The Effects of Rainfall Events on the Composition and Diversity of Microplastics on Beaches in Xiamen City on a Short-Term Scale
Abstract
1. Introduction
2. Materials and Methods
2.1. Study Sites and Sample Collection
2.2. Laboratory Processing
2.3. Quality Assessment and Quality Control
2.4. Statistical Analysis
3. Results
3.1. Microplastic Composition on the Beaches of Xiamen City
3.2. Variations in the Abundance of Microplastics Prior to and after Rainfall Events
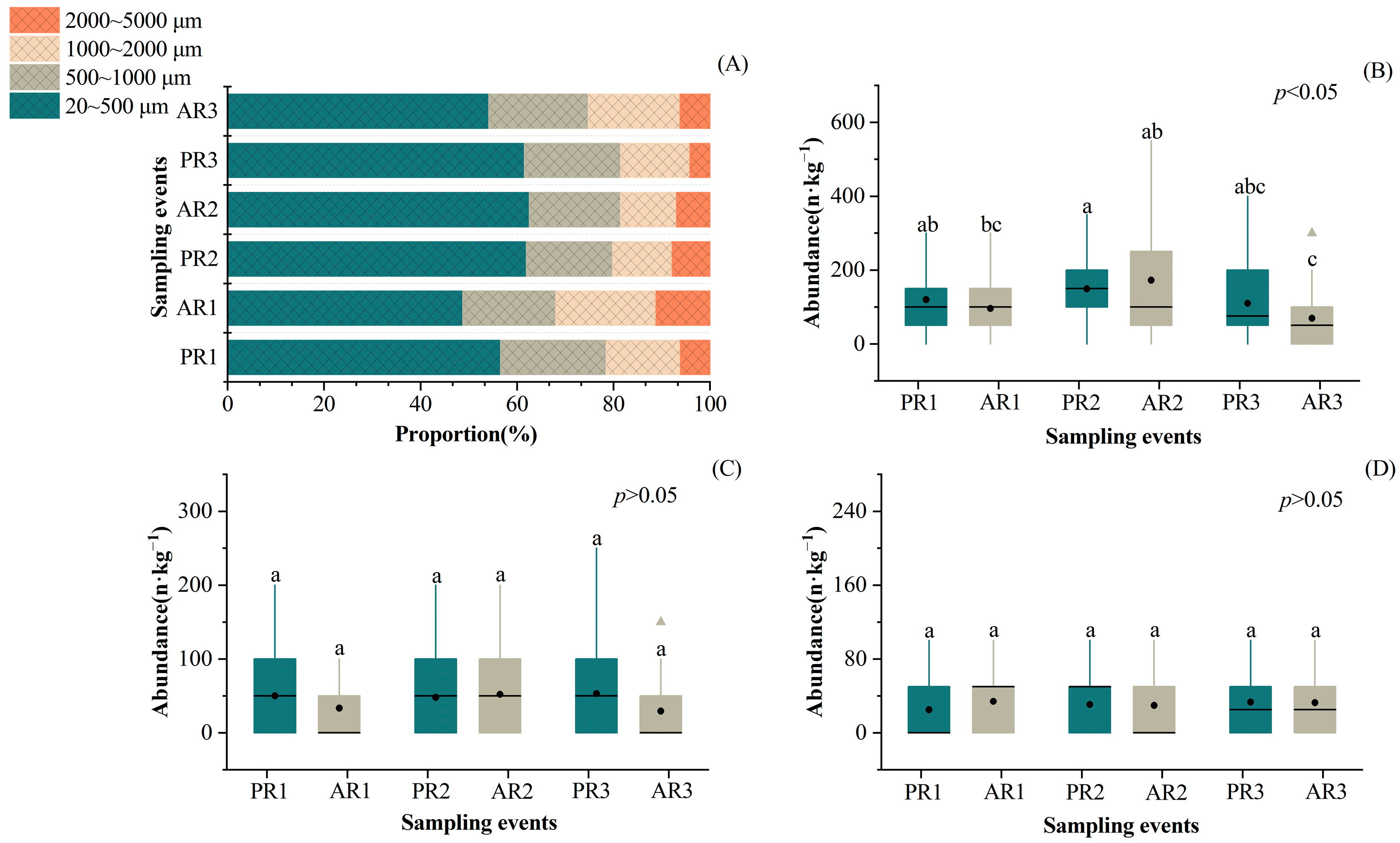
3.3. Variations in the Size Composition of Microplastics Prior to and after Rainfall Events
3.4. Variation in Shape Composition of Microplastics Prior to and after Rainfall Events
3.5. Variations in the Diversity of Microplastics Prior to and after Rainfall Events
3.6. Various Responses of Microplastic Concentration to Rainfall Events across Sites
4. Discussion
4.1. Microplastic Composition on the Beaches of Xiamen City
4.2. Effects of Rainfall Events on Composition and Diversity of Microplastics on Beaches
5. Conclusions
Supplementary Materials
Author Contributions
Funding
Institutional Review Board Statement
Informed Consent Statement
Data Availability Statement
Acknowledgments
Conflicts of Interest
References
- Thompson, R.C.; Swan, S.H.; Moore, C.J.; Vom Saal, F.S. Our Plastic Age. Philos. Trans. R. Soc. B 2009, 364, 1973–1976. [Google Scholar] [CrossRef]
- Frias, J.P.G.L.; Nash, R. Microplastics: Finding a Consensus on the Definition. Mar. Pollut. Bull. 2019, 138, 145–147. [Google Scholar] [CrossRef]
- Prarat, P.; Hongsawat, P. Microplastic Pollution in Surface Seawater and Beach Sand from the Shore of Rayong Province, Thailand: Distribution, Characterization, and Ecological Risk Assessment. Mar. Pollut. Bull. 2022, 174, 113200. [Google Scholar] [CrossRef] [PubMed]
- Geyer, R.; Jambeck, J.R.; Law, K.L. Production, Use, and Fate of All Plastics Ever Made. Sci. Adv. 2017, 3, 1700782. [Google Scholar] [CrossRef] [PubMed]
- Thompson, R.C.; Olsen, Y.; Mitchell, R.P.; Davis, A.; Rowland, S.J.; John, A.W.G.; McGonigle, D.; Russell, A.E. Lost at Sea: Where Is All the Plastic? Science 2004, 304, 838. [Google Scholar] [CrossRef]
- Auta, H.S.; Emenike, C.U.; Fauziah, S.H. Distribution and Importance of Microplastics in the Marine Environment: A Review of the Sources, Fate, Effects, and Potential Solutions. Environ. Int. 2017, 102, 165–176. [Google Scholar] [CrossRef] [PubMed]
- Stanton, T.; Johnson, M.; Nathanail, P.; MacNaughtan, W.; Gomes, R.L. Freshwater Microplastic Concentrations Vary through Both Space and Time. Environ. Pollut. 2020, 263, 114481. [Google Scholar] [CrossRef]
- Bakaraki Turan, N.; Sari Erkan, H.; Onkal Engin, G. Current Status of Studies on Microplastics in the World’s Marine Environments. J. Clean. Prod. 2021, 327, 129394. [Google Scholar] [CrossRef]
- Pohl, F.; Eggenhuisen, J.T.; Kane, I.A.; Clare, M.A. Transport and Burial of Microplastics in Deep-Marine Sediments by Turbidity Currents. Environ. Sci. Technol. 2020, 54, 4180–4189. [Google Scholar] [CrossRef]
- Karthik, R.; Robin, R.S.; Purvaja, R.; Ganguly, D.; Anandavelu, I.; Raghuraman, R.; Hariharan, G.; Ramakrishna, A.; Ramesh, R. Microplastics along the Beaches of Southeast Coast of India. Sci. Total Environ. 2018, 645, 1388–1399. [Google Scholar] [CrossRef]
- Fagiano, V.; Alomar, C.; Compa, M.; Soto-Navarro, J.; Jordá, G.; Deudero, S. Neustonic Microplastics and Zooplankton in Coastal Waters of Cabrera Marine Protected Area (Western Mediterranean Sea). Sci. Total Environ. 2022, 804, 150120. [Google Scholar] [CrossRef] [PubMed]
- Taha, Z.D.; Md Amin, R.; Anuar, S.T.; Nasser, A.A.A.; Sohaimi, E.S. Microplastics in Seawater and Zooplankton: A Case Study from Terengganu Estuary and Offshore Waters, Malaysia. Sci. Total Environ. 2021, 786, 147466. [Google Scholar] [CrossRef] [PubMed]
- Abd Rahim, N.H.; Cannicci, S.; Ibrahim, Y.S.; Not, C.; Idris, I.; Mohd Jani, J.; Dahdouh-Guebas, F.; Satyanarayana, B. Commercially Important Mangrove Crabs Are More Susceptible to Microplastic Contamination than Other Brachyuran Species. Sci. Total Environ. 2023, 903, 166271. [Google Scholar] [CrossRef] [PubMed]
- Wu, F.; Wang, T.; Li, X.; Zhao, R.; He, F. Microplastic Contamination in the Dominant Crabs at the Intertidal Zone of Chongming Island, Yangtze Estuary. Sci. Total Environ. 2023, 896, 165258. [Google Scholar] [CrossRef] [PubMed]
- Hossain, M.S.; Sobhan, F.; Uddin, M.N.; Sharifuzzaman, S.M.; Chowdhury, S.R.; Sarker, S.; Chowdhury, M.S.N. Microplastics in Fishes from the Northern Bay of Bengal. Sci. Total Environ. 2019, 690, 821–830. [Google Scholar] [CrossRef] [PubMed]
- Zhang, F.; Xu, J.; Zhu, L.; Peng, G.; Jabeen, K.; Wang, X.; Li, D. Seasonal Distributions of Microplastics and Estimation of the Microplastic Load Ingested by Wild Caught Fish in the East China Sea. J. Hazard. Mater. 2021, 419, 126456. [Google Scholar] [CrossRef] [PubMed]
- Digka, N.; Tsangaris, C.; Torre, M.; Anastasopoulou, A.; Zeri, C. Microplastics in Mussels and Fish from the Northern Ionian Sea. Mar. Pollut. Bull. 2018, 135, 30–40. [Google Scholar] [CrossRef] [PubMed]
- Trani, A.; Mezzapesa, G.; Piscitelli, L.; Mondelli, D.; Nardelli, L.; Belmonte, G.; Toso, A.; Piraino, S.; Panti, C.; Baini, M.; et al. Microplastics in Water Surface and in the Gastrointestinal Tract of Target Marine Organisms in Salento Coastal Seas (Italy, Southern Puglia). Environ. Pollut. 2023, 316, 120702. [Google Scholar] [CrossRef] [PubMed]
- Akhbarizadeh, R.; Moore, F.; Keshavarzi, B. Investigating Microplastics Bioaccumulation and Biomagnification in Seafood from the Persian Gulf: A Threat to Human Health? Food Addit. Contam. A 2019, 36, 1696–1708. [Google Scholar] [CrossRef]
- Tanaka, K.; Takada, H.; Yamashita, R.; Mizukawa, K.; Fukuwaka, M.; Watanuki, Y. Accumulation of Plastic-Derived Chemicals in Tissues of Seabirds Ingesting Marine Plastics. Mar. Pollut. Bull. 2013, 69, 219–222. [Google Scholar] [CrossRef]
- Malafaia, G.; Barceló, D. Microplastics in Human Samples: Recent Advances, Hot-Spots, and Analytical Challenges. TrAC Trends Anal. Chem. 2023, 161, 117016. [Google Scholar] [CrossRef]
- Barbier, E.B.; Hacker, S.D.; Kennedy, C.; Koch, E.W.; Stier, A.C.; Silliman, B.R. The Value of Estuarine and Coastal Ecosystem Services. Ecol. Monogr. 2011, 81, 169–193. [Google Scholar] [CrossRef]
- Costa, L.L.; Da Silva Oliveira, A.; Da Costa, I.D.; Silva, T.N.; Sant’Anna, M.E.A.S.; Tavares, B.; Zalmon, I.R. Multiple Species Ingest Microplastic but Few Reflect Sediment and Water Pollution on Sandy Beaches: A Baseline for Biomonitoring. Mar. Pollut. Bull. 2023, 193, 115235. [Google Scholar] [CrossRef] [PubMed]
- Urban-Malinga, B.; Zalewski, M.; Jakubowska, A.; Wodzinowski, T.; Malinga, M.; Pałys, B.; Dąbrowska, A. Microplastics on Sandy Beaches of the Southern Baltic Sea. Mar. Pollut. Bull. 2020, 155, 111170. [Google Scholar] [CrossRef] [PubMed]
- Sagawa, N.; Kawaai, K.; Hinata, H. Abundance and Size of Microplastics in a Coastal Sea: Comparison among Bottom Sediment, Beach Sediment, and Surface Water. Mar. Pollut. Bull. 2018, 133, 532–542. [Google Scholar] [CrossRef] [PubMed]
- Truchet, D.M.; López, A.D.F.; Ardusso, M.G.; Rimondino, G.N.; Buzzi, N.S.; Malanca, F.E.; Spetter, C.V.; Severini, M.D.F. Microplastics in Bivalves, Water and Sediments from a Touristic Sandy Beach of Argentina. Mar. Pollut. Bull. 2021, 173, 113023. [Google Scholar] [CrossRef]
- Kim, I.-S.; Chae, D.-H.; Kim, S.-K.; Choi, S.; Woo, S.-B. Factors Influencing the Spatial Variation of Microplastics on High-Tidal Coastal Beaches in Korea. Arch. Environ. Contam. Toxicol. 2015, 69, 299–309. [Google Scholar] [CrossRef] [PubMed]
- Peng, G.; Zhu, B.; Yang, D.; Su, L.; Shi, H.; Li, D. Microplastics in Sediments of the Changjiang Estuary, China. Environ. Pollut. 2017, 225, 283–290. [Google Scholar] [CrossRef]
- Wu, F.; Pennings, S.C.; Tong, C.; Xu, Y. Variation in Microplastics Composition at Small Spatial and Temporal Scales in a Tidal Flat of the Yangtze Estuary, China. Sci. Total Environ. 2020, 699, 134252. [Google Scholar] [CrossRef]
- Andrady, A.L. Microplastics in the Marine Environment. Mar. Pollut. Bull. 2011, 62, 1596–1605. [Google Scholar] [CrossRef]
- Balthazar-Silva, D.; Turra, A.; Moreira, F.T.; Camargo, R.M.; Oliveira, A.L.; Barbosa, L.; Gorman, D. Rainfall and Tidal Cycle Regulate Seasonal Inputs of Microplastic Pellets to Sandy Beaches. Front. Environ. Sci. 2020, 8, 123. [Google Scholar] [CrossRef]
- Cordova, M.R.; Iskandar, M.R.; Muhtadi, A.; Nurhasanah; Saville, R.; Riani, E. Spatio-Temporal Variation and Seasonal Dynamics of Stranded Beach Anthropogenic Debris on Indonesian Beach from the Results of Nationwide Monitoring. Mar. Pollut. Bull. 2022, 182, 114035. [Google Scholar] [CrossRef] [PubMed]
- Jualaong, S.; Pransilpa, M.; Pradit, S.; Towatana, P. Type and Distribution of Microplastics in Beach Sediment along the Coast of the Eastern Gulf of Thailand. J. Mar. Sci. Eng. 2021, 9, 1405. [Google Scholar] [CrossRef]
- Prata, J.C.; Reis, V.; Paço, A.; Martins, P.; Cruz, A.; Da Costa, J.P.; Duarte, A.C.; Rocha-Santos, T. Effects of Spatial and Seasonal Factors on the Characteristics and Carbonyl Index of (Micro) Plastics in a Sandy Beach in Aveiro, Portugal. Sci. Total Environ. 2020, 709, 135892. [Google Scholar] [CrossRef] [PubMed]
- Vermeiren, P.; Lercari, D.; Muñoz, C.C.; Ikejima, K.; Celentano, E.; Jorge-Romero, G.; Defeo, O. Sediment Grain Size Determines Microplastic Exposure Landscapes for Sandy Beach Macroinfauna. Environ. Pollut. 2021, 286, 117308. [Google Scholar] [CrossRef] [PubMed]
- Li, T.; Wang, Y.; Jiao, M.; Zhao, Z.; Li, R.; Qin, C. Distinct Microplastics Abundance Variation in Root-Associated Sediments Revealed the Underestimation of Mangrove Microplastics Pollution. Sci. Total Environ. 2023, 899, 165611. [Google Scholar] [CrossRef] [PubMed]
- Critchell, K.; Lambrechts, J. Modelling Accumulation of Marine Plastics in the Coastal Zone; What Are the Dominant Physical Processes? Estuar. Coast. Shelf Sci. 2016, 171, 111–122. [Google Scholar] [CrossRef]
- Wang, T.; Zou, X.; Li, B.; Yao, Y.; Zang, Z.; Li, Y.; Yu, W.; Wang, W. Preliminary Study of the Source Apportionment and Diversity of Microplastics: Taking Floating Microplastics in the South China Sea as an Example. Environ. Pollut. 2019, 245, 965–974. [Google Scholar] [CrossRef]
- Fang, Q.; Niu, S.; Yu, J. Characterising Microplastic Pollution in Sediments from Urban Water Systems Using the Diversity Index. J. Clean. Prod. 2021, 318, 128537. [Google Scholar] [CrossRef]
- Zuo, S.; Han, Z.; Huang, Y.; Han, J.; Xie, M. Distributions of Surficial Sediments and Its Response to Dynamic Actions in the Xiamen Bay Sea Area, China. Acta Oceanol. Sin. 2016, 35, 9–18. [Google Scholar] [CrossRef]
- Lin, T.; Cao, X.; Huang, N.; Xu, L.; Li, X.; Zhao, Y.; Lin, J. Social Cognition of Climate Change in Coastal Community: A Case Study in Xiamen City, China. Oceanol. Coast. Manag. 2021, 207, 104429. [Google Scholar] [CrossRef]
- Yao, R.; Liu, H.; Li, Y.; Liu, X.; Wu, L.; Wang, X. Pollution characteristics of microplastics in sediments of Xiamen Bay Beach. Chin. J. Environ. Sci. 2022, 43, 4931–4938. [Google Scholar] [CrossRef]
- Trindade, L.D.S.; Gloaguen, T.V.; Benevides, T.D.S.F.; Valentim, A.C.S.; Bomfim, M.R.; Gonzaga Santos, J.A. Microplastics in Surface Waters of Tropical Estuaries around a Densely Populated Brazilian Bay. Environ. Pollut. 2023, 323, 121224. [Google Scholar] [CrossRef]
- Liu, C.; Cheng, H.; Wu, Y.; Chen, T.; Deng, L.; Zhang, L.; Feng, G.; Liang, H.; Li, H. Evaluation of Soil Fauna Biodiversity in Restored Farmland for Protection of Wetland Ecology by Planting Different Crops. Oceanol. Coast. Manag. 2024, 247, 106945. [Google Scholar] [CrossRef]
- Expósito, N.; Rovira, J.; Sierra, J.; Folch, J.; Schuhmacher, M. Microplastics Levels, Size, Morphology and Composition in Marine Water, Sediments and Sand Beaches. Case Study of Tarragona Coast (Western Mediterranean). Sci. Total Environ. 2021, 786, 147453. [Google Scholar] [CrossRef] [PubMed]
- Piñon-Colin, T.D.J.; Rodriguez-Jimenez, R.; Pastrana-Corral, M.A.; Rogel-Hernandez, E.; Wakida, F.T. Microplastics on Sandy Beaches of the Baja California Peninsula, Mexico. Mar. Pollut. Bull. 2018, 131, 63–71. [Google Scholar] [CrossRef]
- Rabari, V.; Patel, K.; Patel, H.; Trivedi, J. Quantitative Assessment of Microplastic in Sandy Beaches of Gujarat State, India. Mar. Pollut. Bull. 2022, 181, 113925. [Google Scholar] [CrossRef]
- Li, W.C.; Tse, H.F.; Fok, L. Plastic Waste in the Marine Environment: A Review of Sources, Occurrence and Effects. Sci. Total Environ. 2016, 566–567, 333–349. [Google Scholar] [CrossRef]
- Napper, I.E.; Wright, L.S.; Barrett, A.C.; Parker-Jurd, F.N.F.; Thompson, R.C. Potential Microplastic Release from the Maritime Industry: Abrasion of Rope. Sci. Total Environ. 2022, 804, 150155. [Google Scholar] [CrossRef]
- Manbohi, A.; Mehdinia, A.; Rahnama, R.; Dehbandi, R.; Hamzehpour, A. Spatial Distribution of Microplastics in Sandy Beach and Inshore-Offshore Sediments of the Southern Caspian Sea. Mar. Pollut. Bull. 2021, 169, 112578. [Google Scholar] [CrossRef]
- Gül, M.R. Short-Term Tourism Alters Abundance, Size, and Composition of Microplastics on Sandy Beaches. Environ. Pollut. 2023, 316, 120561. [Google Scholar] [CrossRef] [PubMed]
- Han, N.; Zhao, Q.; Ao, H.; Hu, H.; Wu, C. Horizontal Transport of Macro- and Microplastics on Soil Surface by Rainfall Induced Surface Runoff as Affected by Vegetations. Sci. Total Environ. 2022, 831, 154989. [Google Scholar] [CrossRef] [PubMed]
- Grbić, J.; Helm, P.; Athey, S.; Rochman, C.M. Microplastics Entering Northwestern Lake Ontario Are Diverse and Linked to Urban Sources. Water Res. 2020, 174, 115623. [Google Scholar] [CrossRef] [PubMed]
- Monira, S.; Roychand, R.; Bhuiyan, M.A.; Hai, F.I.; Pramanik, B.K. Identification, Classification and Quantification of Microplastics in Road Dust and Stormwater. Chemosphere 2022, 299, 134389. [Google Scholar] [CrossRef] [PubMed]
- Chen, L.; Li, J.; Tang, Y.; Wang, S.; Lu, X.; Cheng, Z.; Zhang, X.; Wu, P.; Chang, X.; Xia, Y. Typhoon-Induced Turbulence Redistributed Microplastics in Coastal Areas and Reformed Plastisphere Community. Water Res. 2021, 204, 117580. [Google Scholar] [CrossRef] [PubMed]
- Zhang, X.; Chen, Y.; Li, X.; Zhang, Y.; Gao, W.; Jiang, J.; Mo, A.; He, D. Size/Shape-Dependent Migration of Microplastics in Agricultural Soil under Simulative and Natural Rainfall. Sci. Total Environ. 2022, 815, 152507. [Google Scholar] [CrossRef]
- Cho, Y.; Shim, W.J.; Ha, S.Y.; Han, G.M.; Jang, M.; Hong, S.H. Microplastic Emission Characteristics of Stormwater Runoff in an Urban Area: Intra-Event Variability and Influencing Factors. Sci. Total Environ. 2023, 866, 161318. [Google Scholar] [CrossRef]
- Chaparro, G.; Fontanarrosa, M.S.; Schiaffino, M.R.; De Tezanos Pinto, P.; O’Farrell, I. Seasonal-Dependence in the Responses of Biological Communities to Flood Pulses in Warm Temperate Floodplain Lakes: Implications for the “Alternative Stable States” Model. Aquat. Sci. 2014, 76, 579–594. [Google Scholar] [CrossRef]
- Mistri, M.; Pitacco, V.; Granata, T.; Moruzzi, L.; Munari, C. When the Levee Breaks: Effects of Flood on Offshore Water Contamination and Benthic Community in the Mediterranean (Ionian Sea). Mar. Pollut. Bull. 2019, 140, 588–596. [Google Scholar] [CrossRef]
- Diniz, L.P.; Petsch, D.K.; Bonecker, C.C. Zooplankton β Diversity Dynamics and Metacommunity Structure Depend on Spatial and Temporal Scales in a Neotropical Floodplain. Freshw. Biol. 2021, 66, 1328–1342. [Google Scholar] [CrossRef]
- Mendrik, F.; Fernández, R.; Hackney, C.R.; Waller, C.; Parsons, D.R. Non-Buoyant Microplastic Settling Velocity Varies with Biofilm Growth and Ambient Water Salinity. Commun. Earth Environ. 2023, 4, 30. [Google Scholar] [CrossRef]
- Prata, J.C.; Da Costa, J.P.; Duarte, A.C.; Rocha-Santos, T. Methods for Sampling and Detection of Microplastics in Water and Sediment: A Critical Review. TrAC Trends Anal. Chem. 2019, 110, 150–159. [Google Scholar] [CrossRef]
- Mu, J.; Zhang, S.; Qu, L.; Jin, F.; Fang, C.; Ma, X.; Zhang, W.; Wang, J. Microplastics Abundance and Characteristics in Surface Waters from the Northwest Pacific, the Bering Sea, and the Chukchi Sea. Mar. Pollut. Bull. 2019, 143, 58–65. [Google Scholar] [CrossRef]








| Event | Rainfall Date | Rainfall Duration (h) | Total Rainfall (mm) | Rainfall Intensity (mm·h−1) | |
|---|---|---|---|---|---|
| Start (yy-mm-dd) | End (yy-mm-dd) | ||||
| Rainfall event 1 (R1) | 23-04-16 | 23-04-24 | 216 | 66.99 | 0.31 |
| Rainfall event 2 (R2) | 23-05-05 | 23-05-09 | 120 | 36.41 | 0.30 |
| Rainfall event 3 (R3) | 23-06-05 | 23-06-12 | 179 | 73.91 | 0.41 |
| Sites | Moisture Content (%) | Salinity (mS·cm−1) | Grain Size (μm) |
|---|---|---|---|
| A | 6.72 c | 3.1 c | 417.19 b |
| B | 7.08 c | 3.5 c | 398.10 b |
| C | 10.77 b | 2.2 c | 960.52 a |
| D | 15.62 b | 3.7 b | 645.26 a |
| E | 31.97 a | 3.8 a | 426.15 b |
Disclaimer/Publisher’s Note: The statements, opinions and data contained in all publications are solely those of the individual author(s) and contributor(s) and not of MDPI and/or the editor(s). MDPI and/or the editor(s) disclaim responsibility for any injury to people or property resulting from any ideas, methods, instructions or products referred to in the content. |
© 2024 by the authors. Licensee MDPI, Basel, Switzerland. This article is an open access article distributed under the terms and conditions of the Creative Commons Attribution (CC BY) license (https://creativecommons.org/licenses/by/4.0/).
Share and Cite
Li, X.; Wu, F.; Zhang, C.; Wang, T. The Effects of Rainfall Events on the Composition and Diversity of Microplastics on Beaches in Xiamen City on a Short-Term Scale. Toxics 2024, 12, 375. https://doi.org/10.3390/toxics12050375
Li X, Wu F, Zhang C, Wang T. The Effects of Rainfall Events on the Composition and Diversity of Microplastics on Beaches in Xiamen City on a Short-Term Scale. Toxics. 2024; 12(5):375. https://doi.org/10.3390/toxics12050375
Chicago/Turabian StyleLi, Xueyan, Fengrun Wu, Chengyi Zhang, and Tao Wang. 2024. "The Effects of Rainfall Events on the Composition and Diversity of Microplastics on Beaches in Xiamen City on a Short-Term Scale" Toxics 12, no. 5: 375. https://doi.org/10.3390/toxics12050375
APA StyleLi, X., Wu, F., Zhang, C., & Wang, T. (2024). The Effects of Rainfall Events on the Composition and Diversity of Microplastics on Beaches in Xiamen City on a Short-Term Scale. Toxics, 12(5), 375. https://doi.org/10.3390/toxics12050375
