Effect of Nitric Acid-Modified Multi-Walled Carbon Nanotube Capping on Copper and Lead Release from Sediments
Abstract
1. Introduction
2. Materials and Methods
2.1. Study Area
2.2. Experimental Design
2.3. Sample Collection
2.4. Adsorption Experiments
2.5. Data Analysis
3. Results and Discussion
3.1. Adsorption Isotherms
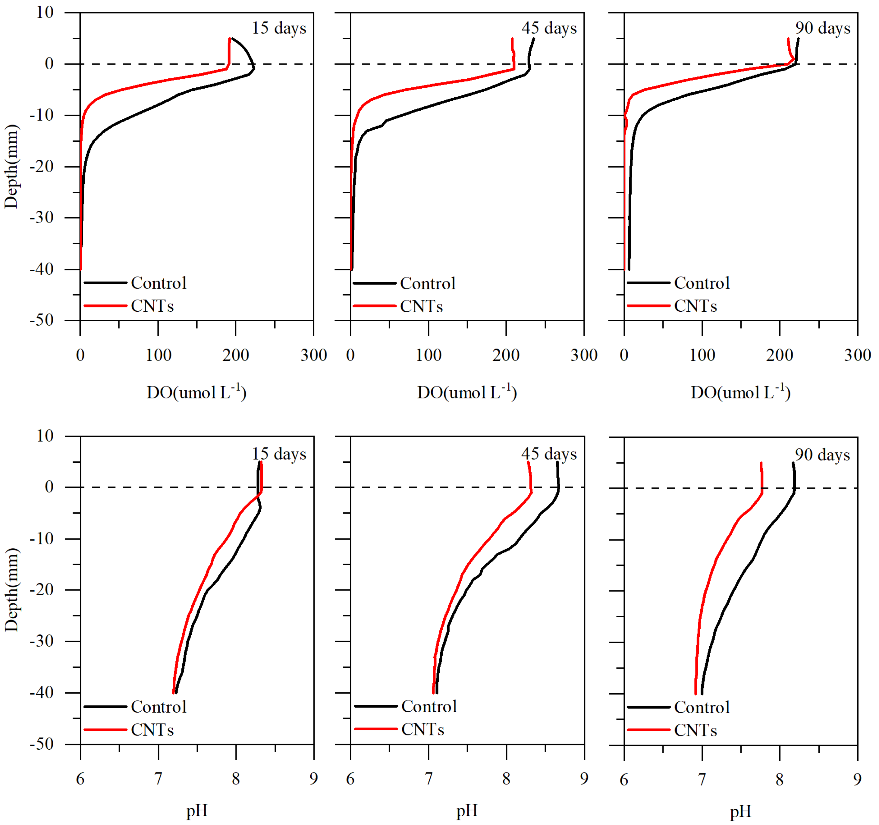
3.2. Sediment DO and pH Changes
3.3. Variations in Soluble Cu and Pb in Sediment
3.4. Speciation Changes in Cu and Pb in Sediment
3.5. Mechanisms of Cu and Pb Immobilization in Sediments by CNTs
4. Conclusions
Author Contributions
Funding
Institutional Review Board Statement
Informed Consent Statement
Data Availability Statement
Conflicts of Interest
References
- Chang, C.Y.; Wang, R.R.; Xu, L.Q.; Zhao, Z.J.; Cheng, W.H.; Hao, J.H.; Huang, F. Historical co-enrichment, source attribution, and risk assessment of critical nutrients and heavy metal/metalloids in lake sediments: Insights from Chaohu Lake, China. Environ. Geochem. Health 2024, 46, 20. [Google Scholar] [CrossRef] [PubMed]
- Jiang, H.; Han, Y.M.; Guo, M.L.; Gong, X.H. Sedimentary records of human activities in China over the past two millennia and implications for the Anthropocene: A review. Sci. Total Environ. 2022, 851, 15. [Google Scholar] [CrossRef] [PubMed]
- Azimi, A.; Azari, A.; Rezakazemi, M.; Ansarpour, M. Removal of Heavy Metals from Industrial Wastewaters: A Review. ChemBioEng Rev. 2017, 4, 37–59. [Google Scholar] [CrossRef]
- Zhou, Q.Q.; Yang, N.; Li, Y.Z.; Ren, B.; Ding, X.H.; Bian, H.L.; Yao, X. Total concentrations and sources of heavy metal pollution in global river and lake water bodies from 1972 to 2017. Glob. Ecol. Conserv. 2020, 22, 11. [Google Scholar] [CrossRef]
- Chen, M.S.; Ding, S.M.; Gao, S.S.; Fu, Z.; Tang, W.Y.; Wu, Y.X.; Gong, M.D.; Wang, D.; Wang, Y. Efficacy of dredging engineering as a means to remove heavy metals from lake sediments. Sci. Total Environ. 2019, 665, 181–190. [Google Scholar] [CrossRef]
- Li, J.; Yang, S.X.; Wang, F.F.; Gao, M.S.; He, L.; Zhao, G.M.; Ye, S.Y.; Liu, Y.; Hu, K.C. Ecological risk assessment of heavy metal(loid)s in riverine sediments along the East China Sea: A large-scale integrated analysis. Mar. Pollut. Bull. 2024, 203, 12. [Google Scholar] [CrossRef]
- Wu, X.H.; Yang, K.X.; Lu, J.N.; Li, B.L.; Li, Y.; Zhang, Y.Q.; Ye, L. Contamination and ecological risk of heavy metals in sediments of urban rivers in a typical economic development zone, southern China. J. Environ. Sci. 2025, 153, 264–274. [Google Scholar] [CrossRef]
- Yan, K.; Wang, H.Z.; Lan, Z.; Zhou, J.H.; Fu, H.Z.; Wu, L.S.; Xu, J.M. Heavy metal pollution in the soil of contaminated sites in China: Research status and pollution assessment over the past two decades. J. Clean. Prod. 2022, 373, 11. [Google Scholar] [CrossRef]
- Zamora-Ledezma, C.; Negrete-Bolagay, D.; Figueroa, F.; Zamora-Ledezma, E.; Ni, M.; Alexis, F.; Guerrero, V.H. Heavy metal water pollution: A fresh look about hazards, novel and conventional remediation methods. Environ. Technol. Innov. 2021, 22, 26. [Google Scholar] [CrossRef]
- Wijeyawardana, P.; Nanayakkara, N.; Law, D.; Gunasekara, C.; Karunarathna, A.; Pramanik, B.K. Evaluating the performance of cement-modified biochar adsorbent for Cu, Pb and Zn removal from urban stormwater. Process Saf. Environ. Prot. 2024, 186, 1419–1431. [Google Scholar] [CrossRef]
- Liu, Z.; Zhao, J.H.; Wang, A.N.; Yuan, H.Y.; Chi, Y.Z. Adsorption behavior and mechanism of Cu(II) by sodium alginate/ carboxymethylcellulose/magnesium hydroxide (SC-MH) hydrogel. Int. J. Biol. Macromol. 2024, 277, 11. [Google Scholar] [CrossRef] [PubMed]
- Fitzgerald, D.J. Safety guidelines for copper in water. Am. J. Clin. Nutr. 1998, 67, 1098S–1102S. [Google Scholar] [CrossRef] [PubMed]
- Abdel-Halim, S.H.; Shehata, A.M.A.; El-Shahat, M.F. Removal of lead ions from industrial waste water by different types of natural materials. Water Res. 2003, 37, 1678–1683. [Google Scholar] [CrossRef] [PubMed]
- Biela, R.; Sopíková, L. Efficiency of sorption materials on the removal of lead from water. Appl. Ecol. Environ. Res. 2017, 15, 1527–1536. [Google Scholar] [CrossRef]
- Safatian, F.; Doago, Z.; Torabbeigi, M.; Shams, H.R.; Ahadi, N. Lead ion removal from water by hydroxyapatite nanostructures synthesized from egg sells with microwave irradiation. Appl. Water Sci. 2019, 9, 6. [Google Scholar] [CrossRef]
- Gu, S.W.; Boase, E.M.; Lan, C.Q. Enhanced Pb(II) removal by green alga Neochloris oleoabundans cultivated in high dissolved inorganic carbon cultures. Chem. Eng. J. 2021, 416, 12. [Google Scholar] [CrossRef]
- Sajjadi, S.A.; Mohammadi, A.; Khosravi, R.; Zarei, A. Distribution, exposure, and human health risk analysis of heavy metals in drinking groundwater of Ghayen County, Iran. Geocarto Int. 2022, 37, 13127–13144. [Google Scholar] [CrossRef]
- Miranda, L.S.; Wijesiri, B.; Ayoko, G.A.; Egodawatta, P.; Goonetilleke, A. Water-sediment interactions and mobility of heavy metals in aquatic environments. Water Res. 2021, 202, 9. [Google Scholar] [CrossRef]
- Wen, S.L.; Zhong, J.C.; Li, X.; Liu, C.; Yin, H.B.; Li, D.P.; Ding, S.M.; Fan, C.X. Does external phosphorus loading diminish the effect of sediment dredging on internal phosphorus loading? An in-situ simulation study. J. Hazard Mater. 2020, 394, 11. [Google Scholar] [CrossRef]
- Sun, C.Z.; Wang, S.M.; Wang, H.W.; Hu, X.K.; Yang, F.Y.; Tang, M.Y.; Zhang, M.; Zhong, J.C. Internal nitrogen and phosphorus loading in a seasonally stratified reservoir: Implications for eutrophication management of deep-water ecosystems. J. Environ. Manag. 2022, 319, 10. [Google Scholar] [CrossRef]
- Yu, J.H.; Chen, Q.W.; Zhang, J.Y.; Zhong, J.C.; Fan, C.X.; Hu, L.M.; Shi, W.Q.; Yu, W.Y.; Zhang, Y.L. In situ simulation of thin-layer dredging effects on sediment metal release across the sediment-water interface. Sci. Total Environ. 2019, 658, 501–509. [Google Scholar] [CrossRef]
- Chen, X.; Liu, L.; Wang, Y.; Zhou, L.; Xiao, J.; Yan, W.M.; Li, M.J.; Li, Q.; He, X.Y.; Zhang, L.; et al. The combined effects of lanthanum-modified bentonite and Vallisneria spiralis on phosphorus, dissolved organic matter, and heavy metal(loid)s. Sci. Total Environ. 2024, 917, 11. [Google Scholar] [CrossRef]
- Li, Q.; Liu, L.; Yan, W.M.; Chen, X.; Liu, R.Y.; Zhao, Z.Y.; Jiang, F.; Huang, Y.F.; Zhang, S.T.; Zou, Y.Q.; et al. Influence on the release of arsenic and tungsten from sediment, and effect on other heavy metals and microorganisms by ceria nanoparticle capping. Environ. Pollut. 2024, 343, 10. [Google Scholar] [CrossRef] [PubMed]
- Chen, X.; Li, M.J.; He, X.Y.; Li, Q.; Jin, J.L.; Wu, T.F.; Shao, Y.C.; Wu, J.W.; Li, G.X.; Wang, Y.; et al. Behavior of iron and manganese in lanthanum-modified bentonite and calcium peroxide passivated sediments and the coupling effect on cobalt and tungsten. J. Environ. Chem. Eng. 2025, 13, 9. [Google Scholar] [CrossRef]
- Ding, T.; Tian, Y.J.; Liu, J.B.; Hou, J.; Guo, Z.N.; Wang, J.Y. Calculation of the environmental dredging depth for removal of river sediments contaminated by heavy metals. Environ. Earth Sci. 2015, 74, 4295–4302. [Google Scholar] [CrossRef]
- De Jonge, M.; Teuchies, J.; Meire, P.; Blust, R.; Bervoets, L. The impact of increased oxygen conditions on metal-contaminated sediments part I: Effects on redox status, sediment geochemistry and metal bioavailability. Water Res. 2012, 46, 2205–2214. [Google Scholar] [CrossRef]
- Lin, J.; Fu, Z.; Yao, J.W.; Wei, X.; Wang, D.; Ning, D.L.; Chen, M.S. Behavior of iron and other heavy metals in passivated sediments and the coupling effect on phosphorus. Sci. Total Environ. 2022, 808, 10. [Google Scholar] [CrossRef]
- Lin, J.; Liu, M.L.; Zhuang, S.L.; Geng, B.; Wang, X.D.; Ma, J.S.; Chen, M.S. Effects on the migration and speciation of heavy metals by combined capping and biochemical oxidation during sediment remediation. Sci. Total Environ. 2023, 871, 10. [Google Scholar] [CrossRef]
- Yuan, B.Y.; Zhang, S.Q.; Ren, D.J.; Zhang, X.Q. Research Progress on the Removal of Heavy Metals in Water and Soil by Modified Carbon Nanotubes: A Review. Water Air Soil Pollut. 2024, 235, 19. [Google Scholar] [CrossRef]
- Simon, J.; Flahaut, E.; Golzio, M. Overview of Carbon Nanotubes for Biomedical Applications. Materials 2019, 12, 624. [Google Scholar] [CrossRef]
- Liu, L.J.; Han, J.; Xu, L.; Zhou, J.S.; Zhao, C.Y.; Ding, S.J.; Shi, H.W.; Xiao, M.M.; Ding, L.; Ma, Z.; et al. Aligned, high-density semiconducting carbon nanotube arrays for high-performance electronics. Science 2020, 368, 850–856. [Google Scholar] [CrossRef]
- Liang, X.P.; Li, H.F.; Dou, J.X.; Wang, Q.; He, W.Y.; Wang, C.Y.; Li, D.H.; Lin, J.M.; Zhang, Y.Y. Stable and Biocompatible Carbon Nanotube Ink Mediated by Silk Protein for Printed Electronics. Adv. Mater. 2020, 32, 10. [Google Scholar] [CrossRef]
- Sajid, M.; Asif, M.; Baig, N.; Kabeer, M.; Ihsanullah, I.; Mohammad, A.W. Carbon nanotubes-based adsorbents: Properties, functionalization, interaction mechanisms, and applications in water purification. J. Water Process Eng. 2022, 47, 19. [Google Scholar] [CrossRef]
- Turcheniuk, K.; Boukherroub, R.; Szunerits, S. Gold-graphene nanocomposites for sensing and biomedical applications. J. Mater. Chem. B 2015, 3, 4301–4324. [Google Scholar] [CrossRef] [PubMed]
- Fang, Q.L.; Chen, B.L. Adsorption of perchlorate onto raw and oxidized carbon nanotubes in aqueous solution. Carbon 2012, 50, 2209–2219. [Google Scholar] [CrossRef]
- Vukovic, G.D.; Marinkovic, A.D.; Skapin, S.D.; Ristic, M.D.; Aleksic, R.; Peric-Grujic, A.A.; Uskokovic, P.S. Removal of lead from water by amino modified multi-walled carbon nanotubes. Chem. Eng. J. 2011, 173, 855–865. [Google Scholar] [CrossRef]
- Kinloch, I.A.; Suhr, J.; Lou, J.; Young, R.J.; Ajayan, P.M. Composites with carbon nanotubes and graphene: An outlook. Science 2018, 362, 547–553. [Google Scholar] [CrossRef]
- Fu, Q.P.; Lou, J.; Shi, D.H.; Zhou, S.Q.; Hu, J.; Wang, Q.; Huang, W.J.; Wang, K.; Yan, W. Adsorption and removal mechanism of Pb(II) by oxidized multi-walled carbon nanotubes. J. Iran Chem. Soc. 2022, 19, 2883–2890. [Google Scholar] [CrossRef]
- Zhou, Y.Y.; He, Y.Z.; Xiang, Y.J.; Meng, S.J.; Liu, X.C.; Yu, J.F.; Yang, J.; Zhang, J.C.; Qin, P.F.; Luo, L. Single and simultaneous adsorption of pefloxacin and Cu(II) ions from aqueous solutions by oxidized multiwalled carbon nanotube. Sci. Total Environ. 2019, 646, 29–36. [Google Scholar] [CrossRef]
- Domagala, K.; Borlaf, M.; Traber, J.; Kata, D.; Graule, T. Purification and functionalisation of multi-walled carbon nanotubes. Mater. Lett. 2019, 253, 272–275. [Google Scholar] [CrossRef]
- Rodríguez, C.; Leiva, E. Enhanced Heavy Metal Removal from Acid Mine Drainage Wastewater Using Double-Oxidized Multiwalled Carbon Nanotubes. Molecules 2020, 25, 111. [Google Scholar] [CrossRef]
- Matos, M.; Correia, A.A.S.; Rasteiro, M.G. Application of carbon nanotubes to immobilize heavy metals in contaminated soils. J. Nanopart. Res. 2017, 19, 11. [Google Scholar] [CrossRef]
- Correia, A.A.S.; Matos, M.; Gomes, A.R.; Rasteiro, M.G. Immobilization of Heavy Metals in Contaminated Soils-Performance Assessment in Conditions Similar to a Real Scenario. Appl. Sci. 2020, 10, 7950. [Google Scholar] [CrossRef]
- Gouda, A.A.; Al Ghannam, S.M. Impregnated multiwalled carbon nanotubes as efficient sorbent for the solid phase extraction of trace amounts of heavy metal ions in food and water samples. Food Chem. 2016, 202, 409–416. [Google Scholar] [CrossRef] [PubMed]
- Wang, Y.G.; Hu, L.H.; Zhang, G.Y.; Yan, T.; Yan, L.G.; Wei, Q.; Du, B. Removal of Pb(II) and methylene blue from aqueous solution by magnetic hydroxyapatite-immobilized oxidized multi-walled carbon nanotubes. J. Colloid Interface Sci. 2017, 494, 380–388. [Google Scholar] [CrossRef]
- Xu, P.; Chen, M.; Zeng, G.M.; Huang, D.L.; Lai, C.; Wang, Z.W.; Yan, M.; Huang, Z.Z.; Gong, X.M.; Song, B.; et al. Effects of multi-walled carbon nanotubes on metal transformation and natural organic matters in riverine sediment. J. Hazard Mater. 2019, 374, 459–468. [Google Scholar] [CrossRef]
- Sun, W.L.; Jiang, B.F.; Wang, F.; Xu, N. Effect of carbon nanotubes on Cd(II) adsorption by sediments. Chem. Eng. J. 2015, 264, 645–653. [Google Scholar] [CrossRef]
- Song, B.; Zeng, G.M.; Gong, J.L.; Zhang, P.; Deng, J.Q.; Deng, C.H.; Yan, J.; Xu, P.; Lai, C.; Zhang, C.; et al. Effect of multi-walled carbon nanotubes on phytotoxicity of sediments contaminated by phenanthrene and cadmium. Chemosphere 2017, 172, 449–458. [Google Scholar] [CrossRef]
- Gong, X.M.; Huang, D.L.; Liu, Y.G.; Zou, D.S.; Hu, X.; Zhou, L.; Wu, Z.B.; Yang, Y.; Xiao, Z.H. Nanoscale zerovalent iron, carbon nanotubes and biochar facilitated the phytoremediation of cadmium contaminated sediments by changing cadmium fractions, sediments properties and bacterial community structure. Ecotoxicol. Environ. Saf. 2021, 208, 9. [Google Scholar] [CrossRef]
- Qu, W.C.; Dickman, M.; Wang, S.M. Multivariate analysis of heavy metal and nutrient concentrations in sediments of Taihu Lake, China. Hydrobiologia 2001, 450, 83–89. [Google Scholar] [CrossRef]
- Zhu, L.; Kang, Y.L.; Ma, M.D.; Wu, Z.X.; Zhang, L.; Hu, R.X.; Xu, Q.J.; Zhu, J.Y.; Gu, X.H.; An, L.H. Tissue accumulation of microplastics and potential health risks in human. Sci. Total Environ. 2024, 915, 11. [Google Scholar] [CrossRef]
- Sun, C.Z.; Gong, W.Q.; Pan, G.; Mortimer, R.J.G.; Yao, E.Q.; Wen, S.L.; Chen, M.S.; Zhong, J.C. Comprehensive effects of sediment dredging on environmental risk and bioavailability of heavy metals from the sediment of Lake Taihu, China. J. Hazard Mater. 2025, 484, 13. [Google Scholar] [CrossRef]
- Sun, Q.; Ding, S.M.; Zhang, L.P.; Chen, M.S.; Zhang, C.S. A millimeter-scale observation of the competitive effect of phosphate on promotion of arsenic mobilization in sediments. Chemosphere 2017, 180, 285–294. [Google Scholar] [CrossRef] [PubMed]
- Tofighy, M.A.; Mohammadi, T. Adsorption of divalent heavy metal ions from water using carbon nanotube sheets. J. Hazard Mater. 2011, 185, 140–147. [Google Scholar] [CrossRef] [PubMed]
- Kerolli-Mustafa, M.; Fajkovic, H.; Roncevic, S.; Curkovic, L. Assessment of metal risks from different depths of jarosite tailing waste of Trepca Zinc Industry, Kosovo based on BCR procedure. J. Geochem. Explor. 2015, 148, 161–168. [Google Scholar] [CrossRef]
- Langmuir, I. The constitution and fundamental properties of solids and liquids part I. Solids. J. Am. Chem. Soc. 1916, 38, 2221–2295. [Google Scholar] [CrossRef]
- Freundlich, H. Colloid and Capillary Chemistry (Freundlich, Herbert). J. Chem. Educ. 1926, 3, 1454. [Google Scholar] [CrossRef]
- Tian, Q.Z.; Sasaki, K. A novel composite of layered double hydroxide/geopolymer for co-immobilization of Cs+ and SeO42− from aqueous solution. Sci. Total Environ. 2019, 695, 12. [Google Scholar] [CrossRef]
- Lin, J.W.; Wang, Y.; Zhan, Y.H. Novel, recyclable active capping systems using fabric-wrapped zirconium-modified magnetite/bentonite composite for sedimentary phosphorus release control. Sci. Total Environ. 2020, 727, 17. [Google Scholar] [CrossRef]
- Munagapati, V.S.; Wen, J.C.; Pan, C.L.; Gutha, Y.; Wen, J.H. Enhanced adsorption performance of Reactive Red 120 azo dye from aqueous solution using quaternary amine modified orange peel powder. J. Mol. Liq. 2019, 285, 375–385. [Google Scholar] [CrossRef]
- Zaki, A.A.; El-Zakla, T.; El Geleel, M.A. Modeling kinetics and thermodynamics of Cs+ and Eu3+ removal from waste solutions using modified cellulose acetate membranes. J. Membr. Sci. 2012, 401, 1–12. [Google Scholar] [CrossRef]
- Xu, Y.; Huang, M.H.; Luo, X.B. Enhanced phosphate adsorption performance by innovative anion imprinted polymers with dual interaction. Appl. Surf. Sci. 2019, 467, 135–142. [Google Scholar] [CrossRef]
- Li, Y.H.; Ding, J.; Luan, Z.K.; Di, Z.C.; Zhu, Y.F.; Xu, C.L.; Wu, D.H.; Wei, B.Q. Competitive adsorption of Pb2+, Cu2+ and Cd2+ ions from aqueous solutions by multiwalled carbon nanotubes. Carbon 2003, 41, 2787–2792. [Google Scholar] [CrossRef]
- Rao, G.P.; Lu, C.; Su, F. Sorption of divalent metal ions from aqueous solution by carbon nanotubes: A review. Sep. Purif. Technol. 2007, 58, 224–231. [Google Scholar] [CrossRef]
- Li, Y.H.; Wang, S.G.; Wei, J.Q.; Zhang, X.F.; Xu, C.L.; Luan, Z.K.; Wu, D.H.; Wei, B.Q. Lead adsorption on carbon nanotubes. Chem. Phys. Lett. 2002, 357, 263–266. [Google Scholar] [CrossRef]
- Stafiej, A.; Pyrzynska, K. Adsorption of heavy metal ions with carbon nanotubes. Sep. Purif. Technol. 2007, 58, 49–52. [Google Scholar] [CrossRef]
- Gao, Z.M.; Bandosz, T.J.; Zhao, Z.B.; Han, M.; Qiu, J.S. Investigation of factors affecting adsorption of transition metals on oxidized carbon nanotubes. J. Hazard Mater. 2009, 167, 357–365. [Google Scholar] [CrossRef] [PubMed]
- Vidal-Durà, A.; Burke, I.T.; Stewart, D.I.; Mortimer, R.J.G. Reoxidation of estuarine sediments during simulated resuspension events: Effects on nutrient and trace metal mobilisation. Estuar. Coast. Shelf Sci. 2018, 207, 40–55. [Google Scholar] [CrossRef]
- Liu, C.; Fan, C.X.; Shen, Q.S.; Shao, S.G.; Zhang, L.; Zhou, Q.L. Effects of riverine suspended particulate matter on post-dredging metal re-contamination across the sediment-water interface. Chemosphere 2016, 144, 2329–2335. [Google Scholar] [CrossRef]
- Schroeder, H.; Duester, L.; Fabricius, A.L.; Ecker, D.; Breitung, V.; Ternes, T.A. Sediment water (interface) mobility of metal(loid)s and nutrients under undisturbed conditions and during resuspension. J. Hazard Mater. 2020, 394, 10. [Google Scholar] [CrossRef]
- Gao, L.; Li, R.; Liang, Z.B.; Wu, Q.R.; Yang, Z.G.; Li, M.Z.; Chen, J.Y.; Hou, L. Research Paper Mobilization mechanisms and toxicity risk of sediment trace metals (Cu, Zn, Ni, and Pb) based on diffusive gradients in thin films: A case study in the Xizhi River basin, South China. J. Hazard Mater. 2021, 410, 13. [Google Scholar] [CrossRef]








| Isotherm | Parameters | CNTs-Cu | CNTs-Pb |
|---|---|---|---|
| Langmuir | qm (mg g−1) | 11.076 | 23.206 |
| kf | 0.004 | 0.003 | |
| R2 | 0.958 | 0.991 | |
| Freundlich | Kf | 0.201 | 0.210 |
| n | 1.695 | 1.473 | |
| R2 | 0.921 | 0.974 | |
| D-R model | qm (mg g−1) | 6.742 | 11.614 |
| β (mol2 kJ−2) | 0.002 | 0.003 | |
| E (kJ mol−1) | 23.271 | 20.143 | |
| R2 | 0.932 | 0.921 |
Disclaimer/Publisher’s Note: The statements, opinions and data contained in all publications are solely those of the individual author(s) and contributor(s) and not of MDPI and/or the editor(s). MDPI and/or the editor(s) disclaim responsibility for any injury to people or property resulting from any ideas, methods, instructions or products referred to in the content. |
© 2025 by the authors. Licensee MDPI, Basel, Switzerland. This article is an open access article distributed under the terms and conditions of the Creative Commons Attribution (CC BY) license (https://creativecommons.org/licenses/by/4.0/).
Share and Cite
Chen, X.; Zhu, D.; You, X.; Wang, Y.; Zhou, L.; Hang, X. Effect of Nitric Acid-Modified Multi-Walled Carbon Nanotube Capping on Copper and Lead Release from Sediments. Toxics 2025, 13, 912. https://doi.org/10.3390/toxics13110912
Chen X, Zhu D, You X, Wang Y, Zhou L, Hang X. Effect of Nitric Acid-Modified Multi-Walled Carbon Nanotube Capping on Copper and Lead Release from Sediments. Toxics. 2025; 13(11):912. https://doi.org/10.3390/toxics13110912
Chicago/Turabian StyleChen, Xiang, Dongdong Zhu, Xiaohui You, Yan Wang, Li Zhou, and Xiaoshuai Hang. 2025. "Effect of Nitric Acid-Modified Multi-Walled Carbon Nanotube Capping on Copper and Lead Release from Sediments" Toxics 13, no. 11: 912. https://doi.org/10.3390/toxics13110912
APA StyleChen, X., Zhu, D., You, X., Wang, Y., Zhou, L., & Hang, X. (2025). Effect of Nitric Acid-Modified Multi-Walled Carbon Nanotube Capping on Copper and Lead Release from Sediments. Toxics, 13(11), 912. https://doi.org/10.3390/toxics13110912

