Decoding the Liver–Blood Partitioning of Neonicotinoid Insecticides: Evidence from Paired Human Liver and Blood Biomonitoring
Abstract
1. Introduction
2. Methods and Materials
2.1. Study Population and Sample Collection
2.2. Sample Preparation
2.3. Instrumental Analysis
2.4. Quality Assurance and Quality Control
2.5. Calculation of Blood-to-Liver Partition Ratio
2.6. Statistical Analysis
3. Result and Discussion
3.1. Levels and Composition of Neonicotinoids in Whole Blood and Liver
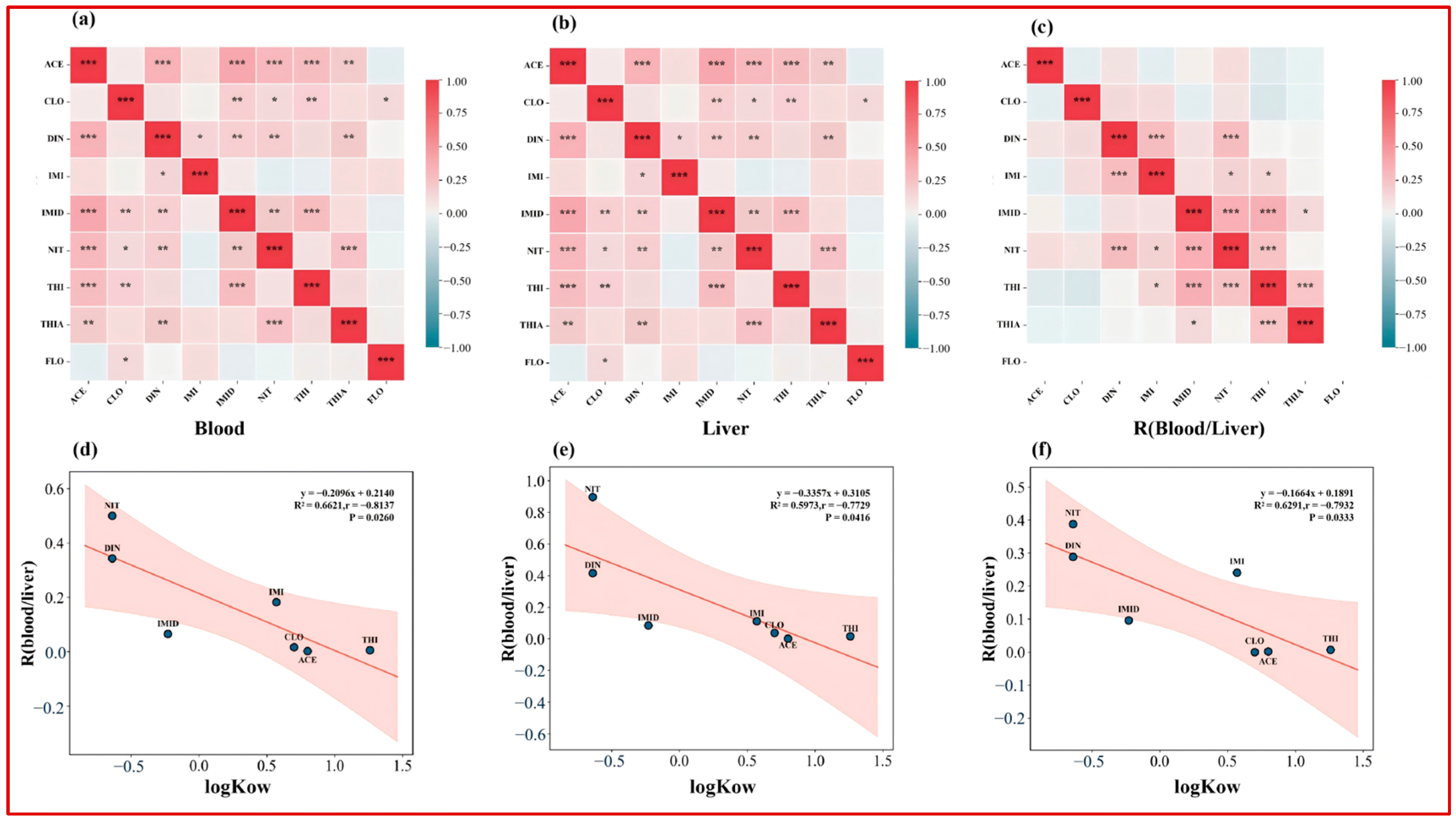
3.2. Liver–Blood Partitioning Characteristics Based on Population Biomonitoring
3.3. Sex- and BMI-Stratified Patterns of Neonicotinoid Burden
3.4. Liver Tissue-Based Associations Between Neonicotinoid Burden and Liver Cancer Status
4. Conclusions
Supplementary Materials
Author Contributions
Funding
Institutional Review Board Statement
Informed Consent Statement
Data Availability Statement
Conflicts of Interest
Abbreviations
| NEOs | Neonicotinoids |
| R_B/L | Blood-to-liver partition ratios |
| IMI | Iimidacloprid |
| ACE | Acetamiprid |
| THIA | Thiamethoxam |
| CLO | Clothianidin |
| THI | Thiacloprid |
| FLO | Flonicamid |
| NIT | Nitenpyram |
| IMID | Imidaclothiz |
| DIN | Dinotefuran |
| PFAS | Polyfluoroalkyl substances |
| POPs | Persistent organic pollutants |
| ACE-d3 | Acetamiprid-d3 |
| IMI-d4 | Imidacloprid-d4 |
| CLO-d3 | Clothianidin-d3 |
| DIN-d3 | Dinotefuran-d3 |
| THIA-d3 | Thiamethoxam-d3 |
| LOD | The limits of detection |
| LOQ | The limits of quantification |
| SNRs | Signal-to-noise ratios |
| ORs | Odds ratios |
| CIs | Confidence intervals |
| BMI | Body mass index |
| OATPs | Organic anion transporting polypeptides |
| OCT1 | Organic cation transporter 1 |
References
- Jeschke, P.; Nauen, R.; Schindler, M.; Elbert, A.J. Overview of the status and global strategy for neonicotinoids. J. Agric. Food Chem. 2011, 59, 2897–2908. [Google Scholar]
- Chen, Y.; Yan, C.; Sun, Z.; Wang, Y.; Tao, S.; Shen, G.; Xu, T.; Zhou, P.; Cao, X.; Wang, F.J.E.S.; et al. Organochlorine pesticide ban facilitated reproductive recovery of Chinese striped hamsters. Environ. Sci. Technol. 2021, 55, 6140–6149. [Google Scholar] [CrossRef]
- Hladik, M.L.; Main, A.R.; Goulson, D. Environmental risks and challenges associated with neonicotinoid insecticides. Environ. Sci. Technol. 2018, 52, 3329–3335. [Google Scholar] [CrossRef]
- Thompson, D.A.; Lehmler, H.-J.; Kolpin, D.W.; Hladik, M.L.; Vargo, J.D.; Schilling, K.E.; LeFevre, G.H.; Peeples, T.L.; Poch, M.C.; LaDuca, L.E.; et al. A critical review on the potential impacts of neonicotinoid insecticide use: Current knowledge of environmental fate, toxicity, and implications for human health. Environ. Sci. Process. Impacts 2020, 22, 1315–1346. [Google Scholar] [CrossRef] [PubMed]
- Zhang, D.; Lu, S. Human exposure to neonicotinoids and the associated health risks: A review. Environ. Int. 2022, 163, 107201. [Google Scholar] [CrossRef]
- Ospina, M.; Wong, L.-Y.; Baker, S.E.; Serafim, A.B.; Morales-Agudelo, P.; Calafat, A.M. Exposure to neonicotinoid insecticides in the US general population: Data from the 2015–2016 national health and nutrition examination survey. Environ. Res. 2019, 176, 108555. [Google Scholar] [CrossRef] [PubMed]
- Klarich, K.L.; Pflug, N.C.; DeWald, E.M.; Hladik, M.L.; Kolpin, D.W.; Cwiertny, D.M.; LeFevre, G.H.; Letters, T. Occurrence of neonicotinoid insecticides in finished drinking water and fate during drinking water treatment. Environ. Sci. Technol. Lett. 2017, 4, 168–173. [Google Scholar] [CrossRef]
- Berens, M.J.; Capel, P.D.; Arnold, W.A. Neonicotinoid insecticides in surface water, groundwater, and wastewater across land-use gradients and potential effects. Environ. Toxicol. Chem. 2021, 40, 1017–1033. [Google Scholar]
- Woodcock, B.A.; Isaac, N.J.; Bullock, J.M.; Roy, D.B.; Garthwaite, D.G.; Crowe, A.; Pywell, R.F. Impacts of neonicotinoid use on long-term population changes in wild bees in England. Nat. Commun. 2016, 7, 12459. [Google Scholar] [CrossRef]
- Woodcock, B.A.; Bullock, J.M.; Shore, R.F.; Heard, M.S.; Pereira, M.G.; Redhead, J.; Ridding, L.; Dean, H.; Sleep, D.; Henrys, P.J.S. Country-specific effects of neonicotinoid pesticides on honey bees and wild bees. Science 2017, 356, 1393–1395. [Google Scholar] [CrossRef] [PubMed]
- Wrobel, S.A.; Bury, D.; Hayen, H.; Koch, H.M.; Brüning, T.; Käfferlein, H.U. Human metabolism and urinary excretion of seven neonicotinoids and neonicotinoid-like compounds after controlled oral dosages. Arch. Toxicol. 2022, 96, 121–134. [Google Scholar] [CrossRef]
- Xu, M.; Zhang, Z.; Li, Z.; Kan, S.; Liu, Z.; Wang, D.; Liu, Q.; Zhang, H. Profiles of neonicotinoid insecticides and characteristic metabolites in paired urine and blood samples: Partitioning between urine and blood and implications for human exposure. Sci. Total. Environ. 2021, 773, 145582. [Google Scholar] [CrossRef]
- Yao, Y.-N.; Song, S.; Huang, Y.; Kannan, K.; Sun, H.; Zhang, T. Insights into free and conjugated forms of neonicotinoid insecticides in human serum and their association with oxidative stress. Environ. Heal. 2023, 1, 121–129. [Google Scholar] [CrossRef] [PubMed]
- Chen, Q.; Zhang, Y.; Li, J.; Su, G.; Chen, Q.; Ding, Z.; Sun, H. Serum concentrations of neonicotinoids, and their associations with lipid molecules of the general residents in Wuxi City, Eastern China. J. Hazard. Mater. 2021, 413, 125235. [Google Scholar] [CrossRef] [PubMed]
- Calafat, A.M.; Longnecker, M.P.; Koch, H.M.; Swan, S.H.; Hauser, R.; Goldman, L.R.; Lanphear, B.P.; Rudel, R.A.; Engel, S.M.; Teitelbaum, S.L.; et al. Optimal exposure biomarkers for nonpersistent chemicals in environmental epidemiology. Environ. Heal. Perspect. 2015, 123, A166. [Google Scholar] [CrossRef]
- Chen, Y.; Yu, W.; Zhang, L.; Cao, L.; Ling, J.; Liao, K.; Shen, G.; Du, W.; Chen, K.; Zhao, M.; et al. First evidence of neonicotinoid insecticides in human bile and associated hepatotoxicity risk. J. Hazard. Mater. 2023, 446, 130715. [Google Scholar] [CrossRef]
- Gu, X.; Manautou, J.E. Molecular mechanisms underlying chemical liver injury. Expert Rev. Mol. Med. 2012, 14, e4. [Google Scholar] [CrossRef] [PubMed]
- Hong, Y.; Wang, D.; Liu, Z.; Chen, Y.; Wang, Y.; Li, J. Decoding per-and polyfluoroalkyl substances (PFAS) in hepatocellular carcinoma: A multi-omics and computational toxicology approach. J. Transl. Med. 2025, 23, 504. [Google Scholar] [CrossRef]
- Zani, C.; Gelatti, U.; Donato, F.; Capelli, M.; Portolani, N.; Bergonzi, R.; Apostoli, P. Polychlorinated biphenyls in serum, liver and adipose tissue of subjects with hepatocellular carcinoma living in a highly polluted area. Chemosphere 2013, 91, 194–199. [Google Scholar] [CrossRef]
- Lee, J.; Fraser, M.; Philibert, A.; Saint-Amour, D.; Mergler, D.; Fillion, M. Mercury concentrations in historic autopsies from Grassy Narrows First Nation. J. Neurol. Sci. 2025, 471, 123429. [Google Scholar] [CrossRef]
- Morrissey, C.A.; Mineau, P.; Devries, J.H.; Sanchez-Bayo, F.; Liess, M.; Cavallaro, M.C.; Liber, K. Neonicotinoid contamination of global surface waters and associated risk to aquatic invertebrates: A review. Environ. Int. 2015, 74, 291–303. [Google Scholar] [CrossRef]
- Wang, X.; Anadón, A.; Wu, Q.; Qiao, F.; Ares, I.; Martínez-Larrañaga, M.-R.; Yuan, Z.; Martínez, M.-A. Mechanism of neonicotinoid toxicity: Impact on oxidative stress and metabolism. Annu. Rev. Pharmacol. Toxicol. 2018, 58, 471–507. [Google Scholar] [CrossRef]
- Yan, S.; Meng, Z.; Tian, S.; Teng, M.; Yan, J.; Jia, M.; Li, R.; Zhou, Z.; Zhu, W. Neonicotinoid insecticides exposure cause amino acid metabolism disorders, lipid accumulation and oxidative stress in ICR mice. Chemosphere 2020, 246, 125661. [Google Scholar] [CrossRef]
- Zheng, M.; Qin, Q.; Zhou, W.; Liu, Q.; Zeng, S.; Xiao, H.; Bai, Q.; Gao, J. Metabolic disturbance in hippocampus and liver of mice: A primary response to imidacloprid exposure. Sci. Rep. 2020, 10, 5713. [Google Scholar] [CrossRef]
- Hirano, T.; Ohno, S.; Ikenaka, Y.; Onaru, K.; Kubo, S.; Miyata, Y.; Maeda, M.; Mantani, Y.; Yokoyama, T.; Nimako, C.; et al. Quantification of the tissue distribution and accumulation of the neonicotinoid pesticide clothianidin and its metabolites in maternal and fetal mice. Toxicol. Appl. Pharmacol. 2024, 484, 116847. [Google Scholar] [CrossRef]
- Duzguner, V.; Erdogan, S. Acute oxidant and inflammatory effects of imidacloprid on the mammalian central nervous system and liver in rats. Pestic. Biochem. Physiol. 2010, 97, 13–18. [Google Scholar] [CrossRef]
- Kapoor, U.; Srivastava, M.; Trivedi, P.; Garg, V.; Srivastava, L. Disposition and acute toxicity of imidacloprid in female rats after single exposure. Food Chem. Toxicol. 2014, 68, 190–195. [Google Scholar] [CrossRef] [PubMed]
- Zhang, Q.; Hu, S.; Dai, W.; Gu, S.; Ying, Z.; Wang, R.; Lu, C. The partitioning and distribution of neonicotinoid insecticides in human blood. Environ. Pollut. 2023, 320, 121082. [Google Scholar] [CrossRef] [PubMed]
- Godbole, A.M.; Chen, A.; Vuong, A.M. Associations between neonicotinoids and liver function measures in US adults: National health and nutrition examination survey 2015–2016. Environ. Epidemiol. 2024, 8, e310. [Google Scholar] [CrossRef] [PubMed]
- Baumert, B.O.; Fischer, F.C.; Nielsen, F.; Grandjean, P.; Bartell, S.; Stratakis, N.; Walker, D.I.; Valvi, D.; Kohli, R.; Inge, T.; et al. Paired liver: Plasma PFAS concentration ratios from adolescents in the Teen-LABS study and derivation of empirical and mass balance models to predict and explain liver PFAS accumulation. Environ. Sci. Technol. 2023, 57, 14817–14826. [Google Scholar] [CrossRef]
- Poulin, P.; Theil, F.P. A priori prediction of tissue: Plasma partition coefficients of drugs to facilitate the use of physiologically-based pharmacokinetic models in drug discovery. J. Pharm. Sci. 2000, 89, 16–35. [Google Scholar] [CrossRef]
- Holt, K.; Ye, M.; Nagar, S.; Korzekwa, K. Prediction of tissue-plasma partition coefficients using microsomal partitioning: Incorporation into physiologically based pharmacokinetic models and steady-state volume of distribution predictions. Drug Metab. Dispos. 2019, 47, 1050–1060. [Google Scholar]
- Barouki, R.; Samson, M.; Blanc, E.B.; Colombo, M.; Zucman-Rossi, J.; Lazaridis, K.N.; Miller, G.W.; Coumoul, X. The exposome and liver disease-how environmental factors affect liver health. J. Hepatol. 2023, 79, 492–505. [Google Scholar]
- Beier, J.I.; Luo, J.; Vanderpuye, C.-M.; Brizendine, P.; Muddasani, P.; Bolatimi, O.; Heinig, S.A.; Ekuban, F.A.; Siddiqui, H.; Ekuban, A.; et al. Environmental Pollutants, Occupational Exposures, and Liver Disease. Semin. Liver Dis. 2025, 45, 148–166. [Google Scholar] [CrossRef]
- Wang, X.; Zhang, L.; Dong, B. Molecular mechanisms in MASLD/MASH-related HCC. Hepatology 2025, 82, 1303–1324. [Google Scholar]
- Billington, S.; Ray, A.S.; Salphati, L.; Xiao, G.; Chu, X.; Humphreys, W.G.; Liao, M.; Lee, C.A.; Mathias, A.; Hop, C.E.C.A.; et al. Transporter expression in noncancerous and cancerous liver tissue from donors with hepatocellular carcinoma and chronic hepatitis C infection quantified by LC-MS/MS proteomics. Drug Metab. Dispos. 2018, 46, 189–196. [Google Scholar] [CrossRef]
- Zhang, M.; Zhu, J.; Zheng, P.; Wei, C.; Li, D.; Wang, Q.; Zhang, H. Neonicotinoid insecticides and their characteristic metabolites may induce high fasting blood glucose and obesity in human. Expo. Heal. 2024, 16, 1407–1419. [Google Scholar] [CrossRef]
- Zhang, T.; Song, S.; Bai, X.; He, Y.; Zhang, B.; Gui, M.; Kannan, K.; Lu, S.; Huang, Y.; Sun, H. A nationwide survey of urinary concentrations of neonicotinoid insecticides in China. Environ. Int. 2019, 132, 105114. [Google Scholar] [CrossRef] [PubMed]
- Yu, W.; Wu, R.; Zhang, L.; Pan, Y.; Ling, J.; Yang, D.; Qu, J.; Tao, Z.; Meng, R.; Shen, Y.; et al. Identification of key factors affecting neonicotinoid residues in crops and risk of dietary exposure. Environ. Pollut. 2024, 345, 123489. [Google Scholar] [CrossRef] [PubMed]
- Hou, J.; Chen, L.; Wang, J.; Wang, L.; Han, B.; Li, Y.; Yu, L.; Liu, W. Neonicotinoid metabolites in farmland surface soils in China based on multiple agricultural influencing factors: A national survey. J. Hazard. Mater. 2025, 483, 136633. [Google Scholar] [CrossRef] [PubMed]
- Li, L.; Liang, H.; Zhao, T.; Liu, Y.; Yan, S.; Zhu, W. Differential effects of thiamethoxam and clothianidin exposure on their tissue distribution and chronic toxicity in mice. Chem. Interact. 2022, 366, 110149. [Google Scholar] [CrossRef]
- Taira, K.; Ikenaka, Y.; Bonmatin, J.-M.; Safer, A. Human plasma protein bindings of neonicotinoid insecticides and metabolites. Sci. Rep. 2025, 15, 13155. [Google Scholar] [CrossRef]
- Thompson, D.A.; Kolpin, D.W.; Hladik, M.L.; Lehmler, H.-J.; Meppelink, S.M.; Poch, M.C.; Vargo, J.D.; Soupene, V.A.; Irfan, N.M.; Robinson, M.; et al. Prevalence of neonicotinoid insecticides in paired private-well tap water and human urine samples in a region of intense agriculture overlying vulnerable aquifers in eastern Iowa. Chemosphere 2023, 319, 137904. [Google Scholar] [CrossRef]
- Shi, X.; Dick, R.A.; Ford, K.A.; Casida, J.E. Enzymes and inhibitors in neonicotinoid insecticide metabolism. J. Agric. Food Chem. 2009, 57, 4861–4866. [Google Scholar] [CrossRef]
- Swenson, T.L.; Casida, J.E. Aldehyde oxidase importance in vivo in xenobiotic metabolism: Imidacloprid nitroreduction in mice. Toxicol. Sci. 2013, 133, 22–28. [Google Scholar] [CrossRef] [PubMed]
- Schmitt, W. General approach for the calculation of tissue to plasma partition coefficients. Toxicol. Vitr. 2008, 22, 457–467. [Google Scholar] [CrossRef] [PubMed]
- Rodgers, T.; Rowland, M. Physiologically based pharmacokinetic modelling 2: Predicting the tissue distribution of acids, very weak bases, neutrals and zwitterions. J. Pharm. Sci. 2006, 95, 1238–1257. [Google Scholar] [CrossRef] [PubMed]
- Zoghbi, S.S.; Anderson, K.B.; Jenko, K.J.; Luckenbaugh, D.A.; Innis, R.B.; Pike, V.W. On quantitative relationships between drug-like compound lipophilicity and plasma free fraction in monkey and human. J. Pharm. Sci. 2012, 101, 1028–1039. [Google Scholar] [CrossRef]
- Karlgren, M.; Vildhede, A.; Norinder, U.; Wisniewski, J.R.; Kimoto, E.; Lai, Y.; Haglund, U.; Artursson, P. Classification of inhibitors of hepatic organic anion transporting polypeptides (OATPs): Influence of protein expression on drug–drug interactions. J. Med. Chem. 2012, 55, 4740–4763. [Google Scholar] [CrossRef]
- Ahlin, G.; Karlsson, J.; Pedersen, J.M.; Gustavsson, L.; Larsson, R.; Matsson, P.; Norinder, U.; Bergström, C.A.S.; Artursson, P. Structural requirements for drug inhibition of the liver specific human organic cation transport protein 1. J. Med. Chem. 2008, 51, 5932–5942. [Google Scholar] [CrossRef]
- Zhang, H.; Zhu, K.; Du, J.; Ou, M.; Hou, J.; Wang, D.; Wang, J.; Zhang, W.; Sun, G. Serum concentrations of neonicotinoids and their characteristic metabolites in elderly population from South China: Association with osteoporosis. Environ. Res. 2022, 203, 111772. [Google Scholar] [CrossRef]
- Song, S.; Zhang, T.; Huang, Y.; Zhang, B.; Guo, Y.; He, Y.; Huang, X.; Bai, X.-Y.; Kannan, K. Urinary metabolites of neonicotinoid insecticides: Levels and recommendations for future biomonitoring studies in China. Environ. Sci. Technol. 2020, 54, 8210–8220. [Google Scholar] [CrossRef]
- Manfo, F.P.T.; Nimako, C.; Nantia, E.A.; Suh, C.F.; Chenwi, S.P.; Cho-Ngwa, F.; Moundipa, P.F.; Nakayama, S.M.M.; Ishizuka, M.; Ikenaka, Y. Exposure of male farmers and nonfarmers to neonicotinoid pesticides in the South-West and littoral regions of Cameroon: A comparative study. Environ. Toxicol. Chem. 2024, 43, 952–964. [Google Scholar] [CrossRef]
- Tao, Y.; Dong, F.; Xu, J.; Phung, D.; Liu, Q.; Li, R.; Liu, X.; Wu, X.; He, M.; Zheng, Y. Characteristics of neonicotinoid imidacloprid in urine following exposure of humans to orchards in China. Environ. Int. 2019, 132, 105079. [Google Scholar] [CrossRef] [PubMed]
- Waxman, D.J.; Holloway, M.G. Sex differences in the expression of hepatic drug metabolizing enzymes. Mol. Pharmacol. 2009, 76, 215–228. [Google Scholar] [CrossRef] [PubMed]
- Yang, L.; Li, Y.; Hong, H.; Chang, C.-W.; Guo, L.-W.; Lyn-Cook, B.; Shi, L.; Ning, B. Sex differences in the expression of drug-metabolizing and transporter genes in human liver. J. Drug Metab. Toxicol. 2012, 3, 1000119. [Google Scholar] [PubMed]
- Wu, J.; LoRusso, P.M.; Matherly, L.H.; Li, J. Implications of plasma protein binding for pharmacokinetics and pharmacodynamics of the γ-secretase inhibitor RO4929097. Clin. Cancer Res. 2012, 18, 2066–2079. [Google Scholar] [CrossRef]
- Zhang, T.; Calvier, E.A.M.; Krekels, E.H.J.; Knibbe, C.A.J. Impact of obesity on hepatic drug clearance: What are the influential variables? AAPS J. 2024, 26, 59. [Google Scholar] [CrossRef]
- Wang, H.; Yang, D.; Fang, H.; Han, M.; Tang, C.; Wu, J.; Chen, Y.; Jiang, Q. Predictors, sources, and health risk of exposure to neonicotinoids in Chinese school children: A biomonitoring-based study. Environ. Int. 2020, 143, 105918. [Google Scholar] [CrossRef]
- Imagined, M.C.T. Reverse causality in cardiovascular epidemiological research. Circulation 2017, 135, 2369–2372. [Google Scholar] [CrossRef]
- Chen, H. Roles of organic anion transporting polypeptides in hepatocellular carcinoma. Front. Genet. 2025, 16, 1550723. [Google Scholar] [CrossRef]
- Yan, T.; Lu, L.; Xie, C.; Chen, J.; Peng, X.; Zhu, L.; Wang, Y.; Li, Q.; Shi, J.; Zhou, F.; et al. Severely impaired and dysregulated cytochrome P450 expression and activities in hepatocellular carcinoma: Implications for personalized treatment in patients. Mol. Cancer Ther. 2015, 14, 2874–2886. [Google Scholar] [CrossRef]
- Wang, Y.; Zhang, Y.; Li, W.; Yang, L.; Guo, B. Distribution, metabolism and hepatotoxicity of neonicotinoids in small farmland lizard and their effects on GH/IGF axis. Sci. Total. Environ. 2019, 662, 834–841. [Google Scholar] [CrossRef] [PubMed]
- Qumsani, A.T. Exploring the effects of imidacloprid on liver health and the microbiome in rats: A comprehensive study. Microorganisms 2024, 13, 15. [Google Scholar] [CrossRef] [PubMed]
- VanderWeele, T.J.; Ding, P. Sensitivity analysis in observational research: Introducing the E-value. Ann. Intern. Med. 2017, 167, 268–274. [Google Scholar] [CrossRef] [PubMed]
- Lipsitch, M.; Tchetgen, E.T.; Cohen, T. Negative controls: A tool for detecting confounding and bias in observational studies. Epidemiology 2010, 21, 383–388. [Google Scholar] [CrossRef]




| ACE | CLO | DIN | IMI | IMID | NIT | THI | THIA | FLO | ΣNEOs | ||
|---|---|---|---|---|---|---|---|---|---|---|---|
| Blood | Liver cancer (n = 125) | ||||||||||
| DRs | 4.0% | 7.2% | 88.8% | 39.2% | 37.6% | 61.6% | 16.0% | 1.6% | 0 | 88.8% | |
| median | 0.39 | 1.19 | 2.59 | 1.45 | 1.23 | 3.80 | 0.13 | 1.37 | ND | 7.07 | |
| SD | 0.24 | 0.79 | 2.44 | 0.97 | 0.89 | 2.15 | 0.09 | 0.61 | ND | 3.65 | |
| mean | 0.48 | 1.51 | 3.31 | 1.65 | 1.45 | 3.97 | 0.16 | 1.37 | ND | 7.60 | |
| Non-cancer (n = 109) | |||||||||||
| DRs | 1.8% | 3.7% | 79.8% | 42.2% | 25.7% | 56.9% | 11.9% | 0 | 0 | 79.8% | |
| median | 0.30 | 1.18 | 2.89 | 1.65 | 1.15 | 3.23 | 0.18 | ND | ND | 6.94 | |
| SD | 0.38 | 0.42 | 2.11 | 1.56 | 1.21 | 2.00 | 0.08 | ND | ND | 3.93 | |
| mean | 0.29 | 1.09 | 3.47 | 2.05 | 1.47 | 3.79 | 0.18 | ND | ND | 7.82 | |
| Liver | Liver cancer (n = 125) | ||||||||||
| DRs | 89.6% | 17.6% | 73.6% | 14.4% | 83.2% | 73.6% | 50.4% | 53.6% | 3.2% | 93.6% | |
| median | 6.14 | 9.81 | 11.38 | 3.52 | 6.13 | 7.01 | 2.17 | 2.64 | 0.89 | 37.97 | |
| SD | 4.63 | 6.21 | 7.43 | 4.78 | 5.44 | 7.95 | 3.45 | 3.85 | 1.11 | 16.83 | |
| mean | 7.02 | 9.93 | 13.05 | 5.13 | 7.52 | 9.78 | 3.48 | 4.30 | 1.16 | 38.39 | |
| Non-cancer (n = 109) | |||||||||||
| DRs | 77.1% | 16.51% | 61.5% | 13.8% | 70.6% | 65.1% | 44.9% | 44.0% | 0.9% | 79.8% | |
| median | 6.05 | 4.87 | 9.99 | 4.97 | 6.45 | 7.19 | 2.52 | 1.28 | 0.19 | 32.53 | |
| SD | 4.71 | 6.66 | 7.83 | 3.88 | 5.97 | 6.91 | 2.74 | 4.18 | 0 | 15.46 | |
| mean | 6.68 | 7.10 | 11.04 | 5.61 | 7.65 | 8.62 | 3.04 | 3.43 | 0.19 | 34.80 | |
| Compounds | Crude OR | Crude p | Adjusted OR | Adjusted a p |
|---|---|---|---|---|
| (95% CI) | (95% CI) | |||
| Liver (n = 234) | ||||
| ACE | 0.75(0.61–0.91) | 0.004 | 0.79(0.64–0.99) | 0.037 |
| CLO | 0.94(0.78–1.14) | 0.549 | 0.97(0.80–1.19) | 0.800 |
| DIN | 0.83(0.73–0.95) | 0.007 | 0.81(0.70–0.93) | 0.004 |
| IMI | 0.99(0.84–1.16) | 0.913 | 0.96(0.81–1.15) | 0.666 |
| IMID | 0.84(0.72–0.97) | 0.019 | 0.84(0.71–0.98) | 0.030 |
| NIT | 0.83(0.68–1.01) | 0.061 | 0.86(0.70–1.06) | 0.162 |
| THI | 0.96(0.89–1.04) | 0.311 | 0.98(0.90–1.07) | 0.638 |
| THIA | 0.80(0.67–0.95) | 0.013 | 0.79(0.65–0.96) | 0.017 |
| ∑NEOs | 0.65(0.50–0.83) | 0.006 | 0.68(0.52–0.88) | 0.004 |
| Blood (n = 234) | ||||
| ACE | 0.17(0.01–5.08) | 0.307 | 0.11(0.00–5.86) | 0.274 |
| CLO | 0.64(0.34–1.22) | 0.176 | 0.61(0.30–1.24) | 0.171 |
| DIN | 0.87(0.70–1.09) | 0.229 | 0.84(0.66–1.07) | 0.157 |
| IMI | 1.06(0.92–1.22) | 0.406 | 1.05(0.90–1.22) | 0.548 |
| IMID | 0.79(0.62–1.01) | 0.062 | 0.84(0.65–1.10) | 0.212 |
| NIT | 0.88(0.65–1.18) | 0.376 | 0.98(0.71–1.34) | 0.880 |
| THI | 0.92(0.76–1.12) | 0.424 | 0.91(0.74–1.13) | 0.398 |
| THIA | 0.80(0.67–0.95) | 1.000 | 0.00(0.00–inf) | 1.000 |
| ∑NEOs | 0.77(0.52–1.13) | 0.311 | 0.79(0.52–1.19) | 0.261 |
Disclaimer/Publisher’s Note: The statements, opinions and data contained in all publications are solely those of the individual author(s) and contributor(s) and not of MDPI and/or the editor(s). MDPI and/or the editor(s) disclaim responsibility for any injury to people or property resulting from any ideas, methods, instructions or products referred to in the content. |
© 2026 by the authors. Licensee MDPI, Basel, Switzerland. This article is an open access article distributed under the terms and conditions of the Creative Commons Attribution (CC BY) license.
Share and Cite
Shao, J.; Chen, T.; Li, Y.; Yu, W.; Jin, H.; Zhou, Q.; Chen, Y. Decoding the Liver–Blood Partitioning of Neonicotinoid Insecticides: Evidence from Paired Human Liver and Blood Biomonitoring. Toxics 2026, 14, 237. https://doi.org/10.3390/toxics14030237
Shao J, Chen T, Li Y, Yu W, Jin H, Zhou Q, Chen Y. Decoding the Liver–Blood Partitioning of Neonicotinoid Insecticides: Evidence from Paired Human Liver and Blood Biomonitoring. Toxics. 2026; 14(3):237. https://doi.org/10.3390/toxics14030237
Chicago/Turabian StyleShao, Jiaqi, Tingna Chen, Yihan Li, Wenfei Yu, Hangbiao Jin, Qinghua Zhou, and Yuanchen Chen. 2026. "Decoding the Liver–Blood Partitioning of Neonicotinoid Insecticides: Evidence from Paired Human Liver and Blood Biomonitoring" Toxics 14, no. 3: 237. https://doi.org/10.3390/toxics14030237
APA StyleShao, J., Chen, T., Li, Y., Yu, W., Jin, H., Zhou, Q., & Chen, Y. (2026). Decoding the Liver–Blood Partitioning of Neonicotinoid Insecticides: Evidence from Paired Human Liver and Blood Biomonitoring. Toxics, 14(3), 237. https://doi.org/10.3390/toxics14030237

