Physicochemical and Toxicological Properties of Particles Emitted from Scalmalloy During the LPBF Process
Abstract
1. Introduction
2. Materials and Methods
2.1. Sampling and Preparation of Scalmalloy Powders
2.2. Scanning Electron Microscopy–Electron Dispersive Spectroscopy (SEM-EDS)
2.3. Cell Lines and Cell Culture
2.4. Exposure Conditions
2.5. Cell Viability
2.6. Oxidative Stress Assays
2.7. Cellular Morphology via SEM
3. Results
3.1. Morphology and Chemical Analysis of Scalmalloy Powder Samples
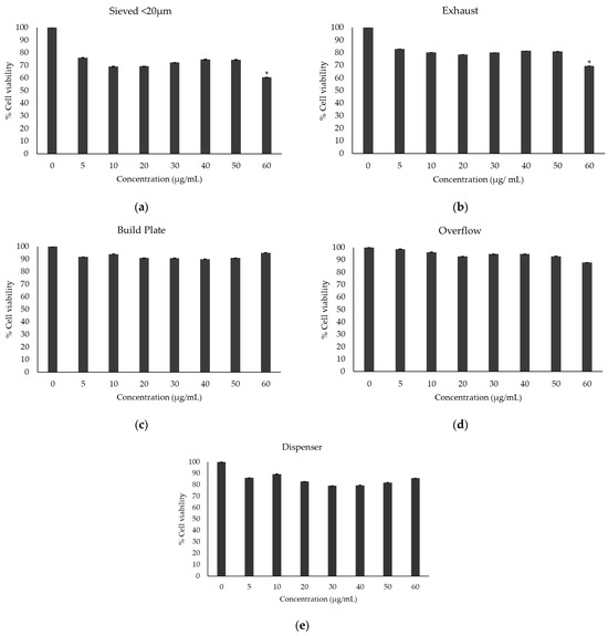
3.2. Cell Viability upon Treatment with the Scalmalloy Powder Samples in Various Concentrations
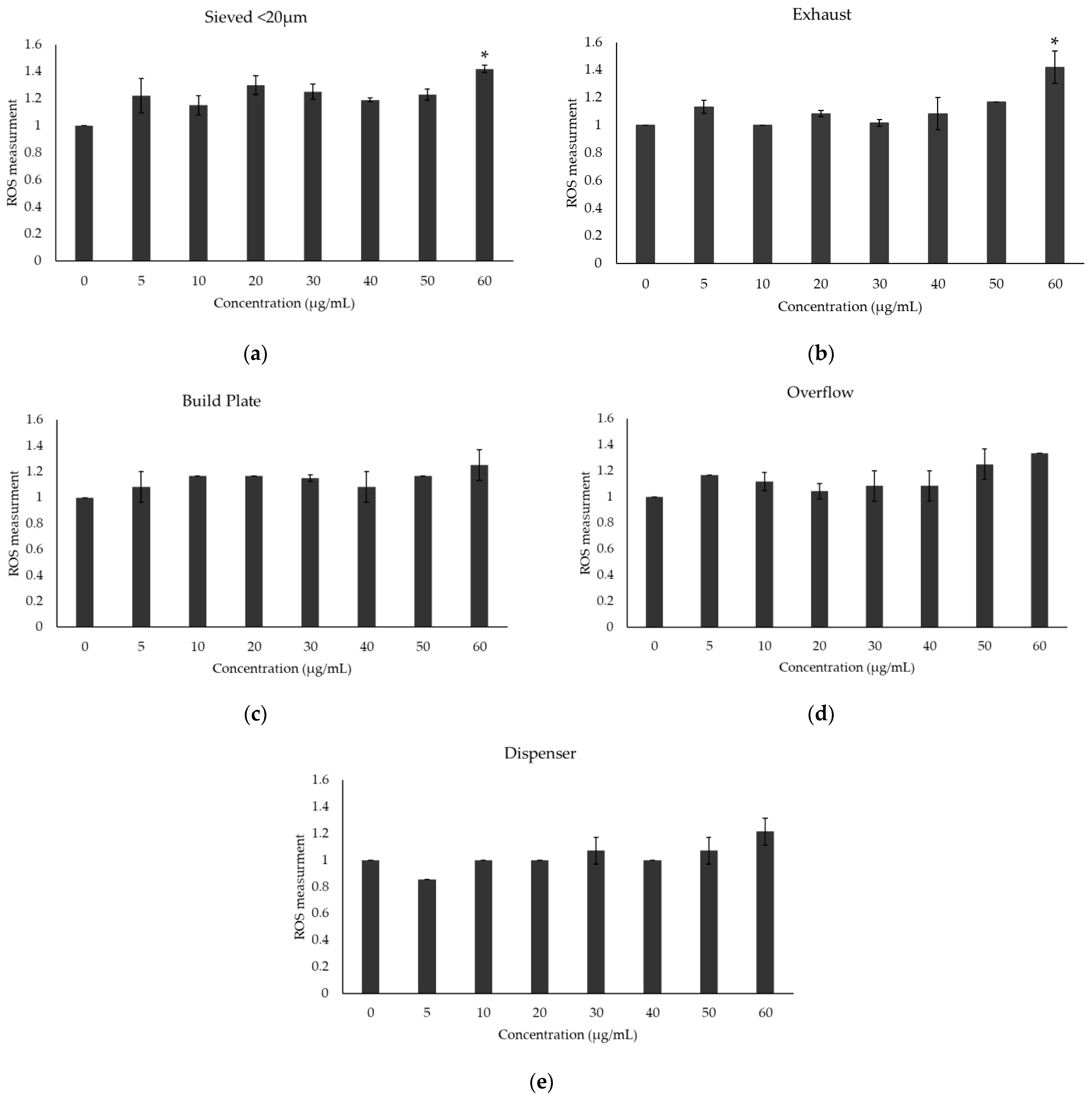
3.3. Oxidative Stress upon Treatment with the Powders in Various Concentrations
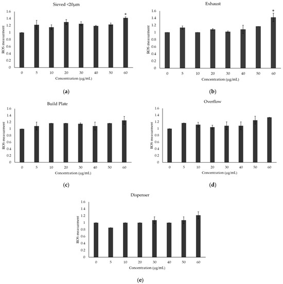
3.4. Cell Viability and Oxidative Stress upon Treatment with the Aqueous Extracts Post-Incubation with the Scalmalloy Powder Samples
3.5. Cell Morphology Evaluation upon Treatment with the Scalmalloy Powders via SEM
4. Discussion
5. Conclusions
Author Contributions
Funding
Institutional Review Board Statement
Informed Consent Statement
Data Availability Statement
Conflicts of Interest
Abbreviations
| AM | Additive Manufacturing |
| LPBF | Laser Powder Bed Fusion |
| PSD | Particle Size Distribution |
| SEM | Scanning Electron Microscopy |
| EDS | Electron Dispersive Spectroscopy |
| FOV | Field of View |
| ROS | Reactive Oxygen Species |
| DMEM | Dulbecco’s Modified Eagle Medium |
| FBS | Fetal Bovine Serum |
| DMSO | Dimethyl Sulfoxide |
| PBS | Phosphate-Buffered Saline |
| PFA | Paraformaldehyde |
| HMDS | Hexamethyldisilazane |
| SED | Secondary Electron Detector |
| MTT | 3-(4,5-Dimethylthiazol-2-yl)-2,5-diphenyltetrazolium bromide |
| ATCC | American Type Culture Collection |
| ANOVA | Analysis of Variance |
| RPM | Revolutions Per Minute |
| μm | Micrometer |
| wt.% | Weight Percentage |
| Cr6+ | Hexavalent Chromium |
| MgO | Magnesium Oxide |
| Al2O3 | Aluminum Oxide |
| AlO(OH) | Aluminum Oxyhydroxide |
| TBHP | Tert-butyl hydroperoxide |
| DCFDA | Dichlorofluorescin diacetate |
| DCF | Dichlorofluorescein |
| DCFH | Dichlorofluorescin |
| AVD | Apoptotic volume decrease |
| HO• | Hydroxyl radicals |
| O2•− | Superoxide |
| H2O2 | Hydrogen peroxide |
| NADPH | Nicotinamide adenine dinucleotide phosphate |
References
- Ngo, T.D.; Kashani, A.; Imbalzano, G.; Nguyen, K.T.Q.; Hui, D. Additive manufacturing (3D printing): A review of materials, methods, applications and challenges. Compos. Part B Eng. 2018, 143, 172–196. [Google Scholar] [CrossRef]
- Bikas, H.; Stavropoulos, P.; Chryssolouris, G. Additive manufacturing methods and modelling approaches: A critical review. Int. J. Adv. Manuf. Technol. 2016, 83, 389–405. [Google Scholar] [CrossRef]
- DebRoy, T.; Wei, H.L.; Zuback, J.S.; Mukherjee, T.; Elmer, J.W.; Milewski, J.O.; Beese, A.M.; Wilson-Heid, A.; De, A.; Zhang, W. Additive manufacturing of metallic components—Process, structure and properties. Prog. Mater. Sci. 2018, 92, 112–224. [Google Scholar] [CrossRef]
- Delacroix, T.; Lomello, F.; Schuster, F.; Maskrot, H.; Baslari, C.; Gaumet, U.; Flici, Y.; Garandet, J.-P. Influence of build characteristics and chamber oxygen concentration on powder degradation in laser powder bed fusion. Powder Technol. 2023, 416, 118231. [Google Scholar] [CrossRef]
- Li, Z.; Li, H.; Yin, J.; Li, Y.; Nie, Z.; Li, X.; You, D.; Guan, K.; Duan, W.; Cao, L.; et al. A Review of Spatter in Laser Powder Bed Fusion Additive Manufacturing: In Situ Detection, Generation, Effects, and Countermeasures. Micromachines 2022, 13, 1366. [Google Scholar] [CrossRef]
- Fabbro, R. Melt pool and keyhole behaviour analysis for deep penetration laser welding. J. Phys. D Appl. Phys. 2010, 43, 445501. [Google Scholar] [CrossRef]
- Sames, W.J.; List, F.A.; Pannala, S.; Dehoff, R.R.; Babu, S.S. The metallurgy and processing science of metal additive manufacturing. Int. Mater. Rev. 2016, 61, 315–360. [Google Scholar] [CrossRef]
- Matthews, M.J.; Guss, G.; Khairallah, S.A.; Rubenchik, A.M.; Depond, P.J.; King, W.E. Denudation of metal powder layers in laser powder bed fusion processes. Acta Mater. 2016, 114, 33–42. [Google Scholar] [CrossRef]
- Khairallah, S.A.; Anderson, A.T.; Rubenchik, A.; King, W.E. Laser powder-bed fusion additive manufacturing: Physics of complex melt flow and formation mechanisms of pores, spatter, and denudation zones. Acta Mater. 2016, 108, 36–45. [Google Scholar] [CrossRef]
- Gasper, A.N.D.; Szost, B.; Wang, X.; Johns, D.; Sharma, S.; Clare, A.T.; Ashcroft, I.A. Spatter and oxide formation in laser powder bed fusion of Inconel 718. Addit. Manuf. 2018, 24, 446–456. [Google Scholar] [CrossRef]
- Riedlbauer, D.; Scharowsky, T.; Singer, R.F.; Steinmann, P.; Körner, C.; Mergheim, J. Macroscopic simulation and experimental measurement of melt pool characteristics in selective electron beam melting of Ti-6Al-4V. Int. J. Adv. Manuf. Technol. 2016, 88, 1309–1317. [Google Scholar] [CrossRef]
- Reijonen, J.; Revuelta, A.; Riipinen, T.; Ruusuvuori, K.; Puukko, P. On the efect of shielding gas fow on porosity and melt pool geometry in laser powder bed fusion additive manufacturing. Addit. Manuf. 2020, 32, 101030. [Google Scholar]
- Ali, U.; Esmaeilizadeh, R.; Ahmed, F.; Sarker, D.; Muhammad, W.; Keshavarzkermani, A.; Mahmoodkhani, Y.; Marzbanrad, T.E.E. Identifcation and characterization of spatter particles and their efect on surface roughness, density and mechanical response of 17–4 PH stainless steel laser powder-bed fusion parts. Mater. Sci. Eng. A 2019, 756, 98–107. [Google Scholar] [CrossRef]
- Ladewig, A.; Schlick, G.; Fisser, M.; Schulze, V.; Glatzel, U. Infuence of the shielding gas fow on the removal of process by-products in the selective laser melting process. Addit. Manuf. 2016, 10, 1–9. [Google Scholar]
- Anwar, A.B.; Pham, Q.-C. Selective laser melting of AlSi10Mg: Efects of scan direction, part placement and inert gas fow velocity on tensile strength. J. Mater. Process. Technol. 2017, 240, 388–396. [Google Scholar] [CrossRef]
- Li, R.; Shi, Y.; Wang, Z.; Wang, L.; Liu, J.; Jiang, W. Densification behavior of gas and water atomized 316L stainless steel powder during selective laser melting. Appl. Surf. Sci. 2010, 256, 4350–4356. [Google Scholar] [CrossRef]
- Kruth, J.P.; Froyen, L.; Van Vaerenbergh, J.; Mercelis, P.; Rombouts, M.; Lauwers, B. Selective laser melting of iron-based powder. J. Mater. Process. Technol. 2004, 149, 616–622. [Google Scholar] [CrossRef]
- Sutton, A.T.; Kriewall, C.S.; Leu, M.C.; Newkirk, J.W.; Brown, B. Characterization of laser spatter and condensate generated during the selective laser melting of 304L stainless steel powder. Addit. Manuf. 2019, 31, 100904. [Google Scholar] [CrossRef]
- Aucott, L.; Dong, H.; Mirihanage, W.; Atwood, R.; Kidess, A.; Gao, S.; Wen, S.; Marsden, J.; Feng, S.; Tong, M.; et al. Revealing internal flow behaviour in arc welding and additive manufacturing of metals. Nat. Commun. 2018, 9, 5414. [Google Scholar] [CrossRef]
- Donaldson, K.; Tran, L.; Luis Albert Jimenez, R.D.; David, E.; Newby, N.M.; MacNee, W.; Stone, V. Combustion-derived nanoparticles: A review of their toxicology following inhalation exposure. Part. Fibre Toxicol. 2005, 2, 10. [Google Scholar] [CrossRef]
- Schimbäck, D.; Mair, P.; Kaserer, L.; Perfler, L.; Palm, F.; Leichtfried, G.; Pogatscher, S. An improved process scan strategy to obtain high-performance fatigue properties for Scalmalloy®®. Mater. Des. 2022, 224, 111410. [Google Scholar] [CrossRef]
- Oddone, E.; Pernetti, R.; Fiorentino, M.L.; Grignani, E.; Tamborini, D.; Alaimo, G.; Auricchio, F.; Previtali, B.; Imbriani, M. Particle measurements of metal additive manufacturing to assess working occupational exposures: A comparative analysis of selective laser melting, laser metal deposition and hybrid laser metal deposition. Ind. Health 2021, 60, 371–386. [Google Scholar] [CrossRef] [PubMed]
- McCarrick, S.; Romanovski, V.; Wei, Z.; Westin, E.M.; Persson, K.-A.; Trydell, K.; Wagner, R.; Odnevall, I.; Hedberg, Y.S.; Karlsson, H.L. Genotoxicity and inflammatory potential of stainless steel welding fume particles: An in vitro study on standard vs Cr(VI)-reduced flux-cored wires and the role of released metals. Arch. Toxicol. 2021, 95, 2961–2975. [Google Scholar] [CrossRef] [PubMed]
- Runström Eden, G.; Tinnerberg, H.; Rosell, L.; Möller, R.; Almstrand, A.-C.; Bredberg, A. Exploring Methods for Surveillance of Occupational Exposure from Additive Manufacturing in Four Different Industrial Facilities. Ann. Work Expo. Health 2022, 66, 163–177. [Google Scholar] [CrossRef]
- Zhou, G.; Liu, Z.; Shao, W.; Sun, B.; Li, L.; Liu, J.; Li, G.; Lv, X. Study on the Effects of Dust Particle Size and Respiratory Intensity on the Pattern of Respiratory Particle Deposition in Humans. Indoor Air 2024, 2024, 5025616. [Google Scholar] [CrossRef]
- Schraufnagel, D.E. The health effects of ultrafine particles. Exp. Mol. Med. 2020, 52, 311–317. [Google Scholar] [CrossRef]
- Rissler, J.; Sjögren, M.P.; Linell, J.; Hurtig, A.L.; Wollmer, P.; Löndahl, J. An experimental study on lung deposition of inhaled 2 μm particles in relation to lung characteristics and deposition models. Part. Fibre Toxicol. 2023, 20, 40. [Google Scholar] [CrossRef]
- Wang, X.; Vallabani, N.V.S.; Giboin, A.; Lundqvist, J.; Färnlund, K.; Karlsson, H.L.; Hedberg, Y.S.; Odnevall, I. Bioaccessibility and reactivity of alloy powders used in powder bed fusion additive manufacturing. Materialia 2021, 19, 101196. [Google Scholar] [CrossRef]
- Wang, X.; Noël, J.J.; Odnevall Wallinder, I.; Hedberg, Y.S. Metal bioaccessibility in synthetic body fluids—A way to consider positive and negative alloying effects in hazard assessments. Mater. Des. 2021, 198, 109393. [Google Scholar] [CrossRef]
- Alijagic, A.; Wang, X.; Vallabani, N.V.S.; Melin, P.; Särndahl, E.; Karlsson, H.L.; Odnevall, I. Characteristics and health risks of the inhalable fraction of metal additive manufacturing powders. Nano Sel. 2024, 5, 4. [Google Scholar] [CrossRef]
- Meaza, I.; Williams, A.R.; Wise, S.S.; Lu, H.; Wise, J.P. Carcinogenic Mechanisms of Hexavalent Chromium: From DNA Breaks to Chromosome Instability and Neoplastic Transformation. Curr. Environ. Health Rep. 2024, 11, 484–546. [Google Scholar] [CrossRef] [PubMed]
- Beal, M.; Azzougagh, M.-N.; Pourchez, J.; Bertrand, P.; Cabrol, E.; Si-Mohand, H.; Keller, F.-X. Effect of powder reuse on physical, chemical and toxicological properties of 6061-Zr aluminum alloy processed by Laser Powder Bed Fusion (L-PBF). Matériaux Tech. 2023, 111, 103. [Google Scholar] [CrossRef]
- Nel, A.; Xia, T.; Mädler, L.; Li, N. Toxic Potential of Materials at the Nanolevel. Science 2006, 311, 622–627. [Google Scholar] [CrossRef] [PubMed]
- Yang, S.; Zhang, Y.; Juan, R.; Li, Z.; Wu, J.; Akinwamide, S.O.; Kuva, J.; Björkstrand, R.V.; Lian, J. Effect of building orientation, thickness, and contouring on the microstructure and mechanical properties of AlSi10Mg via laser powder bed fusion. Mater. Sci. Eng. A 2025, 923, 147685. [Google Scholar] [CrossRef]
- Zhou, L.; Yang, H.; Hyer, H. Controlling mechanical properties of laser powder bed fused AlSi10Mg through manipulation of laser scan rotation. Materialia 2025, 39, 102340. [Google Scholar] [CrossRef]
- Khan, M.F.; Ghiaasiaan, R.; Gradl, P.R.; Shao, S.; Shamsaei, N. Additively Manufactured Scalmalloy via Laser Powder Bed Fusion (L-PBF): Temperature-Dependent Tensile and Fatigue Behaviors. Fatigue Fract. Eng. Mater. Struct. 2025, 48, 1496–1513. [Google Scholar] [CrossRef]
- Cerri, E.; Curti, L.; Ghio, E. Main Heat Treatments Currently Applied on Laser Powder Bed-Fused Scalmalloy®®: A Review. Crystals 2024, 15, 25. [Google Scholar] [CrossRef]
- Bresson, Y.; Tongne, A.; Baili, M.; Arnaud, L. Identifying main contamination factors of laser powder bed fusion oxidation-sensitive powders. Int. J. Adv. Manuf. Technol. 2023, 127, 2687–2706. [Google Scholar] [CrossRef]
- Rizvi, S.H.M.; Parveen, A.; Ahmad, I.; Ahmad, I.; Verma, A.K.; Arshad, M.; Mahdi, A.A. Aluminum Activates PERK-EIF2α Signaling and Inflammatory Proteins in Human Neuroblastoma SH-SY5Y Cells. Biol. Trace Elem. Res. 2016, 172, 108–119. [Google Scholar] [CrossRef]
- Braakhuis, H.M.; Park, M.V.; Gosens, I.; De Jong, W.H.; Cassee, F.R. Physicochemical characteristics of nanomaterials that affect pulmonary inflammation. Part. Fibre Toxicol. 2014, 11, 18. [Google Scholar] [CrossRef]
- Abbasi, R.; Shineh, G.; Mobaraki, M.; Doughty, S.; Tayebi, L. Structural parameters of nanoparticles affecting their toxicity for biomedical applications: A review. J. Nanopart. Res. 2023, 25, 43. [Google Scholar] [CrossRef] [PubMed]
- Wang, N.; Maskomani, S.; Meenashisundaram, G.K.; Fuh, J.Y.H.; Dheen, S.T.; Anantharajan, S.K. A study of Titanium and Magnesium particle-induced oxidative stress and toxicity to human osteoblasts. Mater. Sci. Eng. C 2020, 117, 111285. [Google Scholar] [CrossRef] [PubMed]
- Powers, K.W.; Palazuelos, M.; Moudgil, B.M.; Roberts, S.M. Characterization of the size, shape, and state of dispersion of nanoparticles for toxicological studies. Nanotoxicology 2007, 1, 42–51. [Google Scholar] [CrossRef]
- Janjua, T.I.; Cao, Y.; Kleitz, F.; Linden, M.; Yu, C.; Popat, A. Silica nanoparticles: A review of their safety and current strategies to overcome biological barriers. Adv. Drug Deliv. Rev. 2023, 203, 115115. [Google Scholar] [CrossRef]
- Kawai, K.; Wang, G.; Okamoto, S.; Ochi, K. The rare earth, scandium, causes antibiotic overproduction in Streptomyces spp. FEMS Microbiol. Lett. 2007, 274, 311–315. [Google Scholar] [CrossRef]
- Muñoz-Garcia, J.; Mazza, M.; Alliot, C.; Sinquin, C.; Colliec-Jouault, S.; Heymann, D.; Huclier-Markai, S. Antiproliferative Properties of Scandium Exopolysaccharide Complexes on Several Cancer Cell Lines. Mar. Drugs 2021, 19, 174. [Google Scholar] [CrossRef]
- ASTM B214-22; Test Method for Sieve Analysis of Metal Powders. ASTM International: West Conshohocken, PA, USA, 2022. [CrossRef]
- Vallabani, N.V.S.; Alijagic, A.; Persson, A.; Odnevall, I.; Särndahl, E.; Karlsson, H.L. Toxicity evaluation of particles formed during 3D-printing: Cytotoxic, genotoxic, and inflammatory response in lung and macrophage models. Toxicology 2022, 467, 153100. [Google Scholar] [CrossRef]
- Zhou, Q.; Ren, C.; Li, J.; Wang, L.; Duan, Y.; Yao, R.; Tian, Y.; Yao, Y. The crosstalk between mitochondrial quality control and metal-dependent cell death. Cell Death Dis. 2024, 15, 299. [Google Scholar] [CrossRef]
- Giordano, M.E.; Udayan, G.; Guascito, M.R.; De Bartolomeo, A.R.; Carlino, A.; Conte, M.; Contini, D.; Lionetto, M.G. Apoptotic volume decrease (AVD) in A549 cells exposed to water-soluble fraction of particulate matter (PM10). Front. Physiol. 2023, 14, 1218687. [Google Scholar] [CrossRef]
- Zou, Y.; Jin, C.; Su, Y.; Li, J.; Zhu, B. Water soluble and insoluble components of urban PM2.5 and their cytotoxic effects on epithelial cells (A549) in vitro. Environ. Pollut. 2016, 212, 627–635. [Google Scholar] [CrossRef]
- Lionetto, M.; Guascito, M.; Giordano, M.; Caricato, R.; De Bartolomeo, A.; Romano, M.; Conte, M.; Dinoi, A.; Contini, D. Oxidative Potential, Cytotoxicity, and Intracellular Oxidative Stress Generating Capacity of PM10: A Case Study in South of Italy. Atmosphere 2021, 12, 464. [Google Scholar] [CrossRef]
- Manuja, A.; Kumar, B.; Kumar, R.; Chhabra, D.; Ghosh, M.; Manuja, M.; Brar, B.; Pal, Y.; Tripathi, B.N.; Prasad, M. Metal/metal oxide nanoparticles: Toxicity concerns associated with their physical state and remediation for biomedical applications. Toxicol. Rep. 2021, 8, 1970–1978. [Google Scholar] [CrossRef]
- Ge, P.; Liu, Z.; Chen, M.; Cui, Y.; Cao, M.; Liu, X. Chemical Characteristics and Cytotoxicity to GC-2spd(ts) Cells of PM2.5 in Nanjing Jiangbei New Area from 2015 to 2019. Toxics 2023, 11, 92. [Google Scholar] [CrossRef] [PubMed]
- Chen, Y.; Luo, X.-S.; Zhao, Z.; Chen, Q.; Wu, D.; Sun, X.; Wu, L.; Jin, L. Summer–winter differences of PM2.5 toxicity to human alveolar epithelial cells (A549) and the roles of transition metals. Ecotoxicol. Environ. Saf. 2018, 165, 505–509. [Google Scholar] [CrossRef] [PubMed]
- Bagur, R.; Hajnóczky, G. Intracellular Ca2+ Sensing: Its Role in Calcium Homeostasis and Signaling. Mol. Cell 2017, 66, 780–788. [Google Scholar] [CrossRef]
- Bai, S.; Lan, Y.; Fu, S.; Cheng, H.; Lu, Z.; Liu, G. Connecting Calcium-Based Nanomaterials and Cancer: From Diagnosis to Therapy. Nano-Micro Lett. 2022, 14, 145. [Google Scholar] [CrossRef]
- Balashova, M.S.; Tuluzanovskaya, I.G.; Glotov, O.S.; Glotov, A.S.; Barbitoff, Y.A.; Fedyakov, M.A.; Alaverdian, D.A.; Ivashchenko, T.E.; Romanova, O.V.; Sarana, A.M.; et al. The spectrum of pathogenic variants of the ATP7B gene in Wilson disease in the Russian Federation. J. Trace Elem. Med. Biol. 2020, 59, 126420. [Google Scholar] [CrossRef]
- B’chir, W.; Chaveroux, C.; Carraro, V.; Averous, J.; Maurin, A.-C.; Jousse, C.; Muranishi, Y.; Parry, L.; Fafournoux, P.; Bruhat, A. Dual role for CHOP in the crosstalk between autophagy and apoptosis to determine cell fate in response to amino acid deprivation. Cell Signal. 2014, 26, 1385–1391. [Google Scholar] [CrossRef]
- Lai, Y.; Gao, F.F.; Ge, R.T.; Liu, R.; Ma, S.; Liu, X. Metal ions overloading and cell death. Cell Biol. Toxicol. 2024, 40, 72. [Google Scholar] [CrossRef]
- Huang, M.; Kang, Y.; Wang, W.; Chan, C.Y.; Wang, X.; Wong, M.H. Potential cytotoxicity of water-soluble fraction of dust and particulate matters and relation to metal(loid)s based on three human cell lines. Chemosphere 2015, 135, 61–66. [Google Scholar] [CrossRef]
- Jia, Y.-Y.; Wang, Q.; Liu, T. Toxicity Research of PM2.5 Compositions In Vitro. Int. J. Environ. Res. Public Health 2017, 14, 232. [Google Scholar] [CrossRef] [PubMed]
- Babenko, S.; Selyutina, O.; Slepneva, I.; Chinak, O.; Polyakov, N.; Kontoghiorghes, G. The Role of Transition Metal Ions in Free Radical Generation by Quinones Under Light and Dark Conditions. SSRN 2023. [Google Scholar] [CrossRef]
- Mussatto, A.; Groarke, R.; O’Neill, A.; Obeidi, M.A.; Delaure, Y.; Brabazon, D. Influences of powder morphology and spreading parameters on the powder bed topography uniformity in powder bed fusion metal additive manufacturing. Addit. Manuf. 2021, 38, 101807. [Google Scholar] [CrossRef]
- Thornton, A.; Saad, J.; Clayton, J. Measuring the critical attributes of AM powders. Met. Powder Rep. 2019, 74, 314–319. [Google Scholar] [CrossRef]
- Powell, D.; Rennie, A.E.W.; Geekie, L.; Burns, N. Understanding powder degradation in metal additive manufacturing to allow the upcycling of recycled powders. J. Clean. Prod. 2020, 268, 122077. [Google Scholar] [CrossRef]
- Yakubov, V.; Ostergaard, H.; Bhagavath, S.; Leung, C.L.A.; Hughes, J.; Yasa, E.; Khezri, M.; Löschke, S.K.; Li, Q.; Paradowska, A.M. Recycled aluminium feedstock in metal additive manufacturing: A state of the art review. Heliyon 2024, 10, e27243. [Google Scholar] [CrossRef]
- Young, Z.A.; Guo, Q.; Parab, N.D.; Zhao, C.; Qu, M.; Escano, L.I.; Fezzaa, K.; Everhart, W.; Sun, T.; Chen, L. Types of spatter and their features and formation mechanisms in laser powder bed fusion additive manufacturing process. Addit. Manuf. 2020, 36, 101438. [Google Scholar] [CrossRef]
- Deillon, L.; Jensch, F.; Palm, F.; Bambach, M. A new high strength Al–Mg–Sc alloy for laser powder bed fusion with calcium addition to effectively prevent magnesium evaporation. J. Mater. Process. Technol. 2022, 300, 117416. [Google Scholar] [CrossRef]
- Karim, W.; Kleibert, A.; Hartfelder, U.; Balan, A.; Gobrecht, J.; van Bokhoven, J.A.; Ekinci, Y. Size-dependent redox behavior of iron observed by in-situ single nanoparticle spectro-microscopy on well-defined model systems. Sci. Rep. 2016, 6, 18818. [Google Scholar] [CrossRef]
- Zhang, Y.; Wang, S.; Zhou, Z.; Zhao, H.; Tang, C.; Gao, Y. Study on the effect of particle size on early oxidation characteristics of aluminum nanoparticles. Powder Technol. 2022, 400, 117227. [Google Scholar] [CrossRef]
- Zhu, P.; Lu, Y.; Chen, X. Effects of Different Particle-Sized Al Powders on Sintering Properties of Aluminum Paste in Crystalline Silicon Solar Cell. Int. J. Photoenergy 2022, 2022, 1–8. [Google Scholar] [CrossRef]
- Wu, G.; Dash, K.; Galano, M.L.; O’Reilly, K.A.Q. Oxidation studies of Al alloys: Part II Al-Mg alloy. Corros. Sci. 2019, 155, 97–108. [Google Scholar] [CrossRef]
- Kersting, M.; Olejnik, M.; Rosenkranz, N.; Loza, K.; Breisch, M.; Rostek, A.; Westphal, G.; Bünger, J.; Ziegler, N.; Ludwig, A.; et al. Subtoxic cell responses to silica particles with different size and shape. Sci. Rep. 2020, 10, 21591. [Google Scholar] [CrossRef] [PubMed]
- Åkerlund, E.; Cappellini, F.; Di Bucchianico, S.; Islam, S.; Skoglund, S.; Derr, R.; Odnevall Wallinder, I.; Hendriks, G.; Karlsson, H.L. Genotoxic and mutagenic properties of Ni and NiO nanoparticles investigated by comet assay, γ-H2AX staining, Hprt mutation assay and ToxTracker reporter cell lines. Environ. Mol. Mutagen. 2018, 59, 211–222. [Google Scholar] [CrossRef]
- Zhang, X.; Guo, R.; Feng, X.; Fang, J.; Xu, J.; Wang, X.; Zhang, J. Thermal Oxidation Characteristics and Kinetics of Micron Aluminum Powder in Different Ambient Oxygen Concentration Atmospheres. Processes 2024, 12, 2408. [Google Scholar] [CrossRef]
- Ghasemi, A.; Fereiduni, E.; Balbaa, M.; Jadhav, S.D.; Elbestawi, M.; Habibi, S. Influence of alloying elements on laser powder bed fusion processability of aluminum: A new insight into the oxidation tendency. Addit. Manuf. 2021, 46, 102145. [Google Scholar] [CrossRef]
- Willhite, C.C.; Karyakina, N.A.; Nordheim, E.; Arnold, I.; Armstrong, V.; Momoli, F.; Shilnikova, N.S.; Yenugadhati, N.; Krewski, D. The REACH registration process: A case study of metallic aluminium, aluminium oxide and aluminium hydroxide. Neurotoxicology 2021, 83, 166–178. [Google Scholar] [CrossRef]
- Soltani, M.; Karami-Mohajeri, S.; Ranjbar, M.; Ahmadi, N.; Jafari, E.; Mandegari, A.; Heydari, M.R. Reducing the cytotoxicity of magnesium oxide nanoparticles using cerium oxide shell coating: An in vitro and in vivo study. Ceram. Int. 2023, 49, 14733–14743. [Google Scholar] [CrossRef]
- Nguyen, N.-Y.T.; Grelling, N.; Wetteland, C.L.; Rosario, R.; Liu, H. Antimicrobial Activities and Mechanisms of Magnesium Oxide Nanoparticles (nMgO) against Pathogenic Bacteria, Yeasts, and Biofilms. Sci. Rep. 2018, 8, 16260. [Google Scholar] [CrossRef]
- Wang, S.; Ma, R.; Mei, Z.; Hou, Y. Metalloptosis: Metal ions-induced programmed cell death based on nanomaterials for cancer therapy. MedMat 2024, 1, 6–26. [Google Scholar] [CrossRef]
- Cordova, L.; Bor, T.; de Smit, M.; Carmignato, S.; Campos, M.; Tinga, T. Effects of powder reuse on the microstructure and mechanical behaviour of Al–Mg–Sc–Zr alloy processed by laser powder bed fusion (LPBF). Addit. Manuf. 2020, 36, 101625. [Google Scholar] [CrossRef]
- Caicedo, M.S.; Samelko, L.; McAllister, K.; Jacobs, J.J.; Hallab, N.J. Increasing both CoCrMo-alloy particle size and surface irregularity induces increased macrophage inflammasome activation in vitro potentially through lysosomal destabilization mechanisms. J. Orthop. Res. 2013, 31, 1633–1642. [Google Scholar] [CrossRef] [PubMed]
- Liu, Z.Y.; Sercombe, T.B.; Schaffer, G.B. The Effect of Particle Shape on the Sintering of Aluminum. Metall. Mater. Trans. A 2007, 38, 1351–1357. [Google Scholar] [CrossRef]
- Mohseni Bandpi, A.; Eslami, A.; Shahsavani, A.; Khodagholi, F.; Aliaghaei, A.; Alinejad, A. Water-soluble and organic extracts of ambient PM 2.5 in Tehran air: Assessment of genotoxic effects on human lung epithelial cells (A549) by the Comet assay. Toxin Rev. 2017, 36, 116–124. [Google Scholar] [CrossRef]
- Manke, A.; Wang, L.; Rojanasakul, Y. Mechanisms of Nanoparticle-Induced Oxidative Stress and Toxicity. BioMed Res. Int. 2013, 2013, 1–15. [Google Scholar] [CrossRef]
- Sabourian, P.; Yazdani, G.; Ashraf, S.S.; Frounchi, M.; Mashayekhan, S.; Kiani, S.; Kakkar, A. Effect of Physico-Chemical Properties of Nanoparticles on Their Intracellular Uptake. Int. J. Mol. Sci. 2020, 21, 8019. [Google Scholar] [CrossRef]
- Joudeh, N.; Linke, D. Nanoparticle classification, physicochemical properties, characterization, and applications: A comprehensive review for biologists. J. Nanobiotechnol. 2022, 20, 262. [Google Scholar] [CrossRef]
- Luo, S.; Wang, H.; Gao, Z.; Wu, Y.; Wang, H. Interaction between high-velocity gas and liquid in gas atomization revealed by a new coupled simulation model. Mater. Des. 2021, 212, 110264. [Google Scholar] [CrossRef]
- Yule, A.J.; Dunkley, J.J. Atomization of Melts: For Powder Production and Spray Deposition; Oxford Series on Advanced Manufacturing: Oxford, UK, 1994. [Google Scholar]
- Tang, J.C.; Luo, J.P.; Huang, Y.J.; Sun, J.F.; Zhu, Z.Y.; Xu, J.Y.; Dargusch, M.S.; Yan, M. Immunological response triggered by metallic 3D printing powders. Addit. Manuf. 2020, 35, 101392. [Google Scholar] [CrossRef]
- Franz, S.; Rammelt, S.; Scharnweber, D.; Simon, J.C. Immune responses to implants—A review of the implications for the design of immunomodulatory biomaterials. Biomaterials 2011, 32, 6692–6709. [Google Scholar] [CrossRef]
- Birben, E.; Sahiner, U.M.; Sackesen, C.; Erzurum, S.; Kalayci, O. Oxidative Stress and Antioxidant Defense. World Allergy Organ. J. 2012, 5, 9–19. [Google Scholar] [CrossRef]













| Chemical Composition (%) | Element | Mg | Sc | Zr | Mn | Fe | Si | Ti | P | Ni | O | H | Others | Al |
| min | 4.20 | 0.68 | 0.20 | 0.30 | - | - | - | - | - | - | - | NA | Balance | |
| max | 5.10 | 0.88 | 0.50 | 0.80 | 0.40 | 0.40 | 0.15 | 0.03 | 0.03 | 0.10 | 0.05 | NA |
| Samples | PSD (D10, D50, D90) (μm) | Mean Circle Equivalent Diameter (μm) | Circularity | Convexity | Oxidation Levels (wt.%) | Cell Viability (%) (60 μg/μL) | Oxidative Stress (60 μg/μL) | Cell Viability (%) (60 μg/μL) | Oxidative Stress (60 μg/μL) |
|---|---|---|---|---|---|---|---|---|---|
| Direct Analysis | Indirect Analysis | ||||||||
| Virgin < 20 μm | 12.4 ± 0.3, 18.2 ± 0.9, 23.6 ± 1.5 | 15.0 ± 0.3 | 0.86 ± 0.01 | 0.95 ± 0.01 | 7.1 | 60.68 | 1.42 | 86.35 | 1.16 |
| Dispenser | 32.5 ± 0.9, 50.9 ± 0.5, 68.6 ± 0.6 | 33.8 ± 1.7 | 0.76 ± 0.02 | 0.91 ± 0.01 | 6.0 | 85.78 | 1.21 | 90.18 | 1.33 |
| Overflow | 33.1 ± 0.2, 53.4 ± 0.4, 73.1 ± 3.3 | 31.5 ± 0.2 | 0.75 ± 0.01 | 0.91 ± 0.01 | 10.0 | 87.79 | 1.33 | 88.43 | 1.33 |
| Exhaust | 44.6 ± 3.8, 71.4 ± 8.9, 116.3 ± 29.1 | 41.8 ± 2.3 | 0.72 ± 0.01 | 0.90 ± 0.01 | 10.9 | 69.48 | 1.42 | 89.87 | 1.26 |
| Build Plate | 24.3 ± 0.9, 40.4 ± 0.9, 58.6 ± 0.2 | 24.4 ± 0.9 | 0.77 ± 0.01 | 0.92 ± 0.01 | 7.1 | 94.98 | 1.25 | 86.74 | 1.16 |
Disclaimer/Publisher’s Note: The statements, opinions and data contained in all publications are solely those of the individual author(s) and contributor(s) and not of MDPI and/or the editor(s). MDPI and/or the editor(s) disclaim responsibility for any injury to people or property resulting from any ideas, methods, instructions or products referred to in the content. |
© 2025 by the authors. Licensee MDPI, Basel, Switzerland. This article is an open access article distributed under the terms and conditions of the Creative Commons Attribution (CC BY) license (https://creativecommons.org/licenses/by/4.0/).
Share and Cite
Sargioti, N.; Karavias, L.; Gargalis, L.; Karatza, A.; Koumoulos, E.P.; Karaxi, E.K. Physicochemical and Toxicological Properties of Particles Emitted from Scalmalloy During the LPBF Process. Toxics 2025, 13, 398. https://doi.org/10.3390/toxics13050398
Sargioti N, Karavias L, Gargalis L, Karatza A, Koumoulos EP, Karaxi EK. Physicochemical and Toxicological Properties of Particles Emitted from Scalmalloy During the LPBF Process. Toxics. 2025; 13(5):398. https://doi.org/10.3390/toxics13050398
Chicago/Turabian StyleSargioti, Nikoletta, Leonidas Karavias, Leonidas Gargalis, Anna Karatza, Elias P. Koumoulos, and Evangelia K. Karaxi. 2025. "Physicochemical and Toxicological Properties of Particles Emitted from Scalmalloy During the LPBF Process" Toxics 13, no. 5: 398. https://doi.org/10.3390/toxics13050398
APA StyleSargioti, N., Karavias, L., Gargalis, L., Karatza, A., Koumoulos, E. P., & Karaxi, E. K. (2025). Physicochemical and Toxicological Properties of Particles Emitted from Scalmalloy During the LPBF Process. Toxics, 13(5), 398. https://doi.org/10.3390/toxics13050398

