An Investigation of Potential Sources of Nutraceuticals from the Niger Delta Areas, Nigeria for Attenuating Oxidative Stress
Abstract
1. Introduction
2. Materials and Methods
2.1. Collection and Identification of Plant Materials
2.2. Preparation of Hydromethanolic Extracts
2.3. Chemicals
2.4. Animals
2.5. 2,2-Diphenyl-1-Picrylhydrazyl (DPPH) Radical Scavenging Effect
2.6. Reducing Power Capacity Assay
2.7. Acetylcholinesterase Inhibition Assay
2.8. Determination of Total Phenolic Content
2.9. Determination of Total Flavonoid Content
2.10. Statistical Analysis
3. Results
3.1. DPPH Radical Scavenging Activity
3.2. Reducing (Antioxidant) Capacity
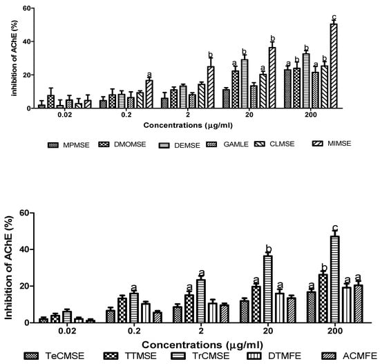
3.3. Acetylcholinesterase Inhibitory Activity
3.4. Total Phenolic Content and Total Flavonoid Content
3.5. Correlation between AChE Inhibition, Antioxidant Ability, and Total Phenolic and Flavonoid Contents
4. Discussion
Author Contributions
Funding
Acknowledgments
Conflicts of Interest
References
- Chen, Q.; Wang, Q.; Zhu, J.; Xiao, Q.; Zhang, L. Reactive oxygen species: Key regulators in vascular health and diseases. Br. J. Pharmacol. 2018, 175, 1279–1292. [Google Scholar] [CrossRef]
- Birben, E.; Sahiner, U.M.; Sackesen, C.; Erzurum, S.; Kalayci, O. Oxidative stress and antioxidant defenses. World Allergy Organ. J. 2012, 5, 9–19. [Google Scholar] [CrossRef] [PubMed]
- Espinosa-Diez, C.; Miguel, V.; Mennerich, D.; Kietzmann, T.; Sánchez-Pérez, P.; Cadenas, S.; Lamas, S. Antioxidant responses and cellular adjustments to oxidative stress. Redox Biol. 2015, 6, 183–197. [Google Scholar] [CrossRef] [PubMed]
- Dadhania, V.P.; Trivedi, P.P.; Vikram, A.; Tripathi, D.N. Nutraceuticals against Neurodegeneration: A Mechanistic Insight. Curr. Neuropharmacol. 2016, 14, 627–640. [Google Scholar] [CrossRef] [PubMed]
- Sadhukhan, P.; Saha, S.; Dutta, S.; Mahalanobish, S.; Sil, P.C. Nutraceuticals: An emerging therapeutic approach against the pathogenesis of Alzheimer’s disease. Pharmacol. Res. 2018, 129, 100–114. [Google Scholar] [CrossRef]
- Gupta, R.K.; Patel, A.K.; Shah, N.; Chaudhary, A.K.; Jha, U.K.; Yadav, U.C.; Gupta, P.K.; Pakuwal, U. Oxidative stress and antioxidants in disease and cancer: A review. Asian Pac. J Cancer Prev. 2014, 15, 4405–4409. [Google Scholar] [CrossRef] [PubMed]
- Lobo, V.; Patil, A.; Phatak, A.; Chandra, N. Free radicals, antioxidants and functional foods: Impact on human health. Pharmacogn. Rev. 2010, 4, 118–126. [Google Scholar] [CrossRef] [PubMed]
- Perez-Vizcaino, F.; Fraga, C.G. Research trends in flavonoids and health. Arch. Biochem. Biophys. 2018, 646, 107–112. [Google Scholar] [CrossRef]
- Krzyzanowska, J.; Czubacka, A.; Oleszek, W. Dietary phytochemicals and human. Adv. Exp. Med. Biol. 2010, 698, 74–98. [Google Scholar]
- Pratico, D.; Clark, C.M.; Liun, F.; Rokach, J.; Lee, V.Y.; Trojanowski, J.Q. Increase of brain oxidative stress in mild cognitive impairment: A possible predictor of Alzheimer disease. Arch. Neurol. 2002, 59, 972–976. [Google Scholar] [CrossRef]
- Barnham, K.J.; Masters, C.L.; Bush, A.I. Neurodegenerative diseases and oxidative stress. Nat. Rev. Drug Discov. 2004, 3, 205–214. [Google Scholar] [CrossRef] [PubMed]
- Keller, J.N.; Schmitt, F.A.; Scheff, S.W.; Ding, Q.; Chen, Q.; Butterfield, D.A.; Markesbery, W.R. Evidence of increased oxidative damage in subjects with mild cognitive impairment. Neurology 2005, 64, 1152–1156. [Google Scholar] [CrossRef] [PubMed]
- Guidi, I.; Galimberti, D.; Lonati, S.; Novembrino, C.; Bamonti, F.; Tiriticco, M.; Fenoglio, C.; Venturelli, E.; Baron, P.; Bresolin, N.; et al. Oxidative imbalance in patients with mild cognitive impairment and Alzheimer’s disease. Neurobiol. Aging 2006, 27, 262–269. [Google Scholar] [CrossRef] [PubMed]
- Butterfield, D.A.; Boyd-Kimball, D. Oxidative Stress, Amyloid-β Peptide, and Altered Key Molecular Pathways in the Pathogenesis and Progression of Alzheimer’s Disease. J. Alzheimer Dis. 2018, 62, 1345–1367. [Google Scholar] [CrossRef] [PubMed]
- Da Costa, L.A.; Badawi, A.; El-Sohemy, A. Nutrigenetics and modulation of oxidative stress. Ann. Nutr. Metab. 2012, 60, 27–36. [Google Scholar] [CrossRef] [PubMed]
- Thapa, A.; Carroll, N.J. Dietary Modulation of Oxidative Stress in Alzheimer’s Disease. Int. J. Mol. Sci. 2017, 18, 1583. [Google Scholar] [CrossRef]
- Ravi, S.K.; Narasingappa, R.B.; Vincent, B. Neuro-nutrients as anti-Alzheimer’s disease agents: A critical review. Crit. Rev. Food Sci. Nutr. 2018, 30, 1–20. [Google Scholar] [CrossRef] [PubMed]
- Lopes da Silva, S.; Vellas, B.; Elemans, S.; Luchsinger, J.; Kamphuis, P.; Yaffe, K.; Sijben, J.; Groenendijk, M.; Stijnen, T. Plasma nutrient status of patients with Alzheimer’s disease: Systematic review and meta-analysis. Alzheimer Dement. 2014, 10, 485–502. [Google Scholar] [CrossRef]
- Irvine, F.R. Woody Plants of Ghana with Special Reference to Their Uses; Oxford University Press: London, UK, 1961. [Google Scholar]
- Leakay, R.R.B. Potential for Novel food products from Agroforestry Trees. A review. Food Chem. 1999, 66, 1–4. [Google Scholar] [CrossRef]
- Erukainure, O.L.; Mopuri, R.; Oyebode, O.A.; Koorbanally, N.A.; Islam, M.S. Dacryodes edulis enhances antioxidant activities, suppresses DNA fragmentation in oxidative pancreatic and hepatic injuries; and inhibits carbohydrate digestive enzymes linked to type 2 diabetes. Biomed. Pharmacother. 2017, 96, 37–47. [Google Scholar] [CrossRef]
- Tee, L.H.; Yang, B.; Nagendra, K.P.; Ramanan, R.N.; Sun, J.; Chan, E.S.; Tey, B.T.; Azlan, A.; Ismail, A.; Lau, C.Y.; et al. Nutritional compositions and bioactivities of Dacryodes species: A review. Food Chem. 2014, 165, 247–255. [Google Scholar] [CrossRef] [PubMed]
- Atawodi, S.E. Nigerian foodstuffs with prostate cancer chemopreventive polyphenols. Infect. Agent Cancer 2011, 6, S9. [Google Scholar] [CrossRef] [PubMed]
- Rusell, T.A. The cola of Nigeria and Cameroon. Trop. Agric. 1955, 32, 210–240. [Google Scholar]
- Engel, N.; Opermann, C.; Falodun, A.; Udo, K. Proliferative effects of five traditional Nigerian medicinal plant extracts on human breast and bone cancer cell lines. J. Ethnopharmacol. 2011, 137, 1003–1010. [Google Scholar] [CrossRef]
- Oghenerobo, V.I.; Falodun, A. Antioxidant activities of the leaf extract and fractions of Cola lepidota, K. Schum (Sterculiaceae). Niger. J. Biotechnol. 2013, 25, 31–36. [Google Scholar]
- Essien, E.E.; Peter, N.S.; Akpan, S.M. Chemical Composition and Antioxidant Property of Two Species of Monkey Kola (Cola rostrata and Cola lepidota, K. Schum) Extracts. Eur. J. Med. Plants 2015, 7, 31–37. [Google Scholar] [CrossRef]
- Ene-Obong, H.N.; Okudu, H.O.; Asumugha, U.V. Nutrient and phytochemical composition of two varieties of Monkey kola (Cola parchycarpa and Cola lepidota): An under utilised fruit. Food Chem. 2016, 193, 154–159. [Google Scholar] [CrossRef]
- Jayaweera, D.M.A. Medicinal Plants (Indigenous and Exotic) Used in Ceylon Part 2; National Science Council of Sri Lanka: Colombo, Sri Lanka, 1980; pp. 162–163. [Google Scholar]
- Sandhya, S.; Vinod, K.; Chandra, S.; Aradhana, R.; Vamshi, S. An Updated Review on Trichosanthes cucumerina, L. Int. J. Pharm. Sci. Rev. Res. 2010, 1, 56–58. [Google Scholar]
- Shah, S.L.; Mali, V.R.; Zambare, G.N.; Bodhankar, S.L. Cardioprotective activity of methanol extract of fruit of Trichosanthes cucumerina on doxorubicin-induced cardiotoxicity in Wistar rats. Toxicol. Int. 2012, 19, 167–172. [Google Scholar] [CrossRef]
- Adjalian, E.; Sessou, P.; Fifa, TD.; Dangou, B.J.; Odjo, T.; Figueredo, G.; Noudogbessi, J.P.; Kossou, D.; Menut, C.; Sohounhloue, D. Chemical composition and bioefficacy of Dennettia tripetala and Uvariodendron angustifolium leaves essential oils against the angoumois grain moth, Sitotroga cerealella. Int. J. Biosci. 2014, 5, 161–172. [Google Scholar]
- Oyemitan, I.A.; Iwalewa, E.O.; Akanmu, M.A.; Olugbade, T.A. Antinociceptive and anti-inflammatory effects of essential oil of Dennettia tripetala, G. Baker in rodents. Afr. J. Tradit. Complement. 2008, 5, 355–362. [Google Scholar] [CrossRef]
- Lewis, K.; Ausubel, F.M. Prospects for plant-derived anti-bacterial. Nat. Biotechnol. 2006, 24, 1504–1507. [Google Scholar] [CrossRef] [PubMed]
- Lee, C.W.; Ko, H.H.; Lin, C.C.; Chai, C.Y.; Chen, W.T.; Yen, F.L. Effect of Artocarpus communis Extract on UVB Irradiation-Induced Oxidative Stress and Inflammation in Hairless Mice. Int. J. Mol. Sci. 2013, 14, 3860–3873. [Google Scholar] [CrossRef] [PubMed]
- Arung, E.T.; Wicaksono, B.D.; Handoko, Y.A.; Kusuma, I.W.; Shizu, K.; Yulia, D.; Sandra, F. Cytotoxic effect of artocarpin on T47D cells. J. Nat. Med. 2010, 64, 423–429. [Google Scholar] [CrossRef]
- Tzeng, C.W.; Tzeng, W.S.; Lin, L.T.; Lee, C.W.; Yen, F.L.; Lin, C.C. Artocarpus communis induces Autophagic Instead of Apoptotic Cell Death in Human Hepatocellular Carcinoma Cells. Phytomedicine 2015, 23, 528–540. [Google Scholar] [CrossRef]
- Lin, J.A.; Fang, S.C.; Wu, C.H.; Huang, S.M.; Yen, G.C. Anti-inflammatory effect of the 5,7,4’-trihydroxy-6-geranylflavanone isolated from the fruit of Artocarpus communis in S100B-induced human monocytes. J. Agric. Food Chem. 2011, 59, 105–111. [Google Scholar] [CrossRef] [PubMed]
- Hsu, C.L.; Chang, F.R.; Tseng, P.Y.; Chen, Y.F.; El-Shazly, M.; Du, Y.C.; Fang, S.C. Geranyl flavonoid derivatives from the fresh leaves of Artocarpus communis and their anti-inflammatory activity. Planta Med. 2012, 78, 995–1001. [Google Scholar] [CrossRef]
- Han, A.R.; Kang, YJ.; Windono, T.; Lee, S.K.; Seo, E.K. Prenylated flavonoids from the heartwood of Artocarpus communis with inhibitory activity on lipopolysaccharide-induced nitric oxide production. J. Nat. Prod. 2006, 69, 719–721. [Google Scholar] [CrossRef]
- Anand, A.V.; Divya, N.; Kotti, P.P. An updated review of Terminalia catappa. Pharmacog. Rev. 2015, 9, 93–98. [Google Scholar] [CrossRef]
- Singhal, A.K.; Naithani, V.; Bangar, O.P. Medicinal Plants with a Potential to Treat Alzheimer and Associated Symptoms. Intern. J. Nutr. Pharmacol. Neurol. Dis. 2012, 2, 84–91. [Google Scholar] [CrossRef]
- Galuppo, M.; Giacoppo, S.; Iori, R.; De Nicola, G.R.; Milardi, D.; Bramanti, P.; Mazzon, E. 4(α-l-rhamnosyloxy)-benzyl isothiocyanate, a bioactive phytochemical that defends cerebral tissue and prevents severe damage induced by focal ischemia/reperfusion. J. Biol. Regul. Homeost. Agents 2015, 29, 343–356. [Google Scholar] [PubMed]
- Jaafaru, M.S.; Nordin, N.; Shaari, K.; Rosli, R.; Abdull Razis, A.F. Isothiocyanate from Moringa oleifera seeds mitigates hydrogen peroxide-induced cytotoxicity and preserved morphological features of human neuronal cells. PLoS ONE 2018, 13, e0196403. [Google Scholar] [CrossRef] [PubMed]
- Mensah, J.K.; Ikhajiagbe, B.; Edema, N.E.; Emokhor, J. Phytochemical, nutritional and antibacterial properties of dried leaf powder of Moringa oleifera (Lam.) from Edo Central Province Nigeria. J. Nat. Prod. Plant Resour. 2012, 2, 107–112. [Google Scholar]
- Essien, E.U.; Izunwane, B.C.; Aremu, C.Y.; Eka, O.U. Significance for humans of the nutrient contents of the dry fruit of Tetrapleura tetraptera. Food Hum. Nutr. 1994, 45, 47–51. [Google Scholar] [CrossRef]
- Aladesanmi, J.A. Tetrapleura tetraptera: Molluscicidal activity and chemical constituents. Afr. J. Tradit. Complement. Altern. Med. 2007, 4, 23–26. [Google Scholar] [CrossRef]
- Odubanjo, V.O.; Ibukun, E.O.; Oboh, G.; Adefegha, S.A. Aqueous extracts of two tropical ethnobotanicals (Tetrapleura tetraptera and Quassia undulata) improved spatial and non-spatial working memories in scopolamine-induced amnesic rats: Influence of neuronal cholinergic and antioxidant systems. Biomed. Pharmacother. 2018, 99, 198–204. [Google Scholar] [CrossRef] [PubMed]
- Ali, F.; Assanta, M.A.; Robert, C. Gnetum africanum: A wild food plant from the African forest with many nutritional and medicinal properties. J. Med. Food 2011, 14, 1289–1297. [Google Scholar] [CrossRef]
- Alozie, Y.E.; Ene-Obong, H.N. Recipe standardization, nutrient composition and sensory evaluation of waterleaf (Talinum triangulare) and wild spinach (Gnetum africanum) soup “afang” commonly consumed in South-south Nigeria. Food Chem. 2018, 238, 65–72. [Google Scholar] [CrossRef]
- Lavanya, K.; Abi Beaulah, G.; Vani, G. Musa Parasidisiaca—A review of phytochemistry and pharmacology. World J. Pharm. Med. Res. 2016, 2, 163–173. [Google Scholar]
- Masibo, M.; He, Q. Mango Bioactive Compounds and Related Nutraceutical Properties—A Review. Food Rev. Int. 2009, 25, 346–370. [Google Scholar] [CrossRef]
- Lauricella, M.; Emanuele, S.; Calvaruso, G.; Giuliano, M.; D’Anneo, A. Multifaceted Health Benefits of Mangifera indica, L. (Mango): The Inestimable Value of Orchards Recently Planted in Sicilian Rural Areas. Nutrients 2017, 9, 525. [Google Scholar] [CrossRef]
- Nwidu, L.L.; Elmorsy, E.; Thornton, J.; Wijamunige, B.; Wijesekara, A.; Tarbox, R.; Warren, A.; Carter, W.G. Anti-acetylcholinesterase activity and antioxidant properties of extracts and fractions of Carpolobia lutea. Pharm. Biol. 2017, 55, 1875–1883. [Google Scholar] [CrossRef] [PubMed]
- Ellman, G.L.; Courtney, K.D.; Andres, V.; Featherstone, R.M. A new and rapid colorimetric determination of acetylcholinesterase activity. Biochem. Pharmacol. 1961, 7, 88–95. [Google Scholar] [CrossRef]
- Carter, W.G.; Tarhoni, M.; Rathbone, A.J.; Ray, D.E. Differential protein adduction by seven organophosphorus pesticides in both brain and thymus. Hum. Exp. Toxicol. 2007, 26, 347–353. [Google Scholar] [CrossRef] [PubMed]
- Carter, W.G.; Tarhoni, M.H.; Ray, D.E. Analytical approaches to investigate protein-pesticide adducts. J. Chromatogr. B 2010, 878, 1312–1319. [Google Scholar] [CrossRef] [PubMed]
- Vijayakumar, S.; Presannakumar, G.; Vijayalakshmi, N.R. Antioxidant activity of banana flavonoids. Fitoterapia 2008, 79, 279–282. [Google Scholar] [CrossRef] [PubMed]
- Loganayaki, N.; Rajendrakumaran, D.; Manian, S. Antioxidant capacity and phenolic content of different solvent extracts from banana (Musa paradisiaca) and mustai (Rivea hypocrateriformis). Food Sci. Biotechnol. 2010, 19, 1251–1258. [Google Scholar] [CrossRef]
- Panigrahi, P.N.; Dey, S.; Sahoo, M.; Dan, A. Antiurolithiatic and antioxidant efficacy of Musa paradisiaca pseudostem on ethylene glycol-induced nephrolithiasis in rat. Indian J. Pharmacol. 2017, 49, 77–83. [Google Scholar] [PubMed]
- Okoh, S.O.; Iweriegbor, B.C.; Okoh, O.O.; Nwodo, U.U.I.; Okoh, A. Bactericidal and antioxidant properties of essential oils from the fruits Dennettia tripetala G. Baker. BMC Complement. Altern. Med. 2016, 16, 486. [Google Scholar] [CrossRef]
- Randriamboavonjy, J.I.; Rio, M.; Pacaud, P.; Loirand, G.; Tesse, A. Moringa oleifera Seeds Attenuate Vascular Oxidative and Nitrosative Stresses in Spontaneously Hypertensive Rats. Oxid. Med. Cell Longev. 2017, 2017, 4129459. [Google Scholar] [CrossRef]
- Lamou, B.; Taiwe, G.S.; Hamadou, A.; Abene; Houlray, J.; Atour, M.M.; Tan, P.V. Antioxidant and Antifatigue Properties of the Aqueous Extract of Moringa oleifera in Rats Subjected to Forced Swimming Endurance Test. Oxid. Med. Cell Longev. 2016, 2016, 3517824. [Google Scholar] [CrossRef] [PubMed]
- Moukette, B.M.; Pieme, A.C.; Biapa, P.C.; Njimou, J.R.; Stoller, M.; Bravi, M.; Yonkeu, N.J. In Vitro Ion Chelating, Antioxidative Mechanism of Extracts from Fruits and Barks of Tetrapleura tetraptera and Their Protective Effects against Fenton Mediated Toxicity of Metal Ions on Liver Homogenates. Evid. Based Complement. Altern. Med. 2015, 2015, 423689. [Google Scholar] [CrossRef] [PubMed]
- Ene-Obong, H.; Onuoha, N.; Aburime, L.; Mbah, O. Chemical composition and antioxidant activities of some indigenous spices consumed in Nigeria. Food Chem. 2018, 238, 58–64. [Google Scholar] [CrossRef] [PubMed]
- Pandya, N.B.; Tigari, P.; Dupadahalli, K.; Kamurthy, H.; Nadendla, R.R. Antitumor and antioxidant status of Terminalia catappa against Ehrlich ascites carcinoma in Swiss albino mice. Indian J. Pharmacol. 2013, 45, 464–469. [Google Scholar]
- Núñez-Sellés, A.J.; Vélez Castro, H.T.; Agüero-Agüero, J.; González-González, J.; Naddeo, F.; De Simone, F.; Rastrelli, L. Isolation and quantitative analysis of phenolic antioxidants, free sugars, and polyols from mango (Mangifera indica L.) stem bark aqueous decoction used in Cuba as a nutritional supplement. J. Agric. Food Chem. 2002, 50, 762–766. [Google Scholar] [CrossRef]
- Pardo-Andreu, G.L.; Philip, S.J.; Riaño, A.; Sánchez, C.; Viada, C.; Núñez-Sellés, A.J.; Delgado, R. Mangifera indica, L. (Vimang) Protection against Serum Oxidative Stress in Elderly Humans. Arch Med. Res. 2006, 37, 158–164. [Google Scholar] [CrossRef] [PubMed]
- Arawwawala, M.; Thabrew, I.; Arambewela, L. In vitro and in vivo evaluation of antioxidant activity of Trichosanthes cucumerina aerial parts. Acta Biol. Hung. 2011, 62, 235–243. [Google Scholar] [CrossRef] [PubMed]
- Bamidele, O.P.; Fasogbon, M.B. Chemical and antioxidant properties of snake tomato (Trichosanthes cucumerina) juice and Pineapple (Ananas comosus) juice blends and their changes during storage. Food Chem. 2017, 220, 184–189. [Google Scholar] [CrossRef]
- Lee, C.W.; Ko, H.H.; Lin, C.C.; Chai, C.Y.; Chen, W.T.; Yen, F.L. Artocarpin attenuates ultraviolet B-induced skin damage in hairless mice by antioxidant and anti-inflammatory effect. Food Chem. Toxicol. 2013, 60, 123–129. [Google Scholar] [CrossRef]
- Moise, M.M.; Benjamin, L.M.; Etienne, M.; Thierry, G.; Ndembe Dalida, K.; Doris, T.M.; Samy, W.M. Intake of Gnetum africanum and Dacryodes edulis, imbalance of oxidant/antioxidant status and prevalence of diabetic retinopathy in central Africans. PLoS ONE 2012, 7, e49411. [Google Scholar] [CrossRef]
- Martinez-Lapiscina, E.H.; Clavero, P.; Toledo, E.; Estruch, R.; Salas-Salvado, J.; San Julian, B.; Sanchez-Tainta, A.; Ros, E.; Valls-Pedret, C.; Martinez-Gonzalez, M.Á. Mediterranean diet improves cognition: The PREDIMED-NAVARRA randomised trial. J. Neurol. Neurosurg. Psychiatry 2013, 84, 1318–1325. [Google Scholar] [CrossRef] [PubMed]
- Jin, Y.; Oh, K.; Oh, S.I.; Baek, H.; Kim, S.H.; Park, Y. Dietary intake of fruits and beta-carotene is negatively associated with amyotrophic lateral sclerosis risk in Koreans: A case-control study. Nutr. Neurosci. 2014, 17, 104–108. [Google Scholar] [CrossRef]
- Hardman, R.J.; Kennedy, G.; Macpherson, H.; Scholey, A.B.; Pipingas, A. Adherence to a Mediterranean-style diet and effects on cognition in adults: A qualitative evaluation and systematic review of longitudinal and prospective trials. Front. Nutr. 2016, 3, 22. [Google Scholar] [CrossRef] [PubMed]
- Dai, Q.; Borenstein, A.R.; Wu, Y.; Jackson, J.C.; Larson, E.B. Fruit and vegetable juices and Alzheimer’s disease: The Kame Project. Am. J. Med. 2006, 119, 751–759. [Google Scholar] [CrossRef] [PubMed]
- Fischer, K.; Melo van Lent, D.; Wolfsgruber, S.; Weinhold, L.; Kleineidam, L.; Bickel, H.; Scherer, M.; Eisele, M.; van den Bussche, H.; Wiese, B.; et al. Prospective Associations between Single Foods, Alzheimer’s Dementia and Memory Decline in the Elderly. Nutrients 2018, 10, 852. [Google Scholar] [CrossRef] [PubMed]
- Arnim, C.A.; Herbolsheimer, F.; Nikolaus, T.; Peter, R.; Biesalski, H.K.; Ludolph, A.C.; Riepe, M.; Nagel, G.; ActiFE Ulm Study Group. Dietary antioxidants and dementia in a population-based case-control study among older people in South Germany. J. Alzheimer Dis. 2012, 31, 717–724. [Google Scholar] [CrossRef]
- Dardiotis, E.; Kosmidis, M.H.; Yannakoulia, M.; Hadjigeorgiou, G.M.; Scarmeas, N. The Hellenic Longitudinal Investigation of Aging and Diet (HELIAD): Rationale, study design, and cohort description. Neuroepidemiology 2014, 43, 9–14. [Google Scholar] [CrossRef]
- De Rest, O.; Wang, Y.; Barnes, L.L.; Tangney, C.; Bennett, D.A.; Morris, M.C. APOE ε4 and the associations of seafood and long-chain omega-3 fatty acids with cognitive decline. Neurology 2016, 86, 2063–2070. [Google Scholar] [CrossRef]
- Loughrey, D.G.; Lavecchia, S.; Brennan, S.; Lawlor, B.A.; Kelly, M.E. The Impact of the Mediterranean Diet on the Cognitive Functioning of Healthy Older Adults: A Systematic Review and Meta-Analysis. Adv. Nutr. Bethesda 2017, 8, 571–586. [Google Scholar]
- Gardener, H.; Caunca, M.R. Mediterranean Diet in Preventing Neurodegenerative Diseases. Curr. Nutr. Rep. 2018, 7, 10–20. [Google Scholar] [CrossRef]
- Murray, A.P.; Faraoni, M.B.; Castro, M.J.; Alza, N.P.; Cavallaro, V. Natural AChE inhibitors from plants and their contribution to Alzheimer’s disease therapy. Curr. Neuropharmacol. 2013, 11, 388–413. [Google Scholar] [CrossRef] [PubMed]
- Dos Santos, T.C.; Gomes, T.M.; Pinto, B.A.S.; Camara, A.L.; Paes, A.M.A. Naturally occurring anticholinesterases inhibitors and their potential use for Alzheimer’s disease therapy. Front. Pharmacol. 2018, 9, 1192. [Google Scholar] [CrossRef]
- Kawpoomhae, K.; Sukma, M.; Ngawhirunpat, T.; Opanasopit, P.; Sripattanaporn, A. Antioxidant and neuroprotective effects of standardized extracts of Mangifera indica leaf. J. Pharm. Sci. 2010, 34, 32–43. [Google Scholar]
- Infante-Garcia, C.; Ramos-Rodriguez, J.J.; Delgado-Olmos, I.; Gamero-Carrasco, C.; Fernandez-Ponce, M.T.; Casas, L.; Mantell, C.; Garcia-Alloza, M. Long-Term Mangiferin Extract Treatment Improves Central Pathology and Cognitive Deficits in APP/PS1 Mice. Mol. Neurobiol. 2017, 54, 4696–4704. [Google Scholar] [CrossRef] [PubMed]
- Biesalski, H.K. Polyphenols and inflammation: Basic interactions. Curr. Opin. Clin. Nutr. Metab. Care 2007, 10, 724–728. [Google Scholar] [CrossRef]
- Thangthaeng, N.; Poulose, S.M.; Miller, M.G.; Shukitt-Hale, B. Preserving brain function in aging: The anti-glycative potential of berry fruit. Neuromol. Med. 2016, 18, 465–473. [Google Scholar] [CrossRef]
- Ataie, A.; Shadifar, M.; Ataee, R. Polyphenolic antioxidants and neuronal regeneration. Basic Clin. Neurosci. 2016, 7, 81–90. [Google Scholar] [CrossRef]
- Almeida, S.; Alves, M.G.; Sousa, M.; Oliveira, P.F.; Silva, B.M. Are Polyphenols Strong Dietary Agents Against Neurotoxicity and Neurodegeneration? Neurotox. Res. 2016, 30, 345–366. [Google Scholar] [CrossRef]
- Ruan, Q.; Ruan, J.; Zhang, W.; Qian, F.; Yu, Z. Targeting NAD+ degradation: The therapeutic potential of flavonoids for Alzheimer’s disease and cognitive frailty. Pharmacol. Res. 2018, 128, 345–358. [Google Scholar] [CrossRef]
- Darvesh, A.S.; Carroll, R.T.; Bishayee, A.; Geldenhuys, W.J.; Van der Schyf, C.J. Oxidative stress and Alzheimer’s disease: Dietary polyphenols as potential therapeutic agents. Expert Rev. Neurother. 2010, 10, 729–745. [Google Scholar] [CrossRef]
- Arab, H.; Mahjoub, S.; Hajian-Tilaki, K.; Moghadasi, M. The effect of green tea consumption on oxidative stress markers and cognitive function in patients with Alzheimer’s disease: A prospective intervention study. Caspian J. Int. Med. 2016, 7, 188–194. [Google Scholar]
- Rice-Evans, C.; Miller, N.; Paganga, G. Antioxidant properties of phenolic compounds. Trends Plant Sci. 1997, 2, 152–159. [Google Scholar] [CrossRef]



| Extracts of Plants | Yield (%) | IC50 Concentrations (µg/mL) | Total Phenolic Content (mg GAE/g) | Total Flavonoid Content (mg QUER E/g) | |
|---|---|---|---|---|---|
| DPPH Radical Scavenging | AChE Inhibition | ||||
| Edible Food | |||||
| TeCMSE | 7.1 | 302 | 834.5 | 28.45 ± 1.40 | 21.43 ± 0.98 |
| TrCMSE | 59.8 | 854 | 201.2 | 132.65 ± 0.85 | 64.34 ± 1.43 |
| TTMSE | 66.7 | 205 | 967.9 | 25.36 ± 0.87 | 17.35 ± 1.53 |
| DTMFE | 39.4 | 134 | 654.3 | 75.64 ± 1.87 | 41.24 ± 1.56 |
| ACMFE | 3.4 | 890 | 576.4 | 102.45 ± 1.43 | 69.54 ± 1.73 |
| DEMSE | 5.0 | 138 | 529.9 | 95.73 ± 3.62 | 53.35 ± 2.37 |
| GAMLE | 11.2 | 825 | 321.9 | 123.26 ± 2.73 | 73.26 ± 1.78 |
| CLMSE | 13.5 | 526 | 438.4 | 119.63 ± 3.24 | 68.35 ± 2.65 |
| DMOMSE | 21.3 | 145 | 657.1 | 65.15 ± 1.35 | 31.43 ± 0.83 |
| Non-Edible | |||||
| MIMSE | 2.1 | 321 | 111.9 | 156.2 ± 2.43 | 87.35 ± 1.57 |
| MPMSE | 7.8 | 106 | 619.8 | 85.36 ± 0.95 | 42.83 ± 1.24 |
| Assessment | AChE Inhibition (IC50) | DPPH Radical Scavenging (IC50) |
|---|---|---|
| AChE inhibition (IC50) | R = 0.243 p = 0.42 | |
| DPPH Radical scavenging (IC50) | R = 0.243 p = 0.42 | |
| Total phenolics | R = −0.972 p = 0.0001 | R = 0.488 p = 0.127 |
| Total flavonoids | R = −0.84 p = 0.0012 | R = 0.392 p = 0.232 |
© 2019 by the authors. Licensee MDPI, Basel, Switzerland. This article is an open access article distributed under the terms and conditions of the Creative Commons Attribution (CC BY) license (http://creativecommons.org/licenses/by/4.0/).
Share and Cite
Nwidu, L.L.; Alikwe, P.C.N.; Elmorsy, E.; Carter, W.G. An Investigation of Potential Sources of Nutraceuticals from the Niger Delta Areas, Nigeria for Attenuating Oxidative Stress. Medicines 2019, 6, 15. https://doi.org/10.3390/medicines6010015
Nwidu LL, Alikwe PCN, Elmorsy E, Carter WG. An Investigation of Potential Sources of Nutraceuticals from the Niger Delta Areas, Nigeria for Attenuating Oxidative Stress. Medicines. 2019; 6(1):15. https://doi.org/10.3390/medicines6010015
Chicago/Turabian StyleNwidu, Lucky Legbosi, Philip Cheriose Nzien Alikwe, Ekramy Elmorsy, and Wayne Grant Carter. 2019. "An Investigation of Potential Sources of Nutraceuticals from the Niger Delta Areas, Nigeria for Attenuating Oxidative Stress" Medicines 6, no. 1: 15. https://doi.org/10.3390/medicines6010015
APA StyleNwidu, L. L., Alikwe, P. C. N., Elmorsy, E., & Carter, W. G. (2019). An Investigation of Potential Sources of Nutraceuticals from the Niger Delta Areas, Nigeria for Attenuating Oxidative Stress. Medicines, 6(1), 15. https://doi.org/10.3390/medicines6010015

