Efficient Uranium Removal from Aqueous Solutions Using Silica-Based Adsorbents Functionalized with Various Polyamines
Abstract
1. Introduction
2. Experimental Methodology
2.1. Materials and Reagents
2.2. Synthesis of SiPMANs
2.3. Characterization
2.4. Batch Adsorption Experiments
3. Results and Discussion
3.1. Material Characterization
3.1.1. SEM–EDS Analysis
3.1.2. TG–DSC Analysis
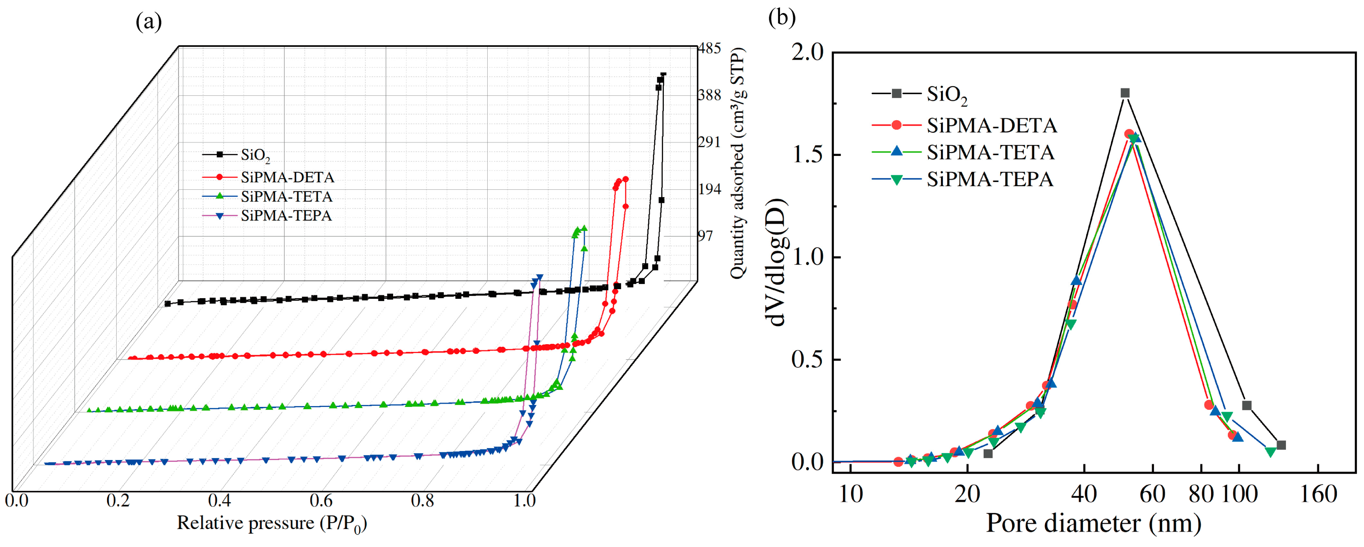
3.1.3. BET Analysis
3.1.4. FTIR Analysis
3.2. Batch Adsorption Experiments
3.3. Batch Desorption Experiments and Reusability
3.4. Evaluation of the Uranium Removal Performance in Environmental Water Systems
3.5. Adsorption Mechanism Study
3.5.1. FTIR and XPS Analyses
3.5.2. Comparison of SiPMA-TEPA with Other Materials
4. Conclusions
Supplementary Materials
Author Contributions
Funding
Institutional Review Board Statement
Informed Consent Statement
Data Availability Statement
Conflicts of Interest
References
- Ayare, S.D.; Doltade, S.; Tekade, S. A review on current scenario of energy, nuclear reactor technology and cold trap. Clean Technol. Environ. Policy 2024, 26, 927–941. [Google Scholar] [CrossRef]
- Rogalev, N.; Rogalev, A.; Kindra, V.; Zlyvko, O.; Osipov, S. An Overview of Small Nuclear Power Plants for Clean Energy Production: Comparative Analysis of Distributed Generation Technologies and Future Perspectives. Energies 2023, 16, 4899. [Google Scholar] [CrossRef]
- Marovic, G.; Sencar, J.; Bronzovic, M.; Franic, Z.; Kovac, J. Radioactive waste due to electric power and mineral fertiliser production. Arh. Za Hig. Rada I Toksikol. 2006, 57, 333–338. [Google Scholar]
- Xie, Y.; Chen, C.L.; Ren, X.M.; Wang, X.X.; Wang, H.Y.; Wang, X.K. Emerging natural and tailored materials for uranium-contaminated water treatment and environmental remediation. Prog. Mater. Sci. 2019, 103, 180–234. [Google Scholar] [CrossRef]
- Bergmann, M.; Graca, M.A.S. Bioaccumulation and Dispersion of Uranium by Freshwater Organisms. Arch. Environ. Contam. Toxicol. 2020, 78, 254–266. [Google Scholar] [CrossRef]
- Cotruvo, J.A. 2017 WHO Guidelines for Drinking Water Quality: First Addendum to the Fourth Edition. J. Am. Water Work. Assoc. 2017, 109, 44–51. [Google Scholar] [CrossRef]
- Zhou, H.; Leng, J.; Guo, Y.; Liu, J.; Ge, K.; Zhang, W. Research progress of membrane technology in treatment of uranium-containing wastewater from nuclear industry. Ind. Water Treat. 2022, 42, 11–18. [Google Scholar]
- Yan, B.J.; Ma, C.X.; Gao, J.X.; Yuan, Y.H.; Wang, N. An Ion-Crosslinked Supramolecular Hydrogel for Ultrahigh and Fast Uranium Recovery from Seawater. Adv. Mater. 2020, 32, e1906615. [Google Scholar] [CrossRef]
- Chen, F.; Lv, M.; Ye, Y.; Miao, S.; Tang, X.; Liu, Y.; Liang, B.; Qin, Z.; Chen, Y.; He, Z.; et al. Insights on uranium removal by ion exchange columns: The deactivation mechanisms, and an overlooked biological pathway. Chem. Eng. J. 2022, 434, 134708. [Google Scholar] [CrossRef]
- Wang, L.; Badr, H.O.; Yang, Y.; Cope, J.H.; Ma, E.Z.; Ouyang, J.F.; Yuan, L.Y.; Li, Z.J.; Liu, Z.R.; Barsoum, M.W.; et al. Unique hierarchical structures of one dimensional lepidocrocite titanate with cation-exchangeable sites for extraordinary selective actinide capture for water purification. Chem. Eng. J. 2023, 474, 145635. [Google Scholar] [CrossRef]
- Chen, L.F.; Ning, S.Y.; Huang, Y.L.; Chen, Y.L.; Ju, Z.P.; He, X.W.; Lu, L.Y.; Zhou, H.L.; Wang, X.P.; Wu, Y.; et al. Effects of speciation on uranium removal efficiencies with polyamine-functionalized silica composite adsorbent in groundwater. J. Clean. Prod. 2020, 256, 120379. [Google Scholar] [CrossRef]
- Chen, L.; Yin, X.; Yu, Q.; Lu, S.; Meng, F.; Ning, S.; Wang, X.; Wei, Y. Rapid and selective capture of perrhenate anion from simulated groundwater by a mesoporous silica-supported anion exchanger. Microporous Mesoporous Mater. 2019, 274, 155–162. [Google Scholar] [CrossRef]
- Wang, R.X.; Li, M.Z.; Liu, T.; Li, X.Y.; Zhou, L.; Tang, L.; Gong, C.Y.; Gong, X.; Yu, K.F.; Li, N.; et al. Encapsulating carbon-coated nano zero-valent iron particles with biomass-derived carbon aerogel for efficient uranium extraction from uranium-containing wastewater. J. Clean. Prod. 2022, 364, 132654. [Google Scholar] [CrossRef]
- Jun, B.M.; Kim, H.H.; Rho, H.; Seo, J.; Jeon, J.W.; Nam, S.N.; Park, C.M.; Yoon, Y. Recovery of rare-earth and radioactive elements from contaminated water through precipitation: A review. Chem. Eng. J. 2023, 475, 146222. [Google Scholar] [CrossRef]
- Dawn, S.S.; Vishwakarma, V. Recovery and recycle of wastewater contaminated with heavy metals using adsorbents incorporated from waste resources and nanomaterials-A review. Chemosphere 2021, 273, 129677. [Google Scholar] [CrossRef]
- Yu, Y.; Liu, J.; Chen, S.; Song, Y.; Chen, R.; Yu, J.; Zhu, J.; Li, Y.; Liu, Q.; Wang, J. Bioinspired electrostatic layer-by-layer assembly membranes constructed based on mild strategy for uranium extraction from seawater. Chem. Eng. J. 2024, 486, 149783. [Google Scholar] [CrossRef]
- Dinis, M.d.L.; Fiuza, A. Mitigation of Uranium Mining Impacts-A Review on Groundwater Remediation Technologies. Geosciences 2021, 11, 250. [Google Scholar] [CrossRef]
- Huang, H.; Qiang, L.; Fan, M.; Liu, Y.; Yang, A.; Chang, D.; Li, J.; Sun, T.; Wang, Y.; Guo, R.; et al. 3D-printed tri-element-doped hydroxyapatite/polycaprolactone composite scaffolds with antibacterial potential for osteosarcoma therapy and bone regeneration. Bioact. Mater. 2024, 31, 18–37. [Google Scholar] [CrossRef] [PubMed]
- Kong, L.J.; Ruan, Y.; Zheng, Q.Y.; Su, M.H.; Diao, Z.H.; Chen, D.Y.; Hou, L.A.; Chang, X.Y.; Shih, K.M. Uranium extraction using hydroxyapatite recovered from phosphorus containing wastewater. J. Hazard. Mater. 2020, 382, 120784. [Google Scholar] [CrossRef]
- Tang, C.; Wang, X.; Zhang, Y.; Liu, N.; Hu, X. Corrosion behaviors and kinetics of nanoscale zero-valent iron in water: A review. J. Environ. Sci. 2024, 135, 391–406. [Google Scholar] [CrossRef]
- Zhu, F.; Lu, H.; Li, T.; He, S.; Xu, H. Degradation on BDE209 in the soil by kaolin-supported sulfurized nano-zero-valent iron activated persulfate system: Insights mechanism and DFT calculations. J. Environ. Chem. Eng. 2024, 12, 111882. [Google Scholar] [CrossRef]
- Velarde, L.; Nabavi, M.S.; Escalera, E.; Antti, M.-L.; Akhtar, F. Adsorption of heavy metals on natural zeolites: A review. Chemosphere 2023, 328, 138508. [Google Scholar] [CrossRef] [PubMed]
- Yang, T.Z.; Zhang, W.M.; Liu, H.Y.; Guo, Y.D. Enhanced removal of U(VI) from aqueous solution by chitosan-modified zeolite. J. Radioanal. Nucl. Chem. 2020, 323, 1003–1012. [Google Scholar] [CrossRef]
- Katsoyiannis, I.A.; Zouboulis, A.I. Removal of uranium from contaminated drinking water: A mini review of available treatment methods. Desalin. Water. Treat. 2013, 51, 2915–2925. [Google Scholar] [CrossRef]
- Ma, L.; Huang, C.; Yao, Y.Y.; Fu, M.T.; Han, F.; Li, Q.N.; Wu, M.H.; Zhang, H.J.; Xu, L.; Ma, H.J. Self-assembled MOF microspheres with hierarchical porous structure for efficient uranium adsorption. Sep. Purif. Technol. 2023, 314, 123526. [Google Scholar] [CrossRef]
- Zhong, X.; Lu, Z.P.; Liang, W.; Hu, B.W. The magnetic covalent organic framework as a platform for high-performance extraction of Cr(VI) and bisphenol a from aqueous solution. J. Hazard. Mater. 2020, 393, 122353. [Google Scholar] [CrossRef]
- Mei, D.C.; Liu, L.J.; Yan, B. Adsorption of uranium (VI) by metal-organic frameworks and covalent-organic frameworks from water. Coord. Chem. Rev. 2023, 475, 214917. [Google Scholar] [CrossRef]
- Elzoghby, A.A. Kinetic and equilibrium studies for U(VI) and Cd(II) sorption from commercial phosphoric acid using C100H resin. J. Radioanal. Nucl. Chem. 2021, 329, 899–911. [Google Scholar] [CrossRef]
- Lee, H.-K.; Park, W.; Chang, S.; Jeon, H.; Park, S. Uranium Recovery from Sulfate-Based Acidic Soil Washing Effluent Using Ion-Exchange Resins. Water Air Soil Pollut. 2022, 233, 453. [Google Scholar] [CrossRef]
- Chen, L.; Chen, Y.; Wang, X.; Wei, Y.; He, L.; Tang, F. A novel silica-based anion exchange resin used for removing uranium from drinking water. J. Radioanal. Nucl. Chem. 2017, 314, 2569–2578. [Google Scholar] [CrossRef]
- Chen, L.; Zhang, J.; Huang, Y.; Peng, C.; Chen, Y.; Lu, L.; Wang, X.; Wei, Y. An anion exchange pretreatment method for the determination of low-level uranium in the environmental water samples. J. Environ. Radioact. 2021, 237, 106699. [Google Scholar] [CrossRef] [PubMed]
- Zhang, Z.; Shao, C.; Wen, X.; He, Z. Simultaneous Determination of Calcium and Magnesium in Groundwater Samples by Ion Chromatography. Rock Miner. Anal. 2010, 29, 621–624. [Google Scholar]
- Cao, Q.; Liu, Y.; Kong, X.; Zhou, L.; Guo, H. Synthesis of phosphorus-modified poly(styrene-co-divinylbenzene) chelating resin and its adsorption properties of uranium(VI). J. Radioanal. Nucl. Chem. 2013, 298, 1137–1147. [Google Scholar] [CrossRef]
- Amphlett, J.T.M.; Ogden, M.D.; Foster, R.I.; Syna, N.; Soldenhoff, K.; Sharrad, C.A. Polyamine functionalised ion exchange resins: Synthesis, characterisation and uranyl uptake. Chem. Eng. J. 2018, 334, 1361–1370. [Google Scholar] [CrossRef]
- Zhang, W.; Ning, S.; Zhang, S.; Wang, S.; Zhou, J.; Wang, X.; Wei, Y. Synthesis of functional silica composite resin for the selective separation of zirconium from scandium. Microporous Mesoporous Mater. 2019, 288, 109602. [Google Scholar] [CrossRef]
- Liu, H.; Ning, S.; Li, Z.; Zhang, S.; Chen, L.; Yin, X.; Fujita, T.; Wei, Y. Preparation of a novel silica-based N-donor ligand functional adsorbent for efficient separation of palladium from high level liquid waste. Sep. Purif. Technol. 2022, 296, 121373. [Google Scholar] [CrossRef]
- Zhang, S.; Ning, S.; Liu, H.; Wang, X.; Wei, Y.; Yin, X. Preparation of ion-exchange resin via in-situ polymerization for highly selective separation and continuous removal of palladium from electroplating wastewater. Sep. Purif. Technol. 2021, 258, 117670. [Google Scholar] [CrossRef]
- Ning, S.; Zhang, S.; Zhang, W.; Zhou, J.; Wang, S.; Wang, X.; Wei, Y. Separation and recovery of Rh, Ru and Pd from nitrate solution with a silica based IsoBu-BTP/SiO2-P adsorbent. Hydrometallurgy 2020, 191, 105207. [Google Scholar] [CrossRef]
- Tang, J.; Liao, L.Y.; He, X.X.; Lv, L.D.; Yin, X.B.; Li, W.L.; Wei, Y.Z.; Ning, S.Y.; Chen, L.F. Efficient separation of radium from natural thorium using a mesoporous silica-supported composite resin with sulfonic acid groups for the acquisition of targeted α-nuclides 212Pb. Chem. Eng. J. 2024, 485, 150022. [Google Scholar] [CrossRef]
- Li, K.; Xiong, T.; Liao, J.; Lei, Y.; Zhang, Y.; Zhu, W. Design of MXene/graphene oxide nanocomposites with micro-wrinkle structure for efficient separating of uranium(VI) from wastewater. Chem. Eng. J. 2022, 433, 134449. [Google Scholar] [CrossRef]
- Zhang, W.; Yu, S.; Zhang, S.; Zhou, J.; Ning, S.; Wang, X.; Wei, Y. Separation of scandium from the other rare earth elements with a novel macro-porous silica-polymer based adsorbent HDEHP/SiO2-P. Hydrometallurgy 2019, 185, 117–124. [Google Scholar] [CrossRef]
- Wei, Y.Z.; Kumagai, M.; Takashima, Y.; Asou, M.; Namba, T.; Suzuki, K.; Maekawa, A.; Ohe, S. The application of an advanced ion exchange process to reprocessing spent nuclear fuels, (I)—Separation behavior of fission products from uranium. J. Nucl. Sci. Technol. 1998, 35, 357–364. [Google Scholar] [CrossRef]
- Katsoyiannis, I.A.; Althoff, H.W.; Bartel, H.; Jekel, M. The effect of groundwater composition on uranium(VI) sorption onto bacteriogenic iron oxides. Water Res. 2006, 40, 3646–3652. [Google Scholar] [CrossRef] [PubMed]
- Barton, C.S.; Stewart, D.I.; Morris, K.S.; Bryant, D.E. Performance of three resin-based materials for treating uranium-contaminated groundwater within a PRB. J. Hazard. Mater. 2004, 116, 191–204. [Google Scholar] [CrossRef][Green Version]
- Zhang, S.-C.; Ning, S.-Y.; Zhou, J.; Wang, S.-Y.; Zhang, W.; Wang, X.-P.; Wei, Y.-Z. New insight into the adsorption of ruthenium, rhodium, and palladium from nitric acid solution by a silica-polymer adsorbent. Nucl. Sci. Tech. 2020, 31, 34. [Google Scholar] [CrossRef]
- Chen, X.N.; Wang, X.H.; Fang, D. A review on C1s XPS-spectra for some kinds of carbon materials. Fuller. Nanotub. Carbon Nanostructures 2020, 28, 1048–1058. [Google Scholar] [CrossRef]
- Greczynski, G.; Hultman, L. The same chemical state of carbon gives rise to two peaks in X-ray photoelectron spectroscopy. Sci. Rep. 2021, 11, 11195. [Google Scholar] [CrossRef]
- Shchukarev, A.V.; Korolkov, D.V. XPS study of group IA carbonates. Cent. Eur. J. Chem. 2004, 2, 347–362. [Google Scholar] [CrossRef]
- Smith, M.; Scudiero, L.; Espinal, J.; McEwen, J.S.; Garcia-Perez, M. Improving the deconvolution and interpretation of XPS spectra from chars by ab initio calculations. Carbon 2016, 110, 155–171. [Google Scholar] [CrossRef]
- Idriss, H. On the wrong assignment of the XPS O1s signal at 531-532 eV attributed to oxygen vacancies in photo- and electro-catalysts for water splitting and other materials applications. Surf. Sci. 2021, 712, 121894. [Google Scholar] [CrossRef]
- He, X.X.; Tang, J.; Wang, Z.; Feng, W.N.; Yan, Q.Q.; Wei, Y.Z.; Watabe, H.; Li, W.L.; Ning, S.Y.; Chen, L.F. Method and mechanism for efficient radium isolation from bulk thorium based on anion exchange. Chem. Eng. J. 2024, 496, 154283. [Google Scholar] [CrossRef]
- Dolatyari, L.; Yaftian, M.R.; Rostamnia, S. Th(IV)/U(VI) Sorption on Modified SBA-15 Mesoporous Materials in Fixed-Bed Column. Iran. J. Chem. Chem. Eng.-Int. Engl. Ed. 2017, 36, 115–125. [Google Scholar]
- Dimiropoulos, V.; Katsoyiannis, I.A.; Zouboulis, A.I.; Noli, F.; Simeonidis, K.; Mitrakas, M. Enhanced U(VI) removal from drinking water by nanostructured binary Fe/Mn oxy-hydroxides. J. Water Process Eng. 2015, 7, 227–236. [Google Scholar] [CrossRef]
- Jamali, M.R.; Assadi, Y.; Shemirani, F.; Hosseini, M.R.M.; Kozani, R.R.; Masteri-Farahani, M.; Salavati-Niasari, M. Synthesis of salicylaldehyde-modified mesoporous silica and its application as a new sorbent for separation, preconcentration and determination of uranium by inductively coupled plasma atomic emission spectrometry. Anal. Chim. Acta 2006, 579, 68–73. [Google Scholar] [CrossRef]
- Wang, L.; Song, H.; Yuan, L.; Li, Z.; Zhang, Y.; Gibson, J.K.; Zheng, L.; Chai, Z.; Shi, W. Efficient U(VI) Reduction and Sequestration by Ti2CTx MXene. Environ. Sci. Technol. 2018, 52, 10748–10756. [Google Scholar] [CrossRef]
- Liu, H.J.; Zhou, Y.C.; Yang, Y.B.; Zou, K.; Wu, R.J.; Xia, K.; Xie, S.B. Synthesis of polyethylenimine/graphene oxide for the adsorption of U(VI) from aqueous solution. Appl. Surf. Sci. 2019, 471, 88–95. [Google Scholar] [CrossRef]












| Materials | BET Surface Area (m2/g) | Pore Volume (cm3/g) | Pore Size (nm) | 
|---|---|---|---|
| SiO2 | 74.59 | 0.76 | 56.08 | 
| SiPMA-DETA | 48.38 | 0.25 | 23.05 | 
| SiPMA-TETA | 46.86 | 0.59 | 23.77 | 
| SiPMA-TEPA | 46.42 | 0.61 | 52.56 | 
| Adsorbents | Pseudo-First-Order Kinetic Model | Pseudo-Second-Order Kinetic Model | Qe,exp (mg/g) | ||||
|---|---|---|---|---|---|---|---|
| K1 | Qe | R2 | K2 | Qe | R2 | ||
| SiPMA-DETA | 0.71 | 5.26 | 0.999 | 0.45 | 5.33 | 0.999 | 5.26 | 
| SiPMA-TETA | 0.62 | 4.94 | 0.998 | 0.34 | 5.03 | 0.997 | 4.962 | 
| SiPMA-TEPA | 0.55 | 4.64 | 0.995 | 0.27 | 4.76 | 0.999 | 4.681 | 
| Adsorbent | Qmax (mg/g) | te (min) | Temperature (K) | Reference | 
|---|---|---|---|---|
| SBA/EnSA | 105.3 | 1675 | 298 | [52] | 
| MHO | 106.4 | - | 293 | [53] | 
| FMHO | 133.3 | 480 | 293 | [53] | 
| SAER | 124 | 8 | 298 | [30] | 
| PS-N-P | 94.95 | 240 | 298 | [33] | 
| SiPMA-TEPA | 270 | 10 | 298 | This work | 
| Sal-APS-MCM-41 | 10 | <1 | 298 | [54] | 
| M-Ti2CTx | 470 | 2880 | 298 | [55] | 
| PEI/GO | 145.1 | 90 | 303 | [56] | 
| Disclaimer/Publisher’s Note: The statements, opinions and data contained in all publications are solely those of the individual author(s) and contributor(s) and not of MDPI and/or the editor(s). MDPI and/or the editor(s) disclaim responsibility for any injury to people or property resulting from any ideas, methods, instructions or products referred to in the content. | 
© 2024 by the authors. Licensee MDPI, Basel, Switzerland. This article is an open access article distributed under the terms and conditions of the Creative Commons Attribution (CC BY) license (https://creativecommons.org/licenses/by/4.0/).
Share and Cite
Zhang, P.; Wang, H.; Chen, L.; Li, W.; Fujita, T.; Ning, S.; Wei, Y. Efficient Uranium Removal from Aqueous Solutions Using Silica-Based Adsorbents Functionalized with Various Polyamines. Toxics 2024, 12, 704. https://doi.org/10.3390/toxics12100704
Zhang P, Wang H, Chen L, Li W, Fujita T, Ning S, Wei Y. Efficient Uranium Removal from Aqueous Solutions Using Silica-Based Adsorbents Functionalized with Various Polyamines. Toxics. 2024; 12(10):704. https://doi.org/10.3390/toxics12100704
Chicago/Turabian StyleZhang, Ping, Hongling Wang, Lifeng Chen, Wenlong Li, Toyohisa Fujita, Shunyan Ning, and Yuezhou Wei. 2024. "Efficient Uranium Removal from Aqueous Solutions Using Silica-Based Adsorbents Functionalized with Various Polyamines" Toxics 12, no. 10: 704. https://doi.org/10.3390/toxics12100704
APA StyleZhang, P., Wang, H., Chen, L., Li, W., Fujita, T., Ning, S., & Wei, Y. (2024). Efficient Uranium Removal from Aqueous Solutions Using Silica-Based Adsorbents Functionalized with Various Polyamines. Toxics, 12(10), 704. https://doi.org/10.3390/toxics12100704
 
        




 
       