaleiro, J.A.; Sunkel, C.E.; Nascimento, M.S. 4′-methoxy-2-styrylchromone a novel microtubule-stabilizing antimitotic agent. Biochem. Pharmacol. 2008, 75, 826–835. [Google Scholar] [CrossRef]
- Soo, H.C.; Chung, F.F.; Lim, K.H.; Yap, V.A.; Bradshaw, T.D.; Hii, L.W.; Tan, S.H.; See, S.J.; Tan, Y.F.; Leong, C.O.; et al. Cudraflavone C Induces Tumor-Specific Apoptosis in Colorectal Cancer Cells through Inhibition of the Phosphoinositide 3-Kinase (PI3K)-AKT Pathway. PLoS ONE 2017, 12, e0170551. [Google Scholar] [CrossRef]
- Da Costa, R.; Passos, G.F.; Quintão, N.L.M.S.; Fernandes, E.; Maia, J.R.L.C.B.; Campos, M.M.; Calixto, J.B. Taxane-induced neurotoxicity: Pathophysiology and therapeutic perspectives. Br. J. Pharmacol. 2020, 177, 3127–3146. [Google Scholar] [CrossRef] [PubMed]
- Pittman, S.K.; Gracias, N.G.; Fehrenbacher, J.C. Nerve growth factor alters microtubule targeting agent-induced neurotransmitter release but not MTA-induced neurite retraction in sensory neurons. Exp. Neurol. 2016, 279, 104–115. [Google Scholar] [CrossRef] [PubMed]
- Rovini, A.; Savry, A.; Braguer, D.; Carré, M. Microtubule-targeted agents: When mitochondria become essential to chemotherapy. Biochim. Biophys. Acta 2011, 1807, 679–688. [Google Scholar] [CrossRef] [PubMed]
- Iijima, Y.; Bandow, K.; Amano, S.; Sano, M.; Hino, S.; Kaneko, T.; Horie, N.; Sakagami, H. Protection of bortezomib-induced neurotoxicity by antioxidants. Anticancer Res. 2020, 40, 3685–3696. [Google Scholar] [CrossRef] [PubMed]
- Johnson, T.L.; Lai, M.B.; Lai, J.C.; Bhushan, A. Inhibition of Cell Proliferation and MAP Kinase and Akt Pathways in Oral Squamous cell Carcinoma by Genistein and Biochanin, A. Evid. Based Complement. Altern. Med. 2010, 7, 351–358. [Google Scholar] [CrossRef] [PubMed]
- Kim, M.J.; Lee, J.H.; Kim, Y.K.; Myoung, H.; Yun, P.Y. The role of tamoxifen in combination with cisplatin on oral squamous cell carcinoma cell lines. Oral. Oncol. 2008, 44, 94–99. [Google Scholar] [CrossRef] [PubMed]
- Colella, G.; Izzo, G.; Carinci, F.; Campisi, G.; Muzio, L.L.; D’Amato, S.; Mazzotta, M.; Cannavale, R.; Ferrara, D.; Minucci, S. Expression of sexual hormones receptors in oral squamous cell carcinoma. Int. J. Immunopathol. Pharm. 2011, 24, 129–132. [Google Scholar] [CrossRef] [PubMed]







| Reported Incidence (%) | |||
|---|---|---|---|
| Classification | Drugs | Oral Mucositis | Peripheral Neuropathy |
| Vinca alkaloid | Vinorelbine (VNR) | 15.2 | 12.2 |
| vinblastine (VBL) | 0.4 | 2.2 | |
| Vincristine (VCR) | 0.1 | 25.5 | |
| Microtubule inhibitor | Eribulin (ERI) | 39.5 | 24.7 |
| Platinum | CDDP (cisplatin) | 2.6 | 1.5 |
| L-OHP (oxaliplatin) | 12.0 | 45.5 | |
| CBDCA (carboplatin) | N.D. | N.D. | |
| Taxane | DTX (docetaxel) | N.D. | N.D. |
| PTX (paclitaxel) | 18.2 | 55.0 | |
| NabPTX (paclitaxel) | 2.8 | 39.0 | |
| Antimetabolite | 5-FU (fluorouracil) | 6.7 | 0.2 |
| GEM (gemcitabine) | N.D. | N.D. | |
| Topoisomerase inhibitor | IRT (irinotecan) | N.D. | N.D. |
| ETP (etoposide) | N.D. | N.D. | |
| Anthracycline | DOX (doxorubicin) | 51.7 | 27.6 |
| Molecular target drug | Rmab (ramucirumab) | 54.3 | N.D. |
| Cmab (cetuximab) | >10.0 | 0.5~10.0 | |
| Nmab (nivolumab) | 1.0~5.0 | 3.1 | |
| Proteasome inhibitor | Bmib (bortezomib) | <5 | 28.3 |
| Type of Damages | Principal Categories | Drugs |
|---|---|---|
| Vesicants | DNA-binding compounds | |
| Anthracyclines | Amrubicin; Daunorubicin; Doxorubicin; Epirubicin; | |
| Idarubicin; Mitoxantrone; Pirarubicin | ||
| Alkylating agents | Bendamustine; Busulfan; Carmustine; Melphalan; | |
| Nimustine; Ranimustine; Streptozocin | ||
| Antitumor antibiotic | Actinomycin D | |
| Other | Trabectedin | |
| Non-DNA-binding compounds | ||
| Taxanes | Docetaxel; Paclitaxel; Nab-paclitaxel | |
| Vinka alkaloids | Vinblastine; Vincristine; Vindesine; Vinorelbine | |
| Others | ||
| Antibody–drug conjugate | Gemtuzumab ozogamicin | |
| Antitumor antibiotic | Mitomycin C | |
| Irritants | Anthracyclines | Aclarubicin; Liposomal doxorubicin |
| Alkylating agents | Dacarbazine; Cyclophosphamide; Ifosfamide; Temozolomide | |
| Antibody–drug conjugate | Trastuzumab emtansine | |
| Antimetabolites | Azacitidine; Gemcitabine; Fluorouracil; Tegafur | |
| Antitumor antibiotics | Bleomycin; Peplomycin | |
| Platinum salts | Carboplatin; Cisplatin Oxaliplatin; Nedaplatin; Miriplatin | |
| Proteasome inhibitor | Bortezomib | |
| Taxane | Cabazitaxel | |
| Topoisomerase I inhibitors | Irinotecan; Topotecan | |
| Topoisomerase II inhibitor | Etoposide | |
| Others | Arsenic Trioxide; Nelarabine; Picibanil; Porfimer; sodium | |
| Nonvesicants/Nonirritants | Antimetabolites | Cladribine; Clofarabine; Cytarabine; Enocitabine |
| Fludarabine; Methotrexate; Pemetrexed | ||
| Antibody–drug conjugates | Brentuximab vedotin; Ibritumomab tiuxetan | |
| Antineoplastic agents | Degarelix; Fulvestrant; Goserelin; Leuprorelin | |
| Hormonal | ||
| Monoclonal antibodies | Alemtuzumab; Bevacizumab; Cetuximab; Ipilimumab; | |
| Mogamulizumab; Ofatumumab; Panitumumab; Pertuzumab; Ramucirumab; Rituximab; Trastuzumab | ||
| Monoclonal antibodies (immune checkpoint inhibitors) | Atezolizumab; Avelumab; Durvalumab; Ipilimumab; Nivolumab; Pembrolizumab | |
| Others | BCG; Calcium folinate; Celmoleukin; Dexrazoxane; Eribulin; Interferon; L-asparaginase; Levofolinate; | |
| Octreotide; Pentostatin; Talaporfin sodium; Teceleukin | ||
| Compound | Number of Compounds | Mean TSM (Range) |
|---|---|---|
| Lignin–carbohydrate complexes | 4 | 2.7 (1.7~4.1) 1 |
| Flavones, flavonols | 36 | 1.2 (0.3~3.2) |
| Flavonoids | 31 | 3.2 (0.8~31.7) |
| Isoprenyl flavonoids | 22 | 2.1 (1.6~3.0) |
| Tricin, morin, quercetin, kaempferol | 4 | 1.5(1~2.2) |
| Isoliquiritigenin, datiscetin, galangin | 3 | 2.0 (1~4) |
| Resveratrol, daidzein, genistein | 3 | 2.1 (1.1~2.9) |
| Gallic acid, catechin, epigallocatechin gallate | 3 | 2.1 (1.0~4.1) |
| Procyanidins | 6 | 4.8 (1.0~7.4) |
| Hydrolyzable tannins (monomer) | 7 | 1.5 (1.0~2.5) |
| Hydrolyzable tannins (oligomers) | 3 | 1.4 (1.2~1.5) |
| Large circular ellagitannins | 4 | 4.4 (2.3~8.2) |
| 2-Styrylchromones | 6 | 7.3 (1.1~17.4) |
| 3-Styrylchromones | 15 | 14.9 (1.6~69.0) |
| Anthracyclines | 4 | 181 (47~259) |
| Chemical Descriptors That Correlate with Tumor Specificity | Ref. | |
|---|---|---|
| 3-Styrylchromones (A) | Molecular shape, electrostatic interaction, charge | [33,35] |
| 2-Styrylchromones (B) | Molecular shape and flatness | [37] |
| 2-(N-Cyclicamino)chromones (C) | Molecular shape, 3D-structure | [38] |
| 3-(N-Cyclicamino)chromones (D) | 3D-structure, lipophilicity | [39] |
| 2-Azolylchromones (E) | 3D/topological shape, size, polarizability, lipophilicity | [40,41] |
| 3-Benzylidenechromones (F) | Molecular shape, size, polarization | [42] |
| Pyrano[4,3-b]chromones (G) | 3D structure, polarity, ionic potential, electric state | [43] |
| Furo[2,3-b]chromones (H) | Molecular flexibility, density, size and shape, lipophilicity | [44] |
| 3-Styrylchromenes (I) | Molecular shape and flatness | [45] |
| Aurones (K) | Molecular shape, size, polarizability | [46] |
| Chalcones (L) | Molecular shape and polarization | [47] |
| Cinnamic acid phenethyl esters (M) | Shape, size and ionization potential | [48] |
| Piperic acid esters (N) | Molecular shape, size, ionization potential, electronegativity | [49] |
| Phenylpronanoid amides (O) | Molecular size (surface area), electrostatic interaction | [50] |
| Piperic acid amides (P) | Molecular shape, electrostatic interaction | [51] |
| Oleoylamides (Q) | Molecular polarization and hydrophobicity | [52] |
| CC50 (μM) | |||||||||
|---|---|---|---|---|---|---|---|---|---|
| Normal Oral Cells | |||||||||
| Four | Mesen- | Epithelial | |||||||
| OSCCs | chymal | HOK | HGEP | TSM | TSE | ||||
| Group | Compd. | (a) | (b) | (c) | (d) | (b/a) | (c/a) | (d/a) | Ref. |
| 3-Styrylchromones (A) | 11 | 2.0 | 138 | 19.0 | 800 | 69.0 | 9.5 | 400.0 | [33] |
| 3-Styrylchromones (A) | 22 | 0.6 | 182 | 400 | 301.1 | 662.1 | [35] | ||
| 2-Styrylchromones (B) | 34 | 1.9 | 159 | 100 | 84.1 | 52.8 | [37] | ||
| 2-Styrylchromones (B) | 40 | 3.8 | 336 | 89.1 | |||||
| 2-(N-Cyclicamino)chromones (C) | 62 | 5.5 | 348 | 357.7 | 63.4 | 65.2 | [38] | ||
| 3-(N-Cyclicamino)chromones (D) | 69 | 32.3 | >397 | 400.0 | >12.3 | 12.4 | [39] | ||
| 2-Azolylchromones (E) | 94 | 6.3 | 153 | 24.2 | [40] | ||||
| 2-Azolylchromones (E) | 95 | 1.5 | 36 | 24.1 | |||||
| 2-Azolylchromones (E) | 107 | 18.4 | 389 | 21.2 | [41] | ||||
| 3-Benzylidenechromones (F) | 136 | 7.3 | >400 | 3.8 | 3.3 | 55.2 | 0.5 | 0.5 | [42] |
| Pyrano[4,3-b]chromones (G) | 154 | 5.0 | 240 | 20.3 | 47.8 | 4.1 | [43] | ||
| Furo[2,3-b]chromones (H) | 168 | 37.2 | 261 | 7.0 | [44] | ||||
| 3-Styrylchromenes (I) | 182 | 4.7 | 280 | 59.9 | [45] | ||||
| 3-Flavens (J) | 194 | 73.3 | 348 | 4.7 | |||||
| Aurones (K) | 203 | 41.4 | >400 | >9.7 | [46] | ||||
| Chalcones (L) | 228 | <4.4 | 38 | >8.6 | [47] | ||||
| Cinnamic acid phenethyl esters (M) | 237 | 8.5 | 199 | 23.4 | [48] | ||||
| Piperic acid esters (N) | 239 | 37.9 | >400 | >10.5 | [49] | ||||
| Phenylpronanoid amides (O) | 252 | 122.0 | 378 | >3.1 | [50] | ||||
| Piperic acid amides (P) | 269 | 75.0 | >800 | >10.7 | [51] | ||||
| Oleoylamides (Q) | 281 | 0.6 | 9.7 | 2.5 | 0.4 | 15.5 | 4.0 | 0.6 | [52] |
| DXR | 0.1 | 9.7 | 0.1 | 0.027 | 121.8 | 1.5 | 0.3 | [35,39] | |
| 5-FU | 61.8 | 1000.0 | 24.7 | 18.8 | 16.2 | 0.4 | 0.3 | [35] | |
| Group | Compd. | Mechanism of Action | Ref. |
|---|---|---|---|
| 3-Styrylchromones (A) | 11 | Mitochondrial vacuolization caspase-3 ↑ | [34] |
| 3-Styrylchromones (A) | 22 | subG1↑ G2 + M↑ | [35] |
| 2-Styrylchromones (B) | 34, 40 | subG1↑ G2 + M↑ | [37] |
| 2-(N-Cyclicamino)chromones (C) | 62 | No apoptosis cytotoxic | [38] |
| 3-(N-Cyclicamino)chromones (D) | 69 | No apoptosis cytostatic | [39] |
| 2-Azolylchromones (E) | 95 | Caspase-3↑ | |
| 2-Azolylchromones (E) | 107 | G2 + M phase cells↑ No apoptosis cytostatic | [41] |
| Pyrano[4,3-b]chromones (G) | 154 | No apoptosis cytostatic | [43] |
| Furo[2,3-b]chromones (H) | 168 | No apoptosis | [44] |
| Chalcones (L) | 228 | Caspase-3↑ | [47] |
| Cinnamic acid phenethyl esters (M) | 237 | Caspase-3↑ | [48] |
| EC50 or IC50 (μM) | |||||
|---|---|---|---|---|---|
| Group | Inhibition of | Compd. No | Compd. | Positive Control | Ref. |
| 3-Styrylchromones (A) | DPPH radical | 10, 12, 15 | 17, 22, 23 | 23 (ascorbate) | [23] |
| α-glucosidase | 10, 14, 15, 18 | 16, 9, 10. 16 | >100 (acarbose) | [23] | |
| 2-Styrylchromones (B) | MAO-B | 38, 39 | 0.017, 0.024 | 0.22 (Pargyline) | [24] |
| 2-Azolylchromones (E) | MAO-B | 87, 89 | 0.028, 0.019 | 0.22 (Pargyline) | [26] |
| 3-Benzylidenechromones (F) | DPPH radical | 124, 136 | 13, 13 | 12 (ascorbate) | [27] |
| α-glucosidase | 131, 132, 136 | 15, 25, 28 | 900 (acarbose) | [27] | |
| Pyrano[4,3-b]chromones (G) | MAO-B | 153 | 0.2 | 0.22 (Pargyline) | [28] |
| 3-Styrylchromenes (I) | MAO-B | 173, 177, 181 | 0.010, 0.015, 0.016 | 0.22 (Pargyline) | [30] |
| Cinnamic acid phenethyl esters (M) | DPPH radical | 229, 231, 237 | 18, 11, 18 | 23 (ascorbate) | [55] |
| MAO-B | 236 | 0.013, | 0.22 (Pargyline) | [55] | |
| BChE | 230, 235 | 4.9, 6.8 | 7.1 (Neostigmine) | [55] | |
| Phenylpronanoid amides (O) | DPPH radical | 258, 261 | 8.7, 8.1 | 12 (ascorbate) | [55] |
| α-glucosidase | 266, 267 | 30, 29 | 900 (acarbose) | [56] | |
© 2020 by the authors. Licensee MDPI, Basel, Switzerland. This article is an open access article distributed under the terms and conditions of the Creative Commons Attribution (CC BY) license (http://creativecommons.org/licenses/by/4.0/).
Share and Cite
Sugita, Y.; Takao, K.; Uesawa, Y.; Nagai, J.; Iijima, Y.; Sano, M.; Sakagami, H. Development of Newly Synthesized Chromone Derivatives with High Tumor Specificity against Human Oral Squamous Cell Carcinoma. Medicines 2020, 7, 50. https://doi.org/10.3390/medicines7090050
Sugita Y, Takao K, Uesawa Y, Nagai J, Iijima Y, Sano M, Sakagami H. Development of Newly Synthesized Chromone Derivatives with High Tumor Specificity against Human Oral Squamous Cell Carcinoma. Medicines. 2020; 7(9):50. https://doi.org/10.3390/medicines7090050
Chicago/Turabian StyleSugita, Yoshiaki, Koichi Takao, Yoshihiro Uesawa, Junko Nagai, Yosuke Iijima, Motohiko Sano, and Hiroshi Sakagami. 2020. "Development of Newly Synthesized Chromone Derivatives with High Tumor Specificity against Human Oral Squamous Cell Carcinoma" Medicines 7, no. 9: 50. https://doi.org/10.3390/medicines7090050
APA StyleSugita, Y., Takao, K., Uesawa, Y., Nagai, J., Iijima, Y., Sano, M., & Sakagami, H. (2020). Development of Newly Synthesized Chromone Derivatives with High Tumor Specificity against Human Oral Squamous Cell Carcinoma. Medicines, 7(9), 50. https://doi.org/10.3390/medicines7090050

