Concentration-Governed Transition in DOM Function: From Surface Reductant to Performance Barrier on FeMnOx for Optimal Cr(VI) Removal
Abstract
1. Introduction
2. Materials and Methods
2.1. Loading of DOM onto FeMnOx
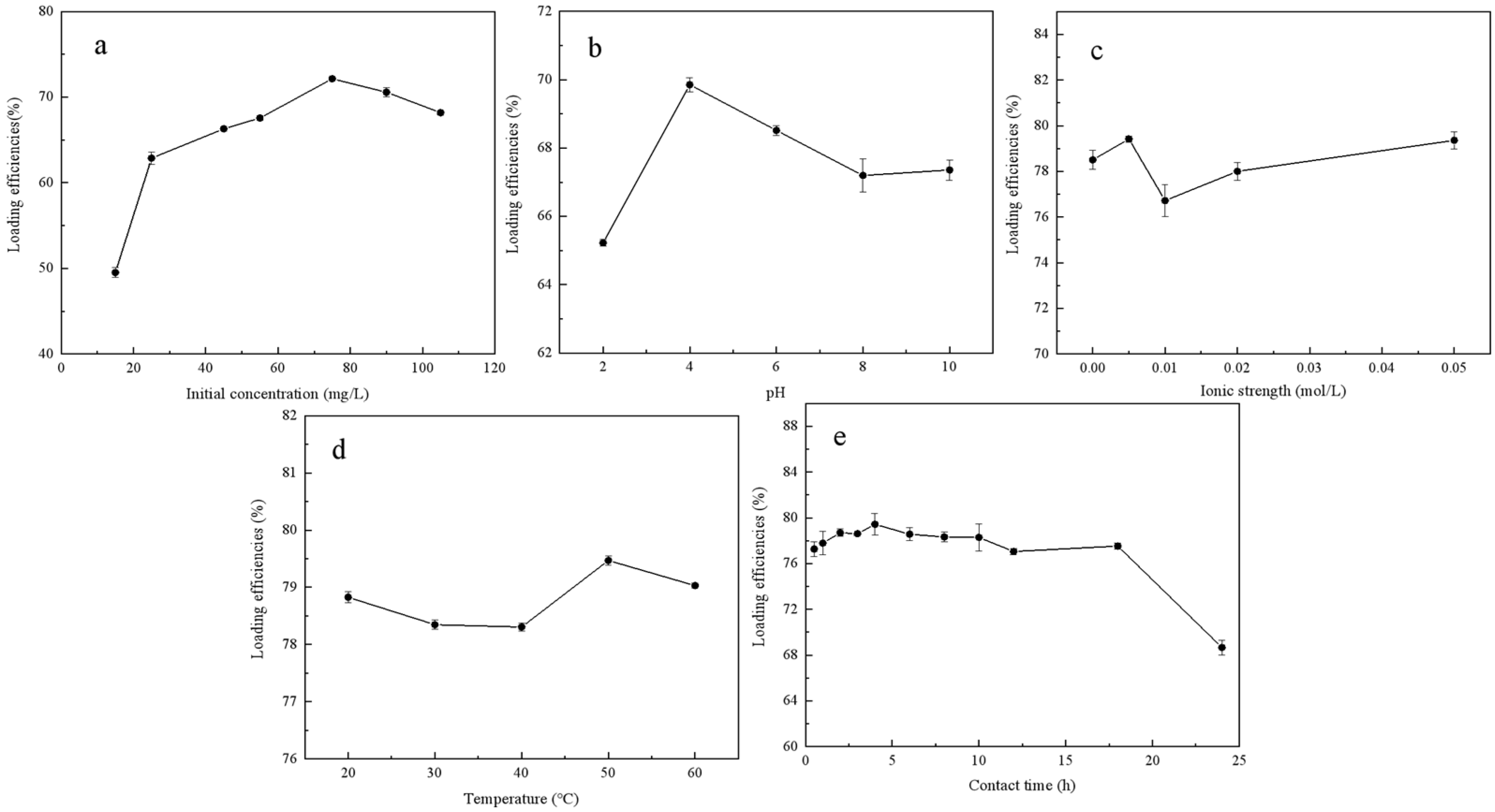
2.1.1. Range of Each Factor in Single-Factor Tests
2.1.2. Orthogonal Test Design
2.2. Physicochemical Characterization of DOM
2.2.1. DOM Concentration Determination
2.2.2. UV-Vis Spectroscopy
2.2.3. 3D-EEM Spectroscopy
2.3. Adsorption Model Fitting
2.4. Characterization of FeMnOx and FeMnOx-DOM
2.5. Batch Adsorption Tests of Cr(VI)
- Effect of initial DOM concentration. Adsorption was conducted using 1 g/L of FeMnOx loaded with varying DOM concentrations (0–105 mg/L) in a 50 mg/L Cr(VI) solution at 40 °C and pH 8 for 4 h.
- Effect of initial Cr(VI) concentration. Adsorption was performed with 1 g/L of FeMnOx-(75)DOM in Cr(VI) solutions ranging from 10 to 300 mg/L (natural pH 4.1–4.7) at 25 °C for 4 h.
- Effect of adsorbents’ dosage. Adsorption tests used FeMnOx-(75)DOM at dosages of 0.5–7.5 g/L in 50 mg/L Cr(VI) solution at 25 °C for 4 h.
- Effect of pH. The initial pH was adjusted to 3.0–10.0 using 5 g/L FeMnOx-(75)DOM at 25 °C for 4 h. In other tests, solution pH was not adjusted.
- Effect of temperature. Adsorption was studied at 25–50 °C with 1 g/L FeMnOx-(75)DOM in 50 mg/L Cr(VI) solution for 4 h.
- Effect of time. Adsorption kinetics were examined over 0.5–24 h using 1 g/L FeMnOx-(75)DOM in 50 mg/L Cr(VI) solution at 40 °C.
3. Results and Discussion
3.1. DOM Loading Behavior onto FeMnOx
3.1.1. Key Factors Affecting Loading Efficiency
3.1.2. Selective Loading of DOM Components
3.1.3. Adsorption Process
3.2. Impact of DOM Coating on Cr(VI) Removal
3.3. Surface Chemistry Evolution of FeMnOx and FeMnOx-DOM
3.4. Concentration-Dependent Regulatory Mechanism for DOM
4. Conclusions
Supplementary Materials
Author Contributions
Funding
Institutional Review Board Statement
Informed Consent Statement
Data Availability Statement
Acknowledgments
Conflicts of Interest
Abbreviations
| TOC | Total Organic Carbon |
| ICP-MS | Inductively Coupled Plasma Mass Spectrometry |
| SEM | Scanning Electron Microscope |
| EDS | Energy Dispersive Spectroscopy |
| XPS | X-ray Photoelectron Spectroscopy |
| FTIR | Fourier Transform Infrared Spectroscopy |
| CV | Cyclic Voltammetry Curve |
| BET | Brunauer–Emmet–Teller |
References
- Qu, J.; Rose, J.B. Why WE? A Scientific Odyssey for Planetary Sustainability via Water & Ecology. Water Ecol. 2025, 1, 100005. [Google Scholar] [CrossRef]
- Li, N.; Yu, J.; Wang, X.; Chen, L.; Jiang, H.; Zhang, W. Growth, Oxidative Stress and Ability to Degrade Tetrabromobisphenol A of Phanerochaete chrysosporium in the Presence of Different Nano Iron Oxides. Water 2024, 16, 567. [Google Scholar] [CrossRef]
- Liu, R.; Wu, K.; Miao, B.; Sun, X.; Li, A.; Liu, T.; Duan, C.; Li, Z. The treatment of As(III)-contaminated water by using granular Fe-Mn-Cu composite oxide: Removing As(III) via the oxidation-adsorption process and handling the release of manganese ions. J. Water Process. Eng. 2023, 56, 104396. [Google Scholar] [CrossRef]
- Yuan, M.; Gu, Z.; Minale, M.; Xia, S.; Zhao, J.; Wang, X. Simultaneous adsorption and oxidation of Sb(III) from water by the pH-sensitive superabsorbent polymer hydrogel incorporated with Fe-Mn binary oxides composite. J. Hazard. Mater. 2022, 423, 127013. [Google Scholar] [CrossRef] [PubMed]
- Chu, D.D.; Dong, H.R.; Li, Y.J.; Xiao, J.; Xiang, S.; Dong, Q.; Hou, X. Insights into the correlation between different adsorption/oxidation/catalytic performance and physiochemical characteristics of Fe-Mn oxide-based composites. J. Hazard. Mater. 2022, 439, 129631. [Google Scholar] [CrossRef] [PubMed]
- Barreto, M.S.C.; Elzinga, E.J.; Kubicki, J.D.; Sparks, D.L. A multi-scale assessment of the impact of salinity on the desorption of chromate from hematite: Sea level rise implications. J. Hazard. Mater. 2024, 465, 133041. [Google Scholar] [CrossRef] [PubMed]
- Zhu, N.; Ji, H.; Yu, P.; Niu, J.; Farooq, M.U.; Akram, M.W.; Udego, I.O.; Li, H.; Niu, X. Surface Modification of Magnetic Iron Oxide Nanoparticles. Nanomaterials 2018, 8, 810. [Google Scholar] [CrossRef]
- Hui, C.; Zhang, Y.; Ni, X.; Cheng, Q.; Zhao, Y.; Zhao, Y.; Du, L.; Jiang, H. Interactions of iron-based nanoparticles with soil dissolved organic matter: Adsorption, aging, and effects on hexavalent chromium removal. J. Hazard. Mater. 2021, 406, 124650. [Google Scholar] [CrossRef]
- Zhang, Z.Y.; Ti, X.L.; Yang, R.; Tang, Y.; Xi, B.; Sun, X.; Zhang, W.; Li, N. Enhanced Cr(VI) adsorption by DOM-coated iron-manganese binary oxides: Process and mechanisms. J. Environ. Chem. Eng. 2025, 13, 116705. [Google Scholar] [CrossRef]
- Wang, X.L.; Ma, E.X.; Shen, X.F.; Guo, X.; Zhang, M.; Zhang, H.; Liu, Y.; Cai, F.; Tao, S.; Xing, B. Effect of model dissolved organic matter coating on sorption of phenanthrene by TiO nanoparticles. Environ. Pollut. 2014, 194, 31–37. [Google Scholar] [CrossRef]
- Xia, Y.R.; Niu, S.P.; Yu, J.H. Microplastics as vectors of organic pollutants in aquatic environment: A re- view on mechanisms, numerical models, and influencing factors. Sci. Total Environ. 2023, 887, 164008. [Google Scholar] [CrossRef] [PubMed]
- Engel, M.; Chefetz, B. Adsorption and desorption of dissolved organic matter by carbon nanotubes: Effects of solution chemistry. Environ. Pollut. 2016, 213, 90–98. [Google Scholar] [CrossRef]
- Refaey, Y.; Jansen, B.; El-Shater, A.-H.; El-Haddad, A.-A.; Kalbitz, K. The Role of Dissolved Organic Matter in Adsorbing Heavy Metals in Clay-Rich Soils. Vadose Zone J. 2014, 13, 1–12. [Google Scholar] [CrossRef]
- Dong, X.L.; Ma, L.Q.; Gress, J.; Harris, W.; Li, Y. Enhanced Cr(VI) reduction and As(III) oxidation in ice phase: Important role of dissolved organic matter from biochar. J. Hazard. Mater. 2014, 267, 62–70. [Google Scholar] [CrossRef]
- Illés, E.; Tombácz, E. The role of variable surface charge and surface complexation in the adsorption of humic acid on magnetite. Colloids Surfaces A 2003, 230, 99–109. [Google Scholar] [CrossRef]
- Chen, L.; Zhang, Z.; Yang, R.; Wang, X.; Yu, J.; Jiang, H.; Zhang, W.; Xi, B.; Sun, X.; Li, N. Nano Fe3O4 improved the electron donating capacity of dissolved organic matter during sludge composting. J. Environ. Manag. 2024, 369, 122354. [Google Scholar] [CrossRef]
- Chen, S.; Huang, S.; Chiang, P.; Liu, J.; Kuan, W.; Huang, J.; Hung, J.; Tzou, Y.; Chen, C.; Wang, M. Influence of chemical compositions and molecular weights of humic acids on Cr(VI) photo-reduction. J. Hazard. Mater. 2011, 197, 337–344. [Google Scholar] [CrossRef]
- Chekli, L.; Phuntsho, S.; Roy, M.; Shon, H.K. Characterisation of Fe-oxide nanoparticles coated with humic acid and Suwannee River natural organic matter. Sci. Total. Environ. 2013, 461–462, 19–27. [Google Scholar] [CrossRef] [PubMed]
- Li, Y.; Qiu, X.; Chen, M.; Wu, P.; Bai, H.; Niu, W.; Zubair, A.; Dang, Z. Assessing environmental fate of hexavalent chromium as influenced by fractionation of ferrihydrite with dissolved organic matter. J. Environ. Manag. 2022, 306, 114489. [Google Scholar] [CrossRef] [PubMed]
- Zhang, J.; McKenna, A.M.; Zhu, M. Macromolecular Characterization of Compound Selectivity for Oxidation and Oxidative Alterations of Dissolved Organic Matter by Manganese Oxide. Environ. Sci. Technol. 2021, 55, 7741–7751. [Google Scholar] [CrossRef]
- Trainer, E.L.; Ginder-Vogel, M.; Remucal, C.K. Selective Reactivity and Oxidation of Dissolved Organic Matter by Manganese Oxides. Environ. Sci. Technol. 2021, 55, 12084–12094. [Google Scholar] [CrossRef]
- Ding, Z.; Ding, Y.; Liu, F.; Yang, J.; Li, R.; Dang, Z.; Shi, Z. Coupled Sorption and Oxidation of Soil Dissolved Organic Matter on Manganese Oxides: Nano/Sub-nanoscale Distribution and Molecular Transformation. Environ. Sci. Technol. 2022, 56, 2783–2793. [Google Scholar] [CrossRef] [PubMed]
- Ding, Z.; Hu, S.; Zhu, L.; Xiao, J.; Ye, Q.; Liu, T.; Shi, Z. Multiple effects of iron oxides on the adsorption and oxidation of dissolved organic matter by manganese oxides. Geochim. Cosmochim. Acta 2024, 384, 213–227. [Google Scholar] [CrossRef]
- Hu, S.; Zhang, H.; Yang, Y.; Wang, P.; Ding, Z.; Chen, G.; Wang, S.; Cheng, K.; Guo, C.; Li, X.; et al. Organic Carbon Sequestration by Secondary Fe-Mn Complex Minerals via the Anoxic Redox Reaction of Fe(II) and Birnessite. Environ. Sci. Technol. 2025, 59, 15128–15141. [Google Scholar] [CrossRef]
- Yang, C.; Ju, T.; Wang, X.; Ji, Y.; Yang, C.; Lv, H.; Wang, Y.; Dong, W.; Dang, F.; Shi, X.; et al. The preparation of a novel iron/manganese binary oxide for the efficient removal of hexavalent chromium [Cr(vi)] from aqueous solutions. Rsc. Adv. 2020, 10, 10612–10623. [Google Scholar] [CrossRef] [PubMed]
- Sun, B.; Li, Y.; Song, M.; Li, R.; Li, Z.; Zhuang, G.; Bai, Z.; Zhuang, X. Molecular characterization of the composition and transformation of dissolved organic matter during the semi-permeable membrane covered hyperthermophilic composting. J. Hazard. Mater. 2022, 425. [Google Scholar] [CrossRef]
- GB/T 7467-1987; Water Quality—Determination of Chromium(VI)—1,5-Diphenylcarbohydrazide Spectrophotometric Method. China Standards Press: Beijing, China, 1987.
- Allen, A.; Cheng, K.; McKay, G. Evaluating the pH-dependence of DOM absorbance, fluorescence, and photochemical production of singlet oxygen. Environ. Sci. Process. Impacts 2023, 25, 1974–1985. [Google Scholar] [CrossRef]
- Jing, F.; Lv, C.; Xu, L.; Shang, Y.; Pei, J.; Song, P.; Wang, Y.; Chen, G.; Yan, C. An amorphous manganese iron oxide hollow nanocube cathode for aqueous zinc ion batteries. J. Energy Chem. 2023, 87, 314–321. [Google Scholar] [CrossRef]
- Li, J.; Sha, H.; Liu, W.; Yuan, Y.; Zhu, G.; Meng, F.; Xi, B.; Tan, W. Transport of per-/polyfluoroalkyl substances from leachate to groundwater as affected by dissolved organic matter in landfills. Environ. Res. 2024, 247, 118230. [Google Scholar] [CrossRef] [PubMed]
- Xie, T.; Zhang, Z.; Zhang, D.; Tian, Y.; Nan, J.; Feng, Y. Hydrothermal pretreatment and compound microbial agents promoting high-quality kitchen waste compost: Superior humification degree and reduction of odour. Sci. Total Environ. 2023, 862, 160657. [Google Scholar] [CrossRef]
- Langmuir, I. The Adsorption of Gases on Plane Surfaces of Glass, Mica and Platinum. J. Am. Chem. Soc. 2002, 40, 1361–1403. [Google Scholar] [CrossRef]
- Debord, J.; Chu, K.H.; Harel, M.; Salvestrini, S.; Bollinger, J.C. Yesterday, Today, and Tomorrow. Evolution of a Sleeping Beauty: The Freundlich Isotherm. Langmuir 2023, 39, 3062–3071. [Google Scholar] [CrossRef]
- Lin, J.; Wang, L. Comparison between linear and non-linear forms of pseudo-first-order and pseudo-second-order adsorption kinetic models for the removal of methylene blue by activated carbon. Front. Environ. Sci. Eng. China 2009, 3, 320–324. [Google Scholar] [CrossRef]
- Ho, Y.S.; Mckay, G. Pseudo-second order model for sorption processes. Process Biochem. 1999, 34, 451–465. [Google Scholar] [CrossRef]
- Largitte, L.; Pasquier, R. A review of the kinetics adsorption models and their application to the adsorption of lead by an activated carbon. Chem. Eng. Res. Des. 2016, 109, 495–504. [Google Scholar] [CrossRef]
- Hu, Q.; Ma, S.; He, Z.; Liu, H.; Pei, X. A revisit on intraparticle diffusion models with analytical solutions: Underlying assumption, application scope and solving method. J. Water Process. Eng. 2024, 60, 105241. [Google Scholar] [CrossRef]
- Yamashita, T.; Hayes, P. Analysis of XPS spectra of Fe2+ and Fe3+ ions in oxide materials. Appl. Surf. Sci. 2008, 254, 2441–2449. [Google Scholar] [CrossRef]
- Xia, Q.; Huang, B.; Yuan, X.; Wang, H.; Wu, Z.; Jiang, L.; Xiong, T.; Zhang, J.; Zeng, G.; Wang, H. Modified stannous sulfide nanoparticles with metal-organic framework: Toward efficient and enhanced photocatalytic reduction of chromium (VI) under visible light. J. Colloid Interf. Sci. 2018, 530, 481–492. [Google Scholar] [CrossRef] [PubMed]
- Tolkou, A.K.; Vaclavikova, M.; Gallios, G.P. Impregnated Activated Carbons with Binary Oxides of Iron-Manganese for Efficient Cr(VI) Removal from Water. Water Air Soil Pollut. 2022, 233, 1–14. [Google Scholar] [CrossRef]
- Zhang, Y.; Yang, S.; Zhang, Y.; Wu, S.; Xin, J. Enhancement of Cr(VI) removal by mechanically activated micron-scale zero-valent aluminum (MA-mZVAl): Performance and mechanism especially at near-neutral pH. Chem. Eng. J. 2018, 353, 760–768. [Google Scholar] [CrossRef]
- Fleischmann, S.; Mitchell, J.B.; Wang, R.; Zhan, C.; Jiang, D.-E.; Presser, V.; Augustyn, V. Pseudocapacitance: From Fundamental Understanding to High Power Energy Storage Materials. Chem. Rev. 2020, 120, 6738–6782. [Google Scholar] [CrossRef] [PubMed]







| SEM-EDS | ICP-MS | XPS | CV | BET | |||||||||||||
|---|---|---|---|---|---|---|---|---|---|---|---|---|---|---|---|---|---|
| Fe/Mn Molar Ratio | Before Cr(VI) Adsorption (%) | After Cr(VI) Adsorption (%) | Current (mA) | Total Reductive Charge (C) | Specific Surface Area (m2/g) | ||||||||||||
| Fe (II) | Fe (III) | Mn (II) | Mn (III) | Mn (IV) | Fe (II) | Fe (III) | Mn (II) | Mn (III) | Mn (IV) | Cr (III) | Cr (VI) | ||||||
| FeMnOx | 3.33 | 3.58 | 39.60 | 60.40 | 19.21 | 50.83 | 29.96 | 0.00 | 100 | 0.00 | 23.03 | 76.97 | 19.37 | 80.63 | 0.37 | 1.098 × 10−4 | 233.78 |
| FeMnOx- (25)DOM | 3.28 | 3.44 | 35.22 | 64.78 | 19.28 | 56.66 | 24.06 | 0.00 | 100 | 0.00 | 20.80 | 79.20 | 31.59 | 68.41 | 0.16 | 4.548 × 10−5 | 274.01 |
| FeMnOx- (55)DOM | 3.22 | 3.17 | 33.83 | 66.17 | 19.81 | 56.90 | 23.29 | 0.00 | 100 | 0.00 | 19.70 | 80.30 | 41.45 | 58.55 | 0.44 | 1.188 × 10−4 | 258.85 |
| FeMnOx- (75)DOM | 3.18 | 3.25 | 30.88 | 69.12 | 20.31 | 58.04 | 21.65 | 0.00 | 100 | 0.00 | 18.13 | 81.87 | 53.06 | 46.94 | 0.56 | 1.488 × 10−4 | 298.56 |
| FeMnOx- (105)DOM | 3.11 | 3.33 | 12.34 | 87.66 | 15.50 | 17.16 | 67.34 | 0.00 | 100 | 0.00 | 19.55 | 80.45 | 43.56 | 56.44 | 0.32 | 1.608 × 10−4 | 242.41 |
Disclaimer/Publisher’s Note: The statements, opinions and data contained in all publications are solely those of the individual author(s) and contributor(s) and not of MDPI and/or the editor(s). MDPI and/or the editor(s) disclaim responsibility for any injury to people or property resulting from any ideas, methods, instructions or products referred to in the content. |
© 2026 by the authors. Licensee MDPI, Basel, Switzerland. This article is an open access article distributed under the terms and conditions of the Creative Commons Attribution (CC BY) license.
Share and Cite
Tang, Y.; Ti, X.; Yang, R.; Zhang, Z.; Zhang, W.; Sun, X.; Dong, B.; Li, N. Concentration-Governed Transition in DOM Function: From Surface Reductant to Performance Barrier on FeMnOx for Optimal Cr(VI) Removal. Toxics 2026, 14, 231. https://doi.org/10.3390/toxics14030231
Tang Y, Ti X, Yang R, Zhang Z, Zhang W, Sun X, Dong B, Li N. Concentration-Governed Transition in DOM Function: From Surface Reductant to Performance Barrier on FeMnOx for Optimal Cr(VI) Removal. Toxics. 2026; 14(3):231. https://doi.org/10.3390/toxics14030231
Chicago/Turabian StyleTang, Yuxi, Xiaole Ti, Rui Yang, Zeyu Zhang, Wenjie Zhang, Xiaojie Sun, Bin Dong, and Ningjie Li. 2026. "Concentration-Governed Transition in DOM Function: From Surface Reductant to Performance Barrier on FeMnOx for Optimal Cr(VI) Removal" Toxics 14, no. 3: 231. https://doi.org/10.3390/toxics14030231
APA StyleTang, Y., Ti, X., Yang, R., Zhang, Z., Zhang, W., Sun, X., Dong, B., & Li, N. (2026). Concentration-Governed Transition in DOM Function: From Surface Reductant to Performance Barrier on FeMnOx for Optimal Cr(VI) Removal. Toxics, 14(3), 231. https://doi.org/10.3390/toxics14030231

