Risk Evaluation of Pollutants Emission from Coal and Coal Waste Combustion Plants and Environmental Impact of Fly Ash Landfilling
Abstract
1. Introduction
2. Materials and Methods
2.1. Ash Sample Collection and Storage
2.2. Emission of NOx, CO, SO2 and Total PM from TPPs and FBB
2.3. Determination of Trace Elements and Lead Isotopic Ratios
2.3.1. Sequential Extraction of FAs
2.3.2. ICP-MS Analysis
2.4. Analysis of PAHs Content in FAs
2.4.1. PAHs Extraction
2.4.2. HPLC Analysis
2.5. Data Analysis
2.5.1. Estimation of EFs for Selected Trace Elements and PAHs
2.5.2. Crustal Enrichment Factor (CEF)
2.5.3. Risk Assessment Code (RAC)
2.5.4. Pollution Index (PI)
2.5.5. Risk Index (RI)
2.5.6. BaPeq and BaPE Values for FAs
3. Results and Discussion
3.1. NOx, CO, SO2 and Total PM Emission from TPPs and FBB
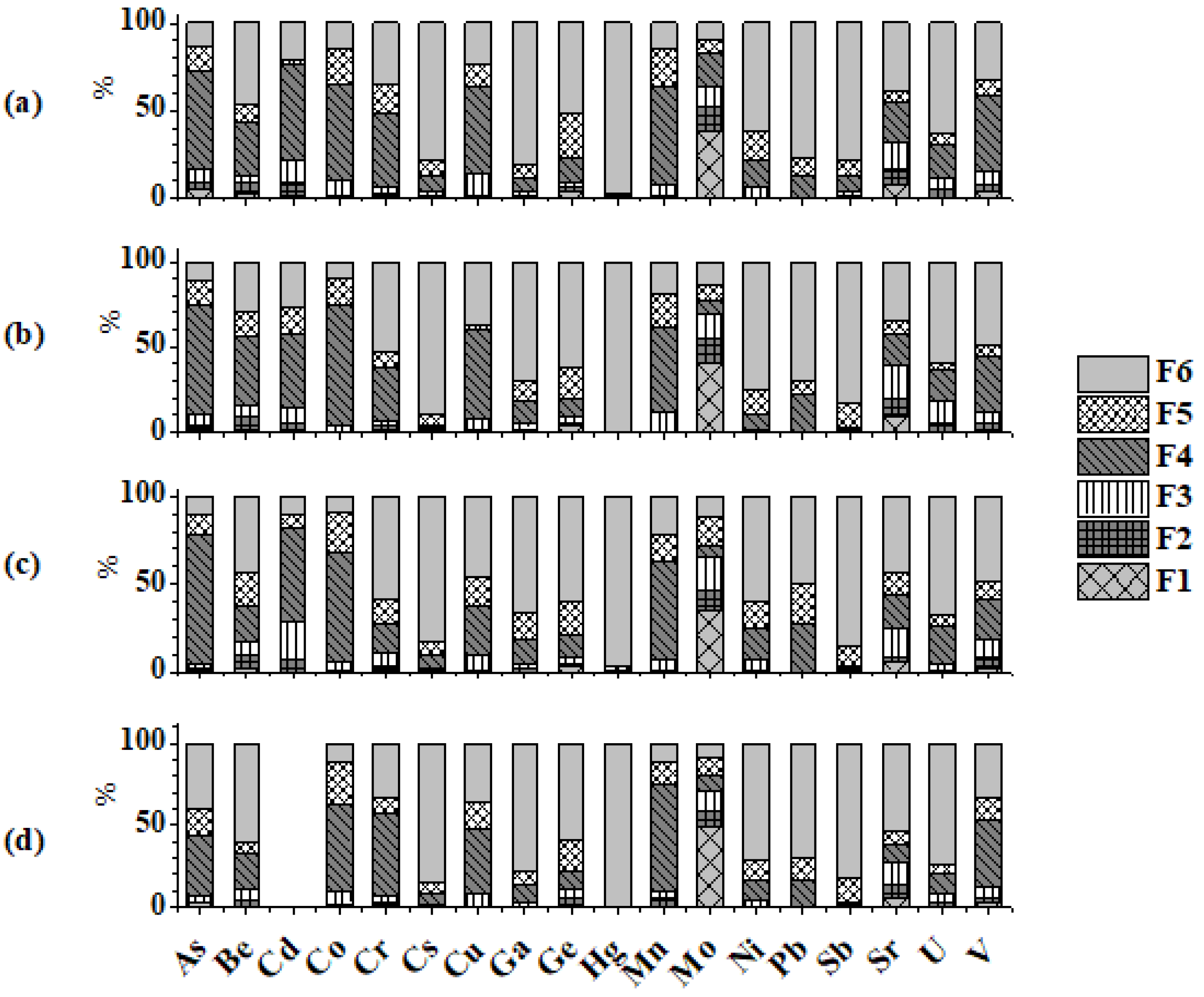
3.2. Sequential Extraction of Trace Elements from FAs
3.3. Lead Isotope Ratios
3.4. Trace Elements EFs
3.5. Environmental Concerns of Investigated Trace Elements from FAs
3.5.1. Crustal Enrichment Factor Normalized to Mn (CEFn/Mn)
3.5.2. Risk Assessment Code
3.5.3. Pollution Indices and Risk Indices
3.6. PAHs Content in FAs
3.7. PAH Emission Factors
3.8. Potential Environmental Effects of PAHs from FAs
4. Conclusions
- Total PM emission factors exceed EMEP PM10 upper limits for all combustion facilities, while significantly higher EFs values are noticed for NOx and SO2 in TPP Kolubara A and CO in TPPs Nikola Tesla A and Kostolac B;
- Arsenic emissions from all combustion facilities exceed the limit values specified in relevant standards, whereas only Hg emissions from FBB fulfill the criterion established by the US EPA;
- FBB has much higher BbF, BkF, BaP, and IP EF values than TPPs due to the poor quality of coal waste and combustion conditions in FBB;
- Water-soluble fractions have the lowest trace element concentrations, ranging from 9.35 mg/kg (CFB) to 22.45 mg/kg (TPPKb), whereas the highest carcinogenic trace element contents are in the residual fractions, varying from 39.52% (TPPNT) to 42.92% (CFB);
- The CEFn/Mn and PIs for As and Hg imply higher enrichment and pollution levels, however their low RAC values indicate that they will not easily leach into the environment;
- All TPP fly ashes have RI values that show a very high ecological risk, while CFB has a moderate ecological risk;
- CFB has the highest BaPeq and BAPE values, suggesting a significant carcinogenic potential and thus high environmental risk;
- The determined lead isotope fingerprint for investigated coals and FAs is within ranges of other countries and can be particularly useful in the source apportionment of lead pollution.
Supplementary Materials
Author Contributions
Funding
Institutional Review Board Statement
Informed Consent Statement
Data Availability Statement
Acknowledgments
Conflicts of Interest
Abbreviations
| BA | bottom ash |
| BaP | benzo[a]pyrene |
| BaPE | benzo[a]pyrene-based equivalent carcinogenic power |
| BaPeq | benzo[a]pyrene-based toxic equivalent factor |
| BbF | benzo[b]fluoranthene |
| BkF | benzo[k]fluoranthene |
| C | carcinogenic elements |
| CEF | crustal enrichment factor |
| CFB | fly ash from cyclone of fluidized bed boiler |
| CFBB | coal waste from fluidized bed boiler |
| CKb | coal from TPP Kolubara A |
| CKs | coal from TPP Kostolac B |
| CNT | coal from TPP Nikola Tesla A |
| EF | emission factor |
| EMEP | European monitoring and evaluation programme |
| F1 | water-soluble fraction |
| F2 | exchangeable fraction |
| F3 | carbonate bound fraction |
| F4 | metal oxide bound fraction |
| F5 | organic bound fraction |
| F6 | residual fraction |
| FA | fly ash |
| FBB | fluidized bed boiler |
| ICP-MS | inductively coupled plasma mass spectrometry |
| IP | indeno[1,2,3-cd]pyrene |
| NC | non-carcinogenic elements |
| PAHs | polycyclic aromatic hydrocarbons |
| PI | pollution index |
| PM | particulate matter |
| RAC | risk assessment code |
| RI | risk index |
| TPP | thermal power plant |
| TPPKb | fly ash from TPP Kolubara A |
| TPPKs | fly ash from TPP Kostolac B |
| TPPNT | fly ash from TPP Nikola Tesla A |
References
- Moroń, W.; Rybak, W. NOx and SO2 emissions of coals, biomass and their blends under different oxy-fuel atmospheres. Atmos. Environ. 2015, 116, 65–71. [Google Scholar] [CrossRef]
- Fdez-Ortiz de Vallejuelo, S.; Gredilla, A.; da Boit, K.; Teixeira, E.C.; Sampaio, C.H.; Madariaga, J.M.; Silva, L.F.O. Nanominerals and potentially hazardous elements from coal cleaning rejects of abandoned mines: Environmental impact and risk assessment. Chemosphere 2017, 169, 725–733. [Google Scholar] [CrossRef] [PubMed]
- EPI. Available online: http://www.eps.rs/eng/Documents/Kompanijski%20Profil%202018%20-%20ENG.pdf (accessed on 12 March 2023).
- EPI. Available online: https://www.eps.rs/eng/Documents/technicalreports/TEH_Godisnjak2018_web_en.pdf (accessed on 10 March 2023).
- IEA. Available online: https://iea.blob.core.windows.net/assets/c40f0317-f8e6-4f00-b183-27a24c7b6a8f/Coal_Information_2019_Overview.pdf (accessed on 10 March 2023).
- Repić, B.S.; Paprika, M.J.; Mladenović, M.R.; Nemoda, S.Đ.; Erić, A.M.; Dakić, D.V. Waste fuel combustion testing in a fluidized bed boiler. In Proceedings of the International Conference “Power Plants 2018”, Zlatibor, Serbia, 5 November 2018; pp. 318–329. [Google Scholar]
- Singh, S.; Ram, L.C.; Masto, R.E.; Verma, S.K. A comparative evaluation of minerals and trace elements in the ashes from lignite, coal refuse, and biomass fired power plants. Int. J. Coal Geol. 2011, 87, 112–120. [Google Scholar] [CrossRef]
- European Monitoring and Evaluation Programme. Available online: http://www.emep.int/ (accessed on 12 March 2023).
- Directive 2001/80/EC; Limitation of Emissions of Certain Pollutants into the Air from Large Combustion Plants. European Parliament: London, UK, 2001.
- Otero-Rey, J.R.; López-Vilariño, J.M.; Moreda-Piñeiro, J.; Alonso-Rodríguez, E.; Muniategui-Lorenzo, S.; López-Mahía, P.; Prada-Rodríguez, D. As, Hg, and Se flue gas sampling in a coal-fired power plant and their fate during coal combustion. Environ. Sci. Technol. 2003, 37, 5262–5267. [Google Scholar] [CrossRef]
- Zhao, S.; Duan, Y.; Chen, L.; Li, Y.; Yao, T.; Liu, S.; Liu, M.; Lu, J. Study on emission of hazardous trace elements in a 350 MW coal-fired power plant. Part 2. arsenic, chromium, barium, manganese, lead. Environ. Pollut. 2017, 226, 404–411. [Google Scholar] [CrossRef]
- Wang, R.; Liu, G.; Sun, R.; Yousaf, B.; Wang, J.; Liu, R.; Zhang, H. Emission characteristics for gaseous- and size-segregated particulate PAHs in coal combustion flue gas from circulating fluidized bed (CFB) boiler. Environ. Pollut. 2018, 238, 581–589. [Google Scholar] [CrossRef]
- Geng, C.; Chen, J.; Yang, X.; Ren, L.; Yin, B.; Liu, X.; Bai, Z. Emission factors of polycyclic aromatic hydrocarbons from domestic coal combustion in China. J. Environ. Sci. 2014, 26, 160–166. [Google Scholar] [CrossRef]
- Jambhulkar, H.P.; Shaikh, S.M.S.; Kumar, S.M. Fly ash toxicity, emerging issues and possible implications for its exploitation in agriculture; Indian scenario: A review. Chemosphere 2018, 213, 333–344. [Google Scholar] [CrossRef]
- Jankowski, J.; Ward, C.R.; French, D.; Groves, S. Mobility of trace elements from selected Australian fly ashes and its potential impact on aquatic ecosystems. Fuel 2006, 85, 243–256. [Google Scholar] [CrossRef]
- Das, S.; Raj, R.; Mangwani, N.; Dash, H.R.; Chakraborty, J. Heavy metals and hydrocarbons: Adverse effects and mechanism of toxicity. In Microbial Biodegradation and Bioremediation; Das, S., Ed.; Elsevier: Oxford, UK, 2014; pp. 23–54. [Google Scholar]
- Shaheen, S.M.; Hooda, P.S.; Tsadilas, C.D. Opportunities and challenges in the use of coal fly ash for soil improvements—A review. J. Environ. Manag. 2014, 145, 249–267. [Google Scholar] [CrossRef]
- Nalbandian, H. Trace Element Emissions from Coal; IEA Clean Coal Center: London UK, 2012. [Google Scholar]
- Arditsoglou, A.; Petaloti, C.; Terzi, E.; Sofoniou, M.; Samara, C. Size distribution of trace elements and polycyclic aromatic hydrocarbons in fly ashes generated in Greek lignite-fired power plants. Sci. Total Environ. 2004, 323, 153–167. [Google Scholar] [CrossRef] [PubMed]
- Kong, S.; Shi, J.; Lu, B.; Qiu, W.; Zhang, B.; Peng, Y.; Zhang, B.; Bai, Z. Characterization of PAHs within PM10 fraction for ashes from coke production, iron smelt, heating station and power plant stacks in Liaoning Province, China. Atmos. Environ. 2011, 45, 3777–3785. [Google Scholar] [CrossRef]
- Pöykiö, R.; Mäkelä, M.; Watkins, G.; Nurmesniemi, H.; Dahl, O. Heavy metals leaching in bottom ash and fly ash fractions from industrial-scale BFB-boiler for environmental risks assessment. Trans. Nonferrous Met. Soc. China 2016, 26, 256–264. [Google Scholar] [CrossRef]
- Van Herck, P.; Vandecasteele, C. Evaluation of the use of a sequential extraction procedure for the characterization and treatment of metal containing solid waste. Waste Manag. 2001, 21, 685–694. [Google Scholar] [CrossRef]
- Dauvalter, V.; Kashulin, N. Assessment of the ecological state of the arctic freshwater system based on concentrations of heavy metals in the bottom sediments. Geochem. Int. 2018, 56, 842–856. [Google Scholar] [CrossRef]
- Pan, Y.; Wu, Z.; Zhou, J.; Zhao, J.; Ruan, X.; Liu, J.; Qian, G. Chemical characteristics and risk assessment of typical municipal solid waste incineration (MSWI) fly ash in China. J. Hazard. Mater. 2013, 261, 269–276. [Google Scholar] [CrossRef]
- Yue, Y.; Liu, Z.; Liu, Z.; Zhang, J.; Lu, M.; Zhou, J.; Qian, G. Rapid evaluation of leaching potential of heavy metals from municipal solid waste incineration fly ash. J. Environ. Manag. 2019, 238, 144–152. [Google Scholar] [CrossRef]
- U.S. EPA. Priority Pollutant List. Available online: https://www.epa.gov/sites/production/files/2015-09/documents/priority-pollutant-list-epa.pdf (accessed on 12 March 2023).
- Wang, D.; Ma, J.; Li, H.; Zhang, X. Concentration and potential ecological risk of PAHs in different layers of soil in the petroleum-contaminated areas of the Loess Plateau, China. Int. J. Environ. Res. Public Health 2018, 15, 1785. [Google Scholar] [CrossRef]
- Ruwei, W.; Jiamei, Z.; Jingjing, L.; Liu, G. Levels and patterns of polycyclic aromatic hydrocarbons in coal-fired power plant bottom ash and fly ash from Huainan, China. Arch. Environ. Contam. Toxicol. 2013, 65, 193–202. [Google Scholar] [CrossRef]
- Díaz-Somoano, M.; Suárez-Ruiz, I.; Alonso, J.I.G.; Ruiz Encinar, J.; López-Antón, M.A.; Martínez-Tarazona, M.R. Lead isotope ratios in Spanish coals of different characteristics and origin. Int. J. Coal Geol. 2007, 71, 28–36. [Google Scholar] [CrossRef]
- Cheng, H.; Hu, Y. Lead (Pb) isotopic fingerprinting and its applications in lead pollution studies in China: A review. Environ. Pollut. 2010, 158, 1134–1146. [Google Scholar] [CrossRef] [PubMed]
- Krachler, M.; Le Roux, G.; Kober, B.; Shotyk, W. Optimising accuracy and precision of lead isotope measurement (206Pb, 207Pb, 208Pb) in acid digests of peat with ICP-SMS using individual mass discrimination correction. J. Anal. At. Spectrom. 2004, 19, 354–361. [Google Scholar] [CrossRef]
- Diaz-Somoano, M.; Kylander, M.; Weiss, D.J.; Lopez-Anton, M.A.; Suarez-Ruiz, I.; Martinez-Tarazona, M.R.; Research, I.E.A.C. Lead isotope variability in different world wide coal deposits. In Proceedings of the International Conference on Coal Science and Technology, Nottingham, UK, 1 July 2007; 127. [Google Scholar]
- Komárek, M.; Ettler, V.; Chrastný, V.; Mihaljevič, M. Lead isotopes in environmental sciences: A review. Environ. Int. 2008, 34, 562–577. [Google Scholar] [CrossRef]
- Buha-Marković, J.Z.; Marinković, A.D.; Nemoda, S.Đ.; Savić, J.Z. Distribution of PAHs in coal ashes from the thermal power plant and fluidized bed combustion system; estimation of environmental risk of ash disposal. Environ. Pollut. 2020, 266, 115282. [Google Scholar] [CrossRef] [PubMed]
- ISO SRPS EN 14792; Stationary Source Emissions—Determination of the Mass Concentration of Nitrogen Oxides—Standard Reference Method: Chemiluminescence. ISO: Geneva, Switzerland, 2017.
- SRPS ISO 7935; Stationary Source Emissions—Determination of the Mass Concentration of Sulfur Dioxide—Performance Characteristics of Automated Measuring Methods. ISO: Geneva, Switzerland, 2010.
- SRPS EN 15058; Stationary Source Emissions—Determination of the Mass Concentration of Carbon Monoxide—Standard Reference Method: Non-Dispersive Infrared Spectrometry. ISO: Geneva, Switzerland, 2017.
- SRPS ISO 9096; Stationary Source Emissions—Manual Determination of Mass Concentration of Particulate Matter. ISO: Geneva, Switzerland, 2019.
- EN 14789; Stationary Source Emissions—Determination of Volume Concentration of Oxygen. Standard Reference Method: Paramagnetism. European Standard: Brussels, Belgium, 2017.
- SRPS ISO 12039; Stationary Source Emissions—Determination of the Mass Concentration of Carbon Monoxide, Carbon Dioxide and Oxygen in Flue Gas—Performance Characteristics of Automated Measuring Systems. ISO: Geneva, Switzerland, 2021.
- Masto, R.E.; Sarkar, E.; George, J.; Jyoti, K.; Dutta, P.; Ram, L.C. PAHs and potentially toxic elements in the fly ash and bed ash of biomass fired power plants. Fuel Process. Technol. 2015, 132, 139–152. [Google Scholar] [CrossRef]
- Reddy, M.S.; Basha, S.; Joshi, H.V.; Jha, B. Evaluation of the emission characteristics of trace metals from coal and fuel oil fired power plants and their fate during combustion. J. Hazard. Mater. 2005, 123, 242–249. [Google Scholar] [CrossRef]
- Han, D.; Wu, Q.; Wang, S.; Xu, L.; Duan, L.; Wen, M.; Li, G.; Li, Z.; Tang, Y.; Liu, K. Distribution and emissions of trace elements in coal-fired power plants after ultra-low emission retrofitting. Sci. Total Environ. 2021, 754, 142285. [Google Scholar] [CrossRef]
- Chen, G.; Sun, Y.; Wang, Q.; Yan, B.; Cheng, Z.; Ma, W. Partitioning of trace elements in coal combustion products: A comparative study of different applications in China. Fuel 2019, 240, 31–39. [Google Scholar] [CrossRef]
- EMEP. Emission Inventory Guidebook, An Approach to Estimation of PAH Emissions. Available online: https://www.eea.europa.eu/publications/EMEPCORINAIR5/BPAH.pdf (accessed on 10 March 2023).
- Zhou, Y.; Ning, X.-a.; Liao, X.; Lin, M.; Liu, J.; Wang, J. Characterization and environmental risk assessment of heavy metals found in fly ashes from waste filter bags obtained from a Chinese steel plant. Ecotoxicol. Environ. Saf. 2013, 95, 130–136. [Google Scholar] [CrossRef]
- Kowalska, J.B.; Mazurek, R.; Gąsiorek, M.; Zaleski, T. Pollution indices as useful tools for the comprehensive evaluation of the degree of soil contamination-A review. Environ. Geochem. Health 2018, 40, 2395–2420. [Google Scholar] [CrossRef]
- U.S. EPA. Provisional Guidance for Quantitative Risk Assessment of Polycyclic Aromatic Hydrocarbons (PAH); EPA/600/R-93/089; US EPA: Washington DC, USA, 1993. [Google Scholar]
- Government of the Republic of Serbia. Regulation on Emission Limit Values for Gaseous Pollutans from the Combustion Plants; 110-13947/2015-1; Government of the Republic of Serbia: Belgrade, Serbia, 2016. [Google Scholar]
- Wang, R.; Liu, G.; Zhang, J. Variations of emission characterization of PAHs emitted from different utility boilers of coal-fired power plants and risk assessment related to atmospheric PAHs. Sci. Total Environ. 2015, 538, 180–190. [Google Scholar] [CrossRef]
- Mastral, A.M.; Callén, M.S.; Garcia, T. Toxic organic emissions from coal combustion. Fuel Process. Technol. 2000, 67, 1–10. [Google Scholar] [CrossRef]
- Nielsen, O.-K.; Plejdrup, M.S.; Dore, C.; Nielsen, M.; Kubica, K.; Paradiz, B.; Dilara, P.; Klimont, Z.; Kakareka, S.; Debsk, B.; et al. EMEP/EEA Air Pollutant Emission Inventory Guidebook 2019, 1.A.4 Small Combustion; EEA: Copenhagen, Denmark, 2019. [Google Scholar]
- Nielsen, O.-K.; Plejdrup, M.; Rentz, O.; Oertel, D.; Woodfield, M.; Stewart, R. EMEP/EEA Air Polluutant Emission Inventory Guidebool 2019, 1.A.4 Small Combustion; EEA: Copenhagen, Denmark, 2019. [Google Scholar]
- Izquierdo, M.; Querol, X. Leaching behaviour of elements from coal combustion fly ash: An overview. Int. J. Coal Geol. 2012, 94, 54–66. [Google Scholar] [CrossRef]
- Haghighi, H.K.; Irannajad, M.; Fortuny, A.; Sastre, A.M. Recovery of germanium from leach solutions of fly ash using solvent extraction with various extractants. Hydrometallurgy 2018, 175, 164–169. [Google Scholar] [CrossRef]
- Komonweeraket, K.; Cetin, B.; Benson, C.H.; Aydilek, A.H.; Edil, T.B. Leaching characteristics of toxic constituents from coal fly ash mixed soils under the influence of pH. Waste Manag. 2015, 38, 174–184. [Google Scholar] [CrossRef]
- Nurmesniemi, H.; Poykio, R.; Kuokkanen, T.; Ramo, J. Chemical sequential extraction of heavy metals and sulphur in bottom ash and in fly ash from a pulp and paper mill complex. Waste Manag. Res. 2008, 26, 389–399. [Google Scholar] [CrossRef]
- Brubaker, T.M.; Stewart, B.W.; Capo, R.C.; Schroeder, K.T.; Chapman, E.C.; Spivak-Birndorf, L.J.; Vesper, D.J.; Cardone, C.R.; Rohar, P.C. Coal fly ash interaction with environmental fluids: Geochemical and strontium isotope results from combined column and batch leaching experiments. Appl. Geochem. 2013, 32, 184–194. [Google Scholar] [CrossRef]
- Wang, H.; Fan, X.; Wang, Y.-n.; Li, W.; Sun, Y.; Zhan, M.; Wu, G. Comparative leaching of six toxic metals from raw and chemically stabilized MSWI fly ash using citric acid. J. Environ. Manag. 2018, 208, 15–23. [Google Scholar] [CrossRef]
- U.S. EPA. National Emission Standards for Hazardous Air Pollutants: Coal- and Oil-Fired Electric Utility Steam Generating Units; Subcategory of Certain Existing Electric Utility Steam Generating Units Firing Eastern Bituminous Coal Refuse for Emissions of Acid Gas Hazardous Air Pollutants; US EPA: Durham, NC, USA, 2020. [Google Scholar]
- Ministry of Environmental Protection of China (MEPC). Emission Standard of Air Pollutants for Coal-Fired Power Plants; Ministry of Environmental Protection of China (MEPC): Beijing, China, 2011. [Google Scholar]
- Zhu, H.-N.; Yuan, X.-Z.; Zeng, G.-M.; Jiang, M.; Liang, J.; Zhang, C.; Yin, J.; Huang, H.-J.; Liu, Z.-F.; Jiang, H.-W. Ecological risk assessment of heavy metals in sediments of Xiawan Port based on modified potential ecological risk index. Trans. Nonferrous Met. Soc. China 2012, 22, 1470–1477. [Google Scholar] [CrossRef]
- Yang, D.; Zhu, H.; Liu, J.; Zhang, Y.; Wu, S.; Xiong, J.; Wang, F. Risk Assessment of Heavy Metals in Soils from Four Different Industrial Plants in a Medium-Sized City in North China. Toxics 2023, 11, 217. [Google Scholar] [CrossRef]
- CCME. Canadian Soil Quality Guidelines for the Protection of Environmental and Human Health: Summary Tables; Canadian Council of Ministers of the Environment: Winnipeg, MB, Canada, 2007. [Google Scholar]
- Dahl, O.; Nurmesniemi, H.; Pöykiö, R.; Watkins, G. Heavy metal concentrations in bottom ash and fly ash fractions from a large-sized (246MW) fluidized bed boiler with respect to their Finnish forest fertilizer limit values. Fuel Process. Technol. 2010, 91, 1634–1639. [Google Scholar] [CrossRef]
- ECD. Council decision of 19 December 2002 establishing criteria and procedures for the acceptance of waste at landfills pursuant to Article 16 of and Annex II to Directive 1999/31/EC. Off. J. Eur. Communities 2002, 16, 27–49. [Google Scholar]
- Turhan, Ş. Evaluation of agricultural soil radiotoxic element pollution around a lignite-burning thermal power plant. Radiochim. Acta 2020, 108, 77–85. [Google Scholar] [CrossRef]
- Usmani, Z.; Kumar, V. Characterization, partitioning, and potential ecological risk quantification of trace elements in coal fly ash. Environ. Sci. Pollut. Res. 2017, 24, 15547–15566. [Google Scholar] [CrossRef] [PubMed]
- Hakanson, L. An ecological risk index for aquatic pollution control. A sedimentological approach. Water Res. 1980, 14, 975–1001. [Google Scholar] [CrossRef]
- Ribeiro, J.; Silva, T.F.; Filho, J.G.M.; Flores, D. Fly ash from coal combustion—An environmental source of organic compounds. Appl. Geochem. 2014, 44, 103–110. [Google Scholar] [CrossRef]
- Liu, S.; Wang, Y.; Zhang, Z.; Li, Z.; Chen, C.; Guo, T.; Mei, Y.; Dong, J. Distribution of PAHs and trace elements in coal fly ash collected from a 5-stage electrostatic precipitator. J. Electrost. 2018, 96, 144–150. [Google Scholar] [CrossRef]
- Jakovljević, I.; Smoljo, I.; Sever Štrukil, Z.; Pehnec, G. Carcinogenic Activity and Risk Assessment of PAHs in Ambient Air: PM10 Particle Fraction and Bulk Deposition. Toxics 2023, 11, 228. [Google Scholar] [CrossRef]
- Li, Y.; Liao, Y.; He, Y.; Xia, K.; Qiao, S.; Zhang, Q. Polycyclic aromatic hydrocarbons concentration in straw biochar with different particle size. Procedia Environ. Sci. 2016, 31, 91–97. [Google Scholar] [CrossRef]







| TPP | Kolubara A | Kostolac B | Nikola Tesla A | FBB |
|---|---|---|---|---|
| fW (m3/h) | 509,642.3 | 3,260,671.3 | 2,429,662.3 | 820 |
| fst (Nm3/h) | 254,751.3 | 1,596,911.0 | 1,201,327.3 | 434 |
| fR (Nm3/h) | 187,123.3 | 1,535,411.3 | 850,350.0 | 315 |
| A | B | C | |||||||||||||||
|---|---|---|---|---|---|---|---|---|---|---|---|---|---|---|---|---|---|
| Details about boiler | EFs (g/GJ) | EFs (mg/GJ) | EFs (mg/GJ) | ||||||||||||||
| Pollutant | NOx | CO | SOx | PM * | As | Cd | Cr | Cu | Hg | Pb | Ni | BbF | BkF | BaP | IP | ||
| Small non- residential sources 50 kW–1 MW; coal fuels [52] | Value | 160 | 2000 | 900 | 190 | 5 | 3 | 15 | 30 | 7 | 200 | 20 | 130 | 50 | 100 | 40 | |
| lower | 150 | 200 | 450 | 76 | 0.5 | 1 | 1 | 8 | 5 | 80 | 2 | 17 | 8 | 13 | 6 | ||
| upper | 200 | 3000 | 1000 | 240 | 8 | 5 | 20 | 50 | 9 | 300 | 30 | 180 | 100 | 150 | 80 | ||
| Fluidized bed boiler; 500 kW; coal waste (this paper) | 9.8 | 3703 | 74.6 | 841.7 | 31.8 | / | 40.5 | 56.7 | 7.4 | 72.2 | 33.4 | 306.4 | 33.4 | 210.7 | 79.8 | ||
| Details about boiler | EFs (g/GJ) | EFs (mg/GJ) | EFs (mg/GJ) | ||||||||||||||
| Pollutant | NOx | CO | SOx | PM * | As | Cd | Cr | Cu | Hg | Pb | Ni | BbF | BkF | BaP | IP | ||
| Medium size non-residential sources; 1–50 MW; coal fuels [52] | Value | 180 | 200 | 900 | 76 | 4 | 1 | 15 | 10 | 9 | 100 | 10 | 17 | 9 | 13 | 6 | |
| lower | 150 | 150 | 450 | 60 | 0.5 | 0.5 | 1 | 8 | 5 | 80 | 2 | 10 | 8 | 10 | 5 | ||
| upper | 200 | 3000 | 1000 | 240 | 5 | 3 | 20 | 30 | 10 | 200 | 20 | 180 | 100 | 150 | 80 | ||
| Thermal power plant Kolubara A; 32 MW; lignite (this paper) | 597.2 | 66.7 | 2675.0 | 1225.6 | 11.7 | 0.4 | 19.2 | 7.9 | 12.7 | 12.9 | 27.7 | 0.4 | 0.1 | 0.1 | 0.1 | ||
| Details about boiler | EFs (g/GJ) | EFs (mg/GJ) | EFs (µg/GJ) | ||||||||||||||
| Pollutant | NOx | CO | SOx | PM * | As | Cd | Cr | Cu | Hg | Pb | Ni | BbF | BkF | BaP | IP | ||
| Public power combustion plants (≥300 MW or 50–300 MW); brown coal/lignite [53] | Value | 247 | 8.7 | 1680 | 7.9 | 14.3 | 1.8 | 9.1 | 1.0 | 2.9 | 15 | 9.7 | 37 | 29 | 1.3 | 2.1 | |
| lower | 143 | 6.7 | 330 | 1 | 10.3 | 1.3 | 6.6 | 0.2 | 2.1 | 10.6 | 7.1 | 3.7 | 2.9 | 0.3 | 0.4 | ||
| upper | 571 | 60.5 | 5000 | 79 | 24.1 | 3 | 15.3 | 5 | 4.9 | 24.7 | 16.5 | 370 | 290 | 6.5 | 10.5 | ||
| Thermal power plant Kostolac B; 350 MW; lignite (this paper) | 233.3 | 305.6 | 7436.1 | 105.6 | 12.6 | 0.8 | 18.8 | 20.7 | 10.6 | 17.8 | 32.9 | 22.5 | 68.4 | 15.1 | 4.1 | ||
| Thermal power plant Nikola Tesla A; 210 MW; lignite (this paper) | 66.7 | 533.3 | 2311.1 | 300.0 | 8.5 | 0.2 | 18.2 | 7.5 | 12.6 | 13.4 | 19.3 | 8.0 | 7.6 | 17.5 | 1.0 | ||
| PAH | Abbreviation | Fly Ashes (ng/g) | ||||
|---|---|---|---|---|---|---|
| TPPKb | TPPKs | TPPNT | CFB | |||
| Naphthalene | Nap | 23.54 | 10.88 | 7.33 | 21.80 | |
| 1-methyl naphthalene | 1mNap | 55.56 | 3.90 | 6.60 | 274.10 | |
| 2-methyl naphthalene | 2mNap | 10.78 | 0.00 | 1.14 | 555.77 | |
| Acenaphthylene | Acy | 2.77 | 49.36 | 38.05 | 745.23 | |
| Acenaphthene | Ace | 6.56 | 8.29 | 3.25 | 104.70 | |
| Fluorene | Flu | 150.06 | 144.76 | 92.01 | 1576.70 | |
| Phenanthrene | Phe | 385.87 | 129.26 | 44.90 | 4993.90 | |
| Anthracene | Ant | 17.20 | 1.87 | 2.14 | 1159.98 | |
| Fluoranthene | Fla | 795.89 | 55.31 | 50.24 | 9509.68 | |
| Pyrene | Pyr | 410.35 | 13.01 | 14.17 | 6999.46 | |
| Benz[a]anthracene | BaA | 84.37 | 20.39 | 15.32 | 3838.38 | |
| Chrysene | Chry | 77.25 | 8.89 | 4.09 | 2445.81 | |
| Benzo[b]fluoranthene | BbF | 25.05 | 2.50 | 1.39 | 491.95 | |
| Benzo[k]fluoranthene | BkF | 4.32 | 7.61 | 1.33 | 53.56 | |
| Benzo[a]pyrene | BaP | 5.59 | 1.68 | 3.05 | 338.25 | |
| Dibenz[a,h]anthracene | DahA | 0.04 | 0.02 | 0.00 | 25.29 | |
| Benzo[g,h,i]perylene | BghiP | 10.66 | 3.54 | 1.49 | 115.92 | |
| Indeno[1,2,3-cd]pyrene | IP | 4.51 | 0.46 | 0.17 | 128.05 | |
| Total PAHs | 2070.38 | 461.72 | 286.69 | 33,378.53 | ||
| Sum of 10 PAHs * | 1434.26 | 242.38 | 131.46 | 23,097.28 | ||
| Total BaPeq | 20.35 | 5.36 | 5.21 | 876.73 | ||
| Total BAPE | 13.10 | 3.66 | 4.17 | 632.15 | ||
Disclaimer/Publisher’s Note: The statements, opinions and data contained in all publications are solely those of the individual author(s) and contributor(s) and not of MDPI and/or the editor(s). MDPI and/or the editor(s) disclaim responsibility for any injury to people or property resulting from any ideas, methods, instructions or products referred to in the content. |
© 2023 by the authors. Licensee MDPI, Basel, Switzerland. This article is an open access article distributed under the terms and conditions of the Creative Commons Attribution (CC BY) license (https://creativecommons.org/licenses/by/4.0/).
Share and Cite
Buha Marković, J.Z.; Marinković, A.D.; Savić, J.Z.; Mladenović, M.R.; Erić, M.D.; Marković, Z.J.; Ristić, M.Đ. Risk Evaluation of Pollutants Emission from Coal and Coal Waste Combustion Plants and Environmental Impact of Fly Ash Landfilling. Toxics 2023, 11, 396. https://doi.org/10.3390/toxics11040396
Buha Marković JZ, Marinković AD, Savić JZ, Mladenović MR, Erić MD, Marković ZJ, Ristić MĐ. Risk Evaluation of Pollutants Emission from Coal and Coal Waste Combustion Plants and Environmental Impact of Fly Ash Landfilling. Toxics. 2023; 11(4):396. https://doi.org/10.3390/toxics11040396
Chicago/Turabian StyleBuha Marković, Jovana Z., Ana D. Marinković, Jasmina Z. Savić, Milica R. Mladenović, Milić D. Erić, Zoran J. Marković, and Mirjana Đ. Ristić. 2023. "Risk Evaluation of Pollutants Emission from Coal and Coal Waste Combustion Plants and Environmental Impact of Fly Ash Landfilling" Toxics 11, no. 4: 396. https://doi.org/10.3390/toxics11040396
APA StyleBuha Marković, J. Z., Marinković, A. D., Savić, J. Z., Mladenović, M. R., Erić, M. D., Marković, Z. J., & Ristić, M. Đ. (2023). Risk Evaluation of Pollutants Emission from Coal and Coal Waste Combustion Plants and Environmental Impact of Fly Ash Landfilling. Toxics, 11(4), 396. https://doi.org/10.3390/toxics11040396

