Pharmacotherapy for Alcohol Craving Reduction: Efficacy of Short-Term Treatments in Alcohol Use Disorder
Abstract
1. Introduction
2. Materials and Methods
2.1. Eligibility
2.2. Information Sources
2.3. Search Strategy
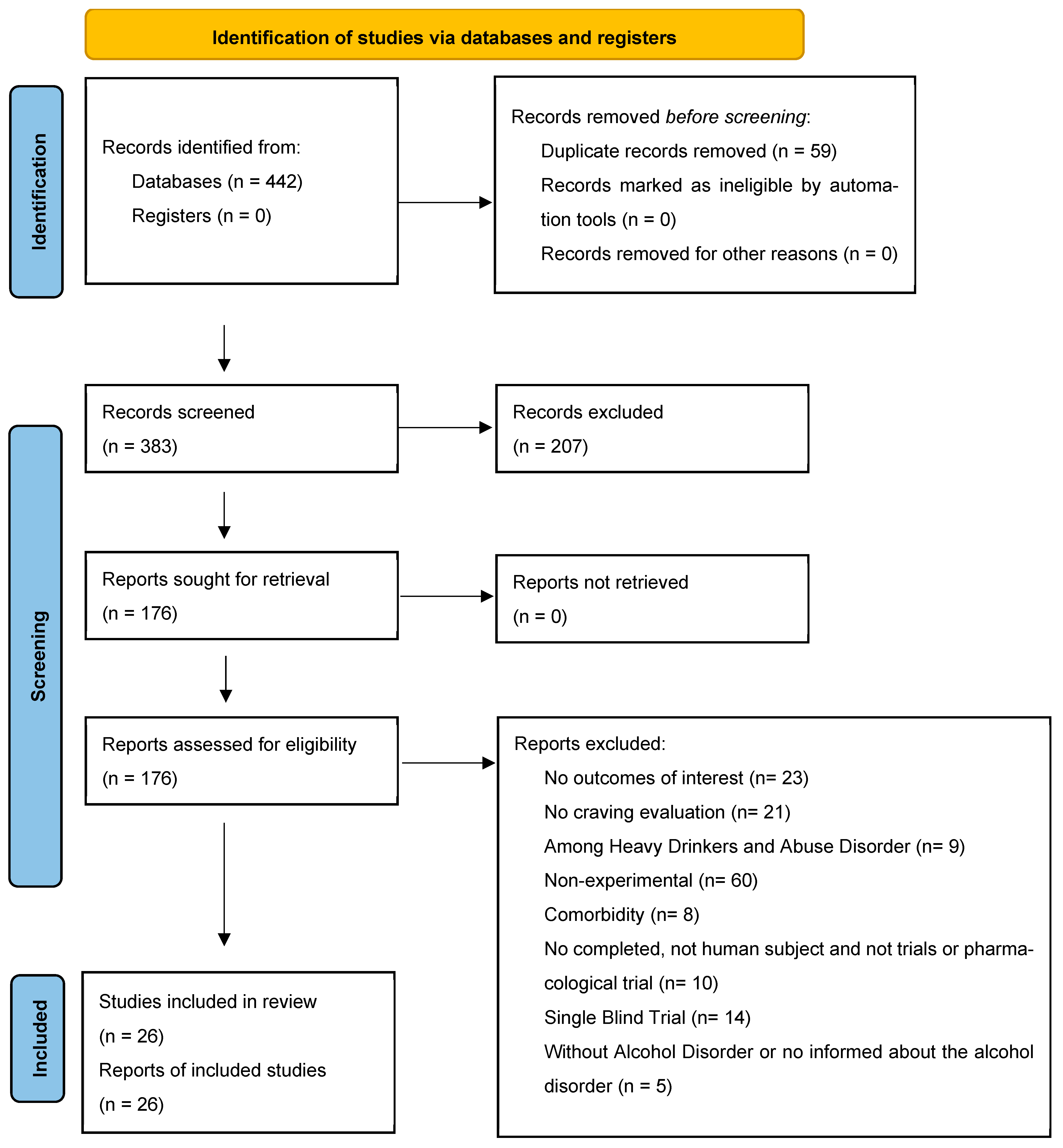
2.4. Study Selection
2.5. Data Collection Process
2.6. Data Items
2.7. Inclusion and Exclusion Criteria
2.8. Selection Articles
2.9. Qualitative Analysis of Studies
3. Results
3.1. Naltrexone
3.2. GABAergic Agents
3.3. Anticonvulsant Agents
3.4. Varenicline
3.5. Other Psychotropic Drugs
3.6. Other Drugs
4. Discussion
Clinical Implications and Future Directions
5. Conclusions
Supplementary Materials
Author Contributions
Funding
Institutional Review Board Statement
Informed Consent Statement
Data Availability Statement
Conflicts of Interest
References
- Volkow, N.D.; Boyle, M. Neuroscience of addiction: Relevance to prevention and treatment. Am. J. Psychiatry 2018, 175, 729–740. [Google Scholar] [CrossRef] [PubMed]
- McLellan, A.T.; Lewis, D.C.; O’Brien, C.P.; Kleber, H.D. Drug dependence, a chronic medical illness: Implications for treatment, insurance, and outcomes evaluation. JAMA 2000, 284, 1689–1695. [Google Scholar] [CrossRef] [PubMed]
- Kranzler, H.R.; Soyka, M. Diagnosis and Pharmacotherapy of Alcohol Use Disorder: A Review. JAMA 2018, 320, 815–824. [Google Scholar] [CrossRef] [PubMed] [PubMed Central]
- Pan American Health Organization—WHO Americas Region. Alcohol. Available online: https://www.paho.org/en/topics/alcohol (accessed on 20 July 2024).
- World Health Organization. Available online: https://www.who.int/news-room/fact-sheets/detail/alcohol (accessed on 20 July 2024).
- Jellinek, E.M. Phases in the drinking history of alcoholics. Q. J. Stud. Alcohol. 1952, 13, 673–684. [Google Scholar] [CrossRef]
- Mezinskis, J.P.; Honos-Webb, L.; Kropp, F.; Somoza, E. The measurement of craving. J. Addict. Dis. 2001, 20, 67–85. [Google Scholar] [CrossRef]
- Banerjee, N. Neurotransmitters in Alcoholism: A Review of Neurobiological and Genetic Studies. Indian J. Hum. Genet. 2014, 20, 20. [Google Scholar] [CrossRef]
- American Psychiatric Association. Diagnostic and Statistical Manual of Mental Disorders, 5th ed.; American Psychiatric Association: Arlington, VA, USA, 2013. [Google Scholar]
- United Nations International Drug Control Programme and World Health Organization. Informal Expert Committee on Drug-Craving Mechanism; Report No. V. 92-54439 T; United Nations International Drug Control Programme and World Health Organization: Vienna, Austria, 1992. [Google Scholar]
- Marin, M.C.D.; Pedro, M.O.P.; Perrotte, G.; Martins-da-Silva, A.S.; Lassi, D.L.S.; Blaas, I.K.; Castaldelli, F.I.; Brisola Dos Santos, M.B.; Kortas, G.T.; Campos, M.W.; et al. Pharmacological Treatment of Alcohol Cravings. Brain Sci. 2023, 13, 1206. [Google Scholar] [CrossRef] [PubMed] [PubMed Central]
- Chick, J.; Anton, R.; Checinski, K.; Croop, R.; Drummond, D.C.; Farmer, R.; Labriola, D.; Marshall, J.; Moncrieff, J.; Morgan, M.Y.; et al. A multicentre, randomized, double-blind, placebo-controlled trial of naltrexone in the treatment of alcohol dependence or abuse. Alcohol Alcohol. 2000, 35, 587–593. [Google Scholar] [CrossRef]
- Huang, M.C.; Chen, C.H.; Yu, J.M.; Chen, C.C. A double-blind, placebo-controlled study of naltrexone in the treatment of alcohol dependence in Taiwan. Addict. Biol. 2005, 10, 289–292. [Google Scholar] [CrossRef]
- Kiefer, F.; Helwig, H.; Tarnaske, T.; Otte, C.; Jahn, H.; Wiedemann, K. Pharmacological relapse prevention of alcoholism: Clinical predictors of outcome. Eur. Addict. Res. 2005, 11, 83–91. [Google Scholar] [CrossRef]
- Johnson, B.A.; Ait-Daoud, N.; Bowden, C.L.; DiClemente, C.C.; Roache, J.D.; Lawson, K.; Javors, M.A.; Ma, J.Z. Oral topiramate for treatment of alcohol dependence: A randomised controlled trial. Lancet 2003, 361, 1677–1685. [Google Scholar] [CrossRef]
- Page, M.J.; McKenzie, J.E.; Bossuyt, P.M.; Boutron, I.; Hoffmann, T.C.; Mulrow, C.D.; Shamseer, L.; Tetzlaff, J.M.; Akl, E.A.; Brennan, S.E.; et al. The PRISMA 2020 statement: An updated guideline for reporting systematic reviews. BMJ 2021, 372, n71. [Google Scholar] [CrossRef] [PubMed]
- Cochrane Consumers and Communication Review Group. Study Quality Guide; La Trobe University: Melbourne, Australia, 2013; Available online: https://cccrg.cochrane.org (accessed on 20 July 2024).
- Joanna Briggs Institute. Checklist for Randomized Controlled Trials: Critical Appraisal Tools for Use in JBI Systematic Reviews; Joanna Briggs Institute: Adelaide, Australia, 2020; Available online: https://jbi.global/critical-appraisal-tools (accessed on 20 July 2024).
- Ray, L.A.; Bujarski, S.; Chin, P.F.; Miotto, K. Pharmacogenetics of naltrexone in asian americans: A randomized placebo-controlled laboratory study. Neuropsychopharmacology 2012, 37, 445–455. [Google Scholar] [CrossRef] [PubMed] [PubMed Central]
- Green, R.; Grodin, E.; Lim, A.C.; Venegas, A.; Bujarski, S.; Krull, J.; Ray, L.A. The Interplay Between Subjective Response to Alcohol, Craving, and Alcohol Self-Administration in the Human Laboratory. Alcohol. Clin. Exp. Res. 2019, 43, 907–915. [Google Scholar] [CrossRef] [PubMed] [PubMed Central]
- Miranda, R.; Ray, L.; Blanchard, A.; Reynolds, E.K.; Monti, P.M.; Chun, T.; Justus, A.; Swift, R.M.; Tidey, J.; Gwaltney, C.J.; et al. Effects of naltrexone on adolescent alcohol cue reactivity and sensitivity: An initial randomized trial. Addict. Biol. 2014, 19, 941–954. [Google Scholar] [CrossRef] [PubMed] [PubMed Central]
- Myrick, H.; Anton, R.F.; Li, X.; Henderson, S.; Randall, P.K.; Voronin, K. Effect of naltrexone and ondansetron on alcohol cue-induced activation of the ventral striatum in alcohol-dependent people. Arch. Gen. Psychiatry 2008, 65, 466–475. [Google Scholar] [CrossRef] [PubMed] [PubMed Central]
- Hammarberg, A.; Jayaram-Lindström, N.; Beck, O.; Franck, J.; Reid, M.S. The effects of acamprosate on alcohol-cue reactivity and alcohol priming in dependent patients: A randomized controlled trial. Psychopharmacology 2009, 205, 53–62. [Google Scholar] [CrossRef] [PubMed]
- Krupitsky, E.M.; Neznanova, O.; Masalov, D.; Burakov, A.M.; Didenko, T.; Romanova, T.; Tsoy, M.; Bespalov, A.; Slavina, T.Y.; Grinenko, A.A.; et al. Effect of memantine on cue-induced alcohol craving in recovering alcohol-dependent patients. Am. J. Psychiatry 2007, 164, 519–523. [Google Scholar] [CrossRef] [PubMed]
- Bisaga, A.; Evans, S.M. Acute effects of memantine in combination with alcohol in moderate drinkers. Psychopharmacology 2004, 172, 16–24. [Google Scholar] [CrossRef] [PubMed]
- Haass-Koffler, C.L.; Goodyear, K.; Zywiak, W.H.; Leggio, L.; Kenna, G.A.; Swift, R.M. Comparing and Combining Topiramate and Aripiprazole on Alcohol-Related Outcomes in a Human Laboratory Study. Alcohol Alcohol. 2018, 53, 268–276, Erratum in Alcohol Alcohol. 2018, 53, 500. https://doi.org/10.1093/alcalc/agy030. [Google Scholar] [CrossRef] [PubMed] [PubMed Central]
- Myrick, H.; Anton, R.; Voronin, K.; Wang, W.; Henderson, S. A double-blind evaluation of gabapentin on alcohol effects and drinking in a clinical laboratory paradigm. Alcohol. Clin. Exp. Res. 2007, 31, 221–227. [Google Scholar] [CrossRef] [PubMed]
- Roberts, W.; Harrison, E.L.R.; McKee, S.A. Effects of varenicline on alcohol cue reactivity in heavy drinkers. Psychopharmacology 2017, 234, 2737–2745. [Google Scholar] [CrossRef] [PubMed] [PubMed Central]
- Verplaetse, T.L.; Pittman, B.P.; Shi, J.M.; Tetrault, J.M.; Coppola, S.; McKee, S.A. Effect of Lowering the Dose of Varenicline on Alcohol Self-administration in Drinkers with Alcohol Use Disorders. J. Addict. Med. 2016, 10, 166–173. [Google Scholar] [CrossRef] [PubMed] [PubMed Central]
- McKee, S.A.; Harrison, E.L.; O’Malley, S.S.; Krishnan-Sarin, S.; Shi, J.; Tetrault, J.M.; Picciotto, M.R.; Petrakis, I.L.; Estevez, N.; Balchunas, E. Varenicline reduces alcohol self-administration in heavy-drinking smokers. Biol. Psychiatry 2009, 66, 185–190. [Google Scholar] [CrossRef] [PubMed] [PubMed Central]
- Voronin, K.; Randall, P.; Myrick, H.; Anton, R. Aripiprazole effects on alcohol consumption and subjective reports in a clinical laboratory paradigm--possible influence of self-control. Alcohol. Clin. Exp. Res. 2008, 32, 1954–1961. [Google Scholar] [CrossRef] [PubMed] [PubMed Central]
- Ray, L.A.; Chin, P.F.; Heydari, A.; Miotto, K. A human laboratory study of the effects of quetiapine on subjective intoxication and alcohol craving. Psychopharmacology 2011, 217, 341–351. [Google Scholar] [CrossRef] [PubMed]
- Modell, J.G.; Mountz, J.M.; Glaser, F.B.; Lee, J.Y. Effect of haloperidol on measures of craving and impaired control in alcoholic subjects. Alcohol. Clin. Exp. Res. 1993, 17, 234–240. [Google Scholar] [CrossRef] [PubMed]
- Naranjo, C.A.; Poulos, C.X.; Bremner, K.E.; Lanctôt, K.L. Citalopram decreases desirability, liking, and consumption of alcohol in alcohol-dependent drinkers. Clin. Pharmacol. Ther. 1992, 51, 729–739. [Google Scholar] [CrossRef] [PubMed]
- Krystal, J.H.; Petrakis, I.L.; Webb, E.; Cooney, N.L.; Karper, L.P.; Namanworth, S.; Stetson, P.; Trevisan, L.A.; Charney, D.S. Dose-related ethanol-like effects of the NMDA antagonist, ketamine, in recently detoxified alcoholics. Arch. Gen. Psychiatry 1998, 55, 354–360. [Google Scholar] [CrossRef] [PubMed]
- Lieb, M.; Palm, U.; Chiang, S.; Laubender, R.P.; Nothdurfter, C.; Sarubin, N.; Mokhtari-Nejad, R.; Koller, G.; Soyka, M. Pharmacological challenge with naloxone and cue exposure in alcohol dependence: Results of a randomized, double-blind placebo-controlled trial. World J. Biol. Psychiatry 2013, 14, 539–546. [Google Scholar] [CrossRef] [PubMed]
- Mitchell, J.M.; Arcuni, P.A.; Weinstein, D.; Woolley, J.D. Intranasal Oxytocin Selectively Modulates Social Perception, Craving, and Approach Behavior in Subjects with Alcohol Use Disorder. J. Addict. Med. 2016, 10, 182–189. [Google Scholar] [CrossRef] [PubMed]
- Haass-Koffler, C.L.; Aoun, E.G.; Swift, R.M.; de la Monte, S.M.; Kenna, G.A.; Leggio, L. Leptin levels are reduced by intravenous ghrelin administration and correlated with cue-induced alcohol craving. Transl. Psychiatry 2015, 5, e646. [Google Scholar] [CrossRef] [PubMed] [PubMed Central]
- Leggio, L.; Zywiak, W.H.; Fricchione, S.R.; Edwards, S.M.; de la Monte, S.M.; Swift, R.M.; Kenna, G.A. Intravenous ghrelin administration increases alcohol craving in alcohol-dependent heavy drinkers: A preliminary investigation. Biol. Psychiatry 2014, 76, 734–741. [Google Scholar] [CrossRef] [PubMed] [PubMed Central]
- Haass-Koffler, C.L.; Giovenco, D.E.; Lee, M.R.; Zywiak, W.H.; de la Monte, S.M.; Kenna, G.A.; Swift, R.M.; Leggio, L. Serum Insulin Levels Are Reduced by Intravenous Ghrelin Administration but Do Not Correlate with Alcohol Craving in Alcohol-Dependent Individuals. Int. J. Neuropsychopharmacol. 2016, 19, pyw048. [Google Scholar] [CrossRef] [PubMed] [PubMed Central]
- Petrakis, I.L.; Buonopane, A.; O’Malley, S.; Cermik, O.; Trevisan, L.; Boutros, N.N.; Limoncelli, D.; Krystal, J.H. The effect of tryptophan depletion on alcohol self-administration in non-treatment-seeking alcoholic individuals. Alcohol. Clin. Exp. Res. 2002, 26, 969–975, Erratum in Alcohol. Clin. Exp. Res. 2004, 28, 507. [Google Scholar] [CrossRef] [PubMed]
- Petrakis, I.L.; Trevisan, L.; Boutros, N.N.; Limoncelli, D.; Cooney, N.L.; Krystal, J.H. Effect of tryptophan depletion on alcohol cue-induced craving in abstinent alcoholic patients. Alcohol. Clin. Exp. Res. 2001, 25, 1151–1155. [Google Scholar] [CrossRef] [PubMed]
- Watson, B.J.; Wilson, S.; Griffin, L.; Kalk, N.J.; Taylor, L.G.; Munafò, M.R.; Lingford-Hughes, A.R.; Nutt, D.J. A pilot study of the effectiveness of D-cycloserine during cue-exposure therapy in abstinent alcohol-dependent subjects. Psychopharmacology 2011, 216, 121–129. [Google Scholar] [CrossRef] [PubMed]
- Petrakis, I.L.; Ralevski, E.; Gueorguieva, R.; Sloan, M.E.; Devine, L.; Yoon, G.; Arias, A.J.; Sofuoglu, M. Targeting neuroinflammation with minocycline in heavy drinkers. Psychopharmacology 2019, 236, 3013–3021. [Google Scholar] [CrossRef] [PubMed] [PubMed Central]
- Evenseth, L.S.M.; Gabrielsen, M.; Sylte, I. The GABAB Receptor-Structure, Ligand Binding and Drug Development. Molecules 2020, 25, 3093. [Google Scholar] [CrossRef] [PubMed] [PubMed Central]
- Olsen, R.W. GABAA receptor: Positive and negative allosteric modulators. Neuropharmacology 2018, 136, 10–22. [Google Scholar] [CrossRef] [PubMed] [PubMed Central]
- Kennedy, W.K.; Leloux, M.; Kutscher, E.C.; Price, P.L.; Morstad, A.E.; Carnahan, R.M. Acamprosate. Expert Opin. Drug Metab. Toxicol. 2010, 6, 363–380. [Google Scholar] [CrossRef] [PubMed]
- Johnson, J.W.; Kotermanski, S.E. Mechanism of action of memantine. Curr. Opin. Pharmacol. 2006, 6, 61–67. [Google Scholar] [CrossRef] [PubMed]
- Hammond, C.J.; Niciu, M.J.; Drew, S.; Arias, A.J. Anticonvulsants for the treatment of alcohol withdrawal syndrome and alcohol use disorders. CNS Drugs 2015, 29, 293–311. [Google Scholar] [CrossRef] [PubMed] [PubMed Central]
- Maryanoff, B.E. Sugar sulfamates for seizure control: Discovery and development of topiramate, a structurally unique antiepileptic drug. Curr. Top. Med. Chem. 2009, 9, 1049–1062. [Google Scholar] [CrossRef] [PubMed]
- Stringer, J.L. A comparison of topiramate and acetazolamide on seizure duration and paired-pulse inhibition in the dentate gyrus of the rat. Epilepsy Res. 2000, 40, 147–153. [Google Scholar] [CrossRef] [PubMed]
- Perucca, E. A pharmacological and clinical review on topiramate, a new antiepileptic drug. Pharmacol. Res. 1997, 35, 241–256. [Google Scholar] [CrossRef] [PubMed]
- Mihalak, K.B.; Carroll, F.I.; Luetje, C.W. Varenicline is a partial agonist at alpha4beta2 and a full agonist at alpha7 neuronal nicotinic receptors. Mol. Pharmacol. 2006, 70, 801–805. [Google Scholar] [CrossRef] [PubMed]
- de Bejczy, A.; Löf, E.; Walther, L.; Guterstam, J.; Hammarberg, A.; Asanovska, G.; Franck, J.; Isaksson, A.; Söderpalm, B. Varenicline for treatment of alcohol dependence: A randomized, placebo-controlled trial. Alcohol. Clin. Exp. Res. 2015, 39, 2189–2199. [Google Scholar] [CrossRef]
- Litten, R.Z.; Ryan, M.L.; Fertig, J.B.; Falk, D.E.; Johnson, B.; Dunn, K.E.; Green, A.I.; Pettinati, H.M.; Ciraulo, D.A.; Sarid-Segal, O.; et al. A double-blind, placebo-controlled trial assessing the efficacy of varenicline tartrate for alcohol dependence. J. Addict. Med. 2013, 7, 277–286. [Google Scholar] [CrossRef]
- Avery, J. Naltrexone and Alcohol Use. Am. J. Psychiatry 2022, 179, 886–887. [Google Scholar] [CrossRef] [PubMed]
- Ross, H.; Harries, B.; Szelest, I.; Engelbrecht, R.; Umhau, J.C. Incorporating ondansetron and baclofen in alcohol use disorder treatment. Can. J. Emerg. Med. 2023, 25, 253–254. [Google Scholar] [CrossRef] [PubMed] [PubMed Central]
- Phimarn, W.; Sakhancord, R.; Paitoon, P.; Saramunee, K.; Sungthong, B. Efficacy of Varenicline in the Treatment of Alcohol Dependence: An Updated Meta-Analysis and Meta-Regression. Int. J. Environ. Res. Public Health 2023, 20, 4091. [Google Scholar] [CrossRef] [PubMed] [PubMed Central]
- McPheeters, M.; O’Connor, E.A.; Riley, S.; Kennedy, S.M.; Voisin, C.; Kuznacic, K.; Coffey, C.P.; Edlund, M.D.; Bobashev, G.; Jonas, D.E. Pharmacotherapy for Alcohol Use Disorder: A Systematic Review and Meta-Analysis. JAMA 2023, 330, 1653–1665. [Google Scholar] [CrossRef] [PubMed]
- Montemitro, C.; Angebrandt, A.; Wang, T.Y.; Pettorruso, M.; Abulseoud, O.A. Mechanistic insights into the efficacy of memantine in treating certain drug addictions. Prog. Neuropsychopharmacol. Biol. Psychiatry 2021, 111, 110409. [Google Scholar] [CrossRef] [PubMed]
- Morley, K.C.; Kranzler, H.R.; Luquin, N.; Jamshidi, N.; Adams, C.; Montebello, M.; Tremonti, C.; Dali, G.; Logge, W.; Baillie, A.; et al. Topiramate Versus Naltrexone for Alcohol Use Disorder: A Genotype-Stratified Double-Blind Randomized Controlled Trial. Am. J. Psychiatry 2024, 181, 403–411. [Google Scholar] [CrossRef] [PubMed]
- Anton, R.F.; Latham, P.; Voronin, K.; Book, S.; Hoffman, M.; Prisciandaro, J.; Bristol, E. Efficacy of Gabapentin for the Treatment of Alcohol Use Disorder in Patients with Alcohol Withdrawal Symptoms: A Randomized Clinical Trial. JAMA Intern. Med. 2020, 180, 728–736. [Google Scholar] [CrossRef] [PubMed] [PubMed Central]
- Zorick, T.; Okita, K.; Renard, K.B.; Mandelkern, M.A.; Brody, A.L.; London, E.D. The Effects of Citalopram and Thalamic Dopamine D2/3 Receptor Availability on Decision-Making and Loss Aversion in Alcohol Dependence. Psychiatry J. 2022, 2022, 5663274. [Google Scholar] [CrossRef] [PubMed] [PubMed Central]
- Giovanna, G.; Damiani, S.; Fusar-Poli, L.; Rocchetti, M.; Brondino, N.; de Cagna, F.; Mori, A.; Politi, P. Intranasal oxytocin as a potential therapeutic strategy in post-traumatic stress disorder: A systematic review. Psychoneuroendocrinology 2020, 115, 104605. [Google Scholar] [CrossRef] [PubMed]
- Jerlhag, E. Ghrelin system and GLP-1 as potential treatment targets for alcohol use disorder. Int. Rev. Neurobiol. 2024, 178, 401–432. [Google Scholar] [CrossRef] [PubMed]
- Stokes, M.; Patel, P.; Abdijadid, S. Disulfiram; StatPearls Publishing: Treasure Island, FL, USA, 2025. Available online: https://www.ncbi.nlm.nih.gov/books/NBK459340/ (accessed on 10 September 2024).
- Mandaji, J.V.G.; Pozzolo Pedro, M.O.; Leopoldo, K.; Pini Alemar, J.; Torales, J.; Ventriglio, A.; Castaldelli-Maia, J.M. Combination of Drugs in the Treatment of Alcohol Use Disorder: A Meta-Analysis and Meta-Regression Study. Brain Sci. 2025, 15, 542. [Google Scholar] [CrossRef]
- Mar, Y.; Whitley, S.D.; Weigand, T.J.; Stancliff, S.L.; Gonzalez, C.J.; Hoffmann, C.J. Treatment of Alcohol Use Disorder; Johns Hopkins University: Baltimore, MD, USA, 2023. [Google Scholar]

| Article | Q1 | Q2 | Q3 | Q4 | Q5 | Q6 | Q7 | Q8 | Q9 | Q10 | Q11 | Q12 | Q13 | Total |
|---|---|---|---|---|---|---|---|---|---|---|---|---|---|---|
| Ray, 2012 [19] | 1 | 1 | 1 | 1 | 1 | 1 | 1 | 1 | 1 | 1 | 1 | 1 | 1 | 13 |
| Green, 2019 [20] | 1 | 1 | 1 | 1 | 1 | 1 | 1 | 1 | 1 | 1 | 1 | 1 | 1 | 13 |
| Miranda, 2014 [21] | 1 | 1 | 1 | 1 | 1 | 1 | 1 | 1 | 1 | 1 | 1 | 1 | 1 | 13 |
| Myrick, 2009 [22] | 1 | 1 | 1 | 1 | 1 | 1 | 1 | 1 | 1 | 1 | 1 | 1 | 1 | 13 |
| Hammarber, 2009 [23] | 1 | 1 | 1 | 1 | 1 | 1 | 1 | 1 | 1 | 1 | 1 | 1 | 1 | 13 |
| Krupitsky, 2007 [24] | 1 | 1 | 1 | 1 | 1 | 1 | 1 | 0.5 | 0.5 | 1 | 1 | 1 | 1 | 12 |
| Bisaga, 2004 [25] | 1 | 1 | 1 | 1 | 1 | 1 | 1 | 1 | 1 | 1 | 1 | 1 | 1 | 13 |
| Haass-Koffler, 2018 [26] | 1 | 1 | 1 | 1 | 1 | 1 | 1 | 1 | 1 | 1 | 1 | 1 | 1 | 13 |
| Myrick, 2007 [27] | 1 | 1 | 1 | 1 | 1 | 1 | 1 | 1 | 1 | 1 | 1 | 1 | 1 | 13 |
| Roberts, 2017 [28] | 1 | 1 | 1 | 1 | 1 | 1 | 1 | 1 | 1 | 1 | 1 | 1 | 1 | 13 |
| Verplaetse, 2016 [29] | 1 | 1 | 1 | 1 | 1 | 1 | 1 | 1 | 1 | 1 | 1 | 1 | 1 | 13 |
| McKee, 2009 [30] | 1 | 1 | 1 | 1 | 1 | 1 | 1 | 1 | 1 | 1 | 1 | 1 | 1 | 13 |
| Voronin, 2008 [31] | 1 | 1 | 1 | 1 | 1 | 1 | 1 | 1 | 1 | 1 | 1 | 1 | 1 | 13 |
| Ray, 2011 [32] | 1 | 1 | 1 | 1 | 1 | 1 | 1 | 1 | 1 | 1 | 1 | 1 | 1 | 13 |
| Modell, 1993 [33] | 1 | 1 | 1 | 1 | 1 | 1 | 1 | 1 | 1 | 1 | 1 | 1 | 1 | 13 |
| Naranjo, 1992 [34] | 1 | 1 | 1 | 1 | 1 | 1 | 1 | 1 | 1 | 1 | 1 | 1 | 1 | 13 |
| Krystal, 1998 [35] | 1 | 1 | 1 | 1 | 1 | 1 | 1 | 1 | 1 | 1 | 1 | 1 | 1 | 13 |
| Lieb, 2013 [36] | 1 | 1 | 1 | 1 | 1 | 1 | 1 | 1 | 1 | 1 | 1 | 1 | 1 | 13 |
| Mitchell, 2016 [37] | 1 | 1 | 1 | 1 | 1 | 1 | 1 | 1 | 1 | 1 | 1 | 1 | 1 | 13 |
| Haass-Koffler, 2015 [38] | 1 | 1 | 1 | 1 | 1 | 1 | 1 | 1 | 1 | 1 | 1 | 1 | 1 | 13 |
| Leggio, 2014 [39] | 1 | 1 | 1 | 1 | 1 | 1 | 1 | 1 | 1 | 1 | 1 | 1 | 1 | 13 |
| Haass-Koffler, 2016 [40] | 1 | 1 | 1 | 1 | 1 | 1 | 1 | 1 | 1 | 1 | 1 | 1 | 1 | 13 |
| Petrakis, 2002 [41] | 1 | 1 | 1 | 1 | 1 | 1 | 1 | 1 | 1 | 1 | 1 | 1 | 1 | 13 |
| Petrakis, 2001 [42] | 1 | 1 | 1 | 1 | 1 | 1 | 1 | 1 | 1 | 1 | 1 | 1 | 1 | 13 |
| Watson, 2011 [43] | 1 | 1 | 1 | 1 | 1 | 1 | 1 | 1 | 1 | 1 | 1 | 1 | 1 | 13 |
| Petrakis, 2019 [44] | 1 | 1 | 1 | 1 | 1 | 1 | 1 | 1 | 1 | 1 | 1 | 1 | 1 | 13 |
| Author, Year, Country | Sample: n; Age (SD or Range); % Male; Alcohol Use Pattern; Setting | Measures (Alcohol Use Pattern and Craving) | Intervention | Follow-Up | Outcomes (Abstinence and/or Craving) | Dropout |
|---|---|---|---|---|---|---|
| Bisaga, E., et al. (2004) [25]; USA | 88; 27.9; 66.6% male; heavy drinkers and alcohol dependence; inpatients | ACS and VAS; BAES | Memantine | 2 weeks | Craving significantly reduced vs. placebo | N/A |
| Green, R.J., et al. (2019) [20]; USA | 87; 26.8 ± 6.15; 66.7% male; heavy drinkers; outpatient | AUDIT; BAES and AUD | Naltrexone (50 mg/day) | 5 days | Craving reduced vs. placebo; number of drinks reduced in the control group | 11.5% |
| Haass-Koffler, C.L., et al. (2018) [26]; USA | 90; 40.6 ± 11.9; 63.3% male; heavy drinkers and alcohol dependence; outpatient | DSM 4; AUQ and BrAC | Topiramate; Aripiprazole | 5 weeks | Topiramate reduced craving and drinking vs. placebo; aripiprazole showed no difference | 10.0% |
| Haass-Koffler, C.L., et al. (2015) [38]; USA | 45; N/A; N/A; alcohol abuse and dependence; outpatient | DSM 4; VAS or a Juice VAS | Ghrelin IV | 1 day | Craving increased vs. placebo | 4.4% |
| Haass-Koffler, C.L., et al. (2016) [40]; USA | 43; N/A; N/A; alcohol dependence and heavy drinkers; outpatient | DSM 4; NIAAA; VAS or Juice VAS | Ghrelin IV | 1 day | Non-significant reduction in craving vs. placebo | N/A |
| Hammarberg, A., et al. (2009) [23]; Sweden | 56; acamprosate: 50.2 ± 7.6, placebo: 49.8 ± 7.3; 53.5% male; alcohol dependence; outpatient | DSM 4; Swedish version of the Desire for Alcohol Questionnaire; VAS and Alcohol cues consisted of a mixture of alcohol related visual, tactile, olfactory, and auditory stimuli. | Acamprosate (1998 mg/day) | 21 days | Craving reduced vs. placebo; number of drinks reduced in the control group | 25% |
| Krupitsky, E.M., et al. (2007) [24]; Russia | 38; 39.2 ± 9.0; 100% male; alcohol dependence; inpatients | ICD-10; DSM 4; VAS | Memantine | 3 days | Craving significantly reduced vs. placebo | 0% |
| Krystal, J.H., et al. (1998) [35]; USA | 20; 44 ± 10.5; 100% male; alcohol dependence; inpatients | DSM-3; VAS | Ketamine | 3 days | No difference in abstinence vs. placebo; non-significant reduction in craving | 0% |
| Leggio, L., et al. (2014) [39]; USA | 45; 44.7 ± 9.1; 20% male; alcohol dependence; outpatient | VAS: The Alcohol Attention Scale and exposed to neutral and alcohol cues. | Ghrelin IV | 1 day | Craving increased vs. placebo | 0% |
| Lieb, M., et al. (2013 [36]); Germany | 20; N/A; 100% male; alcohol dependence; inpatients | DSM 4; ACQ | Naloxone | 2 days | No difference in craving vs. placebo | 0% |
| McKee, S.A., et al. (2009) [30]; USA | 20; varenicline: 34.20 ± 12.08, placebo: 35.30 ± 12.71; 80% male; heavy drinkers; N/A | DSM 4; AUQ | Varenicline | 7 days | Craving reduced vs. placebo; number of drinks reduced in the control group | 0% |
| Miranda, R., et al. (2014) [21]; USA | 22; 18.3 ± 0.95; 45% male; heavy drinkers; outpatient | DSM 4 and AUQ | Naltrexone (50 mg/day) | 8–10 days | Abstinence favored in control group; craving reduced vs. placebo | 0% |
| Mitchell, J.M., et al. (2016) [37]; USA | 32; 28.9 ± 7.15; 59.3% male; alcohol abuse; outpatient | DSM 4; AUDIT; AUQ; 7-point Likert scale and Cue-induced Craving Task | Intranasal Oxytocin | 7 days | Craving significantly reduced vs. placebo | 0% |
| Modell, J.G., et al., (1993) [33]; USA | 16; 39; 62.5% male; alcohol dependence; outpatient | DSM-3; Self-ratings of alcohol craving | Haloperidol | 14 weeks | No difference in abstinence vs. placebo; craving reduced | N/A |
| Myrick, H., et al. (2008) [22]; USA | 125; naltrexone: 27.22 ± 8.84, ondansetron: 25.13 ± 6.88, combination: 26.15 ± 8.82, placebo: 24.75 ± 5.74, control: 25.18 ± 4.00; 72.9% male; alcohol dependence; outpatient | DSM 4; CIWA-Ar; Self-ratings of alcohol craving | Naltrexone; Ondansetron; Naltrexone (50 mg/day) + Ondansetron | 7 days | Craving significantly reduced vs. placebo | 28% |
| Myrick, H., et al. (2007) [27]; USA | 35; gabapentin: 34.8 ± 14.1, placebo: 32.3 ± 10.1; 94.2% male; alcohol dependence; outpatient | DSM-5; SCID and ACQ | Gabapentin | 8 days | No difference in abstinence or craving vs. placebo | 0% |
| Naranjo, C.A., et al. (1992) [34]; Canada | 16; 38.5 ± 13.2; 81% male; heavy drinkers; outpatient | Self-ratings of alcohol craving | Citalopram | 4 weeks | Abstinence favored in control group; craving reduced vs. placebo | 5% |
| Petrakis, I.L., et al. (2001) [42]; USA | 16; 43.1 ± 6.3; 94% male; alcohol dependence; inpatients | DSM-3 and Tiffany Craving Questionnaire | Active tryptophan depletion | 1 week | No difference in abstinence or craving vs. placebo | 0% |
| Petrakis, I.L., et al. (2002) [41]; USA | 12; 27.7 ± 9.2; 83.3% male; alcohol abuse and dependence; outpatient | DSM 4; CIWA-Ar; TLFB and Addiction Severity Index (ASI); Tiffany Craving Questionnaire | Active tryptophan depletion | 1 week | No difference in abstinence or craving vs. placebo | 10.0% |
| Petrakis, I.L., et al. (2019) [44]; USA | 49; 34.4 ± 10.3; 71.4% male; Alcohol Use Disorder; outpatient | AUDIT; SCID and Yale Craving Scale | Minocycline | 10 days | No difference in abstinence or craving vs. placebo | 2% |
| Ray, L.A., et al. (2011) [32]; USA | 20; placebo: 34.1 ± 11.74, quetiapine: 34.5 ± 14.21; 80% male; alcohol dependence; outpatient | DSM 4; PACS; OCDS; AUQ and Alcohol administration cue-exposure | Quetiapine | 6 weeks | No difference in abstinence vs. placebo; craving reduced | 25% |
| Ray, L.A., et al. (2012) [19]; USA | 35; 22.3 ± 1.98; 71% male; heavy drinkers; outpatient | AUDIT; AUQ and Intravenous alcohol administration | Naltrexone (25–50 mg/day) | 4 days | Craving reduced vs. placebo; number of drinks reduced in the control group | 8.5% |
| Roberts, W., et al. (2017) [28]; USA | 77; placebo: 32.61 ± 10.21, varenicline: 34.85 ± 11.17; 65% male; heavy drinkers (smokers and non-smokers); outpatient | DSM 4; AUDIT and VAS | Varenicline | 10 days | Craving reduced vs. placebo; number of drinks reduced in the control group | 0% |
| Verplaetse, T.L., et al. (2016) [29]; USA | 60; placebo: 34.2 ± 9.52, varenicline 1 mg: 33.35 ± 8.51, varenicline 2 mg: 34.15 ± 11.6; 68% male; heavy drinkers and alcohol dependence; outpatient | DSM 4; Tiffany Questionnaire of Smoking Urges (QSU-Brief); AES; AUQ and VAS | Varenicline | 10 days | Craving reduced vs. placebo; number of drinks reduced in the control group | 14.2% |
| Voronin, K., et al. (2008) [31]; USA | 30; aripiprazole: 29.0 ± 10.6, placebo: 25.5 ± 8.9; 83.3% male; alcohol dependence; outpatient | DSM 4; OCDS; SAAST; ADS and ACQ; | Aripiprazole | 8 days | Number of drinks reduced in the control group; non-significant reduction in craving | 0% |
| Watson, B.J., et al. (2011) [43]; UK | 16; D-cycloserine: 45.2 ± 10.1, placebo: 43.9 ± 8.5; 71.4% male; alcohol dependence; outpatient | DSM 4; ACDS; AUQ, VAS, and Cue-exposure | D-cycloserine | 3 weeks | No difference in craving vs. placebo | 12.5% |
Disclaimer/Publisher’s Note: The statements, opinions and data contained in all publications are solely those of the individual author(s) and contributor(s) and not of MDPI and/or the editor(s). MDPI and/or the editor(s) disclaim responsibility for any injury to people or property resulting from any ideas, methods, instructions or products referred to in the content. |
© 2026 by the authors. Licensee MDPI, Basel, Switzerland. This article is an open access article distributed under the terms and conditions of the Creative Commons Attribution (CC BY) license.
Share and Cite
Cheibub David Marin, M.; Pozzolo Pedro, M.O.; Perrotte, G.; Castaldelli-Maia, J.M. Pharmacotherapy for Alcohol Craving Reduction: Efficacy of Short-Term Treatments in Alcohol Use Disorder. Medicines 2026, 13, 7. https://doi.org/10.3390/medicines13010007
Cheibub David Marin M, Pozzolo Pedro MO, Perrotte G, Castaldelli-Maia JM. Pharmacotherapy for Alcohol Craving Reduction: Efficacy of Short-Term Treatments in Alcohol Use Disorder. Medicines. 2026; 13(1):7. https://doi.org/10.3390/medicines13010007
Chicago/Turabian StyleCheibub David Marin, Matheus, Maria Olivia Pozzolo Pedro, Giuliana Perrotte, and João Mauricio Castaldelli-Maia. 2026. "Pharmacotherapy for Alcohol Craving Reduction: Efficacy of Short-Term Treatments in Alcohol Use Disorder" Medicines 13, no. 1: 7. https://doi.org/10.3390/medicines13010007
APA StyleCheibub David Marin, M., Pozzolo Pedro, M. O., Perrotte, G., & Castaldelli-Maia, J. M. (2026). Pharmacotherapy for Alcohol Craving Reduction: Efficacy of Short-Term Treatments in Alcohol Use Disorder. Medicines, 13(1), 7. https://doi.org/10.3390/medicines13010007

