Estimation of Health Risks Caused by Metals Contained in E-Cigarette Aerosol through Passive Vaping
Abstract
1. Introduction
2. Materials and Methods
2.1. Mobile Aerosol Lung Deposition Apparatus (MALDA)
2.2. E-Cigarettes and E-Cigarette Aerosol Generation
2.3. Passive Vaping Exposure Experiments
2.4. E-Cigarette Aerosol Chemical Composition Analysis
2.5. Deposition Fraction, Deposited Mass, Average Daily Dose, and Health Risk Estimations
3. Results
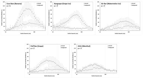
3.1. MALDA E-Cigarette Aerosol Respiratory Deposition Fractions
3.2. MOUDI Metal Composition Analysis and Health Risk Estimation
4. Discussion
5. Conclusions
Author Contributions
Funding
Institutional Review Board Statement
Informed Consent Statement
Data Availability Statement
Conflicts of Interest
References
- Anand, V.; McGinty, K.L.; O’Brien, K.; Guenthner, G.; Hahn, E.; Martin, C.A. E-cigarette use and beliefs among urban public high school students in North Carolina. J. Adolescent. Health 2015, 57, 46–51. [Google Scholar] [CrossRef] [PubMed]
- Levy, D.T. Commentary: Communicating accurate and complete information a response to Kozlowski and Sweanor. Addict. Behav. 2018, 76, 386–387. [Google Scholar] [CrossRef]
- Barrington-Trimis, J.L.; Berhane, K.; Unger, J.B.; Cruz, T.B.; Urman, R.; Chou, C.P.; Howland, S.; Wang, K.; Pentz, M.A.; Gilreath, T.D.; et al. The e-cigarette social environment, e-cigarette use, and susceptibility to cigarette smoking. J. Adolescent. Health 2016, 59, 75–80. [Google Scholar] [CrossRef]
- Buu, A.; Hu, Y.H.; Wong, S.W.; Lin, H.C. Comparing American college and noncollege young adults on e-cigarette use patterns including polysubstance use and reasons for using e-cigarettes. J. Am. Coll. Health 2020, 68, 610–616. [Google Scholar] [CrossRef] [PubMed]
- Hess, I.M.; Lachireddy, K.; Capon, A. A systematic review of the health risks from passive exposure to electronic cigarette vapour. Public Health Res. Pract. 2016, 26, e2621617. [Google Scholar] [CrossRef]
- Gallart-Mateu, D.; Elbal, L.; Armenta, S.; De la Guardia, M. Passive exposure to nicotine from e-cigarettes. Talanta 2016, 152, 329–334. [Google Scholar] [CrossRef]
- Cahn, Z.; Siegel, M. Electronic cigarettes as a harm reduction strategy for tobacco control: A step forward or a repeat of past mistakes? J. Public Health Pol. 2011, 32, 16–31. [Google Scholar] [CrossRef] [PubMed]
- Hiler, M.; Breland, A.; Spindle, T.; Maloney, S.; Lipato, T.; Karaoghlanian, N.; Shihadeh, A.; Lopez, A.; Ramôa, C.; Eissenberg, T. Electronic cigarette user plasma nicotine concentration, puff topography, heart rate, and subjective effects: Influence of liquid nicotine concentration and user experience. Exp. Clin. Psychopharmacol. 2017, 25, 380–392. [Google Scholar] [CrossRef] [PubMed]
- Dimitriadis, K.; Tsioufis, C.; Kontantinou, K.; Liatakis, I.; Andrikou, E.; Vogiatzakis, N.; Milkas, A.; Konstantinidis, D.; Thomopoulos, K.; Leontsinis, I.; et al. P4388 Acute detrimental effects of e-cigarette and tobacco cigarette smoking on blood pressure and sympathetic nerve activity in healthy subjects. Eur. Heart J. 2019, 40 (Suppl. S1), ehz745-0793. [Google Scholar] [CrossRef]
- Kotoulas, S.C.; Pataka, A.; Domvri, K.; Spyratos, D.; Katsaounou, P.; Porpodis, K.; Fouka, E.; Markopoulou, A.; Passa-Feteke, K.; Grigoriou, I.; et al. Acute effects of e-cigarette vaping on pulmonary function and airway inflammation in healthy individuals and in patients with asthma. Respirology 2020, 25, 1037–1045. [Google Scholar] [CrossRef]
- Higgins, S.T.; Heil, S.H.; Sigmon, S.C.; Tidey, J.W.; Gaalema, D.E.; Stitzer, M.L.; Durand, H.; Bunn, J.Y.; Priest, J.S.; Arger, C.A. Response to varying the nicotine content of cigarettes in vulnerable populations: An initial experimental examination of acute effects. Psychopharmacology 2017, 234, 89–98. [Google Scholar] [CrossRef] [PubMed]
- Jessen, A.; Buemann, B.; Toubro, S.; Skovgaard, I.M.; Astrup, A. The appetite-suppressant effect of nicotine is enhanced by caffeine. Diabetes Obes. Metab. 2005, 7, 327–333. [Google Scholar] [CrossRef] [PubMed]
- Leach, P.T.; Cordero, K.A.; Gould, T.J. The effects of acute nicotine, chronic nicotine, and withdrawal from chronic nicotine on performance of a cued appetitive response. Behav. Neurosci. 2013, 127, 303–310. [Google Scholar] [CrossRef] [PubMed]
- Wilens, T.E.; Decker, M.W. Neuronal nicotinic receptor agonists for the treatment of attention-deficit/hyperactivity disorder: Focus on cognition. Biochem. Pharmacol. 2007, 74, 1212–1223. [Google Scholar] [CrossRef] [PubMed]
- Jung, Y.; Hsieh, L.S.; Lee, A.M.; Zhou, Z.; Coman, D.; Heath, C.J.; Hyder, F.; Mineur, Y.S.; Yuan, Q.; Goldman, D.; et al. An epigenetic mechanism mediates developmental nicotine effects on neuronal structure and behavior. Nat. Neurosci. 2016, 19, 905–914. [Google Scholar] [CrossRef]
- Hopenhayn, C.; Christian, W.J.; Christian, A.; Studts, J.; Mullet, T. Factors associated with smoking abstinence after diagnosis of early stage lung cancer. Lung Cancer 2013, 80, 55–61. [Google Scholar] [CrossRef]
- Homish, G.G.; Eiden, R.D.; Leonard, K.E.; Kozlowski, L.T. Social–environmental factors related to prenatal smoking. Addict. Behav. 2012, 37, 73–77. [Google Scholar] [CrossRef]
- Zhao, D.; Aravindakshan, A.; Hilpert, M.; Olmedo, P.; Rule, A.M.; Navas-Acien, A.; Aherrera, A. Metal/metalloid levels in electronic cigarette liquids, aerosols, and human biosamples: A systematic review. Environ. Health Perspect. 2020, 128, 036001. [Google Scholar] [CrossRef]
- Rai, P.K.; Lee, S.S.; Zhang, M.; Tsang, Y.F.; Kim, K.H. Heavy metals in food crops: Health risks, fate, mechanisms, and management. Environ. Int. 2019, 125, 365–385. [Google Scholar] [CrossRef]
- Grana, R.; Benowitz, N.; Glantz, S.A. E-cigarettes: A scientific review. Circulation 2014, 129, 1972–1986. [Google Scholar] [CrossRef]
- Mikheev, V.B.; Brinkman, M.C.; Granville, C.A.; Gordon, S.M.; Clark, P.I. Real-time measurement of electronic cigarette aerosol size distribution and metals content analysis. Nicotine Tob. Res. 2016, 18, 1895–1902. [Google Scholar] [CrossRef] [PubMed]
- Belka, M.; Lizal, F.; Jedelsky, J.; Jicha, M.; Pospisil, J. Measurement of an electronic cigarette aerosol size distribution during a puff. EPJ Web Conf. 2017, 143, 4. [Google Scholar] [CrossRef]
- Ji, E.H.; Sun, B.; Zhao, T.; Shu, S.; Chang, C.H.; Messadi, D.; Xia, T.; Zhu, Y.; Hu, S. Characterization of electronic cigarette aerosol and its induction of oxidative stress response in oral keratinocytes. PLoS ONE 2016, 11, e0154447. [Google Scholar]
- Zhao, T.; Nguyen, C.; Lin, C.; Middlekauff, H.R.; Peters, K.; Moheimani, R.; Guo, Q.; Zhu, Y. Characteristics of secondhand electronic cigarette aerosols from active human use. Aerosol Sci. Technol. 2017, 51, 1368–1376. [Google Scholar] [CrossRef]
- Zhang, L.; Lin, Y.; Zhu, Y. Transport and mitigation of exhaled electronic cigarette aerosols in a multizone indoor environment. Aerosol Air Qual. Res. 2020, 20, 2536–2547. [Google Scholar] [CrossRef]
- Hinds, W.C. Aerosol Technology: Properties, Behavior, and Measurement of Airborne Particles, 2nd ed.; John Wiley & Sons: New York, NY, USA, 1999; ISBN 978-04-7119-410-1. [Google Scholar]
- Geiss, O.; Bianchi, I.; Barahona, F.; Barrero-Moreno, J. Characterisation of mainstream and passive vapours emitted by selected electronic cigarettes. Int. J. Hyg. Environ. Health 2015, 218, 169–180. [Google Scholar] [CrossRef]
- United States Environmental Protection Agency (US EPA). Integrated Risk Information System (IRIS). Available online: https://www.epa.gov/iris (accessed on 15 June 2023).
- Agency for Toxic Substances and Disease Registry (ATSDR). ATSDR ToxGuides. Available online: https://wwwn.cdc.gov/TSP/ToxGuides/ToxGuidesLanding.aspx (accessed on 15 June 2023).
- California Environmental Protection Agency (CalEPA). Air Toxics Hot Spots Program Guidance Manual for Preparation of Health Risk Assessments Appendices A: Hot Spots Unit Risk and Cancer Potency Values. Available online: https://oehha.ca.gov/media/CPFs042909.pdf (accessed on 15 June 2023).
- Gangwar, C.; Choudhari, R.; Chauhan, A.; Kumar, A.; Singh, A.; Tripathi, A. Assessment of air pollution caused by illegal e-waste burning to evaluate the human health risk. Environ. Int. 2019, 125, 191–199. [Google Scholar] [CrossRef]
- Eshraghian, E.A.; Al-Delaimy, W.K. A review of constituents identified in e-cigarette liquids and aerosols. Tob. Prev. Cessat. 2021, 7, 10. [Google Scholar] [CrossRef]
- Soulet, S.; Sussman, R.A. A Critical Review of Recent Literature on Metal Contents in E-Cigarette Aerosol. Toxics 2022, 10, 510. [Google Scholar] [CrossRef]
- Cheng, Y.S.; Zhou, Y.; Chen, B.T. Particle deposition in a cast of human oral airways. Aerosol Sci. Technol. 1999, 31, 286–300. [Google Scholar] [CrossRef]
- Zhou, Y.; Cheng, Y.S. Particle deposition in a cast of human tracheobronchial airways. Aerosol Sci. Technol. 2005, 39, 492–500. [Google Scholar] [CrossRef]
- Su, W.C.; Chen, Y.; Bezerra, M.; Wang, J. Respiratory deposition of ultrafine welding fume particles. J. Occup. Environ. Hyg. 2019, 16, 694–706. [Google Scholar] [CrossRef]
- Su, W.C.; Chen, Y.; Xi, J. Estimation of the deposition of ultrafine 3D printing particles in human tracheobronchial airways. J. Aerosol Sci. 2020, 149, 105605. [Google Scholar] [CrossRef]
- Su, W.C.; Wong, S.W.; Buu, A. Deposition of E-cigarette aerosol in human airways through passive vaping. Indoor Air 2021, 31, 348–356. [Google Scholar] [CrossRef] [PubMed]
- Su, W.C.; Lin, Y.H.; Wong, S.W.; Chen, J.Y.; Lee, J.; Buu, A. Estimation of the dose of electronic cigarette chemicals deposited in human airways through passive vaping. J. Expo. Sci. Environ. Epidemiol. 2021, 31, 1008–1016. [Google Scholar] [CrossRef]
- Su, W.C.; Chen, Y.; Xi, J. A new approach to estimate ultrafine particle respiratory deposition. Inhal Toxicol. 2019, 31, 35–43. [Google Scholar] [CrossRef]
- Singh, D.P.; Begum, R.; Kaur, G.; Bagam, P.; Kambiranda, D.; Singh, R.; Batra, S. E-cig vapor condensate alters proteome and lipid profiles of membrane rafts: Impact on inflammatory responses in A549 cells. Cell Biol. Toxicol. 2021, 37, 773–793. [Google Scholar] [CrossRef]
- Lin, H.C.; Buu, A.; Su, W.C. Disposable E-Cigarettes and Associated Health Risks: An Experimental Study. Int. J. Environ. Res. Public Health 2022, 19, 10633. [Google Scholar] [CrossRef]
- Yang, W.; Casey, J.F.; Gao, Y. A new sample preparation method for crude or fuel oils by mineralization utilizing single reaction chamber microwave for broader multi-element analysis by ICP techniques. Fuel 2017, 206, 64–79. [Google Scholar] [CrossRef]
- ICRP. Human respiratory tract model for radiological protection. Publication 66. Ann. ICRP 1994, 24, 1–3. [Google Scholar] [CrossRef]





| E-Cigarette Product | 56–100 nm | 100–180 nm | 180–320 nm |
|---|---|---|---|
| Esco Bars (Banana) | 0.061 ± 0.028 (3 × 10−4 ± 2 × 10−4) | 0.023 ± 0.005 (2 × 10−4 ± 7 × 10−5) | 0.018 ± 0.001 (2 × 10−4 ± 3 × 10−5) |
| Kangvape Vintage (Grape) | 0.038 ± 0.005 (5 × 10−4 ± 4 × 10−7) | 0.033 ± 0.001 (4 × 10−4 ± 3 × 10−5) | 0.025 ± 0.016 (6 × 10−4 ± 3 × 10−4) |
| Air Bar Lux (Watermelon) | 0.033 ± 0.009 (2 × 10−4 ± 3 × 10−5) | 0.027 ± 0.005 (3 × 10−4 ± 9 × 10−6) | 0.016 ± 0.001 (2 × 10−4 ± 5 × 10−5) |
| Puff Bar (Grape) | 0.119 ± 0.146 (4 × 10−4 ± 4 × 10−4) | 0.055 ± 0.032 (5 × 10−4 ± 4 × 10−4) | 0.039 ± 0.001 (6 × 10−4 ± 9 × 10−5) |
| JUUL (Menthol) | 0.067 ± 0.043 (7 × 10−4 ± 2 × 10−4) | 0.123 ± 0.055 (6 × 10−4 ± 4 × 10−4) | 0.088 ± 0.014 (5 × 10−4 ± 2 × 10−4) |
| Metal | Non-Cancer Effects * | Cancer Effects ! (Carcinogen Classification) |
|---|---|---|
| Beryllium (Be) | Beryllium sensitization and chronic beryllium disease | Lung Cancer (EPA:B1; IARC:1) |
| Vanadium (V) | Lung damage | – |
| Chromium (Cr VI) | Lactate dehydrogenase in bronchioalveolar lavage fluid | Lung Cancer (EPA:A; IARC:1) |
| Manganese (Mn) | Impaired lung and neurobehavioral functions | – |
| Cobalt (Co) | Asthma-like allergy and decreased lung function | (IARC:2B) |
| Nickel (Ni) | Lung inflammation | Lung Cancer (EPA:A; IARC:1) |
| Arsenic (As) | Respiratory irritation | Lung Cancer (EPA:A; IARC:1) |
| Molybdenum (Mo) | Nasal lesions | – |
| Cadmium (Cd) | Emphysema and decreased lung function | Lung Cancer (EPA:B1; IARC:1) |
| Antimony (Sb) | Pneumoconiosis and laryngitis | – |
| Lead (Pb) | Altered neurosensory function | (EPA:B2; IARC:2B) |
| (a) | |||||||||
|---|---|---|---|---|---|---|---|---|---|
| E-Cigarette Product | Be | V | Mn | Co | Ni | Mo | Cd | Sb | HI # |
| Esco Bars (Banana) | 9.1 × 10−5 | 1.3 × 10−3 | 2.8 × 10−3 | 6.6 × 10−5 | 2.9 × 10−2 | 1.3 × 10−6 | 2.1 × 10−5 | 2.9 × 10−6 | 3.3 × 10−2 |
| Kangvape Vintage (Grape) | 5.2 × 10−5 | 3.8 × 10−5 | 4.5 × 10−4 | 2.1 × 10−5 | 5.5 × 10−4 | 1.4 × 10−6 | 1.3 × 10−4 | 5.7 × 10−6 | 1.3 × 10−3 |
| Air Bar Lux (Watermelon) | 3.6 × 10−5 | 2.5 × 10−5 | 2.5 × 10−4 | 8.8 × 10−6 | 2.2 × 10−4 | 5.9 × 10−7 | 4.3 × 10−6 | 1.4 × 10−5 | 5.6 × 10−4 |
| Puff Bar (Grape) | 4.7 × 10−5 | 3.6 × 10−5 | 7.6 × 10−4 | 4.8 × 10−5 | 1.2 × 10−3 | 1.3 × 10−6 | 1.4 × 10−5 | 2.3 × 10−6 | 2.1 × 10−3 |
| JUUL (Menthol) | 1.0 × 10−4 | 6.2 × 10−5 | 2.5 × 10−3 | 1.0 × 10−4 | 5.5 × 10−3 | 3.5 × 10−6 | 6.8 × 10−5 | 3.9 × 10−6 | 8.3 × 10−3 |
| (b) | |||||||||
| E-Cigarette Product | Be | Ni | As | Cd | Pb | ||||
| Esco Bars (Banana) | 1.9 × 10−9 | 2.7 × 10−7 | 1.3 × 10−7 | 1.6 × 10−10 | 1.2 × 10−11 | ||||
| Kangvape Vintage (Grape) | 1.1 × 10−9 | 5.1 × 10−9 | 3.3 × 10−9 | 1.0 × 10−9 | 1.5 × 10−11 | ||||
| Air Bar Lux (Watermelon) | 7.4 × 10−10 | 2.0 × 10−9 | 2.2 × 10−9 | 3.3 × 10−11 | 7.0 × 10−12 | ||||
| Puff Bar (Grape) | 9.7 × 10−10 | 1.1 × 10−8 | 3.7 × 10−9 | 1.1 × 10−10 | 2.9 × 10−11 | ||||
| JUUL (Menthol) | 2.1 × 10−9 | 5.1 × 10−8 | 6.2 × 10−9 | 5.3 × 10−10 | 4.5 × 10−11 | ||||
| Metal | E-Cigarette Product | Daily Deposited mass! (mg/day) | Non-Cancer | Cancer | ||||
|---|---|---|---|---|---|---|---|---|
| ADD # (mg/kg−day) | RfD * (mg/kg−day) | Non-Cancer Risk (HQ) | LADD $ (mg/kg−day) | CSF * (mg/kg−day)−1 | Cancer Risk | |||
| Be | Esco Bars (Banana) | 3.8 × 10−8 | 5.2 × 10−10 | 5.7 × 10−6 | 9.1 × 10−5 | 2.2 × 10−10 | 8.4 | 1.9 × 10−9 |
| Kangvape Vintage (Grape) | 2.2 × 10−8 | 3.0 × 10−10 | 5.7 × 10−6 | 5.2 × 10−5 | 1.3 × 10−10 | 8.4 | 1.1 × 10−9 | |
| Air Bar Lux (Watermelon) | 1.5 × 10−8 | 2.0 × 10−10 | 5.7 × 10−6 | 3.6 × 10−5 | 8.8 × 10−11 | 8.4 | 7.4 × 10−10 | |
| Puff Bar (Grape) | 2.0 × 10−8 | 2.7 × 10−10 | 5.7 × 10−6 | 4.7 × 10−5 | 1.1 × 10−10 | 8.4 | 9.7 × 10−10 | |
| JUUL (Menthol) | 5.9 × 10−10 | 5.9 × 10−10 | 5.7 × 10−6 | 1.0 × 10−4 | 2.5 × 10−10 | 8.4 | 2.1 × 10−9 | |
| V | Esco Bars (Banana) | 2.7 × 10−6 | 3.7 × 10−8 | 2.9 × 10−5 | 1.3 × 10−3 | 1.6 × 10−8 | − | − |
| Kangvape Vintage (Grape) | 7.9 × 10−8 | 1.1 × 10−9 | 2.9 × 10−5 | 3.8 × 10−5 | 4.7 × 10−10 | − | − | |
| Air Bar Lux (Watermelon) | 5.1 × 10−8 | 7.0 × 10−10 | 2.9 × 10−5 | 2.5 × 10−5 | 3.0 × 10−10 | − | − | |
| Puff Bar (Grape) | 7.5 × 10−8 | 1.0 × 10−9 | 2.9 × 10−5 | 3.6 × 10−5 | 4.4 × 10−10 | − | − | |
| JUUL (Menthol) | 1.3 × 10−7 | 1.8 × 10−9 | 2.9 × 10−5 | 6.2 × 10−5 | 7.6 × 10−10 | − | − | |
| Mn | Esco Bars (Banana) | 2.9 × 10−6 | 3.9 × 10−8 | 1.4 × 10−5 | 2.8 × 10−3 | 1.7 × 10−8 | − | − |
| Kangvape Vintage (Grape) | 4.7 × 10−7 | 6.5 × 10−9 | 1.4 × 10−5 | 4.5 × 10−4 | 2.8 × 10−9 | − | − | |
| Air Bar Lux (Watermelon) | 2.6 × 10−7 | 3.6 × 10−9 | 1.4 × 10−5 | 2.5 × 10−4 | 1.5 × 10−9 | − | − | |
| Puff Bar (Grape) | 7.9 × 10−7 | 1.1 × 10−8 | 1.4 × 10−5 | 7.6 × 10−4 | 4.7 × 10−9 | − | − | |
| JUUL (Menthol) | 2.6 × 10−6 | 3.5 × 10−8 | 1.4 × 10−5 | 2.5 × 10−3 | 1.5 × 10−8 | − | − | |
| Co | Esco Bars (Banana) | 1.4 × 10−7 | 1.9 × 10−9 | 2.9 × 10−5 | 6.6 × 10−5 | 8.1 × 10−10 | − | − |
| Kangvape Vintage (Grape) | 4.3 × 10−8 | 5.9 × 10−10 | 2.9 × 10−5 | 2.1 × 10−5 | 2.5 × 10−10 | − | − | |
| Air Bar Lux (Watermelon) | 1.8 × 10−8 | 2.5 × 10−10 | 2.9 × 10−5 | 8.8 × 10−6 | 1.1 × 10−10 | − | − | |
| Puff Bar (Grape) | 1.0 × 10−7 | 1.4 × 10−9 | 2.9 × 10−5 | 4.8 × 10−5 | 5.9 × 10−10 | − | − | |
| JUUL (Menthol) | 2.2 × 10−7 | 3.0 × 10−9 | 2.9 × 10−5 | 1.0 × 10−4 | 1.3 × 10−9 | − | − | |
| Ni | Esco Bars (Banana) | 5.5 × 10−5 | 7.5 × 10−7 | 2.6 × 10−5 | 2.9 × 10−2 | 3.2 × 10−7 | 0.84 | 2.7 × 10−7 |
| Kangvape Vintage (Grape) | 1.0 × 10−6 | 1.4 × 10−8 | 2.6 × 10−5 | 5.5 × 10−4 | 6.1 × 10−9 | 0.84 | 5.1 × 10−9 | |
| Air Bar Lux (Watermelon) | 4.1 × 10−7 | 5.6 × 10−9 | 2.6 × 10−5 | 2.2 × 10−4 | 2.4 × 10−9 | 0.84 | 2.0 × 10−9 | |
| Puff Bar (Grape) | 2.3 × 10−6 | 3.2 × 10−8 | 2.6 × 10−5 | 1.2 × 10−3 | 1.4 × 10−8 | 0.84 | 1.1 × 10−8 | |
| JUUL (Menthol) | 1.0 × 10−5 | 1.4 × 10−7 | 2.6 × 10−5 | 5.5 × 10−3 | 6.1 × 10−8 | 0.84 | 5.1 × 10−8 | |
| As | Esco Bars (Banana) | 1.5 × 10−6 | 2.1 × 10−8 | − | − | 9.0 × 10−9 | 15.05 | 1.3 × 10−7 |
| Kangvape Vintage (Grape) | 3.7 × 10−8 | 5.1 × 10−10 | − | − | 2.2 × 10−10 | 15.05 | 3.3 × 10−9 | |
| Air Bar Lux (Watermelon) | 2.4 × 10−8 | 3.3 × 10−10 | − | − | 1.4 × 10−10 | 15.05 | 2.2 × 10−9 | |
| Puff Bar (Grape) | 4.2 × 10−8 | 5.8 × 10−10 | − | − | 2.5 × 10−10 | 15.05 | 3.7 × 10−9 | |
| JUUL (Menthol) | 7.1 × 10−8 | 9.7 × 10−10 | − | − | 4.1 × 10−10 | 15.05 | 6.2 × 10−9 | |
| Mo | Esco Bars (Banana) | 5.6 × 10−8 | 7.7 × 10−10 | 5.7 × 10−4 | 1.3 × 10−6 | 3.3 × 10−10 | − | − |
| Kangvape Vintage (Grape) | 6.0 × 10−8 | 8.2 × 10−10 | 5.7 × 10−4 | 1.4 × 10−6 | 3.5 × 10−10 | − | − | |
| Air Bar Lux (Watermelon) | 2.5 × 10−8 | 3.4 × 10−10 | 5.7 × 10−4 | 5.9 × 10−7 | 1.4 × 10−10 | − | − | |
| Puff Bar (Grape) | 5.5 × 10−8 | 7.6 × 10−10 | 5.7 × 10−4 | 1.3 × 10−6 | 3.2 × 10−10 | − | − | |
| JUUL (Menthol) | 1.5 × 10−7 | 2.0 × 10−9 | 5.7 × 10−4 | 3.5 × 10−6 | 8.6 × 10−10 | − | − | |
| Cd | Esco Bars (Banana) | 4.3 × 10−9 | 5.9 × 10−11 | 2.9 × 10−6 | 2.1 × 10−5 | 2.5 × 10−11 | 6.3 | 1.6 × 10−10 |
| Kangvape Vintage (Grape) | 2.7 × 10−8 | 3.7 × 10−10 | 2.9 × 10−6 | 1.3 × 10−4 | 1.6 × 10−10 | 6.3 | 1.0 × 10−9 | |
| Air Bar Lux (Watermelon) | 9.0 × 10−10 | 1.2 × 10−11 | 2.9 × 10−6 | 4.3 × 10−6 | 5.3 × 10−12 | 6.3 | 3.3 × 10−11 | |
| Puff Bar (Grape) | 3.0 × 10−9 | 4.1 × 10−11 | 2.9 × 10−6 | 1.4 × 10−5 | 1.7 × 10−11 | 6.3 | 1.1 × 10−10 | |
| JUUL (Menthol) | 1.4 × 10−8 | 1.9 × 10−10 | 2.9 × 10−6 | 6.8 × 10−5 | 8.3 × 10−11 | 6.3 | 5.3 × 10−10 | |
| Sb | Esco Bars (Banana) | 1.8 × 10−8 | 2.4 × 10−10 | 8.6 × 10−5 | 2.9 × 10−6 | 1.0 × 10−10 | − | − |
| Kangvape Vintage (Grape) | 3.6 × 10−8 | 4.9 × 10−10 | 8.6 × 10−5 | 5.7 × 10−6 | 2.1 × 10−10 | − | − | |
| Air Bar Lux (Watermelon) | 8.6 × 10−8 | 1.2 × 10−9 | 8.6 × 10−5 | 1.4 × 10−5 | 5.1 × 10−10 | − | − | |
| Puff Bar (Grape) | 1.4 × 10−8 | 2.0 × 10−10 | 8.6 × 10−5 | 2.3 × 10−6 | 8.5 × 10−11 | − | − | |
| JUUL (Menthol) | 2.4 × 10−8 | 3.3 × 10−10 | 8.6 × 10−5 | 3.9 × 10−6 | 1.4 × 10−10 | − | − | |
| Pb | Esco Bars (Banana) | 4.8 × 10−8 | 6.6 × 10−10 | − | − | 2.8 × 10−10 | 0.042 | 1.2 × 10−11 |
| Kangvape Vintage (Grape) | 6.0 × 10−8 | 8.2 × 10−10 | − | − | 3.5 × 10−10 | 0.042 | 1.5 × 10−11 | |
| Air Bar Lux (Watermelon) | 2.8 × 10−8 | 3.9 × 10−10 | − | − | 1.7 × 10−10 | 0.042 | 7.0 × 10−12 | |
| Puff Bar (Grape) | 1.2 × 10−7 | 1.6 × 10−9 | − | − | 6.8 × 10−10 | 0.042 | 2.9 × 10−11 | |
| JUUL (Menthol) | 1.8 × 10−7 | 2.5 × 10−9 | − | − | 1.1 × 10−9 | 0.042 | 4.5 × 10−11 | |
Disclaimer/Publisher’s Note: The statements, opinions and data contained in all publications are solely those of the individual author(s) and contributor(s) and not of MDPI and/or the editor(s). MDPI and/or the editor(s) disclaim responsibility for any injury to people or property resulting from any ideas, methods, instructions or products referred to in the content. |
© 2023 by the authors. Licensee MDPI, Basel, Switzerland. This article is an open access article distributed under the terms and conditions of the Creative Commons Attribution (CC BY) license (https://creativecommons.org/licenses/by/4.0/).
Share and Cite
Su, W.-C.; Lee, J.; Zhang, K.; Wong, S.-W.; Buu, A. Estimation of Health Risks Caused by Metals Contained in E-Cigarette Aerosol through Passive Vaping. Toxics 2023, 11, 684. https://doi.org/10.3390/toxics11080684
Su W-C, Lee J, Zhang K, Wong S-W, Buu A. Estimation of Health Risks Caused by Metals Contained in E-Cigarette Aerosol through Passive Vaping. Toxics. 2023; 11(8):684. https://doi.org/10.3390/toxics11080684
Chicago/Turabian StyleSu, Wei-Chung, Jinho Lee, Kai Zhang, Su-Wei Wong, and Anne Buu. 2023. "Estimation of Health Risks Caused by Metals Contained in E-Cigarette Aerosol through Passive Vaping" Toxics 11, no. 8: 684. https://doi.org/10.3390/toxics11080684
APA StyleSu, W.-C., Lee, J., Zhang, K., Wong, S.-W., & Buu, A. (2023). Estimation of Health Risks Caused by Metals Contained in E-Cigarette Aerosol through Passive Vaping. Toxics, 11(8), 684. https://doi.org/10.3390/toxics11080684

