Exposure to Microplastics Made of Plasmix-Based Materials at Low Amounts Did Not Induce Adverse Effects on the Earthworm Eisenia foetida
Abstract
1. Introduction
2. Materials and Methods
2.1. Preparation of Microplastics from Plasmix-Based Materials
2.1.1. Pre-Treatment of Waste
2.1.2. Extrusion of Plasmix
2.1.3. Additivation of Plasmix
2.1.4. Injection Molding
2.1.5. Preparation of Microplastics from Plasmix-Based Materials
2.2. Gas Chromatographic Characterization (HS-GC-MS) of Px-MPs and APx-MPs
2.3. Experimental Plan
2.4. Oxidative Stress Biomarkers
2.5. Statistical Analysis
3. Results
3.1. Morphometric Features of Px-MPs and APx-MPs
3.2. Identification of Contaminants in Px-MPs and APx-MPs
3.3. Ingestion of Px-MPs and APx-MPs
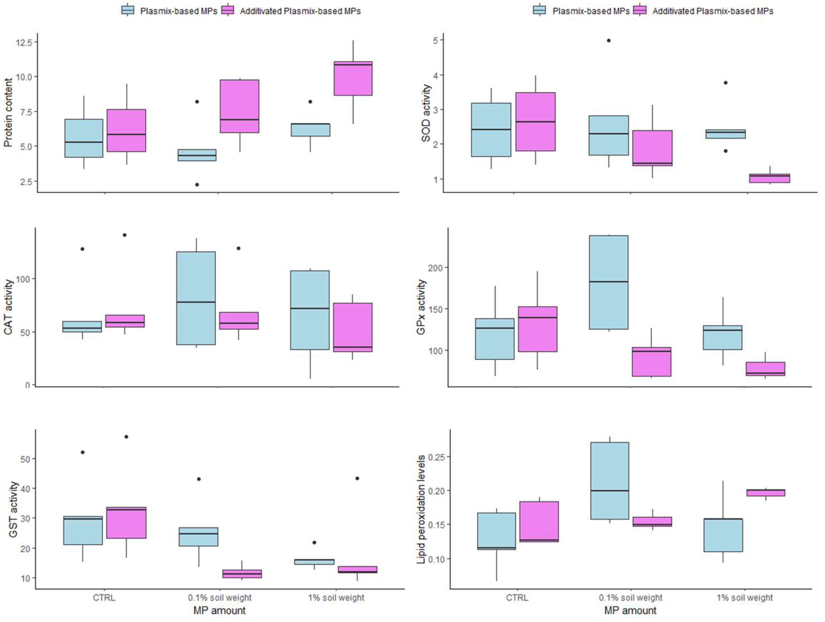
3.4. Effects of Px-MPs and APx-MPs
4. Discussion
5. Conclusions
Author Contributions
Funding
Institutional Review Board Statement
Informed Consent Statement
Data Availability Statement
Acknowledgments
Conflicts of Interest
References
- Plastics Europe. 2023. Available online: https://plasticseurope.org/knowledge-hub/plastics-the-fast-facts-2023/ (accessed on 14 January 2024).
- Li, C.; Busquets, R.; Campos, L.C. Assessment of microplastics in freshwater systems: A review. Sci. Total Environ. 2020, 707, 135578. [Google Scholar] [CrossRef] [PubMed]
- Xu, B.; Liu, F.; Cryder, Z.; Huang, D.; Lu, Z.; He, Y.; Xu, J. Microplastics in the soil environment: Occurrence, risks, interactions and fate–a review. Crit. Rev. Environ. Sci. Technol. 2020, 50, 2175–2222. [Google Scholar] [CrossRef]
- Rai, P.K.; Lee, J.; Brown, R.J.; Kim, K.H. Environmental fate, ecotoxicity biomarkers, and potential health effects of micro-and nano-scale plastic contamination. J. Hazard. Mater. 2021, 403, 123910. [Google Scholar] [CrossRef] [PubMed]
- Porta, R. Anthropocene, the plastic age and future perspectives. FEBS Open Bio 2021, 11, 948–953. [Google Scholar] [CrossRef]
- Gazzotti, S.; De Felice, B.; Ortenzi, M.A.; Parolini, M. Approaches for Management and Valorization of Non-Homogeneous, Non-Recyclable Plastic Waste. Int. J. Environ. Res. Public Health 2022, 19, 10088. [Google Scholar] [CrossRef] [PubMed]
- UN Environment. 2018 Annual Report. Available online: https://www.unep.org/resources/un-environment-2018-annual-report (accessed on 14 January 2024).
- European Commission. Plastic Waste and Recycling in the EU: Facts and Figures 2021. Available online: https://www.europarl.europa.eu/news/en/headlines/society/20181212STO21610/plastic-waste-and-recycling-in-the-eu-facts-and-figures (accessed on 14 January 2024).
- Picuno, C.; Van Eygen, E.; Brouwer, M.T.; Kuchta, K.; Thoden van Velzen, E.U. Factors shaping the recycling systems for plastic packaging waste—A comparison between Austria, Germany and The Netherlands. Sustainability 2021, 13, 6772. [Google Scholar] [CrossRef]
- Colantonio, S.; Cafiero, L.; De Angelis, D.; Ippolito, N.M.; Tuffi, R.; Ciprioti, S.V. Thermal and catalytic pyrolysis of a synthetic mixture representative of packaging plastics residue. Front. Chem. Sci. Eng. 2020, 14, 288–303. [Google Scholar] [CrossRef]
- COREPLA. Consorzio Nazionale per la Raccolta, il Riciclaggio e il Recupero degli Imballaggi in Plastica 2015. Available online: https://www.corepla.it/sites/default/files/documenti/corepla_rapporto_di_sostenibilita_2015.pdf. (accessed on 14 January 2024).
- COREPLA. Consorzio Nazionale per la Raccolta, il Riciclaggio e il Recupero degli Imballaggi in Plastica 2023. Available online: https://www.corepla.it/sites/default/files/documenti/rapporto_di_sostenibilita_corepla_2022.pdf. (accessed on 14 January 2024).
- Rossi, G.; Spreafico, C.; Bonvino, S.; Casula, A.; Cossu, R.; Simion, F.; Vivona, A. Residues from the mechanical sorting of source segregated plastics: Management and LCA of different utilisation scenarios. In Proceedings of the Third International Symposium on Energy from Biomass and Waste, Venice, Italy, 8–10 November 2010. [Google Scholar]
- Gazzotti, S. (Università degli Studi di Milano Statale, Milan, Italy). Personal communication. 2024. [Google Scholar]
- Zilia, F.; Andreottola, F.G.; Orsi, L.; Parolini, M.; Bacenetti, J. Trash or Treasure? A Circular Business Model of Recycling Plasmix. Circ. Econ. (Accepted for publication).
- Corsi, I.; Grassi, G. The role of ecotoxicology in the eco-design of nanomaterials for water remediation. In Ecotoxicology of Nanoparticles in Aquatic Systems; CRC Press: Boca Raton, FL, USA, 2019; pp. 219–229. [Google Scholar]
- Hartmann, N.B.; Huffer, T.; Thompson, R.C.; Hassellov, M.; Verschoor, A.; Daugaard, A.E.; Wagner, M. Are we speaking the same language? Recommendations for a definition and categorization framework for plastic debris. Environ. Sci. Technol. 2019, 53, 1039–1047. [Google Scholar] [CrossRef] [PubMed]
- Vo, H.C.; Pham, M.H. Ecotoxicological effects of microplastics on aquatic organisms: A review. Environ. Sci. Pollut. Res. 2021, 28, 44716–44725. [Google Scholar] [CrossRef]
- da Costa, J.P.; Chamkha, M.; Ksibi, M.; Sayadi, S. Effects of microplastics’ physical and chemical properties on aquatic organisms: State-of-the-art and future research trends. Trends Anal. Chem. 2023, 166, 117192. [Google Scholar]
- Dissanayake, P.D.; Kim, S.; Sarkar, B.; Oleszczuk, P.; Sang, M.K.; Haque, M.N.; Ok, Y.S. Effects of microplastics on the terrestrial environment: A critical review. Environ. Res. 2022, 209, 112734. [Google Scholar] [CrossRef] [PubMed]
- Parolini, M.; De Felice, B.; Gazzotti, S.; Annunziata, L.; Sugni, M.; Bacchetta, R.; Ortenzi, M.A. Oxidative stress-related effects induced by micronized polyethylene terephthalate microparticles in the Manila clam. J. Toxicol. Environ. Health A 2020, 83, 168–179. [Google Scholar] [CrossRef]
- Parolini, M.; Ferrario, C.; De Felice, B.; Gazzotti, S.; Bonasoro, F.; Carnevali, M.D.C.; Sugni, M. Interactive effects between sinking polyethylene terephthalate (PET) microplastics deriving from water bottles and a benthic grazer. J. Hazard Mater. 2020, 398, 122848. [Google Scholar] [CrossRef] [PubMed]
- ISO 527-5:2021; Plastics—Determination of Tensile Properties—Part 5: Test Conditions for Unidirectional Fibre-Reinforced Plastic Composites; ISO: Geneva, Switzerland, 2021.
- Chen, Y.; Liu, X.; Leng, Y.; Wang, J. Defense responses in earthworms (Eisenia fetida) exposed to low-density polyethylene microplastics in soils. Ecotoxicol. Environ. Saf. 2020, 187, 109788. [Google Scholar] [CrossRef]
- Jiang, X.; Chang, Y.; Zhang, T.; Qiao, Y.; Klobučar, G.; Li, M. Toxicological effects of polystyrene microplastics on earthworm (Eisenia fetida). Environ. Pollut. 2020, 259, 113896. [Google Scholar] [CrossRef]
- Prendergast-Miller, M.T.; Katsiamides, A.; Abbass, M.; Sturzenbaum, S.R.; Thorpe, K.L.; Hodson, M.E. Polyester-derived microfibre impacts on the soil-dwelling earthworm Lumbricus terrestris. Environ. Pollut. 2019, 251, 453–459. [Google Scholar] [CrossRef]
- Parolini, M.; De Felice, B.; Gazzotti, S.; Sugni, M.; Ortenzi, A. Comparison of the potential toxicity induced by polylactic acid (PLA) and polyethylene terephthalate (PET) microplastics on the earthworm Eisenia foetida. Environ. Pollut. 2024, 348, 123868. [Google Scholar] [CrossRef]
- OECD. Test No. 207: Earthworm, Acute Toxicity Tests. In OECD Guidelines for the Testing of Chemicals, Section 2; OECD Publishing: Paris, France, 1984. [Google Scholar] [CrossRef]
- Meng, K.; Lwanga, E.H.; van der Zee, M.; Munhoz, D.R.; Geissen, V. Fragmentation and depolymerization of microplastics in the earthworm gut: A potential for microplastic bioremediation. J. Hazard. Mater. 2023, 447, 130765. [Google Scholar] [CrossRef] [PubMed]
- Ding, W.; Li, Z.; Qi, R.; Jones, D.L.; Liu, Q.; Liu, Q.; Yan, C. Effect thresholds for the earthworm Eisenia fetida: Toxicity comparison between conventional and biodegradable microplastics. Sci. Tot. Environ. 2021, 781, 146884. [Google Scholar] [CrossRef]
- ISO11268-2; Soil Quality—Effects of Pollutants on Earthworms—Part 2: Determination of Effects on Reproduction on Eisenia fetida/Eisenia andrei. ISO: Geneva, Switzerland, 2012.
- Bradford, M.M. A rapid and sensitive method for the quantitation of microgram quantities of protein utilizing the principle of protein-dye binding. Anal. Biochem. 1976, 72, 248–254. [Google Scholar] [CrossRef]
- Ohkawa, H.; Ohishi, N.; Yagi, K. Assay for lipid peroxides in animal tissues by thiobarbituric acid reaction. Anal. Biochem. 1979, 95, 351–358. [Google Scholar] [CrossRef]
- R. Core Team. R: A Language and Environment for Statistical Computing; R Foundation for Statistical Computing: Vienna, Austria, 2020; Available online: https://www.Rproject.org/ (accessed on 15 January 2024).
- Dutra, C.; Pezo, D.; de Alvarenga Freire, M.T.; Nerín, C.; Felix Guillermo Reyes, F.G. Determination of volatile organic compounds in recycled polyethylene terephthalate and high-density polyethylene by headspace solid phase microextraction gas chromatography mass spectrometry to evaluate the efficiency of recycling processes. J. Chromatogr. A 2011, 1218, 1319–1330. [Google Scholar] [CrossRef]
- Brooks, S.H.W.; Duranceau, C.M.; Gallmeyer, W.W.; Williams, R.L.; Winslow, G.R. Stake Digester Process for HDPE Fuel Tank Recycling; SAE Technical Paper Series; No 2003-01-1371; SAE: Warrendale, PA, USA, 2003. [Google Scholar]
- Graham, P.M. Post-Consumer Plastic Fuel Tank Recycling; SAE Technical Paper Series; No 2000-01-1093; SAE: Warrendale, PA, USA, 2000. [Google Scholar]
- Huerta- Huerta Lwanga, E.; Gertsen, H.; Gooren, H.; Peters, P.; Salánki, T.; Van Der Ploeg, M.; Geissen, V. Microplastics in the terrestrial ecosystem: Implications for Lumbricus terrestris (Oligochaeta, Lumbricidae). Environ. Sci. Technol. 2016, 50, 2685–2691. [Google Scholar] [CrossRef] [PubMed]
- Wang, J.; Coffin, S.; Sun, C.; Schlenk, D.; Gan, J. Negligible effects of microplastics on animal fitness and HOC bioaccumulation in earthworm Eisenia fetida in soil. Environ. Pollut. 2019, 249, 776–784. [Google Scholar] [CrossRef] [PubMed]
- Wang, L.; Peng, Y.; Xu, Y.; Zhang, J.; Liu, C.; Tang, X.; Sun, H. Earthworms’ degradable bioplastic diet of polylactic acid: Easy to break down and slow to excrete. Environ. Sci. Technicol. 2022, 56, 5020–5028. [Google Scholar] [CrossRef]
- Boughattas, I.; Hattab, S.; Zitouni, N.; Mkhinini, M.; Missawi, O.; Bousserrhine, N.; Banni, M. Assessing the presence of microplastic particles in Tunisian agriculture soils and their potential toxicity effects using Eisenia andrei as bioindicator. Sci. Total Environ. 2021, 796, 148959. [Google Scholar] [CrossRef]
- Boughattas, I.; Zitouni, N.; Hattab, S.; Mkhinini, M.; Missawi, O.; Helaoui, S.; Banni, M. Interactive effects of environmental microplastics and 2, 4-dichlorophenoxyacetic acid (2, 4-D) on the earthworm Eisenia andrei. J. Hazard. Mater. 2022, 424, 127578. [Google Scholar] [CrossRef] [PubMed]
- Rodriguez-Seijo, A.; Lourenço, J.; Rocha-Santos, T.A.P.; Da Costa, J.; Duarte, A.C.; Vala, H.; Pereira, R. Histopathological and molecular effects of microplastics in Eisenia andrei Bouché. Environ. Pollut. 2017, 220, 495–503. [Google Scholar] [CrossRef]
- Cui, W.; Gao, P.; Zhang, M.; Wang, L.; Sun, H.; Liu, C. Adverse effects of microplastics on earthworms: A critical review. Sci. Total Environ. 2022, 850, 158041. [Google Scholar] [CrossRef]
- Li, B.; Song, W.; Cheng, Y.; Zhang, K.; Tian, H.; Du, Z.; Zhu, L. Ecotoxicological effects of different size ranges of industrial-grade polyethylene and polypropylene microplastics on earthworms Eisenia fetida. Sci. Total Environ. 2021, 783, 147007. [Google Scholar] [CrossRef]
- Cao, D.; Wang, X.; Luo, X.; Liu, G.; Zheng, H. Effects of polystyrene microplastics on the fitness of earthworms in an agricultural soil. In IOP Conference Series: Earth and Environmental Science; IOP Publishing: Bristol, UK, 2017; Volume 61, p. 012148. [Google Scholar]
- Li, B.; Lan, Z.; Wang, L.; Sun, H.; Yao, Y.; Zhang, K.; Zhu, L. The release and earthworm bioaccumulation of endogenous hexabromocyclododecanes (HBCDDs) from expanded polystyrene foam microparticles. Environ. Pollut. 2019, 255, 113163. [Google Scholar] [CrossRef] [PubMed]
- Wang, Q.; Adams, C.A.; Wang, F.; Sun, Y.; Zhang, S. Interactions between microplastics and soil fauna: A critical review. Crit. Rev. Environ. Sci. Technol. 2022, 52, 3211–3243. [Google Scholar] [CrossRef]
- Xu, G.; Liu, Y.; Song, X.; Li, M.; Yu, Y. Size effects of microplastics on accumulation and elimination of phenanthrene in earthworms. J. Hazard. Mater. 2021, 403, 123966. [Google Scholar] [CrossRef] [PubMed]
- Lahive, E.; Walton, A.; Horton, A.A.; Spurgeon, D.J.; Svendsen, C. Microplastic particles reduce reproduction in the terrestrial worm Enchytraeus crypticus in a soil exposure. Environ. Pollut. 2019, 255, 113174. [Google Scholar] [CrossRef]





| State | Rate (°C/min) | Temperature (°C) | Hold Time (min) |
|---|---|---|---|
| Initial | 45 | 2.0 | |
| Ramp 1 | 3 | 100 | 0.1 |
| Ramp 2 | 5 | 135 | 0.1 |
| Ramp 3 | 8 | 250 | 2.1 |
| Area | Perimeter | Diameter | Circularity | |
|---|---|---|---|---|
| Px-MPs | 34,937.10 ± 3583.03 | 589.24 ± 19.81 | 161.46 ± 5.67 | 0.74 ± 0.01 |
| APx-MPs | 248,081.10 ± 13,632.54 | 1849.19 ± 46.14 | 500.53 ± 12.21 | 0.75 ± 0.01 |
| Class Size | <50 μm | 50 < x <100 μm | 100 < x < 250 μm | 250 < x < 500 μm | 500 < x < 750 μm | 750 < x < 1000 μm | >1000 μm |
|---|---|---|---|---|---|---|---|
| Px-MPs | 4.4 | 36.0 | 43.5 | 13.3 | 2.1 | 0.5 | 0.3 |
| APx-MPs | 0.2 | 0.1 | 9.3 | 50.2 | 26.1 | 9.5 | 4.5 |
| Retention Time (min) | Compound Name | CAS No. | Px-MPs Awa | APx-MPs Awa |
|---|---|---|---|---|
| 2.1 | 3-(4-Isopropylphenyl)-1,1-dimethylurea | 34123-59-6 | 36,800 | 41,844 |
| 2.2 | 2-Methoxy[1]benzothieno[2,3-C]quinolin-6(5H)-one | 70453-75-7 | 62,880 | 66,726 |
| 4.9 | Trimethylsilyl 2,6-bis[(trimethylsilyl)oxy]benzoate | 3782-85-2 | 41,004 | 543,23 |
| 8.5 | tetraHydro-2,5-dimethyl-2H-pyranmethanol | 54004-46-5 | 26,983 | 27,774 |
| 11.5 | Acetic Acid | 64-19-7 | 980 | 1023 |
| 12.5 | 2-Ethyl-1-hexanol | 104-76-7 | 5816 | 5778 |
| 13.2 | Benzaldehyde | 100-52-7 | 3749 | 5133 |
| 13.7 | Propanoic acid | 79-09-4 | 1733 | 1655 |
| 14.5 | 5-Methyl-2-furancarboxaldehyde | 620-02-0 | 988 | 1278 |
| 16.5 | Acetophenone | 98-86-2 | 3456 | 4210 |
| 17.7 | 1-Chlorododecane | 112-52-7 | 21,321 | 21,667 |
| 18.9 | 1,4-cicloottanedione | 55794-45-1 | 3459 | 3899 |
| 21.4 | Octadeca methyl cyclo nonasiloxane | 556-71-8 | 4324 | 3806 |
| 23.4 | 1-Chlorotetradecane | 2425-54-9 | 988 | 1023 |
| 24.9 | Levoglucosenone | 37112-31-5 | 4927 | 4478 |
| 25.8 | Phenol | 108-95-2 | 1514 | 1277 |
| 31.3 | Caprolactam | 105-60-2 | 36,030 | 24,102 |
| 40.8 | (2-Phenylcyclobutyl) benzene | 20071-09-4 | 2219 | 1519 |
| 42.1 | Benzoic acid | 65-85-0 | 2512 | 2822 |
| 47.8 | Tetradecanoic acid | 544-63-8 | 3002 | 2539 |
| 51.3 | Hexadecanoic acid | 57-10-3 | 37,900 | 10,211 |
| 56.1 | Stearic acid | 57-11-4 | 18,020 | 13,114 |
| 56.9 | tert-Butylhydroquinone | 1948-33-0 | 18,744 | 12,676 |
| 57.6 | 1,2-Benzenedicarboxylic acid | 117-81-7 | 11,774 | 19,876 |
| 58.8 | Oleic Acid | 112-80-1 | 1408 | 1022 |
Disclaimer/Publisher’s Note: The statements, opinions and data contained in all publications are solely those of the individual author(s) and contributor(s) and not of MDPI and/or the editor(s). MDPI and/or the editor(s) disclaim responsibility for any injury to people or property resulting from any ideas, methods, instructions or products referred to in the content. |
© 2024 by the authors. Licensee MDPI, Basel, Switzerland. This article is an open access article distributed under the terms and conditions of the Creative Commons Attribution (CC BY) license (https://creativecommons.org/licenses/by/4.0/).
Share and Cite
De Felice, B.; Gazzotti, S.; Roncoli, M.; Conterosito, E.; Gianotti, V.; Ortenzi, M.A.; Parolini, M. Exposure to Microplastics Made of Plasmix-Based Materials at Low Amounts Did Not Induce Adverse Effects on the Earthworm Eisenia foetida. Toxics 2024, 12, 300. https://doi.org/10.3390/toxics12040300
De Felice B, Gazzotti S, Roncoli M, Conterosito E, Gianotti V, Ortenzi MA, Parolini M. Exposure to Microplastics Made of Plasmix-Based Materials at Low Amounts Did Not Induce Adverse Effects on the Earthworm Eisenia foetida. Toxics. 2024; 12(4):300. https://doi.org/10.3390/toxics12040300
Chicago/Turabian StyleDe Felice, Beatrice, Stefano Gazzotti, Maddalena Roncoli, Eleonora Conterosito, Valentina Gianotti, Marco Aldo Ortenzi, and Marco Parolini. 2024. "Exposure to Microplastics Made of Plasmix-Based Materials at Low Amounts Did Not Induce Adverse Effects on the Earthworm Eisenia foetida" Toxics 12, no. 4: 300. https://doi.org/10.3390/toxics12040300
APA StyleDe Felice, B., Gazzotti, S., Roncoli, M., Conterosito, E., Gianotti, V., Ortenzi, M. A., & Parolini, M. (2024). Exposure to Microplastics Made of Plasmix-Based Materials at Low Amounts Did Not Induce Adverse Effects on the Earthworm Eisenia foetida. Toxics, 12(4), 300. https://doi.org/10.3390/toxics12040300

