Distribution of Essential and Toxic Elements in Pelecus cultratus Tissues and Risk Assessment for Consumer Health
Abstract
1. Introduction
2. Materials and Methods
2.1. Research Area
2.2. Sampling
2.3. Heavy Metal Analysis
2.4. Health Risk Assessment
2.5. Statistical Analysis
3. Results
3.1. The Concentration of Micro- and Macro-Elements in Sabrefish from Different Areas of the Reservoir, Characterized by Varying Degrees of Anthropogenic Load
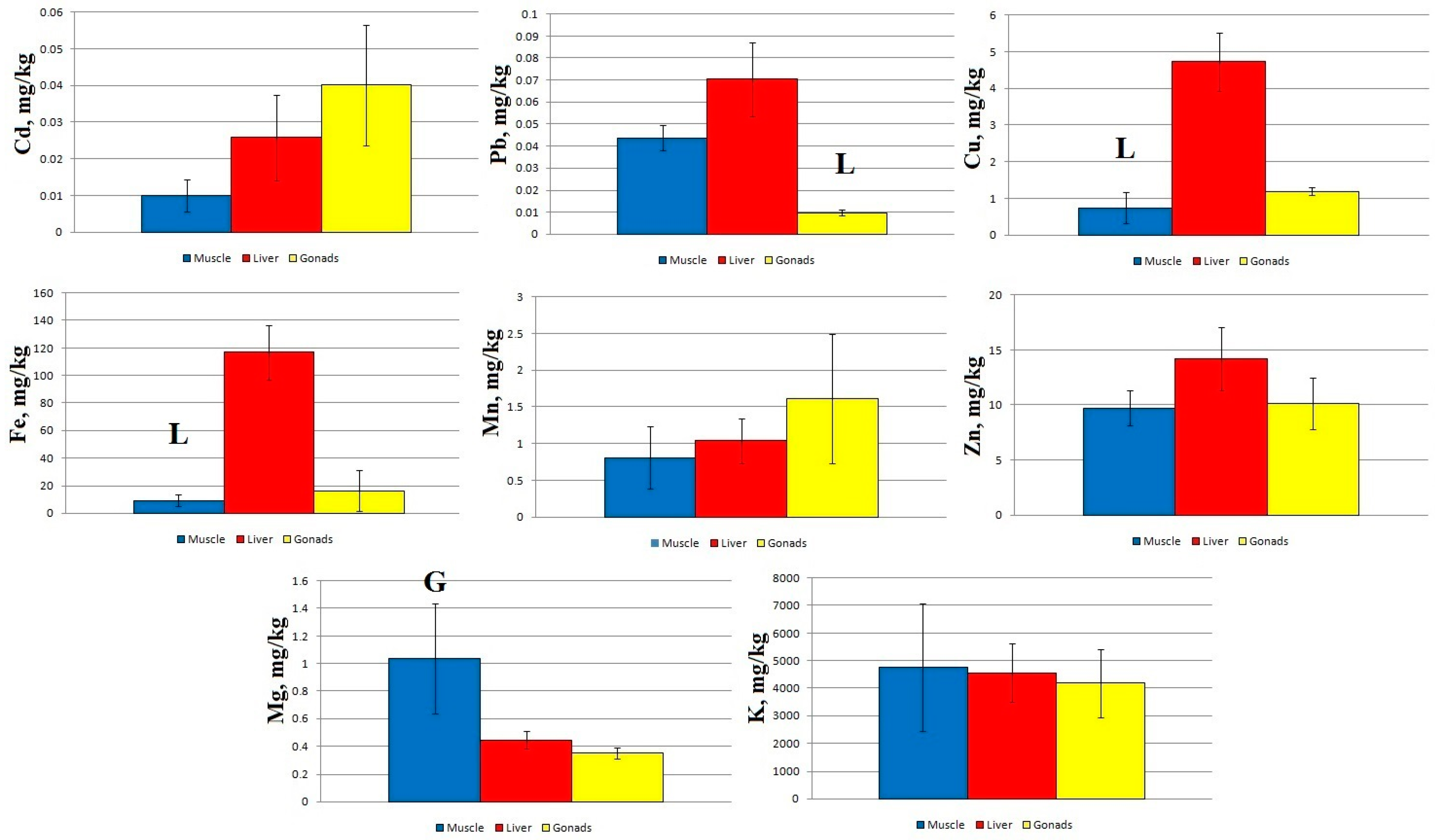
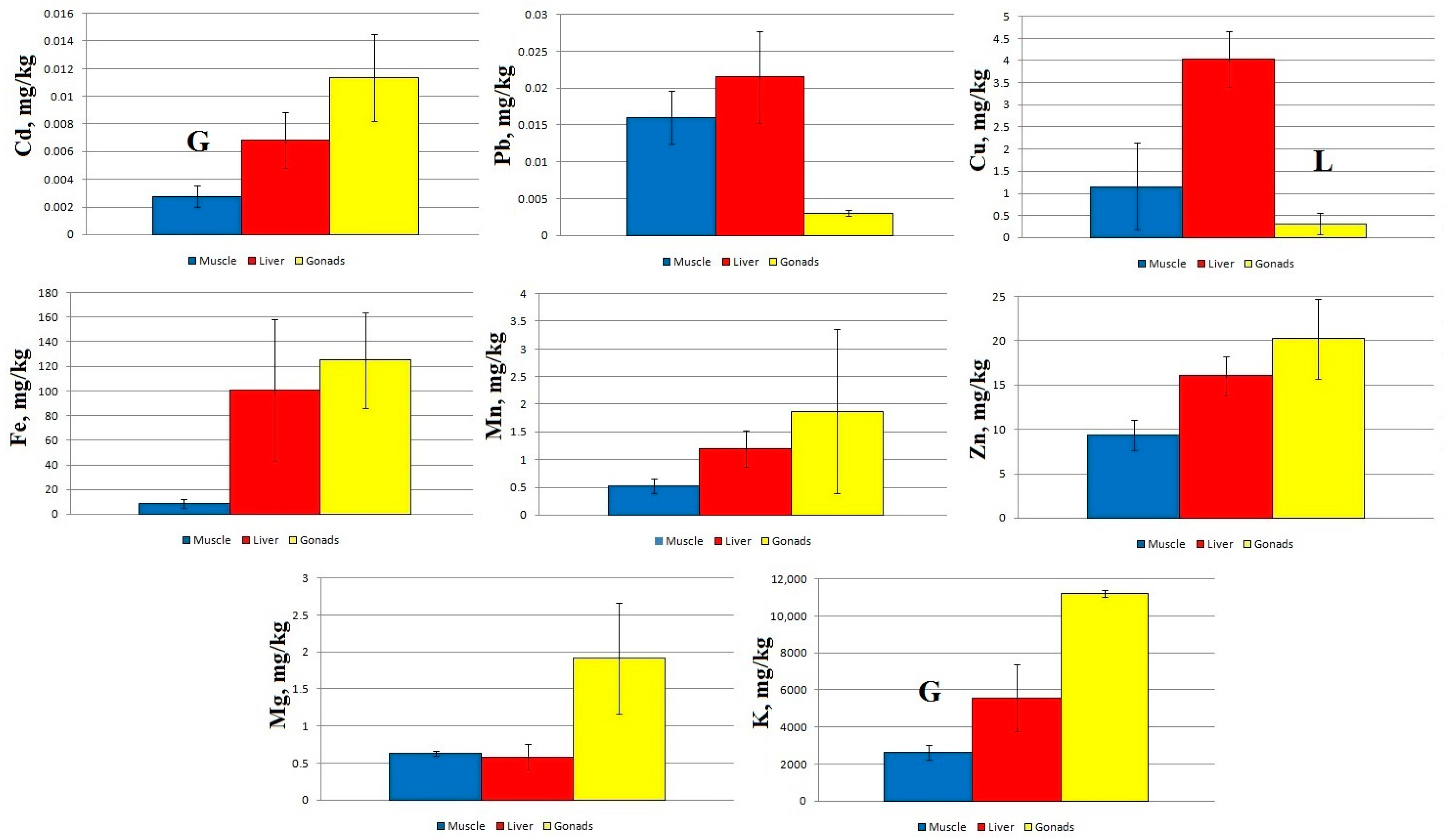
3.2. Concentration of Micro- and Macro-Elements in Different Parts of Sabrefish
3.3. Health Risk Assessment
4. Discussion
5. Conclusions
Author Contributions
Funding
Institutional Review Board Statement
Informed Consent Statement
Data Availability Statement
Conflicts of Interest
References
- Alengebawy, A.; Abdelkhalek, S.T.; Qureshi, S.R.; Wang, M.-Q. Heavy metals and pesticides toxicity in agricultural soil and plants: Ecological risks and human health implications. Toxics 2021, 9, 42. [Google Scholar] [CrossRef]
- Lee, S.J.; Mamun, M.; Atique, U.; An, K.G. Fish Tissue Contamination with Organic Pollutants and Heavy Metals: Link between Land Use and Ecological Health. Water 2023, 15, 1845. [Google Scholar] [CrossRef]
- Hasan, M.K.; Shahriar, A.; Jim, K.U. Water pollution in Bangladesh and its impact on public health. Heliyon 2019, 5, e02145. [Google Scholar] [CrossRef]
- Mokarram, M.; Saber, A.; Sheykhi, V. Effects of heavy metal contamination on river water quality due to release of industrial effluents. J. Clean. Prod. 2020, 277, 123380. [Google Scholar] [CrossRef]
- Mushtaq, N.; Singh, D.V.; Bhat, R.A.; Dervash, M.A.; Hameed, O.B. Freshwater Contamination: Sources and Hazards to Aquatic Biota. In Fresh Water Pollution Dynamics and Remediation; Springer: Singapore, 2020; pp. 27–50. [Google Scholar] [CrossRef]
- Choi, Y.; Lee, J.H.; Kim, K.; Mun, H.; Park, N.; Jeon, J. Identification, quantification, and prioritization of new emerging pollutants in domestic and industrial effluents, Korea: Application of LC-HRMS based suspect and non-target screening. J. Hazard. Mater. 2021, 402, 123706. [Google Scholar] [CrossRef] [PubMed]
- Xie, Q.; Gui, D.; Liu, W.; Wu, Y.P. Risk for Indo-Pacific humpback dolphins (Sousa chinensis) and human health related to the heavy metal levels in fish from the Pearl River Estuary, China. Chemosphere 2020, 240, 124844. [Google Scholar] [CrossRef] [PubMed]
- Sun, Y.; Lu, Z.; Xiao, K.; Zeng, L.; Wang, J.; Gabrielsen, G.W. Antarctic Adélie penguin feathers as bio-indicators of geographic and temporal variations in heavy metal concentrations in their habitats. Ecotoxicol. Environ. Saf. 2020, 206, 111135. [Google Scholar] [CrossRef] [PubMed]
- Diarra, I.; Prasad, S. The current state of heavy metal pollution in Pacific Island Countries: A review. Appl. Spectrosc. Rev. 2021, 56, 27–51. [Google Scholar] [CrossRef]
- Ma, Y.; Wang, Q.; Su, W.; Cao, G.; Fu, G.; Du, W. Potential Sources, Pollution, and Ecological Risk Assessment of Potentially Toxic Elements in Surface Soils on the North–Eastern Margin of the Tibetan Plateau. Toxics 2022, 10, 368. [Google Scholar] [CrossRef] [PubMed]
- Chowdhury, A.; Naz, A.; Maiti, S.K. Distribution, speciation, and bioaccumulation of potentially toxic elements in the grey mangroves at Indian Sundarbans, in relation to vessel movements. Mar. Environ. Res. 2023, 189, 106042. [Google Scholar] [CrossRef]
- Silva, M.H.L.; Castro, A.C.L.; Silva, I.S.D.; Cabral, P.F.P.; Azevedo, J.W.J.; Soares, L.S.; Bandeira, A.M.; Basso, M.J.; Nunes, J.L.S. Determination of metals in estuarine fishes in a metropolitan region of the coastal zone of the Brazilian Amazon. Mar. Pollut. Bull. 2023, 186, 114477. [Google Scholar] [CrossRef]
- Kumari, P.; Chowdhury, A.; Maiti, S.K. Assessment of Heavy Metal in the Water, Sediment, and Two Edible Fish Species of Jamshedpur Urban Agglomeration, India with Special Emphasis on Human Health Risk. Hum. Ecol. Risk Assess. Int. J. 2018, 24, 1477–1500. [Google Scholar] [CrossRef]
- Li, Y.; Zhou, Q.; Ren, B.; Luo, J.; Yuan, J.; Ding, X.; Bian, H.; Yao, X. Trends and Health Risks of Dissolved Heavy Metal Pollution in Global River and Lake Water from 1970 to 2017. In Reviews of Environmental Contamination and Toxicology; Springer: Cham, The Netherland, 2020; Volume 251, pp. 1–24. [Google Scholar] [CrossRef]
- Algül, F.; Beyhan, M. Concentrations and sources of heavy metals in shallow sediments in Lake Bafa, Turkey. Sci. Rep. 2020, 10, 11782. [Google Scholar] [CrossRef] [PubMed]
- Akindele, E.O.; Omisakin, D.A.; Oni, O.A.; Aliu, O.O.; Omoniyi, G.E.; Akinpelu, O.T. Heavy metal toxicity in the water column and benthic sediments of a degraded tropical stream. Ecotoxicol. Environ. Saf. 2020, 190, 110153. [Google Scholar] [CrossRef]
- Egbueri, J.C. Heavy metals pollution source identification and probabilistic health Risk Assessment of Shallow Groundwater in Onitsha, Nigeria. Anal. Lett. 2020, 53, 1620–1638. [Google Scholar] [CrossRef]
- Sivakumar, K.; Shanmugasundaram, A.; Jayaprakash, M.; Prabakaran, K.; Muthusamy, S.; Ramachandran, A.; Venkatramanan, S.; Selvam, S. Causes of heavy metal contamination in groundwater of Tuticorin industrial block, Tamil Nadu, India. Environ. Sci. Pollut. Res. 2021, 28, 18651–18666. [Google Scholar] [CrossRef]
- Krivokapić, M. Study on the Evaluation of (Heavy) Metals in Water and Sediment of Skadar Lake (Montenegro), with BCF Assessment and Translocation Ability (TA) by Trapa natans and a Review of SDGs. Water 2021, 13, 876. [Google Scholar] [CrossRef]
- Anishchenko, O.V.; Gladyshev, M.I.; Kravchuk, E.S.; Kalacheva, G.S.; Gribovskaya, I.V. Assessment of the Yenisei River Anthropogenic Pollution by Metals Concentrations in the Main Ecosystem Compartments Upstream and Downstream Krasnoyarsk City (Russia). J. SibFU. Biol. 2010, 3, 82–98. (In Russian) [Google Scholar]
- Karim, S.; Aouniti, A.; Taleb, M.; El hajjaji, F.; Belbachir, C.; Rahhou, I.; Achmit, M.; Hammouti, B. Evaluation of heavy metal concentrations in seven commercial marine fishes caught in the Mediterranean coast of Morocco and their associated health risks to consumers. J. Environ. Biotechnol. Res. 2019, 8, 1–13. [Google Scholar]
- Liu, J.; Cao, L.; Dou, S. Trophic transfer, biomagnification and risk assessments of four common heavy metals in the food web of Laizhou Bay, the Bohai Sea. Sci. Total Environ. 2019, 670, 508–522. [Google Scholar] [CrossRef]
- Abah, J.; Mashebe, P.; Sylvanus, O.A. Preliminary Assessment of Some Heavy Metals Pollution Status of Lisikili River Water in Zambezi Region, Namibia. Int. J. Environ. Pollut. Res. 2016, 4, 13–30. [Google Scholar]
- Bhat, S.A.; Hassan, T.; Majid, S. Heavy metal toxicity and their harmful effects on living organisms—A review. Int. J. Med. Sci. Diagn. Res. 2019, 3, 106–122. [Google Scholar] [CrossRef]
- Vajargah, M.F. A review on the effects of heavy metals on aquatic animals. Environ. Sci. 2021, 2, 865–869. [Google Scholar] [CrossRef]
- Authman, M.M.; Zaki, M.S.; Khallaf, E.A.; Abbas, H.H. Use of fish as bio-indicator of the effects of heavy metals pollution. J. Aquac. Res. Dev. 2015, 6, 4. [Google Scholar] [CrossRef]
- Andriani, I.; Litaay, M.; Tahir, D. Medaka fish Oryziasjavanicus Bleeker as bio-indicator of lead content in waters. J. Phys. Conf. Ser. 2019, 1341, 022028. [Google Scholar] [CrossRef]
- Moiseenko, T.I.; Gashkina, N.A. Distribution and bioaccumulation of heavy metals (Hg, Cd and Pb) in fish: Influence of the aquatic environment and climate. Environ. Res. Lett. 2020, 15, 115013. [Google Scholar] [CrossRef]
- Kaymak, G.; Kayhan, F.E.; Ertuğ, N.D.Y. A biomonitoring study: Using the biomarkers in Cyprinus carpio for the evaluation of water pollution in Sapanca lake (Sakarya, Turkey). Int. J. Agric. Environ. Food Sci. 2021, 5, 107–121. [Google Scholar] [CrossRef]
- Balami, S.; Sharma, A.; Karn, R. Significance of Nutritional Value of Fish for Human Health. Malays. J. Halal Res. 2019, 2, 32–34. [Google Scholar] [CrossRef]
- Pradeepkiran, J.A. Aquaculture role in global food security with nutritional value: A review. Transl. Anim. Sci. 2019, 3, 903–910. [Google Scholar] [CrossRef]
- Yang, G.; Sun, X.; Song, Z. Trophic level and heavy metal pollution of Sardinella albella in Liusha Bay, Beibu Gulf of the South China Sea. Mar. Pollut. Bull. 2020, 156, 111204. [Google Scholar] [CrossRef]
- El-Shenawy, N.S.; EL-Hak, H.N.G.; Ghobashy, M.A.; Mansour, F.A.; Soliman, M.F. Using antioxidant changes in liver and gonads of Oreochromis niloticus as biomarkers for the assessment of heavy metals pollution at Sharkia province, Egypt. Reg. Stud. Mar. Sci. 2021, 46, 101863. [Google Scholar] [CrossRef]
- Kujawa, R.; Furgała-Selezniow, G.; Mamcarz, A.; Lach, M.; Kucharczyk, D. Influence of temperature on the growth and survivability of sichel larvae Pelecuscultratus reared under controlled conditions. Ichthyol. Res. 2015, 62, 163–170. [Google Scholar] [CrossRef]
- Kujawa, R.; Lach, M.; Pol, P.; Ptaszkowski, M.; Mamcarz, A.; Nowosad, J.; Furgała-Selezniow, G.; Kucharczyk, D. Influence of water salinity on the survival of embryos and growth of the sichel larvae Pelecuscultratus (L.) under controlled conditions. Aquac. Res. 2017, 48, 1302–1314. [Google Scholar] [CrossRef]
- Kolosyuk, G.G.; Izherskaya, V.A. Sabrefish distribution in Northern Caspian and factors influencing its concentrations during the summer season. Vestn. ASTUSer. Fish. Ind. 2017, 1, 26–34. (In Russian) [Google Scholar] [CrossRef]
- Karabanov, D.P.; Pavlov, D.D.; Bazarov, M.I.; Borovikova, E.A.; Gerasimov, Y.V.; Kodukhova, Y.V.; Smirnov, A.K.; Stolbunov, I.A. Alien species of fish in the littoral of Volga and Kama reservoirs (Results of complex expeditions of IBIW RAS in 2005–2017). Trans. IBIW RAS 2018, 82, 67–80. [Google Scholar] [CrossRef]
- Solomatin, Y.I.; Bazarov, M.I. Density of the Fish Population in River Channel Parts of the Ivankovo Reservoir in 2012–2015. Inland Water Biol. 2018, 11, 359–362. [Google Scholar] [CrossRef]
- Flerova, E.A.; Malin, M.I.; Klyuchnikov, A.S.; Payuta, A.A.; Bogdanova, A.A.; Andreeva, M.I. Species composition and biological characteristics of small river fishes of the state natural order “Yaroslavsky”. Trans. IBIW RAS 2019, 86, 80–89. (In Russian) [Google Scholar] [CrossRef]
- Năstase, A.; Honț, S.; Iani, M.; Paraschiv, M.; Cernișencu, I.; Năvodaru, I. Ecological status of fish fauna from Razim Lake and the adjacent area, the Danube Delta Biosphere Reserve, Romania. Acta Ichthyol. Piscat. 2022, 52, 43–52. [Google Scholar] [CrossRef]
- Tatrai, I.; Herzig, A. Effect of habitat structure on the feeding efficiency of young stages of razor fish (Pelecuscultratus (L.)): An experimental approach. Hydrobiologia 1995, 299, 75–81. [Google Scholar] [CrossRef]
- Liu, Z.; Herzig, A. Food and feeding behaviour of a planktivorous cyprinid, Pelecuscultratus (L.), in a shallow eutrophic lake, Neusiedler See (Austria). Hydrobiologia 1996, 333, 71–77. [Google Scholar] [CrossRef]
- Naumenko, E.N.; Khlopnikov, M.M.; Rudynskaya, L.V. Energy flows in the Vistula Lagoon of the Baltic Sea. J. SibFUBiol. 2012, 5, 184–202. (In Russian) [Google Scholar]
- Payuta, A.A.; Flerova, E.A. Some indicators of metabolism in the muscles, liver, and gonads of pike-perch Sander lucioperca and sichel Pelecuscultratus from the Gorky Reservoir. J. Ichthyol. 2019, 59, 255–262. [Google Scholar] [CrossRef]
- Payuta, A.A.; Bogdanova, A.A.; Flerova, E.A.; Miroshnichenko, D.A.; Malin, M.I.; Andreeva, M.I. Chemical composition of fish muscle of small rivers of the Yaroslavl region. Vestn. ASTU Ser. Fish. Ind. 2019, 1, 112–121. (In Russian) [Google Scholar] [CrossRef]
- Curtean-Bănăduc, A.; Cismaș, I.-C.; Bănăduc, D. Pelecuscultratus (Linnaeus, 1758) on site management decisions support system—A Carpathian Natura 2000 site study case. Rom. J. Biol. Zool. 2015, 60, 27–37. [Google Scholar]
- Kujawa, R.; Kucharczyk, D.; Furgała–Selezniow, G.; Mamcarz, A.; Ptaszkowski, M.; Mateuszj, M. Substitution of natural food with artificial feed during rearing larvae of Sichel Pelecuscultratus (L.) under controlled conditions. Turk. J. Fish. Aquat. Sci. 2016, 16, 643–650. [Google Scholar] [CrossRef]
- Traczuk, P.; Kalinowska, K.; Ulikowski, D.; Kapusta, A. Protected and alien fish species in Polish lakes in 2014–2021. Ecohydrology. Hydrobiol. 2023, in press. [Google Scholar] [CrossRef]
- Falandysz, J.; Chwir, A.; Wyrzykowska, B. Total mercury contamination of some fish species in the firth of Vistula and the lower Vistula river, Poland. Pol. J. Environ. Stud. 2000, 9, 335–339. [Google Scholar]
- Nowosad, J.; Sieszputowska, J.; Kucharczyk, D.; Łuczyńska, J.; Sikora, M.; Kujawa, R. Dynamics of mercury content in adult sichel (Pelecuscultratus L.) tissues from the Baltic Sea before and during spawning. Mar. Environ. Res. 2019, 14, 75–80. [Google Scholar] [CrossRef]
- Tyutin, A.V.; Medyantseva, E.N.; Gremyachikh, V.A.; Komov, V.T. Host—Parasite relationships in the plerocercoids of Ligula intestinalis (L.) (Cestoda: Pseudophyllidea)—Carp fish system and the mercury accumulation in the muscles of hosts. Parazitologiya 2019, 53, 241–250. (In Russian) [Google Scholar] [CrossRef]
- Zarei, M.; Asadi, A.; Zarei, S.M. Levels of some heavy metal concentration in fishes tissue of southern Caspian Sea. Int. J. Phys. Sci. 2011, 6, 6220–6225. [Google Scholar] [CrossRef]
- Zubcova, E.; Zubcova, N.; Bileţchi, L.; Bulat, D.; Bulat, D. Monitoring the accumulation of heavy metals in fish products. In Fiziologiaşisănătatea; Furdui, T., Lacusta, V., Vovc, V., Ciochină, V., Eds.; Materialelecongresului VII al fi ziologilor din Republica Moldova: Chișinău, Republic of Moldova, 2012; pp. 395–400. (In Russian) [Google Scholar]
- Arshanitsa, N.M.; Grebtsov, M.R.; Stekolnikov, A.A. The content of metals in muscle tissue of fish from some waterbodies of the North-West of Russia. Int. Bull. Vet. Med. 2016, 3, 57–63. (In Russian) [Google Scholar]
- Subotić, S.; Višnjić-Jeftić, Ž.; Spasić, S.; Hegediš, A.; Krpo-Ćetković, J.; Lenhardt, M. Concentrations of 18 elements in muscle, liver, gills, and gonads of Sichel (Pelecuscultratus), ruffe (Gymnocephaluscernua), and European perch (Percafluviatilis) in the Danube River near Belgrade (Serbia). Water Air Soil. Pollut. 2015, 226, 287. [Google Scholar] [CrossRef]
- Gerasimov, Y.V.; Brazhnik, S.Y.; Strelnikov, A.S. Dynamics of structural parameters of populations of the bream Abramis brama (Cyprinidae) in Rybinsk Reservoir in 1954–2007. J. Ichthyol. 2010, 50, 465–474. [Google Scholar] [CrossRef]
- Lazareva, V.I.; Sokolova, E.A. Metazooplankton of the plain reservoir during climate warming: Biomass and production. Inland Water Biol. 2015, 8, 250–258. [Google Scholar] [CrossRef]
- Avakyan, A.B.; Litvinov, A.S.; Riv’er, I.K. Sixty Year’s Experience in Operating the Rybinsk Reservoir. Water Resour. 2002, 29, 1–11. [Google Scholar] [CrossRef]
- Sakharova, E.G.; Korneva, L.G. Influence of Temperature and Water Level on the Phytoplankton in the Estuarine Zone of the Rybinsk Reservoir Tributary. Inland Water Biol. 2019, 12, 25–32. [Google Scholar] [CrossRef]
- Mineeva, N.M.; Makarova, O.S. Chlorophyll content as an indicator of the modern (2015–2016) trophic state of Volga River reservoirs. Inland Water Biol. 2018, 11, 367–370. [Google Scholar] [CrossRef]
- Perova, S.N. Taxonomic composition and abundance of macrozoobenthos in the Rybinsk Reservoir at the beginning of the 21st century. Inland Water Biol. 2012, 5, 199–207. [Google Scholar] [CrossRef]
- Gerasimov, Y.V.; Strelnikov, A.S.; Brazhnik, S.Y. Dynamics and the state of fishery resources in the Rybinsk Reservoir from 1950–2010. J. Ichthyol. 2013, 53, 486–498. [Google Scholar] [CrossRef]
- Gerasimov, Y.V. Population dynamics of the Rybinsk reservoir Fishes throughout the whole period of its existence: Role of natural and anthropogenic factors. VNIRO Proc. 2015, 156, 67–90. (In Russian) [Google Scholar]
- Chuiko, G.M.; Tomilina, I.I.; Brodsky, E.S.; Shelepchikov, A.A.; Mir-Kadyrova, E.Y.; Pavlov, D.F.; Tillitt, D.E. Accumulation of polychlorinated biphenyls (PCB) associated with bottom sediments in larvae of Chironomus riparius Meigen. Limnologica 2021, 90, 125912. [Google Scholar] [CrossRef]
- Konyukhov, Y.V. Heavy-metal extraction from wastewater by means of iron nanopowder. Steel Transl. 2018, 48, 135–141. [Google Scholar] [CrossRef]
- Tomilina, I.I.; Lozhkina, R.A.; Gapeeva, M.V. Toxicity of Bottom Sediments of the Rybinsk Reservoir According to Long-Term Biotesting Data: Report 1. Toxicological Studies. Inland Water Biol. 2021, 14, 777–787. [Google Scholar] [CrossRef]
- Lozhkina, R.A.; Tomilina, I.I.; Gapeeva, M.V. Long-term dynamics of the water quality in the Rybinsk reservoir according to biotesting. Ecosyst. Transform. 2020, 3, 48–61. [Google Scholar] [CrossRef]
- Shapovalov, D.A.; Gruzdev, V.S.; Vedeshin, L.A. Ecological monitoring of plant “Severstal” (North Steel) technological wastes on ecosystems of water protection zone of Rybin Reservoir within the Sheksna stretch of open water. Ecol. Syst. Devices 2007, 8, 18–25. (In Russian) [Google Scholar]
- Lapirova, T.B.; Zabotkina, E.A. Comparative analysis of the indices of immunophysiological state in bream (Abramis brama (L.)) from parts of the Rybinsk Reservoir with different extents of pollution. Inland Water Biol. 2010, 3, 181–186. [Google Scholar] [CrossRef]
- Tomilina, I.I.; Grebenyuk, L.P.; Chuiko, G.M. Toxicological and teratogenic assessment of bottom sediments from the Rybinsk Reservoir. Inland Water Biol. 2011, 4, 373–382. [Google Scholar] [CrossRef]
- Silkina, N.I.; Mikryakov, D.V.; Mikryakov, V.R. Effect of anthropogenic pollution on oxidative processes in the liver of fish from the Rybinsk Reservoir. Russ. J. Ecol. 2012, 43, 386–389. [Google Scholar] [CrossRef]
- Golovanova, I.L.; Filippov, A.A.; Chuiko, G.M. Effects of heavy metals (Cu and Zn) on digestive glycosidases in benthivorous fish of areas of Rybinsk Reservoir differing in anthropogenic loads. Inland Water Biol. 2014, 7, 286–293. [Google Scholar] [CrossRef]
- Klimova, Y.S.; Chuiko, G.M.; Gapeeva, M.V.; Pesnya, D.S. The use of biomarkers of oxidative stress in zebra mussel Dreissena polymorpha (Pallas, 1771) for chronic anthropogenic pollution assessment of the Rybinsk Reservoir. Contemp. Probl. Ecol. 2017, 10, 178–183. [Google Scholar] [CrossRef]
- Klimova, Y.S.; Chuiko, G.M.; Gapeeva, M.V.; Pesnya, D.S.; Ivanova, E.I. The Use of Oxidative Stress Parameters of Bivalve Mollusks Dreissena Polymorpha (Pallas, 1771) as Biomarkers for Ecotoxicological Assessment of Environment. Inland Water Biol. 2019, 12, 88–95. [Google Scholar] [CrossRef]
- Shcherbina, G.K. Comparative Analysis of the Feeding Spectrum of Bream Abramis brama L. (Cyprinidae, Pisces) in Different Areas of the Rybinsk Reservoir. Inland Water Biol. 2021, 14, 590–596. [Google Scholar] [CrossRef]
- Kozlovskaya, V.I.; German, A.V. Polychlorinated biphenyls and polyaromatic hydrocarbons in the ecosystem of the Rybinskoe Reservoir. Water Resour. 1997, 24, 520–526. [Google Scholar]
- Gapeeva, M.V. Heavy metals in water and sediments of the Rybinsk reservoir. Water Chem. Ecol. 2013, 5, 3–7. (In Russian) [Google Scholar]
- Kilkenny, C.; Browne, W.J.; Cuthill, I.C.; Emerson, M.; Altman, D.G. Improving Bioscience Research Reporting: The ARRIVE Guidelines for Reporting Animal Research. PLoS Biol. 2010, 8, e1000412. [Google Scholar] [CrossRef] [PubMed]
- Cundiff, P. Official Methods of Analysis, 16th ed.; Association of Official Analytical Chemists (AOAC): Arlington, VA, USA, 1995. [Google Scholar]
- Elumalai, V.; Brindha, K.; Lakshmanan, E. Human Exposure Risk Assessment Due to Heavy Metals in Groundwater by Pollution Index and Multivariate Statistical Methods: A Case Study from South Africa. Water 2017, 9, 234. [Google Scholar] [CrossRef]
- Vu, C.T.; Lin, C.; Yeh, G.; Villanueva, M.C. Bioaccumulation and potential sources of heavy metal contamination in fish species in Taiwan: Assessment and possible human health implications. Environ. Sci. Pollut. Res. 2017, 24, 19422–19434. [Google Scholar] [CrossRef] [PubMed]
- Ahmed, A.S.S.; Rahman, M.; Sultana, S.; Babu, S.M.O.F.; Sarker, M.S.I. Bioaccumulation and heavy metal concentration in tissues of some commercial fishes from the Meghna River Estuary in Bangladesh and human health implications. Mar. Pollut. Bull. 2019, 145, 436–447. [Google Scholar] [CrossRef] [PubMed]
- Traina, A.; Bono, G.; Bonsignore, M.; Falco, F.; Giuga, M.; Quinci, E.M.; Vitale, S.; Sprovieri, M. Heavy Metals Concentrations in Some Commercially Key Species from Sicilian Coasts (Mediterranean Sea): Potential Human Health Risk Estimation. Ecotoxicol. Environ. Saf. 2019, 168, 466–478. [Google Scholar] [CrossRef]
- Botwe, B.O. Heavy metal concentrations in five fish species from the Gulf of Guinea and their human health implications. Reg. Stud. Mar. Sci. 2021, 44, 101763. [Google Scholar] [CrossRef]
- Ab Manan, W.N.A.; Zulkifli, N.N. Evaluation of heavy metals content in different local brands of bottled drinking water. ESTEEM Acad. J. 2021, 17, 47–55. [Google Scholar]
- Barone, G.; Storelli, A.; Garofalo, R.; Mallamaci, R.; Storelli, M.M. Residual Levels of Mercury, Cadmium, Lead and Arsenic in Some Commercially Key Species from Italian Coasts (Adriatic Sea): Focus on Human Health. Toxics 2022, 10, 223. [Google Scholar] [CrossRef] [PubMed]
- Tomilina, I.I.; Grebenyuk, L.P.; Lozhkina, R.A. Toxicity of Bottom Sediments of the Rybinsk Reservoir According to Long-Term Biotesting Data. Part 2. Teratological Studies. Inland Water Biol. 2022, 15, 68–79. [Google Scholar] [CrossRef]
- Payuta, A.A.; Pryanichnikova, E.G.; Shcherbina, G.K.; Perova, S.N.; Flerova, E.A. Physiological parameters of bream (Abramis brama L.) in parts of the Rybinsk Reservoir of different types. Inland Water Biol. 2019, 12, 217–224. [Google Scholar] [CrossRef]
- Golovanova, I.L. Effects of heavy metals on the physiological and biochemical status of fishes and aquatic invertebrates. Inland Water Biol. 2008, 1, 93–101. [Google Scholar] [CrossRef]
- Moiseenko, T.I.; Kudryavtseva, L.P.; Gashkina, N.A. Assessment of the geochemical background and anthropogenic load by bioaccumulation of microelements in fish. Water Resour. 2005, 32, 640–652. [Google Scholar] [CrossRef]
- Sheikhzadeh, H.; Hamidian, A.H. Bioaccumulation of Heavy Metals in Fish Species of Iran: A Review. Environ. Geochem. Health 2021, 43, 3749–3869. [Google Scholar] [CrossRef]
- Özparlak, H.; Arslan, G.; Arslan, E. Determination of some metal levels in muscle tissue of nine fish species from the Beyşehir Lake, Turkey. Turk. J. Fish. Aquat. Sci. 2012, 12, 761–770. [Google Scholar] [CrossRef]
- Al-Najjar, T.; Al-Momani, R.; Khalaf, M.; Wahsha, M.; Sbaihat, M.; Khalaf, N.; Abu Khadra, K.; Magames, H. Levels of heavy metals in fishes (Cheilinustrilobatus) from the Gulf of Aqaba, Jordan. Nat. Sci. 2016, 8, 256. [Google Scholar] [CrossRef][Green Version]
- Bawuro, A.; Voegborlo, R.; Adimado, A. Bioaccumulation of heavy metals in some tissues of fish in Lake Geriyo, Adamawa State, Nigeria. J. Environ. Public Health 2018, 2018, 1854892. [Google Scholar] [CrossRef]
- El-Hak, H.N.G.; Ghobashy, M.A.; Mansour, F.A.; El-Shenawy, N.S.; El-Din, M.I.S. Heavy metals and parasitological infection associated with oxidative stress and histopathological alteration in the Clariasgariepinus. Ecotoxicology 2022, 31, 1096–1110. [Google Scholar] [CrossRef] [PubMed]
- Dural, M.; Göksu, M.L.; Özak, A.A.; Derici, B. Bioaccumulation of some heavy metals in different tissues of Dicentrarchuslabrax L., 1758, Sparus aurata L., 1758 and Mugil cephalus L., 1758 from the Camlik lagoon of the eastern cost of mediterranean (Turkey). Environ. Monit. Assess. 2006, 118, 65–74. [Google Scholar] [CrossRef] [PubMed]
- Fazio, F.; D’Iglio, C.; Capillo, G.; Saoca, C.; Peycheva, K.; Piccione, G.; Makedonski, L. Environmental Investigations and Tissue Bioaccumulation of Heavy Metals in Grey Mullet from the Black Sea (Bulgaria) and the Ionian Sea (Italy). Animals 2020, 10, 1739. [Google Scholar] [CrossRef]
- Aparna, C.A.; Singh, P.K. Estimation of toxic, trace and essential metals (Pb, cd, Fe, Zn, Mn, Cu, Mg, K) in fruit and vegetable product (jam, ketchup, pickles) by atomic absorption spectrophotometer. Pharma Innov. J. 2018, 7, 313–317. [Google Scholar]
- Zoroddu, M.A.; Aaseth, J.; Crisponi, G.; Medici, S.; Peana, M.; Nurchi, V.M. The essential metals for humans: A brief overview. J. Inorg. Biochem. 2019, 195, 120–129. [Google Scholar] [CrossRef]
- Abadi, D.R.V.; Dobaradaran, S.; Nabipour, I.; Lamani, X.; Ravanipour, M.; Tahmasebi, R.; Nazmara, S. Comparative Investigation of Heavy Metal, Trace, and Macro Element Contents in Commercially Valuable Fish Species Harvested off from the Persian Gulf. Environ. Sci. Pollut. Res. Int. 2015, 22, 6670–6678. [Google Scholar] [CrossRef]
- Rakocevic, J.; Sukovic, D.; Maric, D. Distribution and relationships of eleven trace elements in muscle of six fish species from Skadar Lake (Montenegro). Turk. J. Fish. Aquat. Sci. 2018, 18, 647–657. [Google Scholar] [CrossRef]
- Baki, M.A.; Hossain, M.M.; Akter, J.; Quraishi, S.B.; Shojib, M.F.H.; Ullah, A.A.; Khan, M.F. Concentration of heavy metals in seafood (fishes, shrimp, lobster and crabs) and human health assessment in Saint Martin Island, Bangladesh. Ecotoxicol. Environ. Saf. 2018, 159, 153–163. [Google Scholar] [CrossRef] [PubMed]
- Garai, P.; Banerjee, P.; Mondal, P.; Chandra Saha, N. Effect of heavy metals on fishes: Toxicity and bioaccumulation. J. Toxicol. Clin. Toxicol. 2021, 11, S18. [Google Scholar]
- Ersoy, B.; Çelik, M. Essential elements and contaminants in tissues of commercial pelagic fish from the Eastern Mediterranean Sea. J. Sci. Food Agric. 2009, 89, 1615–1621. [Google Scholar] [CrossRef]
- Soetan, K.O.; Olaiya, C.O.; Oyewole, O.E. The importance of mineral elements for humans, domestic animals and plants: A review. Afr. J. Food Sci. 2010, 4, 200–222. [Google Scholar]
- Adewumi, A.A.; Adewole, H.A.; Olaleye, V.F. Proximate and elemental composition of the fillets of some fish species in Osinmo Reservoir, Nigeria. ABJNA 2014, 5, 109–117. [Google Scholar] [CrossRef]
- Stancheva, M.; Makedonski, L.; Peycheva, K. Determination of heavy metal concentrations of most consumed fish species from Bulgarian Black Sea coast. Bulg. Chem. Commun. 2014, 46, 195–203. [Google Scholar]
- Simionov, I.A.; Cristea, V.; Petrea, S.M.; Mogodan, A.; Nicoara, M.; Baltag, E.S.; Strungaru, S.A.; Faggio, C. Bioconcentration of essential and nonessential elements in Black Sea turbot (Psetta Maxima Maeotica Linnaeus, 1758) in relation to fish gender. J. Mar. Sci. Eng. 2019, 7, 466. [Google Scholar] [CrossRef]
- El-Faer, M.Z.; Rawdah, T.N.; Attar, K.M.; Arab, M. Mineral and proximate composition of some commercially important fish of the Arabian Gulf. Food Chem. 1992, 45, 95–98. [Google Scholar] [CrossRef]
- Gu, Y.-G.; Lin, Q.; Wang, X.-H.; Du, F.-Y.; Yu, Z.-L.; Huang, H.-H. Heavy metal concentrations in wild fishes captured from the South China Sea and associated health risks. Mar. Pollut. Bull. 2015, 96, 508–512. [Google Scholar] [CrossRef]
- Hassan, A.H.; Al-Zanbagi, N.A.; Al-Nabati, E.A. Impact of nematode helminthes on metal concentrations in the muscles of Koshar fish, Epinephelussummana, in Jeddah, Saudi Arabia. J. Basic Appl. Zool. 2016, 74, 56–61. [Google Scholar] [CrossRef][Green Version]
- El Shehawy, S.M.; Gab-Alla, A.A.; Mutwally, H.M. Proximate and elemental composition of important fish species in Makkah central fish market, Saudi Arabia. Food Nutr. Sci. 2016, 7, 429–439. [Google Scholar] [CrossRef]
- Yilmaz, A.B. Levels of heavy metals (Fe, Cu, Ni, Cr, Pb, and Zn) in tissue of Mugil cephalus and Trachurus mediterraneus from Iskenderun Bay, Turkey. Environ. Res. 2003, 92, 277–281. [Google Scholar] [CrossRef]
- Okoro, D.; Olaleye, V.F.; Djeresa, J.O. Bioaccumulation of nickel, lead, copper, mercury and cadmium in tissues and organs of Ethmalosa fimbriata from the Forcados River, Niger-Delta, Nigeria. Glob. J. Pure Appl. Sci. 2007, 13, 339–346. [Google Scholar] [CrossRef]
- Chi, Q.; Zhu, G.; Langdon, A. Bioaccumulation of Heavy Metals in Fishes from Taihu Lake, China. J. Environ. Sci. 2007, 19, 1500–1504. [Google Scholar] [CrossRef] [PubMed]
- Alkan, N.; Alkan, A.; Gedik, K.; Fisher, A. Assessment of metal concentrations in commercially important fish species in Black Sea. Toxicol. Ind. Health 2016, 32, 447–456. [Google Scholar] [CrossRef]
- Sarker, M.; Islam, M.; Rahman, F.; Anisuzzaman, M. Heavy Metals in the Fish Tenualosailisha Hamilton, 1822 in the Padma–Meghna River Confluence: Potential Risks to Public Health. Toxics 2021, 9, 341. [Google Scholar] [CrossRef]
- Payuta, A.A.; Flerova, E.A.; Zaitseva, Y.V. Heavy metal content in muscle tissue of pikeperch Sander lucioperca in different reaches of Rybinsk reservoir. Vestn. ASTUSer. Fish. Ind. 2022, 4, 135–142. [Google Scholar] [CrossRef]
- Wu, D.; Feng, H.; Zou, Y.; Xiao, J.; Zhang, P.; Ji, Y.; Lek, S.; Guo, Z.; Fu, Q. Feeding Habit-Specific Heavy Metal Bioaccumulation and Health Risk Assessment of Fish in a Tropical Reservoir in Southern China. Fishes 2023, 8, 211. [Google Scholar] [CrossRef]
- Mensoor, M.; Said, A.M. Determination of Heavy Metals in Freshwater Fishes of the Tigris River in Baghdad. Fishes 2018, 3, 23. [Google Scholar] [CrossRef]
- Bhat, I.A.; Dar, J.Y.; Ahmad, I.; Mir, I.N.; Bhat, H.; Bhat, R.A.H.; Ganie, P.A.; Sharma, R. Testicular development and spermatogenesis in fish: Insights into molecular aspects and regulation of gene expression by different exogenous factors. Rev. Aquac. 2021, 13, 2142–2168. [Google Scholar] [CrossRef]
- Shovon, M.N.H.; Majumdar, B.C.; Rahman, Z. Heavy metals (Lead, Cadmium and Nickel) concentration in different organs of three commonly consumed fishes in Bangladesh. Fish. Aquac. J. 2017, 8, 1000207. [Google Scholar] [CrossRef]
- Gomaa, M.; Abou-Arab, A.A.K.; Badawy, A.; Khayria, N. Distribution pattern of some heavy metals in Egyptian fish organs. Food Chem. 1995, 53, 385–389. [Google Scholar] [CrossRef]
- Yilmaz, A.B.; Dogan, M. Heavy metals in water and in tissues of Himri (Carasobarbus luteus) from Orontes (Asi) River, Turkey. Environ. Monit. Assess. 2008, 144, 437–444. [Google Scholar] [CrossRef]
- Asare, M.L.; Cobbina, S.J.; Akpabey, F.J.; Duwiejuah, A.B.; Abuntori, Z.N. Heavy metal concentration in water, sediment and fish species in the bontanga reservoir, Ghana. Toxicol. Environ. Health Sci. 2018, 10, 49–58. [Google Scholar] [CrossRef]
- Tahity, T.; Islam, M.R.U.; Bhuiyan, N.Z.; Choudhury, T.R.; Yu, J.; Noman, M.A.; Hosen, M.M.; Quraishi, S.B.; Paray, B.A.; Arai, T.; et al. Heavy Metals Accumulation in Tissues of Wild and Farmed Barramundi from the Northern Bay of Bengal Coast, and Its Estimated Human Health Risks. Toxics 2022, 10, 410. [Google Scholar] [CrossRef] [PubMed]
- Tanhan, P.; Lansubsakul, N.; Phaochoosak, N.; Sirinupong, P.; Yeesin, P.; Imsilp, K. Human Health Risk Assessment of Heavy Metal Concentration in Seafood Collected from Pattani Bay, Thailand. Toxics 2023, 11, 18. [Google Scholar] [CrossRef]
- Hilal, A.A.; Ismail, N.S. Heavy Metals in Eleven Common Species of Fish from the Gulf of Aqaba, Red Sea. Jordan J. Biol. Sci. 2008, 1, 13–18. [Google Scholar]
- Kadiyani, Y.; Teraiya, S. Studies on changes of magnesium, phosphorus and iron content in white and red muscles of fishes. Life Sci. Leafl. 2013, 9, 1–11. [Google Scholar]
- Al-Najjar, T.; Khalaf, N.; Allawi, M.; Disi, A. Levels of Trace Metals in Two Fish Species (Caesiovarilineata and Caesiolunaris) of the Family Caesionidae from the Gulf of Aqaba, Red Sea. Fresen. Environ. Bull. 2012, 21, 1152–1157. [Google Scholar]
- Yeltekin, A.Ç.; Oğuz, A.R. Some macro and trace elements in various tissues of Van fish variations according to gender and weight. Arq. Bras. Med. Vet. Zootec. 2018, 70, 231–237. [Google Scholar] [CrossRef]
- Chen, Y.C.; Chen, M.H. Heavy metal concentrations in nine species of fishes caught in coastal waters off Ann-Ping, SW Taiwan. J. Food Drug Anal. 2001, 9, 107–114. [Google Scholar] [CrossRef]
- Mahjoub, M.; Fadlaoui, S.; El Maadoudi, M.; Smiri, Y. Mercury, Lead, and Cadmium in the Muscles of Five Fish Species from the Mechraa-Hammadi Dam in Morocco and Health Risks for Their Consumers. J. Toxicol. 2021, 2021, 8865869. [Google Scholar] [CrossRef]
- Begum, A.; Amin, M.N.; Kaneco, S.; Ohta, K. Selected elemental composition of the muscle tissue of three species of fish, Tilapia nilotica, Cirrhinamrigala and Clariusbatrachus, from the fresh water Dhanmondi Lake in Bangladesh. Food Chem. 2005, 93, 439–443. [Google Scholar] [CrossRef]
- Madhusudan, S.; Liyaquat, F.; Nadim, C. Bioaccumulation of zinc and cadmium in freshwater fishes. IndianJ. Fish. 2003, 50, 53–65. [Google Scholar]
- Chouchene, L.; Pellegrini, E.; Gueguen, M.-M.; Hinfray, N.; Brion, F.; Piccini, B.; Kah, O.; Saïd, K.; Messaoudi, I.; Pakdel, F. Inhibitory effect of cadmium on estrogen signaling in zebrafish brain and protection by zinc. J. Appl. Toxicol. 2016, 36, 863–871. [Google Scholar] [CrossRef]
- Rezaei, H.; Zarei, A.; Kamarehie, B.; Jafari, A.; Fakhri, Y.; Bidarpoor, F.; Karami, M.A.; Farhang, M.; Ghaderpoori, M.; Sadeghi, H. Levels, Distributions and Health Risk Assessment of Lead, Cadmium and Arsenic Found in Drinking Groundwater of Dehgolan’s Villages, Iran. Toxicol. Environ. Health Sci. 2019, 11, 54–62. [Google Scholar] [CrossRef]
- Saha, N.; Mollah, M.; Alam, M.; Rahman, M.S. Seasonal investigation of heavy metals in marine fishes captured from the Bay of Bengal and the implications for human health risk assessment. Food Control 2016, 70, 110–118. [Google Scholar] [CrossRef]
- Bamuwamye, M.; Ogwok, P.; Tumuhairwe, V. Cancer and Non-Cancer Risks Associated with Heavy Metal Exposures from Street Foods, Evaluation of Roasted Meats in an Urban Setting. J. Environ. Pollut. Hum. Health 2015, 3, 24–30. [Google Scholar] [CrossRef]
- Kakar, A.; Hayat, M.T.; Abbasi, A.M.; Pervez, A.; Mahmood, Q.; Farooq, U.; Akbar, T.A.; Ali, S.; Rizwan, M.; El-Serehy, H.A.; et al. Risk Assessment of Heavy Metals in Selected Marine Fish Species of Gadani Shipbreaking Area and Pakistan. Animals 2020, 10, 1738. [Google Scholar] [CrossRef] [PubMed]
- Sinitsyn, I.S. Spatial and Age Peculiarities of Ecology-Caused Diseases of the Yaroslavl Region Population. Yarosl. Pedagog. Bull. 2011, 3, 160–164. (In Russian) [Google Scholar]
- Modestov, A.A.; Safontsev, I.P.; Zukov, R.A.; Slepov, E.V.; Klimenok, M.P.; Gaas, E.N. Cancer incidence in the Krasnoyarsk Krai. Russ. J. Oncol. 2016, 21, 76–80. [Google Scholar] [CrossRef]





| Sampling Station | n | Fish Length, cm | Fish Weight, g | Fish Weight without Entrails, g |
|---|---|---|---|---|
| 1 | 7 | 32.7 ± 2.1 | 425 ± 85 | 368 ± 66 |
| 2 | 10 | 25.4 ± 0.8 | 175 ± 17 | 157 ± 16 |
| 3 | 12 | 23.7 ± 0.4 | 129 ± 7 | 117 ± 6 |
| 4 | 10 | 26.8 ± 1.2 | 208 ± 31 | 190 ± 29 |
| Organs | Sampling Station | n | Cd | Pb | Zn | Cu | Mn | Fe | Mg | K |
|---|---|---|---|---|---|---|---|---|---|---|
| Muscles | 1 | 7 | 0.003 ± 0.001 a | 0.016 ± 0.004 | 9.33 ± 1.72 | 1.15 ± 0.98 | 0.52 ± 0.13 | 8.49 ± 3.63 | 0.64 ± 0.03 a | 2628 ± 390 a |
| 2 | 10 | 0.004 ± 0.001 | 0.025 ± 0.007 | 10.11 ± 2.42 | 1.08 ± 0.88 | 0.87 ± 0.26 | 12.05 ± 8.21 | 1.30 ± 0.31 | 6157 ± 826 b | |
| 3 | 12 | 0.006 ± 0.002 | 0.046 ± 0.014 | 10.00 ± 2.79 | 0.79 ± 0.32 | 0.65 ± 0.34 | 9.71 ± 6.45 | 1.86 ± 0.87 b | 5350 ± 2147 | |
| 4 | 10 | 0.010 ± 0.004 b | 0.044 ± 0.006 | 9.71 ± 1.62 | 0.75 ± 0.43 | 0.81 ± 0.42 | 9.13 ± 4.42 | 1.04 ± 0.40 | 4756 ± 2331 | |
| Liver | 1 | 7 | 0.007 ± 0.002 | 0.022 ± 0.006 | 16.03 ± 2.22 | 4.03 ± 0.63 a | 1.19 ± 0.33 | 100.56 ± 57.54 | 0.58 ± 0.17 | 5570 ± 1798 |
| 2 | 10 | 0.011 ± 0.003 | 0.034 ± 0.006 | 22.08 ± 1.48 | 5.17 ± 0.56 | 1.66 ± 0.19 | 151.25 ± 13.39 | 1.06 ± 0.06 | 9051 ± 1774 | |
| 3 | 12 | 0.016 ± 0.003 | 0.045 ± 0.036 | 27.95 ± 3.83 a | 7.70 ± 0.53 b | 2.40 ± 0.67 a | 196.22 ± 28.0 | 1.12 ± 0.30 | 9083 ± 3873 | |
| 4 | 10 | 0.026 ± 0.012 | 0.070 ± 0.017 | 14.17 ± 2.87 b | 4.73 ± 0.80 | 1.04 ± 0.31 b | 117.04 ± 19.81 | 0.44 ± 0.06 | 4563 ± 1056 | |
| Gonads | 1 | 6 | 0.011 ± 0.003 | 0.003 ± 0.000 | 20.23 ± 4.50 | 0.31 ± 0.25 a | 1.87 ± 1.48 | 125.06 ± 39.26 a | 1.92 ± 0.75 | 11,224 ± 168 |
| 2 | 10 | 0.016 ± 0.005 | 0.005 ± 0.001 | 10.63 ± 1.28 | 1.19 ± 0.09 | 2.51 ± 0.48 | 6.93 ± 1.01 b | 0.39 ± 0.02 | 5622 ± 1984 | |
| 3 | 10 | 0.024 ± 0.007 | 0.007 ± 0.006 | 19.11 ± 11.48 | 1.55 ± 0.21 b | 3.19 ± 0.51 | 15.38 ± 1.55 | 0.66 ± 0.34 | 4186 ± 1236 | |
| 4 | 9 | 0.040 ± 0.016 | 0.010 ± 0.001 | 10.10 ± 2.33 | 1.19 ± 0.10 | 1.61 ± 0.88 | 16.12 ± 14.72 | 0.35 ± 0.04 | 4249 ± 918 |
| Organs | Sampling Station | n | THQ | HI | |||||
|---|---|---|---|---|---|---|---|---|---|
| Cd | Pb | Zn | Cu | Mn | Fe | ||||
| Muscles | 1 | 7 | 0.001 | 0.001 | 0.006 | 0.006 | 0.001 | 0.002 | 0.017 |
| 2 | 10 | 0.001 | 0.001 | 0.007 | 0.005 | 0.001 | 0.003 | 0.019 | |
| 3 | 12 | 0.001 | 0.002 | 0.007 | 0.004 | 0.001 | 0.003 | 0.018 | |
| 4 | 10 | 0.002 | 0.003 | 0.007 | 0.004 | 0.001 | 0.003 | 0.019 | |
| Liver | 1 | 7 | 0.001 | 0.001 | 0.011 | 0.020 | 0.002 | 0.029 | 0.065 |
| 2 | 10 | 0.002 | 0.002 | 0.015 | 0.026 | 0.002 | 0.044 | 0.091 | |
| 3 | 12 | 0.003 | 0.003 | 0.019 | 0.039 | 0.003 | 0.057 | 0.124 | |
| 4 | 10 | 0.005 | 0.004 | 0.010 | 0.024 | 0.002 | 0.034 | 0.078 | |
| Gonads | 1 | 6 | 0.002 | 0.000 | 0.014 | 0.002 | 0.003 | 0.036 | 0.057 |
| 2 | 10 | 0.003 | 0.000 | 0.007 | 0.006 | 0.004 | 0.002 | 0.022 | |
| 3 | 10 | 0.005 | 0.000 | 0.013 | 0.008 | 0.005 | 0.004 | 0.035 | |
| 4 | 9 | 0.008 | 0.001 | 0.007 | 0.006 | 0.002 | 0.005 | 0.029 | |
| Organs | Sampling Station | n | Cd | Pb |
|---|---|---|---|---|
| Muscles | 1 | 7 | 8.32 × 10−6 | 2.77 × 10−8 |
| 2 | 10 | 1.33 × 10−5 | 4.39 × 10−8 | |
| 3 | 12 | 1.94 × 10−5 | 6.76 × 10−8 | |
| 4 | 10 | 3.02 × 10−5 | 7.53 × 10−8 | |
| Liver | 1 | 7 | 2.08 × 10−5 | 3.71 × 10−8 |
| 2 | 10 | 3.30 × 10−5 | 5.88 × 10−8 | |
| 3 | 12 | 4.72 × 10−5 | 7.77 × 10−8 | |
| 4 | 10 | 7.84 × 10−5 | 1.21 × 10−7 | |
| Gonads | 1 | 6 | 3.46 × 10−5 | 5.25 × 10−9 |
| 2 | 10 | 4.83 × 10−5 | 9.26 × 10−9 | |
| 3 | 10 | 7.45 × 10−5 | 1.23 × 10−8 | |
| 4 | 9 | 1.22 × 10−4 | 1.70 × 10−8 |
Disclaimer/Publisher’s Note: The statements, opinions and data contained in all publications are solely those of the individual author(s) and contributor(s) and not of MDPI and/or the editor(s). MDPI and/or the editor(s) disclaim responsibility for any injury to people or property resulting from any ideas, methods, instructions or products referred to in the content. |
© 2023 by the authors. Licensee MDPI, Basel, Switzerland. This article is an open access article distributed under the terms and conditions of the Creative Commons Attribution (CC BY) license (https://creativecommons.org/licenses/by/4.0/).
Share and Cite
Payuta, A.A.; Flerova, E.A.; Zaitseva, Y.V. Distribution of Essential and Toxic Elements in Pelecus cultratus Tissues and Risk Assessment for Consumer Health. Toxics 2023, 11, 715. https://doi.org/10.3390/toxics11080715
Payuta AA, Flerova EA, Zaitseva YV. Distribution of Essential and Toxic Elements in Pelecus cultratus Tissues and Risk Assessment for Consumer Health. Toxics. 2023; 11(8):715. https://doi.org/10.3390/toxics11080715
Chicago/Turabian StylePayuta, Aleksandra Aleksandrovna, Ekaterina Aleksandrovna Flerova, and Yulia Vladimirovna Zaitseva. 2023. "Distribution of Essential and Toxic Elements in Pelecus cultratus Tissues and Risk Assessment for Consumer Health" Toxics 11, no. 8: 715. https://doi.org/10.3390/toxics11080715
APA StylePayuta, A. A., Flerova, E. A., & Zaitseva, Y. V. (2023). Distribution of Essential and Toxic Elements in Pelecus cultratus Tissues and Risk Assessment for Consumer Health. Toxics, 11(8), 715. https://doi.org/10.3390/toxics11080715

