Distribution, Site-Specific Water Quality Criteria, and Ecological Risk Assessment of Heavy Metals in Surface Water in Fen River, China
Abstract
1. Introduction
2. Material and Methods
2.1. Overview of the Survey Region
2.2. Collection and Analysis of Water Sample
2.3. Water Quality Assessment
2.4. Derivation of Water Quality Criteria
2.4.1. Toxicity Data Collection and Screening
2.4.2. Toxicity Data Processing and Derivation of Water Quality Criteria
2.5. Ecological Risk Assessment
3. Results and Discussion
3.1. Distribution Characteristics of Heavy Metals Pollution
3.2. Hardness and pH Dependent WQCs
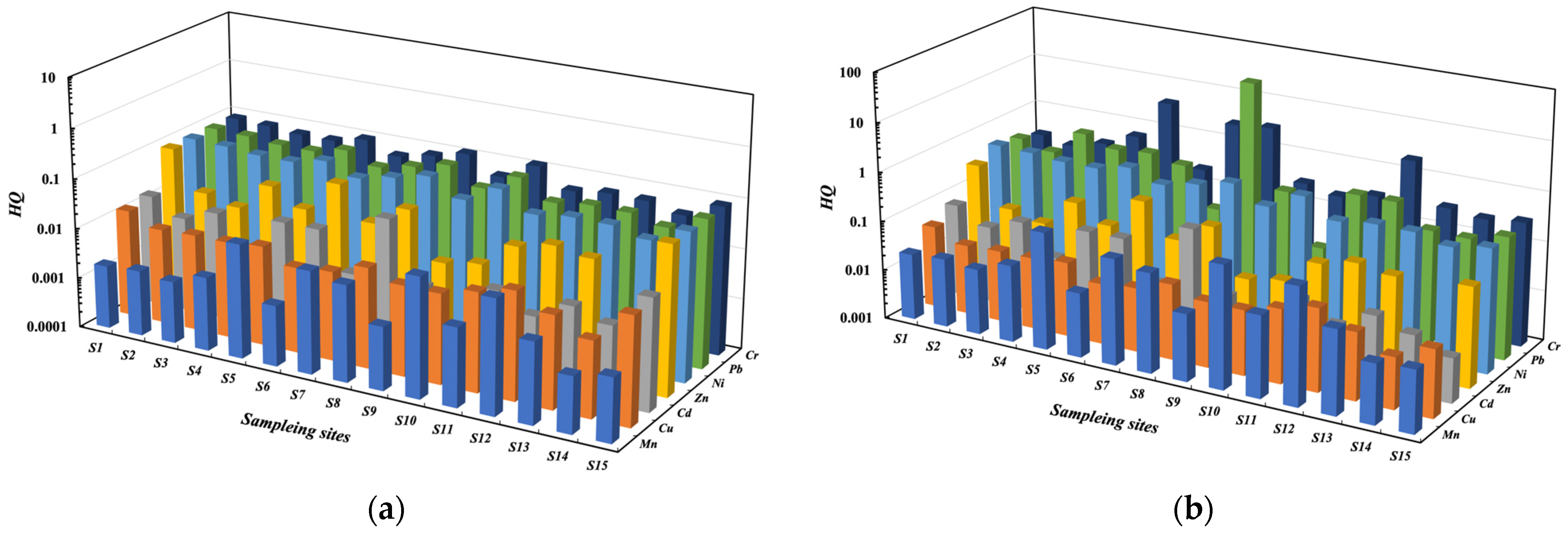
3.3. Ecological Risk
4. Conclusions
Supplementary Materials
Author Contributions
Funding
Institutional Review Board Statement
Data Availability Statement
Conflicts of Interest
References
- Rahman, Z.; Singh, V.P. The relative impact of toxic heavy metals (THMs) (arsenic (As), cadmium (Cd), chromium (Cr)(VI), mercury (Hg), and lead (Pb)) on the total environment: An overview. Environ. Monit. Assess. 2019, 191, 419. [Google Scholar] [PubMed]
- Cui, L.; Wang, X.N.; Li, J.; Liu, Z.T. Ecological and health risk assessments and water quality criteria of heavy metals in the Haihe River. Environ. Pollut. 2021, 276, 116628. [Google Scholar]
- Niu, Y.; Jiang, X.; Wang, K.; Xia, J.D.; Jiao, W.; Niu, Y.; Yu, H. Meta-analysis of heavy metal pollution and sources in surface sediments of Lake Taihu, China. Sci. Total Environ. 2020, 700, 134509. [Google Scholar] [PubMed]
- Anwar, H.; Shahid, M.; Natasha; Niazi, N.K.; Khalid, S.; Tariq, T.Z.; Ahmad, S.; Nadeem, M.; Abbas, G. Risk assessment of potentially toxic metal(loid)s in Vigna radiata L. under wastewater and freshwater irrigation. Chemosphere 2021, 265, 129124. [Google Scholar] [PubMed]
- Levallois, P.; Barn, P.; Valcke, M.; Gauvin, D.; Kosatsky, T. Public health consequences of Lead in drinking water. Curr. Environ. Health Rep. 2018, 5, 255–262. [Google Scholar] [CrossRef]
- Ruckart, P.Z.; Ettinger, A.S.; Hanna-Attisha, M.; Jones, N.; Davis, S.I.; Breysse, P.N. The flint water crisis: A coordinated public health emergency response and recovery initiative. J. Public Health Manag. Pract. 2019, 25, S84–S90. [Google Scholar] [CrossRef] [PubMed]
- He, J.; Shi, D.; Wang, B.B.; Feng, C.L.; Su, H.L.; Wang, Y.; Qin, N. Ecological risk assessment and water quality standard evaluation of 10 typical metals in eight basins in China. China Environ. Sci. 2019, 39, 2970–2982. (In Chinese) [Google Scholar]
- WFD. Directive of the European Parliament and of the Council 2000/60/EC Establishing a Framework for Community Action in the Field of Water Policy. Official Journal C513 23/10/2000. 2000. Available online: https://eur-lex.europa.eu/resource.html?uri=cellar:5c835afb2ec6-4577-bdf8-756d3d694eeb.0004.02/DOC_1&format=PDF (accessed on 13 February 2023).
- Yang, Y.G.; Meng, Z.L.; Jiao, W.T. Hydrological and pollution processes in mining area of Fenhe River Basin in China. Environ. Pollut. 2018, 234, 743–750. [Google Scholar] [CrossRef]
- Liu, M.X.; Han, Z.Q.; Yang, Y.Y. Accumulation, temporal variation, source apportionment and risk assessment of heavy metals in agricultural soils from the middle reaches of Fen River basin, North China. RSC Adv. 2019, 9, 21893–21902. [Google Scholar]
- Chai, N.P.; Yi, X.; Xiao, J.; Liu, T.; Liu, Y.J.; Deng, L.; Jin, Z.D. Spatiotemporal variations, sources, water quality and health risk assessment of trace elements in the Fen River. Sci. Total Environ. 2021, 757, 143882. [Google Scholar]
- Gong, L.L. The Characteristics of Eco-Geochemistry and Heavy Metals Pollution in Fen River in Shanxi Province. Ph.D. Thesis, Central South University, Changsha, China, 2011. (In Chinese). [Google Scholar]
- Zhang, X.F. Study on Algal Community and Evaluation of Water Quality in the Upstream of Fen River. Master’s Thesis, ShanXi University, Taiyuan, China, 2013. (In Chinese). [Google Scholar]
- Xiao, J.; Wang, L.Q.; Deng, L.; Jin, Z.D. Characteristics, sources, water quality and health risk assessment of trace elements in river water and well water in the Chinese Loess Plateau. Sci. Total Environ. 2019, 650, 2004–2012. [Google Scholar] [PubMed]
- Hua, K.; Xiao, J.; Li, S.J.; Li, Z. Analysis of hydrochemical characteristics and their controlling factors in the Fen River of China. Sustain. Cities Soc. 2020, 52, 101827. [Google Scholar] [CrossRef]
- Li, J.Y.; Li, S.Q.; Han, J.T. Changes of water quality in typical sites along upstream of Fen River. J. Soil Water Conserv. 2011, 9, 59–64. (In Chinese) [Google Scholar]
- Bai, T.; Wu, H.Y.; Cheng, F.Q.; Wang, D.W.; Wang, L. Correlation between heavy metal content in Fenhe river and death constituent ratio of tumor. China Prev. Med. 2013, 14, 745–747. (In Chinese) [Google Scholar]
- Zhang, X.L.; Chen, H.T. The seasonal changes and flux of trace elements in the lower reaches of Yollow river. J. Ocean Univ. China 2013, 43, 69–75. (In Chinese) [Google Scholar]
- Li, R.; Tang, X.Q.; Guo, W.J.; Lin, L.; Zhao, L.Y.; Hu, Y.; Liu, M. Spatiotemporal distribution dynamics of heavy metals in water, sediment, and zoobenthos in mainstream sections of the middle and lower Changjiang River. Sci. Total Environ. 2020, 714, 136779. [Google Scholar] [PubMed]
- United States Environmental Protection Agency (USEPA). Aquatic Life Ambient Freshwater Quality Criteria-Copper; EPA-822-R-07-001; United States Environmental Protection Agency Office of Water 4304T: Washington, DC, USA, 2007.
- CCME (Canadian Council of Ministers of the Environment). Scientific Criteria Document for the Development of the Canadian Water Quality Guidelines for the Protection of Aquatic Life—Zinc; PN 1580 (ISBN 978-1-77202-043-4); Canadian Council of Ministers of the Environment: Winnipeg, MB, Canada, 2018. [Google Scholar]
- CCME (Canadian Council of Ministers of the Environment). Scientific Criteria Document for the Development of the Canadian Water Quality Guidelines for the Protection of Aquatic Life—Manganese; PN 1601 (ISBN 978-1-77202-058-8); Canadian Council of Ministers of the Environment: Winnipeg, MB, Canada, 2019. [Google Scholar]
- Wu, F.C.; Li, H.X.; Su, H.L. Introduction to Theory and Methodology of Water Quality Criteria; Science Press: Beijing, China, 2020; pp. 1–10. (In Chinese) [Google Scholar]
- Yan, Z.G.; Zheng, X.; Fan, J.T.; Zhang, Y.Z.; Wang, S.P.; Zhang, T.X.; Sun, Q.H.; Huang, Y. China national water quality criteria for the protection of freshwater life: Ammonia. Chemosphere 2020, 251, 126379. [Google Scholar]
- Park, J.; Ra, J.S.; Rho, H.; Cho, J.; Kim, S.D. Validation of a biotic ligand model on site-specific copper toxicity to Daphnia magna in the Yeongsan River, Korea. Ecotoxicol. Environ. Saf. 2018, 149, 108–115. [Google Scholar]
- Gao, Y.; Feng, J.; Zhu, J.; Zhu, L. Predicting copper toxicity in zebrafish larvae under complex water chemistry conditions by using a toxicokinetic- toxicodynamic model. J. Hazard. Mater. 2020, 400, 123205. [Google Scholar]
- Wang, C.Y. Application Research of Cu Toxicity and WQC Predicted by BLM in Typical Chinese Rivers. Ph.D. Thesis, Wuhan University, Wuhan, China, 2012. (In Chinese). [Google Scholar]
- Wu, J.; Yan, Z.; Liu, Z.; Liu, J.D.; Liang, F.; Wang, X.N.; Wang, W.L. Development of water quality criteria for phenanthrene and comparison of the sensitivity between native and non-native species. Environ. Pollut. 2015, 196, 141–146. [Google Scholar]
- Zheng, L.; Liu, Z.T.; Yan, Z.G.; Zhang, Y.H.; Yi, X.L.; Zhang, J.; Zheng, X.; Zhou, J.L.; Zhu, Y. pH-dependent ecological risk assessment of pentachlorophenol in Tai Lake and Liao River. Ecotoxicol. Environ. Saf. 2017, 135, 216–224. [Google Scholar]
- Wang, H.J.; Xiao, W.H.; Wang, J.H.; Wang, Y.C.; Huang, Y.; Hou, B.D.; Lu, C.Y. The impact of climate change on the duration and division of flood season in the Fen River Basin, China. Water 2016, 8, 105. [Google Scholar] [CrossRef]
- Zhang, F.K. Study on the Total Pollution Distribution in the Middle Reaches of Fenhe Based on Information Entropy and Gini Coefficient Method. Master’s Thesis, Xi’an University of Technology, Xi’an, China, 2021. (In Chinese). [Google Scholar]
- Sun, X.L. Current situation and prevention and control of water pollution in Jinzhong section of Fenhe River basin. Shanxi Sci. Technol. 2018, 33, 68–76. (In Chinese) [Google Scholar]
- Zhang, Z.Y.; Abuduwailil, J.; Jiang, F.Q. Distribution characteristics and speciation analysis of trace heavy metals in river waters of the Tianshan Mountains, China. Acta Scien. Circum. 2015, 35, 3612–3619. (In Chinese) [Google Scholar]
- GB 3838-2002; Environmental Quality Standards for Surface Water in China. SEPA (State Environmental Protection Administration): Beijing, China, 2002.
- He, M.; Liu, G.J.; Wu, L.; Qi, C.C. Spatial distribution and pollution assessment of dissolved heavy metals in Chao Lake Basin during the wet season. Environ. Sci. 2021, 42, 5346–5354. (In Chinese) [Google Scholar]
- HJ 831-2022; Technical Guideline for Deriving Water Quality Criteria for Freshwater Organisms. MEE (Ministry of Ecology and Environment of the People’s Republic of China): Beijing, China, 2022. Available online: https://www.mee.gov.cn/ywgz/fgbz/bz/bzwb/shjbh/xgbzh/202203/t20220314_971456.shtml (accessed on 15 November 2022).
- Stephen, C.E.; Mount, D.I.; Hansen, D.J.; Gentile, J.R.; Chapman, G.A.; Brungs, W.A. Guidelines for Deriving Numerical National Water Quality Criteria for the Protection of Aquatic Organisms and Their Uses; United States Environmental Protection Agency, Office of Research and Development: Washington DC, USA, 1985.
- United States Environmental Protection Agency (USEPA). US EPA Update of Ambient Water Quality Criteria for Cadmium United States Environmental Protection Agency; EPA 822-F-16-003; United States Environmental Protection Agency Office of Water 4304T: Washington, DC, USA, 2016.
- Gao, X.Y.; Li, J.; Wang, X.N.; Zhou, J.L.; Fan, B.; Li, W.W. Exposure and ecological risk of phthalate esters in the Taihu Lake basin, China. Ecotoxicol. Environ. Saf. 2019, 171, 564–570. [Google Scholar] [PubMed]
- Ding, T.T.; Du, S.L.; Zhang, Y.H.; Wang, H.L.; Zhang, Y.; Cao, Y.; Zhang, J.; He, L.S. Hardness-dependent water quality criteria for cadmium and an ecological risk assessment of the shaying river basin, China. Ecotoxicol. Environ. Saf. 2020, 198, 110666. [Google Scholar]
- Li, L.; He, Y.J.; Song, K.; Xie, F.Z.; Li, H.X.; Sun, F.H. Derivation of water quality criteria of zinc to protect aquatic life in Tai Lake and the associated risk assessment. J. Environ. Manag. 2021, 296, 113175. [Google Scholar]
- Länge, R.; Hutchinson, T.H.; Scholz, N.; SolbÉ, J. Analysis of the ecetoc aquatic toxicity (EAT) database II—Comparison of acute to chronic ratios for various aquatic organisms and chemical substances. Chemosphere 1998, 36, 115–127. [Google Scholar]
- Swartjes, F.A. Risk based assessment of soil and groundwater quality in the Netherlands: Standards and remediation urgency. Risk Anal. 1999, 19, 1235–1249. [Google Scholar]
- Ding, T.T.; Li, Q.; Du, S.L.; Shi, S.J.; Li, B.; Zhao, X.N. Pollution characteristics and ecological risk assessment of heavy metals in Shaying River Basin. Environ. Chem. 2019, 38, 2386–2401. (In Chinese) [Google Scholar]
- Wang, M.M.; Lu, H.; Li, H.M.; Qian, X. Pollution level and ecological risk assessment of heavy metals in typical rivers of Taihu basin. Environ. Chem. 2016, 35, 2025–2035. (In Chinese) [Google Scholar]
- Yang, Z.F.; Xia, X.Q.; Yu, T.; Cao, T.Y.; Zhong, J. Distribution and fluxes of As and trace metals in the Dongting Lake water system, Hunan Province, China. Geoscience 2008, 22, 897–908. (In Chinese) [Google Scholar]
- Zhang, L.; Qi, S.H.; Qu, C.K.; Liu, H.X.; Chen, W.W.; Li, F.; Hu, T.; Huang, H.F. Distribution, source and health risk assessment of heavy metals in the water of Jiulong River, Fujian. China Environ. Sci. 2014, 34, 2133–2139. (In Chinese) [Google Scholar]
- Zhou, G.Q.; Luo, F.; Tao, T.; Hou, Q.Y. Present situation and risk assessment of heavy metal pollution in Daye Lake Basin. Water Supply Sewerage 2016, S1, 109–112. (In Chinese) [Google Scholar]
- Gaillardet, J.; Viers, J.; Dupré, B. Trace elements in river waters. In Treatise on Geochemistry; Yale University: New Haven, CT, USA, 2003; Volume 5, pp. 225–272. ISBN 0-08-043751-6. [Google Scholar]
- Wang, L.F.; Li, H.; Dang, J.H.; Zhao, Y.; Qiao, P.M. Characteristics and diversity evaluation of macrobenthos in upper and middle reaches of Fen River basin. Environ. Chem. 2020, 39, 128–137. (In Chinese) [Google Scholar]
- Zhang, Y.H.; Zang, W.C.; Qin, L.M.; Zheng, L.; Cao, Y.; Yan, Z.G.; Yi, X.L.; Zeng, H.H.; Liu, Z.T. Water quality criteria for copper based on the BLM approach in the freshwater in China. PLoS ONE 2017, 12, e0170105. [Google Scholar] [CrossRef]
- Liu, D.Q.; Li, X.F.; Fu, W.Q.; Hang, C.C.; Yang, H.; Feng, C.L. Water quality criteria of zinc for the protection of freshwater organisms and its ecological risk in China. Environ. Eng. 2017, 35, 18–22. (In Chinese) [Google Scholar]
- United States Environmental Protection Agency (USEPA). National Recommended Water Quality Criteria; Office of Water, Office of Science and Technology: Washington, DC, USA, 2009.
- United States Environmental Protection Agency (USEPA). 1995 Updates: Water Quality Criteria Documents for the Protection of Aquatic Life in Ambient Water; EPA 820-B-96-001; United States Environmental Protection Agency Office of Water 4304T: Washington, DC, USA, 1996.
- Dong, L.; Zheng, L.; Yang, S.W.; Yan, Z.G.; Jin, W.D.; Yan, Y.H. Deriving freshwater safety thresholds for hexabromocyclododecane and comparison of toxicity of brominated flame retardants. Ecotoxicol. Environ. Saf. 2017, 139, 43–49. [Google Scholar]
- Chen, S. Water Quality Criteria and Ecological Risk Assessment of Copper in Langcang River. Master’s Thesis, Kunming University of Science and Technology, Kunming, China, 2014. (In Chinese). [Google Scholar]
- Yan, Z.G.; Meng, W.; Liu, Z.T.; Yu, R.Z.; Wang, H. Development of aquatic criteria for cadmium for typical basins in China. Res. Environ. Sci. 2010, 23, 1221–1228. (In Chinese) [Google Scholar]
- Liu, Q. Study on Water Quality Criteria for Protecting Aquatic Organisms of Lead and Chromium in Taihu Lake. Master’s Thesis, Anhui Jianzhu University, Hefei, China, 2021. (In Chinese). [Google Scholar]
- Thanh-Khiet, L.B.; Do-Hong, L.C.; Thanh-Son, D.; Hoang, T.C. Copper toxicity and the influence of water quality of Dongnai River and Mekong River waters on copper bioavailability and toxicity to three tropical species. Chemosphere 2016, 144, 872–878. [Google Scholar]
- Michael, H.P.; Harmon, S.M.; Knox, A.S.; Kuhne, W.W.; Halverson, N.V. Assessing effects of dissolved organic carbon and water hardness on metal toxicity to Ceriodaphnia dubia using diffusive gradients in thin films (DGT). Sci. Total Environ. 2019, 697, 134107. [Google Scholar]
- Santore, R.C.; Croteau, K.; Ryan, A.C.; Schlekat, C.; Middleton, E.; Garman, E.; Hoang, T. A review of water quality factors that affect nickel bioavailability to aquatic organisms: Refinement of the Biotic Ligand Model for nickel in acute and chronic exposures. Environ. Toxicol. Chem. 2021, 40, 2121–2134. [Google Scholar]
- Geddie, A.W.; Hall, S.G. The effect of salinity and alkalinity on growth and the accumulation of copper and zinc in the Chlorophyta Ulva fasciata. Ecotoxicol. Environ. Saf. 2019, 15, 203–209. [Google Scholar]
- Jiao, F.F. Study on the Optimization of Linfen’s Industrial Structure under Low Carbon Economy. Master’s Thesis, Shanxi Normal University, Taiyuan, China, 2018. (In Chinese). [Google Scholar]
- Zhu, J.W. Investigation and analysis on the discharge outlet of the main stream of Fen River in Taiyuan. Shanxi Resour. 2019, 35, 8–10. (In Chinese) [Google Scholar]
- Schubauer-Berigan, M.K.; Dierkes, J.R.; Monson, P.D.; Ankley, G.T. pH-dependent toxicity of cadmium, copper, nickel, lead and zinc to Ceriodaphnia dubia, Pimephales promelas, Hyalella azteca and Lumbriculus variegatus. Environ. Toxicol. Chem. 1993, 12, 1261–1266. [Google Scholar] [CrossRef]
- Carlson, S.E.; Rhodes, P.G.; Ferguson, M.G. Docosahexaenoic acid status of preterm infants at birth and following feeding with human milk or formula. Am. J. Clin. Nutr. 1986, 44, 798–804. [Google Scholar] [CrossRef] [PubMed]
- Belanger, S.E.; Farris, J.L.; Cherry, D.S. Effects of diet, water hardness, and population source on acute and chronic copper toxicity to Ceriodaphnia dubia. Arch. Environ. Contam. Toxicol. 1989, 18, 601–611. [Google Scholar] [CrossRef]
- Oris, J.T.; Winner, R.W.; Moore, M.V. A four-day survival and reproduction toxicity test for Ceriodaphnia dubia. Environ. Toxicol. Chem. 1991, 10, 217–224. [Google Scholar] [CrossRef]
- Diamond, J.M.; Koplish, D.E.; McMahon, J., III; Rost, R. Evaluation of the water-effect ratio procedure for metals in a riverine system. Environ. Toxicol. Chem. 1997, 16, 509–520. [Google Scholar] [CrossRef]
- Wang, N.; Mebane, C.A.; Kunz, J.L.; Ingersoll, C.G.; Brumbaugh, W.G.; Santore, R.C.; Gorsuch, J.W.; Arnold, W.R. Influence of dissolved organic carbon on toxicity of copper to a unionid mussel (Villosa iris) and a cladoceran (Ceriodaphnia dubia) in acute and chronic water exposures. Environ. Toxicol. Chem. 2011, 30, 2115–2125. [Google Scholar] [CrossRef]
- Nebeker, A.V.; Cairns, M.A.; Onjukka, S.T.; Titus, R.H. Effect of age on sensitivity of Daphnia magna to cadmium, copper and cyanazine. Environ. Toxicol. Chem. 1986, 5, 527–530. [Google Scholar] [CrossRef]
- Baird, D.J.; Barber, I.; Bradley, M.; Soares, A.M.; Calow, P. A comparative study of genotype sensitivity to acute toxic stress using clones of Daphnia magna straus. Ecotoxicol. Environ. Saf. 1991, 21, 257–265. [Google Scholar] [CrossRef]
- Meador, J.P. The interaction of pH, dissolved organic carbon, and total copper in the determination of ionic copper and toxicity. Aquat. Toxicol. 1991, 19, 13–31. [Google Scholar] [CrossRef]
- Zhou, T.Y.; Cao, Y.; Qin, L.M.; Zhang, Y.H.; Zeng, H.H.; Yan, Z.G.; Liu, Z.T. Application of biotic ligand model for the acute toxicity of copper to Daphnia magna in water of Liao River and Taihu Lake. Environ. Sci. 2014, 35, 332–337. [Google Scholar]
- Wang, W.-B.; Chen, S.; Wu, M.; Zhao, J. Predicting copper to Hypophthalmichthys molitrix and Ctenopharyngodon idellus based on Biotic Ligand Model. Environ. Sci. 2014, 35, 3947–3951. (In Chinese) [Google Scholar]
- Khangarot, B.S.; Ray, P.K. Correlation between heavy metal acute toxicity values in Daphnia magna and fish. Bull. Environ. Contam. Toxicol. 1987, 38, 722–726. [Google Scholar] [CrossRef] [PubMed]
- Yim, J.H.; Kim, K.W.; Kim, S.D. Effect of hardness on acute toxicity of metal mixtures using Daphnia magna: Prediction of acid mine drainage toxicity. J. Hazard. Mater. 2006, 138, 16–21. [Google Scholar] [CrossRef]
- Biesinger, K.E.; Christensen, G.M. Effects of various metals on survival, growth, reproduction, and metabolism of Daphnia magna. J. Fish. Res. Board Can. 1972, 29, 1691–1700. [Google Scholar] [CrossRef]
- Chapman, A.G.; Ota, S.; Recht, F. Effects of Water Hardness on the Toxicity of Metals to Daphnia Magna; US EPA: Corvallis, OR, USA, 1980.
- Rathore, R.S.; Khangarot, B.S. Effects of temperature on the sensitivity of sludge worm Tubifex tubifex müller to selected heavy metals. Ecotoxicol. Environ. Saf. 2002, 53, 27–36. [Google Scholar] [CrossRef]
- Qureshi, S.A.; Saksena, A.B.; Singh, V.P. Acute toxicity of four heavy metals to benthic fish food organisms from the River Khan, Ujjain. Int. J. Environ. Stud. 1980, 15, 59–61. [Google Scholar] [CrossRef]
- Spehar, R.L.; Fiandt, J.T. Acute and chronic effects of water quality criteria-based metal mixtures on three aquatic species. Environ. Toxicol. Chem. 1986, 5, 917–931. [Google Scholar] [CrossRef]
- Cooper, N.L.; Bidwell, J.R.; Kumar, A. Toxicity of copper, lead, and zinc mixtures to Ceriodaphnia dubia and Daphnia carinata. Ecotoxicol. Environ. Saf. 2009, 72, 1523–1528. [Google Scholar] [CrossRef] [PubMed]
- Hockett, J.R.; Mount, D.R. Use of metal chelating agents to differentiate among sources of acute aquatic toxicity. Environ. Toxicol. Chem. 1996, 15, 1687–1693. [Google Scholar] [CrossRef]
- Datta, S.; Das, R.C. Influence of some abiotic environmental factors on acute toxicity of inorganic lead to Cyprinus carpio var communis (Linn.) and Catla catla (Ham.) in simulated toxic aquatic environment. Toxicol. Environ. Chem. 2003, 85, 203–219. [Google Scholar] [CrossRef]
- Kapur, K.; Yadav, N.A. The effects of certain heavy metal salts on the development of eggs in common carp, Cyprinus carpio var. communis. Clean-Soil Air Water 2010, 10, 517–522. [Google Scholar]
- Khangarot, B.S.; Ray, P.K. Sensitivity of midge larvae of Chironomus tentans Fabricius (Diptera chironomidae) to heavy metals. Bull. Environ. Contam. Toxicol. 1989, 42, 325–330. [Google Scholar] [CrossRef] [PubMed]
- Bailey, H.C.; Liu, D.H.W. Lumbriculus variegatus, a Benthic Oligochaete, as a Bioassay Organism. In Aquatic Toxicology and Hazard Assessment, 3rd Synposium; ASTM STP 707; Eaton, J.C., Parrish, P.R., Hendricks, A.C., Eds.; ASTM International: Philadelphia, PA, USA, 1980; pp. 205–215. [Google Scholar]
- Wen, R.S.; Zheng, Q.M.; Fang, Z.Q. Acute toxicity of mercury and lead to grass carps and safety assessment. J. Anhui Agric. Sci. 2007, 35, 4863. (In Chinese) [Google Scholar]
- Pan, T.Y.; Fang, S.L.; Yan, Y.L. Acute toxic effect of water-borne lead on six fishes from the upper reaches of the Yangtze River. Freshw. Fish. 2016, 46, 34–39. (In Chinese) [Google Scholar]
- Wang, Y.Q.; Zhang, Y.Q.; Zhao, D.Q. Effects of heavy metals cadmium, lead and zinc on the survival of Carassius auratus and Misgurnus anguillicaudatus. J. Gansu Sci. 2003, 15, 35–38. (In Chinese) [Google Scholar]
- Liao, J. Distribution Characterization of Heavy Metal Pollution in Taihu Lake and the Derivation of Water Quality Criteria of Lead in China. Master’s Thesis, Nanjing University, Nanjing, China, 2014. (In Chinese). [Google Scholar]
- Chen, W.G.; Guo, Z.J.; Deng, P.P. Acute toxicity of three heavy metal ions to rose bitterling Rhodeus ocellatus Fry. Fishries Sci. 2010, 29, 109–111. (In Chinese) [Google Scholar]
- Anderson, R.L.; Walbridge, C.T.; Fiandt, J.T. Survival and growth of Tanytarsus dissimilis (Chironomidae) exposed to copper, cadmium, zinc, and lead. Arch. Environ. Contam. Toxicol. 1980, 9, 329. [Google Scholar] [CrossRef] [PubMed]
- Rachlin, J.W.; Jensen, T.E.; Warkentine, B. The growth response of the green alga (Chlorella saccharophila) to selected concentrations of the heavy metals Cd, Cu, Pb, and Zn. In Proceedings of the Trace Substances in Environmental Health: University of Missouri’s Annual Conference, Columbia, MO, USA, 10–11 October 1982. [Google Scholar]
- Rehwoldt, R.; Menapace, L.W.; Nerrie, B.; Alessandrello, D. The effect of increased temperature upon the acute toxicity of some heavy metal ions. Bull. Environ. Contam. Toxicol. 1972, 8, 91–96. [Google Scholar] [CrossRef] [PubMed]
- Khangarot, B.S.; Sehgal, A.; Bhasin, M.K. “Man and the Biosphere”—Studies on Sikkim Himalayas. Part 1: Acute toxicity of copper and zinc to common carp Cyprinus carpio (Linn.) in soft water. Acta Hydrochim. Hydrobiol. 1983, 11, 667–673. [Google Scholar] [CrossRef]
- Tabata, Y.; Ishigure, K.; Higaki, H.; Oshima, K. Radiation induced copolymerization of fluorine containing monomers. J. Macromol. Sci. Chem. 1969, 4, 801–813. [Google Scholar] [CrossRef]
- Yan, Z.F.; Li, X.F.; Liu, D.Q. Acute toxicity of zinc to native freshwater organisms under different water hardness. Environ. Eng. 2019, 257, 22–27. (In Chinese) [Google Scholar]
- Christopher, A.M.; Frank, S.D.; Daniel, P.H. Acute toxicity of cadmium, lead, zinc, and their mixtures to stream-resident fish and invertebrates. Environ. Toxicol. Chem. 2012, 31, 1334–1348. [Google Scholar]
- Carlson, A.R.; Nelson, H.; Hammermeister, D. Development and validation of site-specific water quality criteria for copper. Environ. Toxicol. Chem. 1986, 5, 997–1012. [Google Scholar] [CrossRef]
- Drost, R.J.; Singer, A.C. Constrained complexity generalized context-tree algorithms. In Proceedings of the IEEE/SP 14th Workshop on Statistical Signal Processing, Madison, WI, USA, 26–29 August 2007; pp. 131–135. [Google Scholar]
- Muyssen, B.T.; Janssen, C.R. Multigeneration zinc acclimation and tolerance in Daphnia magna: Implications for water-quality guidelines and ecological risk assessment. Environ. Toxicol. Chem. 2001, 20, 2053–2060. [Google Scholar] [CrossRef]
- Muyssen, B.T.; Janssen, C.R. Tolerance and acclimation to zinc of Ceriodaphnia dubia. Environ. Pollut. 2002, 117, 301–306. [Google Scholar] [CrossRef]
- Wang, X.; Jin, F.F.; Wang, Y.A. Tropical ocean recharge nechanism for climate variability. Part II: A unified theory for decadal and ENSO modes. J. Clim. 2013, 16, 3599–3616. [Google Scholar] [CrossRef]
- Bertramhart, P.E.; Hart, B.A. Longevity and reproduction of Daphnia pulex exposed to cadmium contaminated food or water. Environ. Pollut. 1979, 19, 295–305. [Google Scholar] [CrossRef]
- Elnabarawy, M.T.; Welter, A.N.; Robideau, R.R. Relative sensitivity of three Daphnid species to selected organic and inorganic chemicals. Environ. Toxicol. Chem. 2010, 5, 393–398. [Google Scholar] [CrossRef]
- Hall, W.S.; Paulson, R.L.; Hall, L.W., Jr.; Burton, D.T. Acutetoxicity of cadmium and sodium pentachlorophenate to Daphnids and fish. Bull. Environ. Contam. Toxicol. 1986, 37, 308–316. [Google Scholar] [CrossRef] [PubMed]
- Suresh, A.; Sivaramakrishna, B.; Radhakrishnaiah, K. Effect of lethal and sublethal concentrations of cadmium on energetics in the gills of fry and fingerlings of Cyprinus carpio. Bull. Environ. Contam. Toxicol. 1993, 51, 920–926. [Google Scholar] [CrossRef] [PubMed]
- Ghosal, T.K.; Kaviraj, A. Combined effects of cadmium and composted manure to aquatic organisms. Chemosphere 2002, 46, 1099–1105. [Google Scholar] [CrossRef]
- Shaw, J.R.; Dempsey, T.D.; Chen, C.Y.; Hamilton, J.W.; Folt, C.L. Comparative toxicity of cadmium, zinc, and mixtures of cadmium and zinc to Daphnids. Environ. Toxicol. Chem. 2006, 25, 182–189. [Google Scholar] [CrossRef] [PubMed]
- Mohammed, A.; Agard, J.B.R. Comparative sensitivity of three tropical Cladoceran species (Diaphanosoma brachyurum, Ceriodaphnia rigaudii and Moinodaphnia macleayi) to six chemicals. J. Environ. Sci. Health Part A 2006, 41, 2713–2720. [Google Scholar] [CrossRef] [PubMed]
- Hatakeyama, S.; Yasuno, H.M. Effects of cadmium on the periodicity of parturition and brood size of Moina macrocopa (cladocera). Environ. Pollut. Ser. A Ecol. Biol. 1981, 26, 111–120. [Google Scholar] [CrossRef]
- US EPA. Aquatic Life Ambient Water Quality Criteria for Cadmium-2016; EPA-820-R-16-002; Office of Science and Technology, Health and Ecological Criteria Division: Washington, DC, USA, 2016. [Google Scholar]
- Taraldsen, J.E.; Norberg-King, T.J. New method for determining effluent toxicity using duckweed (Lemna minor). Environ. Toxicol. Chem. 1990, 9, 761–767. [Google Scholar] [CrossRef]
- McCahon, C.P.; Brown, A.F.; Pascoe, D. The effect of the acanthocephalan Pomphorhynchus laevis on the acute toxicity of cadmium to its intermediate host, the Amphipod Gammarus pulex. Arch. Environ. Contam. Toxicol. 1988, 17, 239–243. [Google Scholar] [CrossRef]
- He, Y.J. Study on Water Quality Standard of Heavy Metal Zinc and Cadmium in Taihu Lake. Master’s Thesis, Anhui Jianzhu University, Hefei, China, 2021. (In Chinese). [Google Scholar]
- Mount, D.I. Aquatic surrogates. In Surrogates Peeies Workshop Report; US EPA: Washington, DC, USA, 1982. [Google Scholar]
- Call, D.J.; Brooke, L.T.; Ahmad, N.; Vaishnav, D. Aquatic Pollutant Hazard Assessments and Development of a Hazard Prediction Technology by Quantitative Structure-Activity Relationships; Second Quarterly Rep., U.S.EPA Cooperative Agreement No. CR 809234-01-0, Ct; Lake Superior Environmental Studies University of Wisconsin-Superior: Superior, WI, USA, 1981. [Google Scholar]
- White, B. Report of Two Toxicity Evaluations Conducted Using Hexavalent Chromium; Michigan DeP. Nat. Resour. Environ., Protection Bureau Point Sources Studies Section: Belding, MI, USA, 1979.
- Mohammed, A. Comparative sensitivities of the tropical Cladocera, Ceriodaphnia rigaudii and the temperate species Daphnia magna to seven toxicants. Toxicol. Environ. Chem. 2007, 89, 347–352. [Google Scholar] [CrossRef]
- Shell Oi1 Co. Toxicity Tests with Daphnia Magna: Acute Toxicity of Five Test Materials to a Newly-Introduced Strain of D. magna (Received October, 1984) with Cover Letter Dated 103086; EPA/OTS Doc#86870000021:16 p.(NTIS/OTS 0513367); Shell Oi1 Co.: London, UK, 2000. [Google Scholar]
- Enserink, L.; Luttmer, W.; Maasdiepeveen, H. Reproductive strategy of Daphnia magna affects the sensitivity of its progeny in acute toxicity tests. Aquat. Toxicol. 1990, 17, 15–26. [Google Scholar] [CrossRef]
- Guilhermino, L.; Diamantino, T.; Silva, M.C. Acute toxicity test with Daphnia magna: An alternative to mammals in the prescreening of chemical toxicity. Ecotoxicol. Environ. Saf. 2000, 46, 357–362. [Google Scholar] [CrossRef] [PubMed]
- Mount, D.I.; Norberg, U.T. A seven-day life cycle Cladoceran toxicity test. Environ. Toxicol. Chem. 1984, 3, 425–434. [Google Scholar] [CrossRef]
- Mount, D.I. Description of the Toxicity Tests Performed on Cr6+ Using Cladocerans; US EPA: Duluth, MN, USA, 1982; p. 7.
- Jop, K.M.; Rodgers, J.H.; Price, E.E.; Dickson, K.L. Renewal device for test solutions in Daphnia toxicity tests. Bull. Environ. Contam. Toxicol. 1986, 36, 95–100. [Google Scholar] [CrossRef] [PubMed]
- Bataccatalan, Z.; Cairns, J. Survival of Daphnia pulex under thermal-stress and sublethal concentration of chromate. Kalikasan Philipp. J. Biol. 1977, 6, 47–54. [Google Scholar]
- Khangarot, B.S.; Ray, P.K. Sensitivity of freshwater pulmonate snails, Lymnaea luteola L. to heavy metals. Bull. Environ. Contam. Toxicol. 1988, 41, 208–213. [Google Scholar] [CrossRef]
- Reynoldson, T.B.; Rodriguez, P.; Madrid, M.M. A comparison of reproduction, growth and acute toxicity in two populations of Tubifex tubifex (Müller, 1774) from the north American Great Lakes and northern Spain. Hydrobiologia 1996, 334, 199–206. [Google Scholar] [CrossRef]
- Khangarot, B.S. Toxicity of metals to a freshwater Tubificid worm, Tubifex tubifex (Muller). Bull. Environ. Contam. Toxicol. 1991, 46, 906–912. [Google Scholar] [CrossRef]
- Ewell, W.S.; Gorsuch, J.W.; Kringle, R.O.; Robillard, K.A.; Spiegel, R.C. Simultaneous evaluation of the acute effects of chemicals on seven aquatic species. Environ. Toxicol. Chem. 1986, 5, 831–840. [Google Scholar] [CrossRef]
- Cowgill, U.M.; Milazzo, D.P. The response of the three brood Ceriodaphnia test to fifteen formulations and pure compounds in common use. Arch. Environ. Contam. Toxicol. 1991, 21, 35–40. [Google Scholar] [CrossRef] [PubMed]
- Liang, F. Risk Assessment of Heavy Metals in Typical Watershed of China and Derivation of Hexavalent Chromium Water Quality Benchmark. Master‘s Thesis, Nanjing University, Nanjing, China, 2011. [Google Scholar]
- Zhang, Y.L.; Yuan, J.; Chen, L.P.; Shao, H. Joint toxicity experiment of three heavy metal on fry of Carassius auratus. Heibei Fish. 2011, 39, 24–27. (In Chinese) [Google Scholar]
- Yang, L.H.; Fang, Z.Q.; Zheng, W.B. Safety assessment and acute toxicity of heavy metals to Crucian Carassius auratus. J. South China Norm. Univ. 2003, 1, 101–105. (In Chinese) [Google Scholar]
- Pickering, Q.H.; Henderson, C. The acute toxicity of some heavy metals to different species of warm water fishes. Air Water Pollut. 1966, 10, 453–463. [Google Scholar] [PubMed]
- Adelman, I.R.; Smith, L.L., Jr.; Siesennop, G.D. Acute toxicity of sodium chloride, pentachlorophenol, guthion, and hexavalent chromium to fathead minnows (Pimephales promelas) and goldfish (Carassius auratus). Fish. Wildl. Conserv. Biol. 1976, 33, 209–214. [Google Scholar] [CrossRef]
- Lv, Y.P.; Li, X.L.; Jia, X.Y. Study on the acute toxicity and joint toxicity of Cr6+, Mn7+ and Hg2+ on the Macrobrachium nipponense. J. Shanghai Fish. Univ. 2007, 16, 549–554. (In Chinese) [Google Scholar]
- Wong, C.K. Effects of chromium, copper, nickel, and zinc on survival and feeding of the Cladoceran Moina macrocopa. Bull. Environ. Contam. Toxicol. 1992, 49, 593–599. [Google Scholar] [CrossRef]
- Kazlauskiene, N.; Burba, A.; Svecevicius, G. Acute toxicity of five galvanic heavy metals to Hydrobionts. Ekon. Ekol. Cotsium 1994, 1, 33–36. [Google Scholar]
- Meng, F.J. Ecotoxicological Effects of Combined Pollutions of Perchlorate and Chromium to Daphnia Carinata and Scenedesmus Obliquus. Master’s Thesis, South China Agricultural University, Guangzhou, China, 2010. (In Chinese). [Google Scholar]
- Chen, H.; Pan, G.; Yan, H.; Qin, Y. Toxic effects of hexavalent chromium on the growth of Blue-Green microalgae. Environ. Sci. 2003, 2, 13–18. (In Chinese) [Google Scholar]
- St-Laurent, D.; Blaise, C.; MacQuarrie, P.; Scroggins, R.; Trottier, B. Comparative assessment of herbicide phytotoxicity to Selenastrum capricornutum using microplate and flask bioassay procedures. Environ. Toxicol. Water Qual. 1992, 7, 35–48. [Google Scholar] [CrossRef]
- Liang, F.; Yang, S.G.; Sun, C. The acute toxicity of hexavalent chromium on Pelteobagrus fulvidraco Fry and Fingerling. J. Agro-Environ. Sci. 2010, 29, 1665–1669. (In Chinese) [Google Scholar]
- Keithly, J.; Brooker, J.A.; Deforest, D.K.; Wu, B.K.; Brix, K.V. Acute and chronic toxicity of nickel to a Cladoceran (Ceriodaphnia dubia) and an Amphipod (Hyalella azteca). Environ. Toxicol. Chem. 2004, 23, 691–696. [Google Scholar] [CrossRef]
- Griffitt, R.J.; Luo, J.; Gao, J.; Bonzongo, J.C.; Barber, D.S. Effects of particle composition and species on toxicity of metallic nanomaterials in aquatic organisms. Environ. Toxicol. Chem. 2008, 27, 1972–1978. [Google Scholar] [CrossRef] [PubMed]
- Tsui, M.T.K.; Wang, W.X.; Chu, L.M. Influence of Glyphosate and its formulation (Roundup) on the toxicity and bioavailability of metals to Ceriodaphnia dubia. Environ. Pollut. 2005, 138, 59–68. [Google Scholar] [CrossRef] [PubMed]
- Kuhn, R.; Pattard, M. Results of the harmful effects of water pollutants to green algae (Scenedesmus subspicatus) in the cell multiplication inhibition test. Water Res. 1990, 24, 31–38. [Google Scholar] [CrossRef]
- Wang, W. Toxicity tests of aquatic pollutants by using common Duck weed. Environ. Pollut. (Ser. B) 1986, 11, 1–14. [Google Scholar] [CrossRef]
- Wang, W. Toxicity of nickel to common Duckweed (Lemna minor). Environ. Toxicol. Chem. 1987, 6, 961–967. [Google Scholar] [CrossRef]
- Khellaf, N.; Zerdaoui, M. Growth response of the Duckweed Lemna minor to heavy metal pollution. Iran. J. Environ. Health Sci. Eng. 2009, 6, 161–166. [Google Scholar]
- Bringmann, G.; Kuhn, R. Comparative Water-Toxicological Investigations on Bacteria, Algae, and Daphnia; TR-TS-002; Literature Research Company: Annandale, VA, USA, 1959; p. 26. [Google Scholar]
- Isherwood, D.M. Photoinduced Toxicity of Metals and PAHs to Hyalella Azteca: UV-Mediated Toxicity and the Effects of Their Photoproducts. Master‘s Thesis, University of Waterloo, Waterloo, ON, Canada, 2009; p. 266. [Google Scholar]
- Liber, K.; Doig, L.E.; White-Sobey, S.L. Toxicity of uranium, molybdenum, nickel, and arsenic to Hyalella azteca and Chironomus dilutus in water-only and spiked-sediment toxicity tests. Ecotoxicol. Environ. Saf. 2011, 74, 1171–1179. [Google Scholar] [CrossRef]
- Jindal, R.; Verma, A. Heavy metal toxicity to Daphnia pulex. Indian J. Environ. Health 1990, 32, 289–292. [Google Scholar]
- Khangarot, B.S.; Ray, P.K.; Chandra, H. Daphnia magna as a model to assess heavy metal toxicity: Comparative assessment with mouse system. Acta Hydrochim. Hydrobiol. 1987, 15, 427–432. [Google Scholar] [CrossRef]
- Call, D.J.; Brooke, L.T.; Ahmad, N.; Richter, J.E. Toxicity and Metabolism Studies with EPA (Environmental Protection Agency) Priority Pollutants and Related Chemicals in Freshwater Organisms; US EPA, EPA 600/3-83-095; US EPA: Duluth, MN, USA, 1983; p. 120.
- Alsop, D.; Wood, C.M. Metal uptake and acute toxicity in zebrafish: Common mechanisms across multiple metals. Aquat. Toxicol. 2011, 105, 385–393. [Google Scholar] [CrossRef] [PubMed]
- Nebeker, A.V.; Savonen, C.; Stevens, D.G. Sensitivity of rainbow trout early life stages to nickel chloride. Environ. Toxicol. Chem. 1985, 4, 233–239. [Google Scholar] [CrossRef]
- Buhl, K.J.; Hamilton, S.J. Relative sensitivity of early life stages of arctic grayling, Coho Salmon, and Rainbow Trout to nine inorganics. Ecotoxicol. Environ. Saf. 1991, 22, 184–197. [Google Scholar] [CrossRef]
- Palawski, D.; Hunn, J.B.; Dwyer, F.J. Sensitivity of young striped bass to organic and inorganic contaminants in fresh and saline waters. Trans. Am. Fish. Soc. 1985, 114, 748–753. [Google Scholar] [CrossRef]
- Bentley, R.E.; Heitmuller, T.; Sleight, B.H.; Parrish, P.R. Acute Toxicity of Nickel to Bluegill (Lepomis macrochirus), Rainbow Trout (Salmo gairdneri), and Pink Shrimp (Penaeus duorarum); US EPA Criteria Branch, WA-6-99-1414-B; US EPA: Washington, DC, USA, 1975.
- Ding, S.R. Acute toxicities of vanadium, nickel and cobalt to several species of aquatic organisms. J. Environ. Qual. 1980, 1, 17–21. [Google Scholar]
- Rehwoldt, R.; Lasko, L.; Shaw, C.; Wirhowski, E. The acute toxicity of some heavy metal ions toward benthic organisms. Bull. Environ. Contam. Toxicol. 1983, 10, 291–294. [Google Scholar] [CrossRef]
- Virk, S.; Sharma, R.C. Effect of nickel and chromium on various life stages of Cyprinus carpio Linn. Indian J. Ecol. 1995, 22, 77–81. [Google Scholar]
- Rao, T.S.; Rao, M.S.; Prasad, S.B.S.K. Median tolerance limits of some chemicals to the fresh water fish Cyprinus carpio. Indian J. Environ. Health 1975, 17, 140–146. [Google Scholar]
- Blaylock, B.G.; Frank, M.L. A comparison of the toxicity of nickel to the developing eggs and larvae of Carp (Cyprinus carpio). Bull. Environ. Contam. Toxicol. 1979, 21, 604–611. [Google Scholar] [CrossRef]
- Rehwoldt, R.; Bida, G.; Nerrie, B. Acute toxicity of copper, nickel, and zinc ions to some Hudson River fish species. Bull. Environ. Contam. Toxicol. 1971, 6, 445–448. [Google Scholar] [CrossRef]
- Lu, C.H. Two Heavy Metal Cobalt and Nickel’s Toxicity Effects on Two Different Loaches. Master’s Thesis, Henan Normal University, Xinxiang, China, 2017. (In Chinese). [Google Scholar]
- Shuhaimi-Othman, M.; Nadzifah, Y.; Nur-Amalina, R.; Umirah, N.S. Deriving freshwater quality criteria for copper, cadmium, aluminum and manganese for protection of aquatic life in Malaysia. Chemosphere 2013, 90, 2631–2636. [Google Scholar] [CrossRef]
- Eisentraeger, A.; Dott, W.; Klein, J.; Hahn, S. Comparative studies on algal toxicity testing using Fluorometric Microplate and Erlenmeyer Flask growth-inhibition assays. Ecotoxicol. Environ. Saf. 2003, 54, 346–354. [Google Scholar] [CrossRef]
- Yan, H.; Pan, G.; Huo, R.L. Toxic effects of Cu, Zn and Mn on the inhibition of Chlorella pyrenoidosa‘s growth. Acta Sci. Circumstantiae 2001, 21, 328–332. (In Chinese) [Google Scholar]
- Cheng, W.D. Effects of Exposure of Manganese on Ecological Toxicology of Ctenopharyngodon idellus and Cyprinus carpio. Master’s Thesis, University of Southwest, Chongqing, China, 2017. (In Chinese). [Google Scholar]
- Wu, S. Study on Zebrafish Indicating Acid Wastewater Pollution in Coal Mine. Master’s Thesis, University of Guizhou, Guiyang, China, 2009. (In Chinese). [Google Scholar]








| Pi | Pollution Grade | Pollution Level | I | Pollution Grade | Pollution Level |
|---|---|---|---|---|---|
| Pi < 1 | safety | clean | I < 1 | safety | clean |
| 1 ≤ Pi < 2 | alert levels | cleanliness | 1 ≤ I < 2 | alert levels | light pollution |
| 2 ≤ Pi < 3 | mild pollution | pollution | 2 ≤ I < 3 | mild pollution | pollution |
| 3 ≤ Pi | heavy pollution | heavy pollution | 3 ≤ I < 5 | heavy pollution | heavy pollution |
| 5 ≤ I | severe pollution | severe pollution |
| Metal | Cd | Pb | Cu | Zn | Cr | Ni | Mn |
|---|---|---|---|---|---|---|---|
| Con. range | 0.0032–0.5007 | 0.2071–251.18 | 0.3177–1.357 | 0.0766–5.718 | 0.8873–17.12 | 4.341–12.18 | 2.599–47.72 |
| Mean | 0.12 | 19.06 | 0.79 | 1.82 | 4.22 | 7.51 | 13.73 |
| SD a | 0.16 | 64.23 | 0.29 | 1.61 | 5.32 | 2.35 | 15.21 |
| CV% b | 107.19 | 337.04 | 36.61 | 88.84 | 126.10 | 31.34 | 110.82 |
| CSS (III) c | 5 | 5 | 1000 | 1000 | 50 | 20 | 100 |
| Overshooting rates (%) | 0 | 6.67 | 0 | 0 | 0 | 0 | 0 |
| Water Quality | Ⅰ | Ⅰ–Ⅴ | Ⅰ | Ⅰ | Ⅰ–Ⅱ | Ⅰ | Ⅰ |
| Upstream | 0.017 | 1.83 | 0.66 | 1.94 | 1.30 | 5.75 | 2.92 |
| Midstream | 0.10 ± 0.18 | 37.57 ± 94.20 | 0.78 ± 0.28 | 1.22 ± 0.99 | 3.84 ± 4.73 | 7.35 ± 3.25 | 17.54 ± 17.79 |
| Downstream | 0.11 ± 0.06 | 3.01 ± 1.66 | 0.82 ± 0.33 | 2.39 ± 2.07 | 5.01 ± 6.42 | 7.92 ± 1.28 | 11.45 ± 13.45 |
| Rivers | Sampling Time | Cd | Pb | Cu | Zn | Cr | Ni | Mn | Reference |
|---|---|---|---|---|---|---|---|---|---|
| Fen River, China | August 2005 | 1.74 | 7.48 | 13.12 | 54.50 | 32.20 | - | 498.18 | [12] |
| Fen River, China | September 2015 | - | - | - | - | - | 8.20 | - | [15] |
| Fen River, China | May 2019 | - | - | 2.40 | - | - | 5.87 | 67.96 | [11] |
| Fen River, China | September 2019 | - | - | 2.46 | - | - | 1.50 | 64.08 | [11] |
| Fen River, China | September 2020 | 0.12 | 19.20 | 0.79 | 1.81 | 4.24 | 7.52 | 13.82 | This study |
| Chao Lake, China | August 2020 | 5.08 | 1.34 | 121.75 | 89.38 | 0.48 | 2.62 | 22.89 | [35] |
| Shaying River, China | July 2018 | 0.14 | 0.96 | 1.03 | 9.03 | 0.38 | 0.95 | 56.82 | [44] |
| Tai Lake, China | January 2016 | 0.93 | 45.88 | 65.24 | 185.64 | - | - | - | [45] |
| Huang River, China | August 2005 | 0.29 | 3.10 | 5.60 | 7.30 | 3.05 | - | 118.0 | [12] |
| Dongting Lake, China | July–August 2007 | 0.05 | 1.49 | 2.50 | 20.91 | 0.62 | 1.14 | - | [46] |
| Jiulongjiang River, China | April 2013 | 0.08 | 4.47 | 17.85 | 154.89 | 5.41 | 3.99 | - | [47] |
| Daye River, China | 2013–2014 | 1.3 | 0.96 | 1.6 | 4.7 | 1.6 | - | - | [48] |
| World average | - | 0.08 | 0.079 | 1.48 | 0.60 | 0.70 | 0.80 | 34.0 | [49] |
| Parameter | Cd | Pb | Cu | Zn | Cr(Ⅵ) | Ni | Mn |
|---|---|---|---|---|---|---|---|
| SSD10 | 0.36 | 8.6 | 1.75 | 2.68 | 0.13 | 42.26 | 527.13 |
| ECD90 | 0.23 | 14.23 | 1.20 | 0.37 | 6.94 | 10.58 | 27.23 |
| MQS10 | 1.57 | 0.60 | 1.46 | 7.24 | 0.02 | 3.99 | 19.36 |
| Metal | Type | Model | n | HC5 e | R2 f | RMSE g | KSp h | WQC | Method |
|---|---|---|---|---|---|---|---|---|---|
| Mn a | SWQC c | Log-normal | 20 | 4052.29 | 0.9759 | 0.0426 | 0.9879 | 2026.15 | Hardness-SSD |
| LWQC d | Logistic | 11 | 333.05 | 0.8528 | 0.1011 | 0.6685 | 166.53 | Invertebrates and fish, Hardness-SSD; Plant, pH-SSD | |
| Cu | SWQC | Log-logistic | 11 | 197.24 | 0.9649 | 0.0493 | 0.9999 | 98.62 | BLM-SSD |
| LWQC | 29.71 | ACR b (6.64) [51] | |||||||
| Cd | SWQC | Log-logistic | 19 | 20.03 | 0.9450 | 0.0642 | 0.6278 | 10.02 | Hardness-SSD |
| LWQC | 2.18 | ACR b (9.18) [40] | |||||||
| Zn | SWQC | Normal | 17 | 126.14 | 0.9227 | 0.0757 | 0.6201 | 63.07 | Hardness-SSD |
| LWQC | 19.29 | ACR b (6.54) [52] | |||||||
| Cr | SWQC | Log-logistic | 19 | 12.11 | 0.9710 | 0.0467 | 0.8756 | 6.06 | SSD |
| LWQC | 4.15 | ACR b (2.917) [53] | |||||||
| Pb | SWQC | Log-normal | 15 | 327.47 | 0.9323 | 0.0486 | 0.8966 | 163.74 | Hardness-SSD |
| LWQC | 6.38 | ACR b (51.29) [53] | |||||||
| Ni | SWQC | Logistic | 18 | 265.46 | 0.9412 | 0.0662 | 0.8905 | 132.73 | Hardness-SSD |
| LWQC | 14.76 | ACR b (17.99) [54] |
| Metal | Region and Reference | Method | WQC/(μg/L) | |
|---|---|---|---|---|
| SWQC e | LWQC f | |||
| Cu | Fen River (This study) | BLM-SSD | 98.62 | 29.71 |
| Tai Lake [51] | BLM-SSD | 53.50 | 16.10 | |
| Lancang River [56] | BLM-SSD | 26.79 | 1.11 | |
| US EPA [20] | BLM-TPR | 2.34 | 1.45 | |
| Canada b | Hardness-SSD | - | 3.91 | |
| Australia c | Hardness-SSD | - | 1.4 | |
| Zn | Fen River (This study) | Hardness-SSD | 63.07 | 19.29 |
| Tai Lake [41] | Hardness-SSD | 100.69 | 30.79 | |
| US EPA d | Hardness-TPR g | 120 | 120 | |
| Australia c | SSD | 8 | 8 | |
| Cd | Fen River (This study) | Hardness-SSD | 10.02 | 2.18 |
| Shaying River [40] | Hardness-TPR | 6.46 | 1.49 | |
| China [57] | Hardness-SSD | 6.5 | 0.29 | |
| US EPA d | Hardness-TPR | 1.8 | 0.72 | |
| Australia c | SSD | - | 0.2 | |
| Canada b | Hardness-SSD | 3.8 | 0.26 | |
| Cr | Fen River (This study) | SSD | 6.06 | 4.65 |
| Tai Lake [57] | TPR | 20.42 | 5.44 | |
| Liao River [57] | TPR | 16.34 | 4.45 | |
| US EPA d | TPR | 16 | 11 | |
| Mn a | Fen River (This study) | Hardness, pH-SSD | 2026 | 166 |
| Canada b | Hardness, pH-SSD | 3600 | 430 | |
| Australia c | SSD | - | 1900 | |
| Pb | Fen River (This study) | Hardness-SSD | 163.74 | 6.38 |
| Tai Lake [58] | Hardness-SSD | 122.45 | 4.77 | |
| US EPA d | Hardness-TPR | 65 | 2.5 | |
| Canada b | Hardness-SSD | - | 6.72 | |
| Ni | Fen River (This study) | Hardness-SSD | 132.73 | 18.65 |
| US EPA d | Hardness-TPR | 470 | 52 | |
| Canada b | Hardness-SSD | - | 149 | |
Disclaimer/Publisher’s Note: The statements, opinions and data contained in all publications are solely those of the individual author(s) and contributor(s) and not of MDPI and/or the editor(s). MDPI and/or the editor(s) disclaim responsibility for any injury to people or property resulting from any ideas, methods, instructions or products referred to in the content. |
© 2023 by the authors. Licensee MDPI, Basel, Switzerland. This article is an open access article distributed under the terms and conditions of the Creative Commons Attribution (CC BY) license (https://creativecommons.org/licenses/by/4.0/).
Share and Cite
Li, H.; Li, Y.; Guo, G.; Li, Y.; Zhang, R.; Feng, C.; Zhang, Y. Distribution, Site-Specific Water Quality Criteria, and Ecological Risk Assessment of Heavy Metals in Surface Water in Fen River, China. Toxics 2023, 11, 704. https://doi.org/10.3390/toxics11080704
Li H, Li Y, Guo G, Li Y, Zhang R, Feng C, Zhang Y. Distribution, Site-Specific Water Quality Criteria, and Ecological Risk Assessment of Heavy Metals in Surface Water in Fen River, China. Toxics. 2023; 11(8):704. https://doi.org/10.3390/toxics11080704
Chicago/Turabian StyleLi, Huixian, Yue Li, Guanghui Guo, Yang Li, Ruiqing Zhang, Chenglian Feng, and Yahui Zhang. 2023. "Distribution, Site-Specific Water Quality Criteria, and Ecological Risk Assessment of Heavy Metals in Surface Water in Fen River, China" Toxics 11, no. 8: 704. https://doi.org/10.3390/toxics11080704
APA StyleLi, H., Li, Y., Guo, G., Li, Y., Zhang, R., Feng, C., & Zhang, Y. (2023). Distribution, Site-Specific Water Quality Criteria, and Ecological Risk Assessment of Heavy Metals in Surface Water in Fen River, China. Toxics, 11(8), 704. https://doi.org/10.3390/toxics11080704

