Evaluation of Potential Toxic Elements in Soils from Three Urban Areas Surrounding a Steel Industrial Zone
Abstract
1. Introduction
2. Materials and Methods
2.1. Study Area
2.2. Sampling and Chemical Analysis
2.3. Soil Contamination Assessment Indices
2.3.1. Contamination Factor (CF)
2.3.2. Pollution Load Index (PLI)
2.3.3. Geo-Accumulation Index (Igeo)
2.4. Geochemical Mapping
2.5. Statistical Analysis
3. Results
3.1. Assessment of Soil Sample Parameters
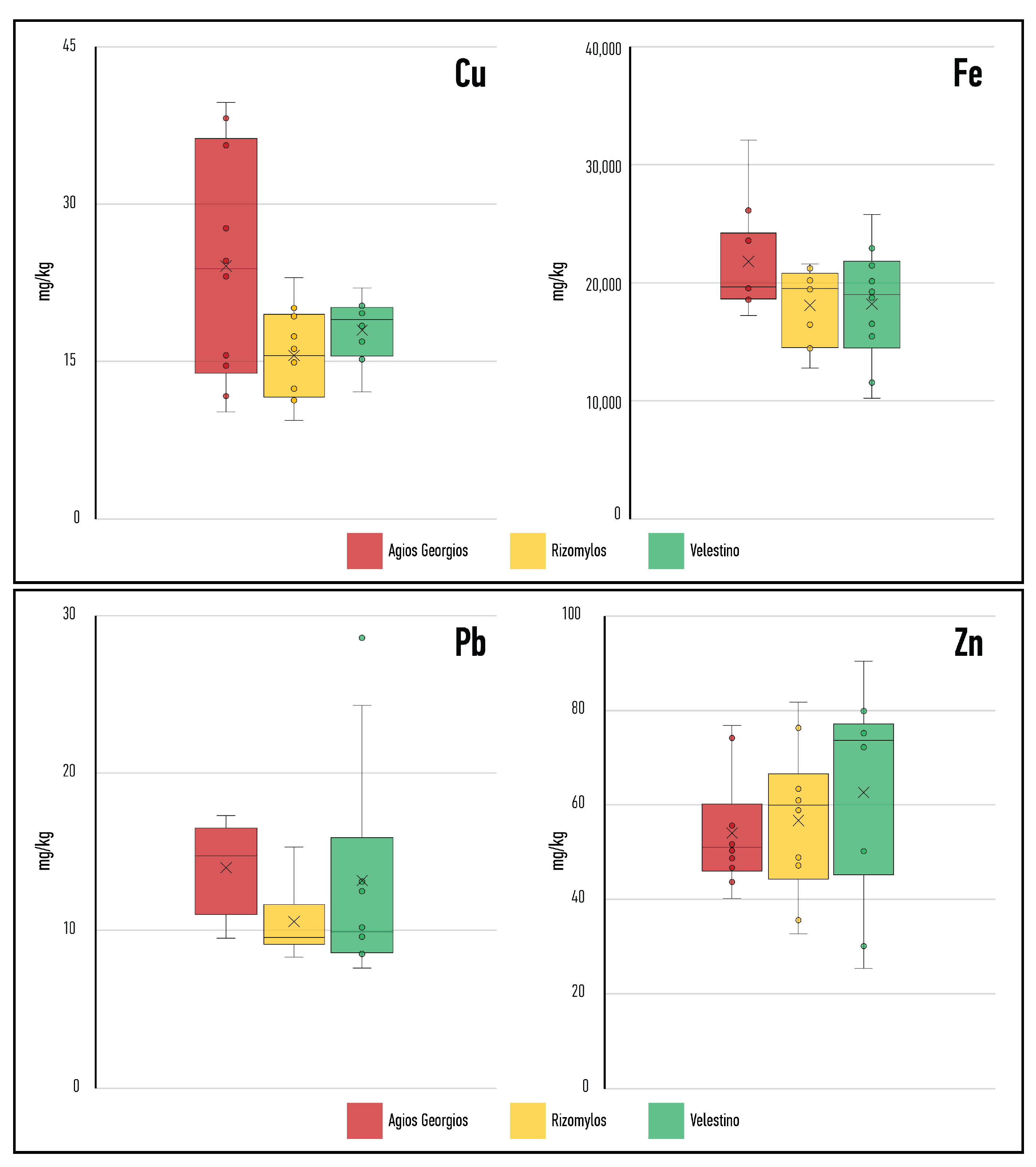
3.2. Potential Toxic Element Concentration in Sampled Soils
3.3. Soil Contamination Assessment Indices
| No. of Samples | Cr | Mn | Co | Ni | Cu | Zn | As | Cd | Pb | PLI | |
|---|---|---|---|---|---|---|---|---|---|---|---|
| mg kg−1 | |||||||||||
| Soil (AG) | 1AG | 2.26 | 1.09 | 1.50 | 2.26 | 0.71 | 0.74 | 2.13 | 0.11 | 0.60 | 0.946 |
| 2AG | 2.27 | 1.18 | 1.68 | 2.53 | 0.92 | 0.79 | 3.00 | 0.17 | 0.64 | 1.116 | |
| 3AG | 2.35 | 1.61 | 1.90 | 2.74 | 1.02 | 1.10 | 5.56 | 0.60 | 0.61 | 1.524 | |
| 4AG | 2.12 | 1.56 | 1.71 | 2.60 | 0.98 | 1.06 | 5.01 | 0.52 | 0.56 | 1.412 | |
| 5AG | 1.88 | 1.33 | 1.34 | 3.19 | 0.63 | 0.75 | 2.10 | 0.33 | 0.63 | 1.094 | |
| 6AG | 1.94 | 0.75 | 1.45 | 2.84 | 0.59 | 0.72 | 1.80 | 0.65 | 0.53 | 1.052 | |
| 7AG | 1.39 | 0.64 | 1.09 | 1.72 | 0.38 | 0.67 | 3.65 | 0.79 | 0.35 | 0.909 | |
| 8AG | 1.28 | 0.68 | 1.23 | 1.64 | 0.40 | 0.70 | 3.28 | 0.74 | 0.41 | 0.924 | |
| 9AG | 0.82 | 0.59 | 0.80 | 1.77 | 0.30 | 0.62 | 1.07 | 1.05 | 0.38 | 0.726 | |
| 10AG | 0.86 | 0.57 | 0.95 | 1.74 | 0.26 | 0.57 | 1.26 | 0.77 | 0.46 | 0.722 | |
| Average | 1.72 | 1.00 | 1.36 | 2.30 | 0.62 | 0.77 | 2.89 | 0.57 | 0.52 | 1.092 | |
| Soil (VL) | 1VL | 1.49 | 0.67 | 0.61 | 1.91 | 0.51 | 1.14 | 0.64 | 1.27 | 0.46 | 0.861 |
| 2VL | 1.44 | 0.65 | 0.64 | 1.73 | 0.52 | 1.09 | 0.75 | 1.03 | 0.49 | 0.845 | |
| 3VL | 1.05 | 1.49 | 1.05 | 1.11 | 0.57 | 1.08 | 6.37 | 0.47 | 1.06 | 1.150 | |
| 4VL | 1.23 | 1.44 | 1.01 | 1.22 | 0.47 | 1.29 | 5.15 | 0.52 | 0.90 | 1.139 | |
| 5VL | 1.41 | 0.61 | 0.71 | 1.60 | 0.31 | 0.43 | 0.84 | 0.40 | 0.28 | 0.614 | |
| 6VL | 1.34 | 0.57 | 0.83 | 1.47 | 0.40 | 0.36 | 0.91 | 0.32 | 0.32 | 0.616 | |
| 7VL | 1.29 | 0.62 | 0.98 | 1.96 | 0.52 | 1.07 | 0.61 | 0.56 | 0.36 | 0.778 | |
| 8VL | 1.20 | 0.63 | 0.93 | 1.84 | 0.50 | 1.03 | 1.04 | 0.78 | 0.38 | 0.840 | |
| 9VL | 1.19 | 0.71 | 0.77 | 1.68 | 0.43 | 0.72 | 1.72 | 0.77 | 0.31 | 0.804 | |
| 10VL | 1.13 | 0.69 | 0.76 | 1.81 | 0.39 | 0.73 | 1.49 | 0.60 | 0.32 | 0.764 | |
| Average | 1.28 | 0.81 | 0.83 | 1.63 | 0.46 | 0.89 | 1.95 | 0.67 | 0.49 | 0.896 | |
| Soil (RIZ) | 1RIZ | 1.49 | 1.46 | 1.20 | 2.41 | 0.45 | 0.70 | 1.37 | 1.31 | 0.57 | 1.080 |
| 2RΙΖ | 1.57 | 1.40 | 1.12 | 2.36 | 0.50 | 0.67 | 1.26 | 1.10 | 0.54 | 1.041 | |
| 3RΙΖ | 2.54 | 1.30 | 1.40 | 4.17 | 0.59 | 1.17 | 0.80 | 0.20 | 0.40 | 0.983 | |
| 4RΙΖ | 2.44 | 1.28 | 1.30 | 4.09 | 0.52 | 1.09 | 0.91 | 0.26 | 0.38 | 0.979 | |
| 5RΙΖ | 0.94 | 0.56 | 0.73 | 0.95 | 0.24 | 0.47 | 1.27 | 0.17 | 0.36 | 0.529 | |
| 6RΙΖ | 0.97 | 0.55 | 0.81 | 0.90 | 0.29 | 0.51 | 1.33 | 0.20 | 0.35 | 0.561 | |
| 7RΙΖ | 1.53 | 0.76 | 0.86 | 1.90 | 0.38 | 0.87 | 1.49 | 0.82 | 0.34 | 0.863 | |
| 8RΙΖ | 1.44 | 0.73 | 0.91 | 1.84 | 0.42 | 0.91 | 1.54 | 1.00 | 0.33 | 0.887 | |
| 9RΙΖ | 1.35 | 0.62 | 0.62 | 2.09 | 0.32 | 0.88 | 0.47 | 0.33 | 0.31 | 0.625 | |
| 10RΙΖ | 1.38 | 0.63 | 0.76 | 2.02 | 0.30 | 0.84 | 0.63 | 0.48 | 0.35 | 0.691 | |
| Average | 1.56 | 0.93 | 0.97 | 2.27 | 0.40 | 0.81 | 1.11 | 0.59 | 0.39 | 0.863 | |
| Legend | |||||||||||
| CF | Class I CF < 1 | Class II 1 ≤ CF < 3 | Class III 3 ≤ CF < 6 | Class IV CF ≥ 6 | |||||||
| PLI | Index I PLI < 0.7 | Index II 0.7 < PLI < 1 | Index III 1 < PLI < 2 | Index IV 2 < PLI < 3 | Index V PLI > 3 | ||||||
3.4. Dimension Reduction and Clustering of Results
4. Discussion
5. Conclusions
Supplementary Materials
Author Contributions
Funding
Institutional Review Board Statement
Informed Consent Statement
Data Availability Statement
Acknowledgments
Conflicts of Interest
References
- Elramady, H.; Brevik, E.C.; Elsakhawy, T.; Omara, A.E.-D.; Amer, M.M.; Abowaly, M.; El-Henawy, A.; Prokisch, J. Soil and Humans: A Comparative and A Pictorial Mini-Review. Egypt. J. Soil Sci. 2022, 62, 101–122. [Google Scholar] [CrossRef]
- Rastegari Mehr, M.; Keshavarzi, B.; Moore, F.; Sharifi, R.; Lahijanzadeh, A.; Kermani, M. Distribution, source identification and health risk assessment of soil heavy metals in urban areas of Isfahan province, Iran. J. Afr. Earth Sci. 2017, 132, 16–26. [Google Scholar] [CrossRef]
- Gruszka, D.; Gruss, I.; Szopka, K. Assessing Environmental Risks of Local Contamination of Garden Urban Soils with Heavy Metals Using Ecotoxicological Tests. Toxics 2024, 12, 873. [Google Scholar] [CrossRef] [PubMed]
- Răcușan Ghircoiaș, O.; Tănăselia, C.; Chintoanu, M.; Crișan, I.; Hoble, A.; Ștefan, R.; Dîrja, M. Relevance of Soil Heavy Metal XRF Screening for Quality and Landscaping of Public Playgrounds. Toxics 2023, 11, 530. [Google Scholar] [CrossRef] [PubMed]
- Nieder, R.; Benbi, D.K.; Reichl, F.X. Role of Potentially Toxic Elements in Soils. In Soil Components and Human Health; Nieder, R., Benbi, D.K., Reichl, F.X., Eds.; Springer Netherlands: Dordrecht, The Netherlands, 2018; pp. 375–450. [Google Scholar] [CrossRef]
- Nieder, R.; Benbi, D.K. Potentially toxic elements in the environment—A review of sources, sinks, pathways and mitigation measures. Rev. Environ. Health 2024, 39, 561–575. [Google Scholar] [CrossRef]
- Yu, Z.; Liu, E.; Lin, Q.; Zhang, E.; Yang, F.; Wei, C.; Shen, J. Comprehensive assessment of heavy metal pollution and ecological risk in lake sediment by combining total concentration and chemical partitioning. Environ. Pollut. 2021, 269, 116212. [Google Scholar] [CrossRef]
- Jing, B.; Wenyan, L.; Zhang, Y.; Ling, X.; Weisheng, L.; Yongtao, L. Distributions and risks of Cu, Cd, Pb and Zn in soils and rice in the North River Basin, South China. Earth Environ. Sci. Trans. R. Soc. Edinb. 2018, 109, 483–493. [Google Scholar]
- Cachada, A.; Dias, A.C.; Pato, P.; Mieiro, C.; Rocha-Santos, T.; Pereira, M.E.; Ferreira da Silva, E.; Duarte, A.C. Major inputs and mobility of potentially toxic elements contamination in urban areas. Environ. Monit. Assess. 2013, 185, 279–294. [Google Scholar] [CrossRef]
- Khudhur, N.; Khudhur, S.; Ahmed, I. An Assessment of Heavy Metal Soil Contamination in a Steel Factory and the Surrounding Area in Erbil City. Jordan J. Earth Environ. Sci. 2018, 9, 11. [Google Scholar]
- Birat, J.-P. Society, Materials, and the Environment: The Case of Steel. Metals 2020, 10, 331. [Google Scholar] [CrossRef]
- Aliu, M. Determination of the content of heavy metals in residues released from manufacturing procceses of Ni-Cd batteries by atomic absorption spectrometry. All Sci. Abstr. 2023, 1. [Google Scholar] [CrossRef]
- Srivastava, N.; Chattopadhyay, J.; Yashi, A.; Rathore, T. Heavy Metals Removal Techniques from Industrial Waste Water. In Advanced Industrial Wastewater Treatment and Reclamation of Water; Springer: Berlin/Heidelberg, Germany, 2021. [Google Scholar]
- Tardani, D.; Vera, F.; Álvarez-Amado, F.; Tolorza, V.; Lacassie, J.P.; Jullian, D.; Sepúlveda, C.; Sánchez-Alfaro, P.; Daniele, L.; Gutiérrez, L. Evaluating natural and anthropogenic inputs on the distribution of potentially toxic elements in urban soil of Valdivia, Chile. Environ. Geochem. Health 2023, 45, 7841–7859. [Google Scholar] [CrossRef] [PubMed]
- Igalavithana, A.; Park, J.; Lee, S.S.; Ok, Y.S. Potentially Toxic Element Contamination and Its Impact on Soil Biological Quality in Urban Agriculture: A Critical Review. In Heavy Metal Contamination of Soils; Springer: Berlin/Heidelberg, Germany, 2015; pp. 81–101. [Google Scholar] [CrossRef]
- Tong, D.Q.; Gill, T.E.; Sprigg, W.A.; Van Pelt, R.S.; Baklanov, A.A.; Barker, B.M.; Bell, J.E.; Castillo, J.; Gassó, S.; Gaston, C.J.; et al. Health and Safety Effects of Airborne Soil Dust in the Americas and Beyond. Rev. Geophys. 2023, 61, e2021RG000763. [Google Scholar] [CrossRef]
- Amin, M.R.; Rafi, I.K. Breathing easy: Navigating lung health in a changing atmosphere. Int. J. Biol. Innov. 2023, 6, 128–134. [Google Scholar] [CrossRef]
- Moya, J.; Phillips, L. A review of soil and dust ingestion studies for children. J. Expo. Sci. Environ. Epidemiol. 2014, 24, 545–554. [Google Scholar] [CrossRef]
- Odangowei, O.; Okiemute, O. Geophagic practice and its possible health implications—A review. J. Sci. Multidiscip. Res. 2020, 8. [Google Scholar]
- Lage, J.; Wolterbeek, H.; Almeida, S.M. Contamination of surface soils from a heavy industrial area in the North of Spain. J. Radioanal. Nucl. Chem. 2016, 309, 429–437. [Google Scholar] [CrossRef]
- Rodríguez-Oroz, D.; Vidal, R.; Fernandoy, F.; Lambert, F.; Quiero, F. Metal concentrations and source identification in Chilean public children’s playgrounds. Environ. Monit. Assess. 2018, 190, 703. [Google Scholar] [CrossRef]
- Gąsiorek, M.; Kowalska, J.; Mazurek, R.; Pająk, M. Comprehensive assessment of heavy metal pollution in topsoil of historical urban park on an example of the Planty Park in Krakow (Poland). Chemosphere 2017, 179, 148–158. [Google Scholar] [CrossRef]
- Wang, X.; Birch, G.F.; Liu, E. Traffic emission dominates the spatial variations of metal contamination and ecological-health risks in urban park soil. Chemosphere 2022, 297, 134155. [Google Scholar] [CrossRef]
- Sun, Z.; Chen, J. Risk Assessment of Potentially Toxic Elements (PTEs) Pollution at a Rural Industrial Wasteland in an Abandoned Metallurgy Factory in North China. Int. J. Environ. Res. Public Health 2018, 15, 85. [Google Scholar] [CrossRef]
- Sparks, D.L.; Page, A.L.; Helmke, P.A.; Loeppert, R.H.; Soltanpour, P.N.; Tabatabai, M.A.; Johnston, C.T.; Sumner, M.E. Methods of Soil Analysis. Part 3—Chemical Methods; Soil Science Society of America, Inc.: Madison, WI, USA; American Society of Agronomy, Inc.: Madison, WI, USA, 1999. [Google Scholar]
- Rowell, D.L. Soil Science: Methods & Applications; Routledge: London, UK, 2014. [Google Scholar]
- Chen, Z.; Imran, M.; Jing, G.; Wang, W.; Huang, B.; Li, Y.; Zhang, Y.; Yang, Y.; Lu, Q.; Zhang, Z.; et al. Toxic elements pollution risk as affected by various input sources in soils of greenhouses, kiwifruit orchards, cereal fields, and forest/grassland. Environ. Pollut. 2023, 338, 122639. [Google Scholar] [CrossRef] [PubMed]
- Antoniadis, V.; Molla, A.; Grammenou, A.; Apostolidis, V.; Athanassiou, C.G.; Rumbos, C.I.; Levizou, E. Insect Frass as a Novel Organic Soil Fertilizer for the Cultivation of Spinach (Spinacia oleracea): Effects on Soil Properties, Plant Physiological Parameters, and Nutrient Status. J. Soil Sci. Plant Nutr. 2023, 23, 5935–5944. [Google Scholar] [CrossRef]
- Lolas, A.; Molla, K.; Georgiou, K.; Apostologamvrou, C.; Petrotou, A.; Skordas, K.; Vafidis, D. Evaluating the Liming Potential of Mytilus galloprovincialis Shell Waste on Acidic Soils. Conservation 2024, 4, 778–791. [Google Scholar] [CrossRef]
- Khalifa, M.; Gad, A. Assessment of Heavy Metals Contamination in Agricultural Soil of Southwestern Nile Delta, Egypt. Soil Sediment Contam. Int. J. 2018, 27, 619–642. [Google Scholar] [CrossRef]
- Xiao, Q.; Zong, Y.; Lu, S. Assessment of heavy metal pollution and human health risk in urban soils of steel industrial city (Anshan), Liaoning, Northeast China. Ecotoxicol. Environ. Saf. 2015, 120, 377–385. [Google Scholar] [CrossRef]
- Hakanson, L. An ecological risk index for aquatic pollution control.a sedimentological approach. Water Res. 1980, 14, 975–1001. [Google Scholar] [CrossRef]
- Kabata-Pendias, E. Trace Elements in Soils and Plants, 4th ed.; CRC Press: Boca Raton, FL, USA, 2011. [Google Scholar]
- Tomlinson, D.; Wilson, J.; Harris, C.; Jeffrey, D. Problems in the assessment of heavy-metal levels in estuaries and the formation of a pollution index. Helgol. Meeresunters. 1980, 33, 566–575. [Google Scholar] [CrossRef]
- Andem, A.; Bassey; Okorafor, K.; Ama; Oku, E.; Esien; Ugwumba, A.; Ugwumba, A. Evaluation and Characterization of Trace Metals Contamination in the Surface Sediment Using Pollution Load Index (PLI) And Geo-Accumulation Index (Igeo) of Ona River, Western Nigeria. Int. J. Sci. Technol. Res. 2015, 4, 29–34. [Google Scholar]
- Müller, G. Index of geo-accumulation in sediments of the Rhine River. GeoJournal 1969, 2, 108–118. [Google Scholar]
- Giannakis, I.; Emmanouil, C.; Mitrakas, M.; Manakou, V.; Kungolos, A. Chemical and ecotoxicological assessment of sludge-based biosolids used for corn field fertilization. Environ. Sci. Pollut. Res. 2021, 28, 3797–3809. [Google Scholar] [CrossRef] [PubMed]
- Bux, R.K.; Batool, M.; Shah, S.M.; Solangi, A.R.; Shaikh, A.A.; Haider, S.I.; Shah, Z.-U.-H. Mapping the Spatial distribution of Soil heavy metals pollution by Principal Component Analysis and Cluster Analyses. Water Air Soil Pollut. 2023, 234, 330. [Google Scholar] [CrossRef]
- Ministerial Decree DDA/41828/630/2023, 21 April 2023 on the Protection of the Environment, and in Particular of the Soil, When Sewage Sludge is Used in Agriculture. 2023, pp. 27301–27332. Available online: https://search.et.gr/el/fek/?fekId=623454 (accessed on 15 April 2025).
- Canadian Council of Ministers of the Environment. Available online: https://ccme.ca/en/summary-table (accessed on 15 April 2025).
- Bini, C. From soil contamination to land restoration. In Contaminated Soils: Environmental Impact, Disposal and Treatment; Nova Science Pub Inc.: Hauppauge, NY, USA, 2011; pp. 97–137. [Google Scholar]
- Haynes, W.M. CRC Handbook of Chemistry and Physics, 97th ed.; CRC Press: Boca Raton, FL, USA, 2016. [Google Scholar] [CrossRef]
- Council Directive 86/278/EEC of 12 June 1986 on the Protection of the Environment, and in Particular of the Soil, When Sewage Sludge is Used in Agriculture. 1986, pp. 6–12. Available online: https://eur-lex.europa.eu/eli/dir/1986/278/oj/eng (accessed on 15 April 2025).
- Aralu, C.C.; Okoye, P.A.C.; Abugu, H.O.; Egbueri, J.C.; Eze, V.C. Impacts of unregulated dumpsites: A study on toxic soil contamination, associated risks, and call for sustainable environmental protection in Nnewi, Nigeria. J. Hazard. Mater. Adv. 2024, 15, 100442. [Google Scholar] [CrossRef]
- Kyowe, H.A.; Awotoye, O.O.; Oyekunle, J.A.O.; Olusola, J.A. Index of heavy metal pollution and health risk assessment with respect to artisanal gold mining operations in Ibodi-Ijesa, Southwest Nigeria. J. Trace Elem. Miner. 2024, 9, 100160. [Google Scholar] [CrossRef]
- Bucurica, I.A.; Dulama, I.D.; Radulescu, C.; Banica, A.L.; Stanescu, S.G. Heavy Metals and Associated Risks of Wild Edible Mushrooms Consumption: Transfer Factor, Carcinogenic Risk, and Health Risk Index. J. Fungi 2024, 10, 844. [Google Scholar] [CrossRef] [PubMed]
- Antoniadis, V.; Golia, E.E.; Liu, Y.-T.; Wang, S.-L.; Shaheen, S.M.; Rinklebe, J. Soil and maize contamination by trace elements and associated health risk assessment in the industrial area of Volos, Greece. Environ. Int. 2019, 124, 79–88. [Google Scholar] [CrossRef]
- Kelepertzis, E.; Argyraki, A.; Chrastný, V.; Botsou, F.; Skordas, K.; Komárek, M.; Fouskas, A. Metal(loid) and isotopic tracing of Pb in soils, road and house dusts from the industrial area of Volos (central Greece). Sci. Total Environ. 2020, 725, 138300. [Google Scholar] [CrossRef]
- Golia, E.E.; Aslanidis, P.-S.C.; Papadimou, S.G.; Kantzou, O.-D.; Chartodiplomenou, M.-A.; Lakiotis, K.; Androudi, M.; Tsiropoulos, N.G. Assessment of remediation of soils, moderately contaminated by potentially toxic metals, using different forms of carbon (charcoal, biochar, activated carbon). Impacts on contamination, metals availability and soil indices. Sustain. Chem. Pharm. 2022, 28, 100724. [Google Scholar] [CrossRef]
- Moustris, K.P.; Proias, G.T.; Larissi, I.K.; Nastos, P.T.; Koukouletsos, K.V.; Paliatsos, A.G. Health impacts due to particulate air pollution in Volos City, Greece. J. Environ. Sci. Health Part A 2016, 51, 15–20. [Google Scholar] [CrossRef]
- Emmanouil, C.; Drositi, E.; Vasilatou, V.; Diapouli, E.; Krikonis, K.; Eleftheriadis, K.; Kungolos, A. Study on particulate matter air pollution, source origin, and human health risk based of PM10 metal content in Volos City, Greece. Toxicol. Environ. Chem. 2017, 99, 691–709. [Google Scholar] [CrossRef]
- Golia, E.E.; Papadimou, S.G.; Cavalaris, C.; Tsiropoulos, N.G. Level of Contamination Assessment of Potentially Toxic Elements in the Urban Soils of Volos City (Central Greece). Sustainability 2021, 13, 2029. [Google Scholar] [CrossRef]
- Kim, N.D.; Fergusson, J.E. The concentrations, distribution and sources of cadmium, copper, lead and zinc in the atmosphere of an urban environment. Sci. Total Environ. 1994, 144, 179–189. [Google Scholar] [CrossRef]
- Ajmone-Marsan, F.; Biasioli, M. Trace Elements in Soils of Urban Areas. Water Air Soil Pollut. 2010, 213, 121–143. [Google Scholar] [CrossRef]
- Iqbal Khan, Z.; Ahmad, K.; Ahmad, T.; Zafar, A.; Alrefaei, A.F.; Ashfaq, A.; Akhtar, S.; Mahpara, S.; Mehmood, N.; Ugulu, I. Evaluation of nickel toxicity and potential health implications of agriculturally diversely irrigated wheat crop varieties. Arab. J. Chem. 2023, 16, 104934. [Google Scholar] [CrossRef]
- Rizwan, M.; Usman, K.; Alsafran, M. Ecological impacts and potential hazards of nickel on soil microbes, plants, and human health. Chemosphere 2024, 357, 142028. [Google Scholar] [CrossRef] [PubMed]
- Fatoki, J.O.; Badmus, J.A. Arsenic as an environmental and human health antagonist: A review of its toxicity and disease initiation. J. Hazard. Mater. Adv. 2022, 5, 100052. [Google Scholar] [CrossRef]
- Wu, R.; Yao, F.; Li, X.; Shi, C.; Zang, X.; Shu, X.; Liu, H.; Zhang, W. Manganese pollution and its remediation: A review of biological removal and promising combination strategies. Microorganisms 2022, 10, 2411. [Google Scholar] [CrossRef]
- Genchi, G.; Carocci, A.; Lauria, G.; Sinicropi, M.S.; Catalano, A. Nickel: Human health and environmental toxicology. Int. J. Environ. Res. Public Health 2020, 17, 679. [Google Scholar] [CrossRef]
- Thalassinos, G.; Antoniadis, V. Monitoring Potentially Toxic Element Pollution in Three Wheat-Grown Areas with a Long History of Industrial Activity and Assessment of Their Effect on Human Health in Central Greece. Toxics 2021, 9, 293. [Google Scholar] [CrossRef]
- Pobi, K.K.; Nayek, S.; Gope, M.; Rai, A.K.; Saha, R. Sources evaluation, ecological and health risk assessment of potential toxic metals (PTMs) in surface soils of an industrial area, India. Environ. Geochem. Health 2020, 42, 4159–4180. [Google Scholar] [CrossRef]
- Keshav Krishna, A.; Rama Mohan, K. Distribution, correlation, ecological and health risk assessment of heavy metal contamination in surface soils around an industrial area, Hyderabad, India. Environ. Earth Sci. 2016, 75, 411. [Google Scholar] [CrossRef]
- Hamza, Y.I.; Bream, A.S.; Mahmoud, M.A.; El-Tabakh, M.A.M. Environmental impacts of industrial activities on floral coverage with special emphasis on detoxification enzyme activities in Cataglyphis savignyi as pollution biomarker. Environ. Sci. Pollut. Res. 2023, 30, 113758–113773. [Google Scholar] [CrossRef] [PubMed]
- Doležalová Weissmannová, H.; Mihočová, S.; Chovanec, P.; Pavlovský, J. Potential Ecological Risk and Human Health Risk Assessment of Heavy Metal Pollution in Industrial Affected Soils by Coal Mining and Metallurgy in Ostrava, Czech Republic. Int. J. Environ. Res. Public Health 2019, 16, 4495. [Google Scholar] [CrossRef] [PubMed]
- Chen, X.; Ren, Y.; Li, C.; Shang, Y.; Ji, R.; Yao, D.; He, Y. Pollution Characteristics and Ecological Risk Assessment of Typical Heavy Metals in the Soil of the Heavy Industrial City Baotou. Processes 2025, 13, 170. [Google Scholar] [CrossRef]
- Hellenic Statistical Authority. Available online: https://www.statistics.gr/el/statistics/-/publication/SAM03/ (accessed on 15 April 2025).
- Barceloux, D.G.; Barceloux, D. Cobalt. J. Toxicol. Clin. Toxicol. 1999, 37, 201–216. [Google Scholar] [CrossRef]
- Tavakoli, H.; Azari, A.; Ashrafi, K.; Salimian, M.; Momeni, M. Human health risk assessment of arsenic downstream of a steel plant in Isfahan, Iran: A case study. Int. J. Environ. Sci. Technol. 2020, 17, 81–92. [Google Scholar] [CrossRef]
- Horng, C.J.; Horng, P.H.; Lin, S.C.; Tsai, J.L.; Lin, S.R.; Tzeng, C.C. Determination of urinary beryllium, arsenic, and selenium in steel production workers. Biol. Trace Elem. Res. 2002, 88, 235–246. [Google Scholar] [CrossRef]
- Shuhua, X.; Qingshan, S.; Fei, W.; Shengnan, L.; Ling, Y.; Lin, Z.; Yingli, S.; Nan, Y.; Guifan, S. The factors influencing urinary arsenic excretion and metabolism of workers in steel and iron smelting foundry. J. Expo. Sci. Environ. Epidemiol. 2014, 24, 36–41. [Google Scholar] [CrossRef][Green Version]
- Rubilar, P.; Hirmas-Adauy, M.; Apablaza, M.; Awad, C.; Molina, X.; Muñoz, M.P.; Delgado, I.; Zanetta-Colombo, N.C.; Castillo-Laborde, C.; Matute, M.I.; et al. Arsenic Exposure During Pregnancy and Childhood: Factors Explaining Changes over a Decade. Toxics 2025, 13, 215. [Google Scholar] [CrossRef]
- Golia, E.E.; Emmanouil, C.; Charizani, A.; Koropouli, A.; Kungolos, A. Assessment of Cu and Zn contamination and associated human health risks in urban soils from public green spaces in the city of Thessaloniki, Northern Greece. Euro-Mediterr. J. Environ. Integr. 2023, 8, 517–525. [Google Scholar] [CrossRef]
- Argyraki, A.; Kelepertzis, E.; Botsou, F.; Paraskevopoulou, V.; Katsikis, I.; Trigoni, M. Environmental availability of trace elements (Pb, Cd, Zn, Cu) in soil from urban, suburban, rural and mining areas of Attica, Hellas. J. Geochem. Explor. 2018, 187, 201–213. [Google Scholar] [CrossRef]
- Kicińska, A.; Pomykała, R.; Izquierdo-Diaz, M. Changes in soil pH and mobility of heavy metals in contaminated soils. Eur. J. Soil Sci. 2022, 73, e13203. [Google Scholar] [CrossRef]
- Lee, H.-G.; Kim, H.-K.; Noh, H.-J.; Byun, Y.J.; Chung, H.-M.; Kim, J.-I. Source identification and assessment of heavy metal contamination in urban soils based on cluster analysis and multiple pollution indices. J. Soils Sediments 2021, 21, 1947–1961. [Google Scholar] [CrossRef]








| No. of Samples | Cr | Mn | Fe | Co | Ni | Cu | Zn | As | Cd | Pb | |
|---|---|---|---|---|---|---|---|---|---|---|---|
| mg kg−1 | |||||||||||
| Soil (AG) | 1AG | *#● | #● | *#● | *● | ||||||
| 2AG | *#● | #● | *#● | *● | |||||||
| 3AG | *#● | ● | #● | *#● | #● | ● | *#● | ||||
| 4AG | *#● | ● | #● | *#● | # | ● | *#● | ||||
| 5AG | *#● | #● | *#● | *● | |||||||
| 6AG | *#● | #● | *#● | *● | |||||||
| 7AG | *● | #● | *#● | *● | |||||||
| 8AG | *● | #● | *#● | *● | |||||||
| 9AG | *#● | ● | ● | ||||||||
| 10AG | *#● | ● | |||||||||
| Soil (VL) | 1VL | *● | *#● | ● | ● | ||||||
| 2VL | *● | *#● | ● | ● | |||||||
| 3VL | ● | #● | ● | ● | *#● | ● | |||||
| 4VL | *● | #● | #● | ● | *#● | ● | |||||
| 5VL | *● | *#● | |||||||||
| 6VL | *● | #● | |||||||||
| 7VL | *● | *#● | ● | ||||||||
| 8VL | *● | *#● | ● | ● | |||||||
| 9VL | *● | *#● | ● | ||||||||
| 10VL | *● | *#● | ● | ||||||||
| Soil (RIZ) | 1RIZ | *● | #● | *#● | ● | ● | |||||
| 2RΙΖ | *● | #● | *#● | ● | ● | ||||||
| 3RΙΖ | *#● | #● | *#● | ● | |||||||
| 4RΙΖ | *#● | #● | *#● | ● | |||||||
| 5RΙΖ | |||||||||||
| 6RΙΖ | ● | ||||||||||
| 7RΙΖ | *● | *#● | ● | ||||||||
| 8RΙΖ | *● | *#● | ● | ● | |||||||
| 9RΙΖ | *● | *#● | |||||||||
| 10RΙΖ | *● | *#● | |||||||||
| Parameter | Component 1 | Component 2 |
|---|---|---|
| As | 0.966 | |
| Pb | 0.930 | |
| Mn | 0.777 | |
| Fe | 0.778 | |
| Cu | 0.647 | |
| Co | 0.595 | −0.541 |
| Zn | ||
| Ni | −0.950 | |
| Cr | −0.887 | |
| pH | −0.573 | |
| Cd |
| Parameter | F Value | p Value |
|---|---|---|
| Cr | 4.842 | 0.036 |
| Mn | 15.992 | <0.01 |
| Fe | 30.962 | <0.01 |
| Co | 13.641 | <0.01 |
| Ni | 4.577 | 0.041 |
| Cu | 19.822 | <0.01 |
| Zn | 5.351 | 0.028 |
| As | 4.353 | 0.046 |
| Cd | 0.416 | 0.524 |
| Pb | 5.922 | 0.022 |
| pH | 0.119 | 0.733 |
Disclaimer/Publisher’s Note: The statements, opinions and data contained in all publications are solely those of the individual author(s) and contributor(s) and not of MDPI and/or the editor(s). MDPI and/or the editor(s) disclaim responsibility for any injury to people or property resulting from any ideas, methods, instructions or products referred to in the content. |
© 2025 by the authors. Licensee MDPI, Basel, Switzerland. This article is an open access article distributed under the terms and conditions of the Creative Commons Attribution (CC BY) license (https://creativecommons.org/licenses/by/4.0/).
Share and Cite
Charvalas, G.; Molla, A.; Lolas, A.; Skoufogianni, E.; Papadopoulos, S.; Chatzikirou, E.; Emmanouil, C.; Christopoulou, O. Evaluation of Potential Toxic Elements in Soils from Three Urban Areas Surrounding a Steel Industrial Zone. Toxics 2025, 13, 351. https://doi.org/10.3390/toxics13050351
Charvalas G, Molla A, Lolas A, Skoufogianni E, Papadopoulos S, Chatzikirou E, Emmanouil C, Christopoulou O. Evaluation of Potential Toxic Elements in Soils from Three Urban Areas Surrounding a Steel Industrial Zone. Toxics. 2025; 13(5):351. https://doi.org/10.3390/toxics13050351
Chicago/Turabian StyleCharvalas, Georgios, Aikaterini Molla, Alexios Lolas, Elpiniki Skoufogianni, Savvas Papadopoulos, Evaggelia Chatzikirou, Christina Emmanouil, and Olga Christopoulou. 2025. "Evaluation of Potential Toxic Elements in Soils from Three Urban Areas Surrounding a Steel Industrial Zone" Toxics 13, no. 5: 351. https://doi.org/10.3390/toxics13050351
APA StyleCharvalas, G., Molla, A., Lolas, A., Skoufogianni, E., Papadopoulos, S., Chatzikirou, E., Emmanouil, C., & Christopoulou, O. (2025). Evaluation of Potential Toxic Elements in Soils from Three Urban Areas Surrounding a Steel Industrial Zone. Toxics, 13(5), 351. https://doi.org/10.3390/toxics13050351

