Study on the Direct and Indirect Photolysis of Antibacterial Florfenicol in Water Using DFT/TDDFT Method and Comparison of Its Reactivity with Hydroxyl Radical under the Effect of Metal Ions
Abstract
1. Introduction
2. Computational Methods
3. Results and Discussion
3.1. Optimized Geometry of FLO
3.2. Direct Photolysis of FLO in Water
3.3. Indirect Photolysis of FLO in Water
3.3.1. Indirect Photolysis Mechanism of FLO and ·OH
3.3.2. Indirect Photolysis Mechanism of FLO and ·NO3
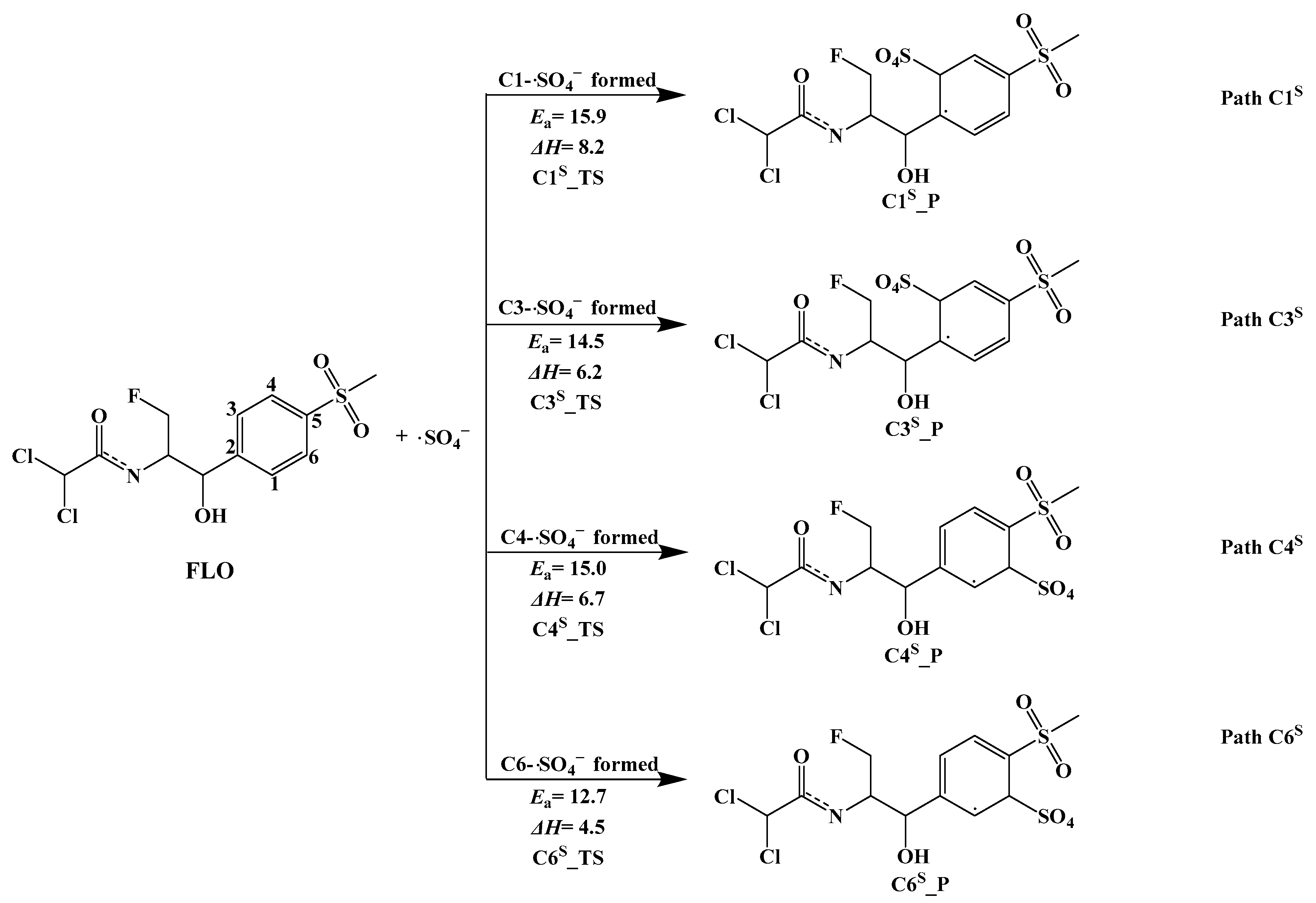
3.3.3. Indirect Photolysis Mechanism of FLO and ·SO4−
3.3.4. Optimized Geometries of Complexes FLO–Ca2+/FLO–Mg2+/FLO–Zn2+
3.3.5. Indirect Photolysis of Complexes FLO–Ca2+/FLO–Mg2+/FLO–Zn2+ with ·OH
Mechanism of Indirect Photolysis of Complex FLO–Ca2+ with ·OH in Water
Indirect Photodegradation Mechanism of Complex FLO–Mg2+ and ·OH in Water
Mechanism of Indirect Photodegradation of Complex FLO–Zn2+ with ·OH in Water
4. Conclusions
Supplementary Materials
Author Contributions
Funding
Institutional Review Board Statement
Informed Consent Statement
Data Availability Statement
Conflicts of Interest
References
- Schunicht, O.C.; Booker, C.W.; Guichon, P.T.; Jim, G.K.; Wildman, B.K.; Pittman, T.J.; Perrett, T. An evaluation of the relative efficacy of tulathromycin for the treatment of undifferentiated fever in feedlot calves in Nebraska. Can. Vet. J.-Rev. Vet. Can. 2007, 48, 600–606. [Google Scholar]
- Leng, N.N.; Ju, M.J.; Jiang, Y.T.; Guan, D.; Liu, J.H.; Chen, W.; Algharib, S.A.; Dawood, A.; Luo, W.H. The therapeutic effect of florfenicol-loaded carboxymethyl chitosan-gelatin shell nanogels against Escherichia coli infection in mice Running title: Therapeutic effect of florfenicol shell nanogels. J. Mol. Struct. 2022, 1269, 7. [Google Scholar] [CrossRef]
- Li, Z.; Yang, Y.J.; Qin, Z.; Li, S.H.; Bai, L.X.; Li, J.Y.; Liu, X.W. Florfenicol-Polyarginine Conjugates Exhibit Promising Antibacterial Activity Against Resistant Strains. Front. Chem. 2022, 10, 13. [Google Scholar] [CrossRef] [PubMed]
- Liu, J.H.; Ju, M.J.; Wu, Y.F.; Leng, N.N.; Algharib, S.A.; Luo, W.H. Antibacterial activity of florfenicol composite nanogels against Staphylococcus aureus small colony variants. J. Vet. Sci. 2022, 23, 13. [Google Scholar] [CrossRef]
- Park, B.-K.; Lim, J.-H.; Kim, M.-S.; Hwang, Y.-H.; Yun, H.-I. Pharmacokinetics of florfenicol and its metabolite, florfenicol amine, in dogs. Res. Vet. Sci. 2008, 84, 85–89. [Google Scholar] [CrossRef]
- Barreto, F.M.; da Silva, M.R.; Braga, P.A.C.; Bragotto, A.P.A.; Hisano, H.; Reyes, F.G.R. Evaluation of the leaching of florfenicol from coated medicated fish feed into water. Environ. Pollut. 2018, 242, 1245–1252. [Google Scholar] [CrossRef] [PubMed]
- Pouliquen, H.; Delpépée, R.; Larhantec-Verdier, M.; Morvan, M.L.; Le Bris, H. Comparative hydrolysis and photolysis of four antibacterial agents (oxytetracycline oxolinic acid, flumequine and florfenicol) in deionised water, freshwater and seawater under ablotic conditions. Aquaculture 2007, 262, 23–28. [Google Scholar] [CrossRef]
- Bu, Q.W.; Wang, B.; Huang, J.; Deng, S.B.; Yu, G. Pharmaceuticals and personal care products in the aquatic environment in China: A review. J. Hazard. Mater. 2013, 262, 189–211. [Google Scholar] [CrossRef]
- Wei, R.C.; Ge, F.; Chen, M.; Wang, R. Occurrence of Ciprofloxacin, Enrofloxacin, and Florfenicol in Animal Wastewater and Water Resources. J. Environ. Qual. 2012, 41, 1481–1486. [Google Scholar] [CrossRef]
- Martinez, J.L. Environmental pollution by antibiotics and by antibiotic resistance determinants. Environ. Pollut. 2009, 157, 2893–2902. [Google Scholar] [CrossRef]
- Martins, Y.A.; De Oliveira, C. Development and Validation of an UV Spectrophotometric Method for Determination of Thiamphenicol in Dosage Form. J. Appl. Spectrosc. 2019, 86, 629–635. [Google Scholar] [CrossRef]
- Sun, Z.J.; Zhang, L.W.; Dong, D.M.; Guo, Z.Y. Optimizing the multimedia fate model for characterizing environmental risks of florfenicol in seasonally ice-covered reservoirs. Environ. Pollut. 2023, 323, 10. [Google Scholar] [CrossRef]
- Yévenes, K.; Pokrant, E.; Pérez, F.; Riquelme, R.; Avello, C.; Maddaleno, A.; San Martín, B.; Cornejo, J. Assessment of Three Antimicrobial Residue Concentrations in Broiler Chicken Droppings as a Potential Risk Factor for Public Health and Environment. Int. J. Environ. Res. Public Health. 2018, 16, 24. [Google Scholar] [CrossRef] [PubMed]
- Ding, Y.C.; Liang, B.; Jiang, W.L.; Han, J.L.; Guadie, A.; Yun, H.; Cheng, H.Y.; Yang, R.J.; Liu, S.J.; Wang, A.J.; et al. Effect of preferential UV photolysis on the source control of antibiotic resistome during subsequent biological treatment systems. J. Hazard. Mater. 2021, 414, 10. [Google Scholar] [CrossRef] [PubMed]
- Song, C.F.; Wei, Y.L.; Qiu, Y.T.; Qi, Y.; Li, Y.; Kitamura, Y. Biodegradability and mechanism of florfenicol via Chlorella sp UTEX1602 and L38: Experimental study. Bioresour. Technol. 2019, 272, 529–534. [Google Scholar] [CrossRef] [PubMed]
- Zhang, H.M.; Wei, X.X.; Song, X.D.; Shah, S.; Chen, J.W.; Liu, J.H.; Hao, C.; Chen, Z.F. Photophysical and photochemical insights into the photodegradation of sulfapyridine in water: A joint experimental and theoretical study. Chemosphere 2018, 191, 1021–1027. [Google Scholar] [CrossRef] [PubMed]
- Zhang, Y.; Li, J.H.; Zhou, L.; Wang, G.Q.; Feng, Y.H.; Wang, Z.Y.; Yang, X. Aqueous photodegradation of antibiotic florfenicol: Kinetics and degradation pathway studies. Environ. Sci. Pollut. Res. 2016, 23, 6982–6989. [Google Scholar] [CrossRef] [PubMed]
- Liu, N.; Sijak, S.; Zheng, M.; Tang, L.; Xu, G.; Wu, M.H. Aquatic photolysis of florfenicol and thiamphenicol under direct UV irradiation, UV/H2O2 and UV/Fe(II) processes. Chem. Eng. J. 2015, 260, 826–834. [Google Scholar] [CrossRef]
- Gao, Y.Q.; Gao, N.Y.; Deng, Y.; Yin, D.Q.; Zhang, Y.S. Degradation of florfenicol in water by UV/Na2S2O8 process. Environ. Sci. Pollut. Res. 2015, 22, 8693–8701. [Google Scholar] [CrossRef]
- Xu, M.F.; Qian, M.R.; Zhang, H.; Ma, J.W.; Wang, J.M.; Wu, H.Z. Simultaneous determination of florfenicol with its metabolite based on modified quick, easy, cheap, effective, rugged, and safe sample pretreatment and evaluation of their degradation behavior in agricultural soils. J. Sep. Sci. 2015, 38, 211–217. [Google Scholar] [CrossRef]
- Silva, C.; Louros, V.; Silva, V.; Otero, M.; Lima, D. Antibiotics in Aquaculture Wastewater: Is It Feasible to Use a Photodegradation-Based Treatment for Their Removal? Toxics 2021, 9, 194. [Google Scholar] [CrossRef] [PubMed]
- Tian, J.; Li, B.B.; Qu, R.J.; Zhou, D.M.; Sun, C.; Wang, Z.Y.; Zhu, F. Influence of anions on ozonation of bisphenol AF: Kinetics, reaction pathways, and toxicity assessment. Chemosphere 2022, 286, 131864. [Google Scholar] [CrossRef] [PubMed]
- Malvaldi, M.; Bruzzone, S.; Chiappe, C.; Gusarov, S.; Kovalenko, A. Ab Initio Study of Ionic Liquids by KS-DFT/3D-RISM-KH Theory. J. Phys. Chem. B 2009, 113, 3536–3542. [Google Scholar] [CrossRef] [PubMed]
- Ge, L.; Chen, J.W.; Lin, J.; Cai, X.Y. Light-Source-Dependent Effects of Main Water Constituents on Photodegradation of Phenicol Antibiotics: Mechanism and Kinetics. Environ. Sci. Technol. 2009, 43, 3101–3107. [Google Scholar] [CrossRef]
- Jiang, W.L.; Ding, Y.C.; Haider, M.R.; Han, J.L.; Liang, B.; Xia, X.; Yang, L.M.; Wang, H.C.; Peng, Y.Z.; Wang, A.J. A novel TiO2/graphite felt photoanode assisted electro-Fenton catalytic membrane process for sequential degradation of antibiotic florfenicol and elimination of its antibacterial activity. Chem. Eng. J. 2020, 391, 12. [Google Scholar] [CrossRef]
- Liu, C.G.; Guan, X.H.; Su, Z.M. TDDFT study on the second-order nonlinear optical properties of a series of mono- and di-nuclear 60 fullerene complexes. Comput. Theor. Chem. 2011, 963, 98–103. [Google Scholar] [CrossRef]
- Minaev, B.F.; Baryshnikov, G.V.; Korop, A.A.; Minaeva, V.A.; Kaplunov, M.G. Theoretical investigation of the structure and electronic absorption spectrum of a complex zinc bis- 8-(3,5-difluorophenylsulfanylamino)quinolinate. Opt. Spectrosc. 2012, 113, 298–304. [Google Scholar] [CrossRef]
- Berland, K.; Londero, E.; Schröder, E.; Hyldgaard, P. Harris-type van der Waals density functional scheme. Phys. Rev. B 2013, 88, 10. [Google Scholar] [CrossRef]
- Wolny, J.A.; Paulsen, H.; Winkler, H.; Trautwein, A.X.; Tuchagues, J.P. DFT calculations as a tool to analyse quadrupole splittings of spin crossover Fe(II) complexes. Hyperfine Interact. 2005, 166, 495–498. [Google Scholar] [CrossRef][Green Version]
- Shah, T.A.; Alam, U.; Alam, M.; Park, S.; Muneer, M. Single crystal X-ray structure, spectroscopic and DFT studies of Imidazo [2,1-b]thiazole: 2-(3-hydroxy-3-phenylimidazo[2,1-b]thiazol-2(3H)-ylidene)-1-phenylethanone. J. Mol. Struct. 2018, 1157, 638–653. [Google Scholar] [CrossRef]
- Benzon, K.B.; Mary, Y.S.; Varghese, H.T.; Panicker, C.Y.; Armakovic, S.; Armakovic, S.J.; Pradhan, K.; Nanda, A.K.; Van Alsenoy, C. Spectroscopic, DFT, molecular dynamics and molecular docking study of 1-butyl-2-(4-hydroxypheny1)-4,5-dimethyl-imidazole 3-oxide. J. Mol. Struct. 2017, 1134, 330–344. [Google Scholar] [CrossRef]
- Wilson, P.B.; Williams, I.H. Critical evaluation of anharmonic corrections to the equilibrium isotope effect for methyl cation transfer from vacuum to dielectric continuum. Mol. Phys. 2015, 113, 1704–1711. [Google Scholar] [CrossRef]
- Arrigoni, F.; Zampella, G.; Gioia, L.D.; Greco, C.; Bertini, L.J.I. The Photochemistry of Fe2(S2C3H6)(CO)6(-CO) and Its Oxidized Form, Two Simple [FeFe]-Hydrogenase CO-Inhibited Models. A DFT and TDDFT Investigation. Inorganics. 2021, 9, 16. [Google Scholar] [CrossRef]
- Ni, Z.; Chen, Z.; Zhang, X.; Yang, X.; Zhou, L. Photolysis of fungicide triadimefon: A combined experimental and theoretical investigation on homolytic C-O and C-N bonds dissociation mechanisms. J. Photochem. Photobiol. A Chem. 2023, 436, 114402. [Google Scholar] [CrossRef]
- Polska, K.; Zielonka, J.; Chomicz, L.; Czerwicka, M.; Stepnowski, P.; Guzow, K.; Wiczk, W.; Smużyńska, M.; Kasprzykowski, F.; Zylicz-Stachula, A.; et al. Unexpected photoproduct generated via the acetone-sensitized photolysis of 5-bromo-2’-deoxyuridine in a water/isopropanol solution: Experimental and computational studies. J. Phys. Chem. B 2010, 114, 16902–16907. [Google Scholar] [CrossRef]
- Sun, Y.; Li, M.; Hadizadeh, M.H.; Liu, L.; Xu, F. Theoretical insights into the degradation mechanisms, kinetics and eco-toxicity of oxcarbazepine initiated by OH radicals in aqueous environments. J. Environ. Sci. 2023, 129, 189–201. [Google Scholar] [CrossRef]
- Noh, S.H.; Kwak, D.H.; Seo, M.H.; Ohsaka, T.; Han, B. First principles study of oxygen reduction reaction mechanisms on N-doped graphene with a transition metal support. Electrochim. Acta 2014, 140, 225–231. [Google Scholar] [CrossRef]
- Becke, A.D. Density-functional thermochemistry. III. The role of exact exchange. J. Chem. Phys. 1993, 98, 5648–5652. [Google Scholar] [CrossRef]
- Tomasi, J.; Mennucci, B.; Cammi, R.J.C.R. Quantum mechanical continuum salvation models. Chem. Rev. 2005, 105, 2999–3094. [Google Scholar] [CrossRef]
- Yamashita, K.; Yamabe, T.; Fukui, K. IRC approach to chemical dynamics: Toward mode-selective chemical reactions. Chem. Phys. Lett. 1981, 84, 123–126. [Google Scholar] [CrossRef]
- Zhao, G.J.; Han, K.L. Excited State Electronic Structures and Photochemistry of Heterocyclic Annulated Perylene (HAP) Materials Tuned by Heteroatoms: S, Se, N, O, C, Si, and B. J. Phys. Chem. A 2009, 113, 4788–4794. [Google Scholar] [CrossRef]
- Marques, M.A.L.; Gross, E.K.U. Time-Dependent Density Functional Theory. Annu. Rev. Phys. Chem. 2008, 55, 427–455. [Google Scholar] [CrossRef] [PubMed]
- Hölzle, E.; Hönigsmann, H. Ultraviolette Strahlung—Quellen, Spektren, Umwelteinflüsse: UV-radiation—Sources, Wavelength, Environment. JDDG J. Der Dtsch. Dermatol. Ges. 2010, 3, S3–S10. [Google Scholar] [CrossRef] [PubMed]
- Li, K.; Zhang, P.; Ge, L.K.; Ren, H.L.; Yu, C.Y.; Chen, X.Y.; Zhao, Y.F. Concentration-dependent photodegradation kinetics and hydroxyl-radical oxidation of phenicol antibiotics. Chemosphere 2014, 111, 278–282. [Google Scholar] [CrossRef] [PubMed]








Disclaimer/Publisher’s Note: The statements, opinions and data contained in all publications are solely those of the individual author(s) and contributor(s) and not of MDPI and/or the editor(s). MDPI and/or the editor(s) disclaim responsibility for any injury to people or property resulting from any ideas, methods, instructions or products referred to in the content. |
© 2024 by the authors. Licensee MDPI, Basel, Switzerland. This article is an open access article distributed under the terms and conditions of the Creative Commons Attribution (CC BY) license (https://creativecommons.org/licenses/by/4.0/).
Share and Cite
Kang, Y.; Lu, Y.; Wang, S. Study on the Direct and Indirect Photolysis of Antibacterial Florfenicol in Water Using DFT/TDDFT Method and Comparison of Its Reactivity with Hydroxyl Radical under the Effect of Metal Ions. Toxics 2024, 12, 127. https://doi.org/10.3390/toxics12020127
Kang Y, Lu Y, Wang S. Study on the Direct and Indirect Photolysis of Antibacterial Florfenicol in Water Using DFT/TDDFT Method and Comparison of Its Reactivity with Hydroxyl Radical under the Effect of Metal Ions. Toxics. 2024; 12(2):127. https://doi.org/10.3390/toxics12020127
Chicago/Turabian StyleKang, Yue, Ying Lu, and Se Wang. 2024. "Study on the Direct and Indirect Photolysis of Antibacterial Florfenicol in Water Using DFT/TDDFT Method and Comparison of Its Reactivity with Hydroxyl Radical under the Effect of Metal Ions" Toxics 12, no. 2: 127. https://doi.org/10.3390/toxics12020127
APA StyleKang, Y., Lu, Y., & Wang, S. (2024). Study on the Direct and Indirect Photolysis of Antibacterial Florfenicol in Water Using DFT/TDDFT Method and Comparison of Its Reactivity with Hydroxyl Radical under the Effect of Metal Ions. Toxics, 12(2), 127. https://doi.org/10.3390/toxics12020127

