Exposure and Risk Assessment to Airborne dl-PCBs and Dioxins in the Population Living in the Neighborhood of a Cement Plant: A Pilot Study in the Valencian Region of Spain
Abstract
1. Introduction
2. Materials and Methods
2.1. Reagents and Chemicals
2.2. Sampling and Site Characterization
2.3. Analytical Methodology and Identification Criteria
2.4. Quality Control Protocol
2.5. Gaseous-Particle Partitioning Model
2.6. Exposure and Risk Assessment
- (1)
- The DID value in each station as p95.
- (2)
- Considering that daily inhalation exposure accounts for around 10%, this percentage of TDI as a reference health-based value was employed (Equation (7)) [29].
3. Results and Discussion
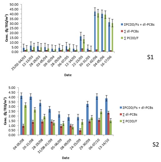
3.1. Total Concentrations
3.2. Results by Congeners
3.3. Inhalation Risk Assessment
3.3.1. Daily Inhalation Exposure
3.3.2. Chronic Exposure
4. Study Limitations
5. Conclusions
Supplementary Materials
Author Contributions
Funding
Institutional Review Board Statement
Informed Consent Statement
Data Availability Statement
Acknowledgments
Conflicts of Interest
References
- Shen, W.; Liu, Y.; Yan, B.; Wang, J.; He, P.; Zhou, C.; Huo, X.; Whang, W.; Xu, G.; Ding, Q. Cement industry of China: Driving force, environment impact and sustainable development. Renew. Sustain. Energy Rev. 2017, 75, 618–628. [Google Scholar] [CrossRef]
- Ruiz, M.L.; Boyé, Á.M.; de la Torre, A.; Rodríguez, B.F. Inventario español de dioxinas: Evaluación de las emisiones de dioxinas y furanos generados en el sector cementero español durante 2000–2003, la influencia del uso de combustibles alternativos. Cem. Hormigón 2005, 873, 60–69. [Google Scholar]
- Genon, G.; Brizio, E. Perspectives and limits for cement kilns as a destination for RDF. J. Waste Manag. 2008, 28, 2375–2385. [Google Scholar] [CrossRef]
- UN Environment Programme. Persistent Organic Pollutants (POPs). UNEP—UN Environment Programme 2017. Available online: http://www.unep.org/explore-topics/chemicals-waste/what-we-do/persistent-organic-pollutants-pops (accessed on 6 February 2023).
- Faiad, W.; Soukkarieh, C.; Murphy, D.J.; Hanano, A. Effects of dioxins on animal spermatogenesis: A state-of-the-art review. Front. Reprod. Health 2022, 4, 1009090. [Google Scholar] [CrossRef]
- Bi, C.; Chen, Y.; Zhao, Z.; Li, Q.; Zhou, Q.; Ye, Z.; Ge, X. Characteristics, sources and health risks of toxic species (PCDD/Fs, PAHs and heavy metals) in PM2.5 during fall and winter in an industrial area. Chemosphere 2020, 238, 124620. [Google Scholar] [CrossRef]
- Ssebugere, P.; Sillanpää, M.; Matovu, H.; Mubiru, E. Human and environmental exposure to PCDD/Fs and dioxin-like PCBs in Africa: A review. Chemosphere 2019, 223, 483–493. [Google Scholar] [CrossRef] [PubMed]
- Rivera-Austrui, J.; Martinez, K.; Marco-Almagro, L.; Abalos, M.; Abad, E. Long-term sampling of dioxin-like substances from a clinker kiln stack using alternative fuels. Sci. Total. Environ. 2014, 485–486, 528–533. [Google Scholar] [CrossRef] [PubMed]
- Conesa, J.A.; Ortuño, N.; Abad, E.; Rivera-Austrui, J. Emissions of PCDD/Fs, PBDD/Fs, dioxin like-PCBs and PAHs from a cement plant using a long-term monitoring system. Sci. Total. Environ. 2016, 571, 435–443. [Google Scholar] [CrossRef] [PubMed]
- WHO (World Health Organization). Air Quality Guidelines for Europe; WHO: Geneva, Switzerland, 2000; ISBN 0378-2255. [Google Scholar]
- Kanan, S.; Samara, F. Dioxins and furans: A review from chemical and environmental perspectives. Trends Environ. Anal. Chem. 2018, 17, 1–13. [Google Scholar] [CrossRef]
- Mari, M.; Rovira, J.; Sánchez-Soberón, F.; Nadal, M.; Schuhmacher, M.; Domingo, J.L. Partial replacement of fossil fuels in a cement plant: Assessment of human health risks by metals, metalloids and PCDD/Fs. Environ. Res. 2018, 167, 191–197. [Google Scholar] [CrossRef]
- Mari, M.; Rovira, J.; Sánchez-Soberón, F.; Nadal, M.; Schuhmacher, M.; Domingo, J.L. Environmental trends of metals and PCDD/Fs around a cement plant after alternative fuel implementation: Human health risk assessment. Environ. Sci. Process. Impacts 2017, 19, 917–927. [Google Scholar] [CrossRef] [PubMed]
- Rovira, J.; Nadal, M.; Schuhmacher, M.; Domingo, J.L. Alternative Fuel Implementation in a Cement Plant: Human Health Risks and Economical Valuation. Arch. Environ. Contam. Toxicol. 2016, 71, 473–484. [Google Scholar] [CrossRef]
- Rovira, J.; Flores, J.; Schuhmacher, M.; Nadal, M.; Domingo, J.L. Long-Term Environmental Surveillance and Health Risks of Metals and PCDD/Fs Around a Cement Plant in Catalonia, Spain. Hum. Ecol. Risk Assess. 2015, 21, 514–532. [Google Scholar] [CrossRef]
- Quijano, L.; Marín, S.; Millán, E.; Yusà, V.; Font, G.; Pardo, O. Dietary exposure and risk assessment of polychlorinated dibenzo-p-dioxins, polychlorinated dibenzofurans and dioxin-like polychlorinated biphenyls of the population in the Region of Valencia (Spain). Food Addit. Contam. A 2018, 35, 741–750. [Google Scholar] [CrossRef] [PubMed]
- López, A.; Coscollà, C.; Hernández, C.S.; Pardo, O.; Yusà, V. Dioxins and dioxin-like PCBs in the ambient air of the Valencian Region (Spain): Levels, human exposure, and risk assessment. Chemosphere 2021, 267, 128902. [Google Scholar] [CrossRef]
- EFSA. EFSA Panel on Contaminants in the Food Chain (CONTAM), Risk for Animal and Human Health Related to the Presence of Dioxins and Dioxin-Like PCBs in Feed and Food. EFSA J. 2018, 16, e05333. [Google Scholar] [CrossRef]
- Hernández, C.S.; Pardo, O.; Corpas-Burgos, F.; Fernández, S.F.; López, A.; Coscollà, C.; Vento, M.; Yusà, V. Biomonitoring of polychlorinated dibenzo-p-dioxins (PCDDs), polychlorinated dibenzofurans (PCDFs) and dioxin-like polychlorinated biphenyls (dl-PCBs) in human milk: Exposure and risk assessment for lactating mothers and breastfed children from Spain. Sci. Total Environ. 2020, 744, 140710. [Google Scholar] [CrossRef] [PubMed]
- Antilla, S.L.; Boffetta, P. Occupational Cancers; Springer: London, UK, 2014. [Google Scholar]
- EU. Commission Regulation (EU) 2017/771 of 3 May of 2017 Amending Regulation (EC) No 152/2009 as Regards the Methods for the Determination of the Levels of Dioxins and Polychlorinated Biphenyls. Available online: https://eur-lex.europa.eu/legal-content/EN/TXT/PDF/?uri%C2%BCCELEX:32017R0771&from%C2%BCEN (accessed on 25 January 2023).
- USEPA. EPA Method 1613. Tetra-Through Octa-Chlorinated Dioxins and Furans by Isotope Dilution HRGC/HRMS. Available online: https://well-labs.com/docs/epa_method_ (accessed on 22 October 2022).
- EURL. Guidance Document on the Estimation of LOD and LOQ for Measurements in the Field of Contaminants in Feed and Food. Available online: http://publications.jrc.ec.europa.eu/repository/bitstream/JRC102946/eur%2028099%20en_lod%20loq%20guidance%20document.pdf (accessed on 10 July 2020).
- Harner, T.; Green, N.J.L.; Jones, K.C. Measurements of Octanol−Air Partition Coefficients for PCDD/Fs: A Tool in Assessing Air−Soil Equilibrium Status. Environ. Sci. Technol. 2000, 34, 3109–3114. [Google Scholar] [CrossRef]
- Yusà, V.; Coscollà, C.; Millet, M. New screening approach for risk assessment of pesticides in ambient air. Atmos. Environ. 2014, 96, 322–330. [Google Scholar] [CrossRef]
- Harner, T.; Bidleman, T.F. Octanol−Air Partition Coefficient for Describing Particle/Gas Partitioning of Aromatic Compounds in Urban Air. Environ. Sci. Technol. 1998, 32, 1494–1502. [Google Scholar] [CrossRef]
- EPA. Human Health Risk Assessment Protocol for Hazardous Waste Combustion Facilities, September 2005. Available online: https://nepis.epa.gov/Exe/ZyPDF.cgi/%20P10067PR.PDF?Dockey%C2%BCP10067PR.PDF (accessed on 22 October 2022).
- López, A.; Yusà, V.; Muñoz, A.; Vera, T.; Borràs, E.; Ródenas, M.; Coscollà, C. Risk assessment of airborne pesticides in a Mediterranean region of Spain. Sci. Total. Environ. 2017, 574, 724–734. [Google Scholar] [CrossRef] [PubMed]
- WHO (World Health Organization). Assessment of the Health Risk of Dioxins: Reevaluation of the Tolerable Daily Intake (TDI); WHO: Geneva, Switzerland, 1998. [Google Scholar]
- Čupr, P.; Flegrová, Z.; Franců, J.; Landlová, L.; Klánová, J. Mineralogical, chemical and toxicological characterization of urban air particles. Environ. Int. 2013, 54, 26–34. [Google Scholar] [CrossRef] [PubMed]
- Hu, J.; Wu, J.; Xu, C.; Zha, X.; Hua, Y.; Yang, L.; Jin, J. Preliminary investigation of polychlorinated dibenzo-p-dioxin and dibenzofuran, polychlorinated naphthalene, and dioxin-like polychlorinated biphenyl concentrations in ambient air in an industrial park at the northeastern edge of the Tibet–Qinghai Plateau. Sci. Total. Environ. 2019, 648, 935–942. [Google Scholar] [CrossRef]
- Trinh, M.M.; Tsai, C.L.; Hien, T.T.; Thuan, N.T.; Chi, K.H.; Lien, C.G.; Chang, M.B. Atmospheric concentrations and gas-particle partitioning of PCDD/Fs and dioxin-like PCBs around Hochimininh city. Chemosphere 2018, 202, 246–254. [Google Scholar] [CrossRef]
- Martínez-Guijarro, K.; Ramadan, A.; Gevao, B. Atmospheric concentration of polychlorinated dibenzo-p-dioxins, polychlorinated dibenzofurans (PCDD/Fs) and dioxin-like polychlorinated biphenyls (dl-PCBs) at Umm-Al Aish oil field Kuwait. Chemosphere 2017, 168, 147–154. [Google Scholar] [CrossRef] [PubMed]
- Rovira, J.; Mari, M.; Nadal, M.; Schuhmacher, M.; Domingo, J.L. Levels of metals and PCDD/Fs in the vicinity of a cement plant: Assessment of human health risks. J. Environ. Sci. Health A 2011, 46, 1075–1084. [Google Scholar] [CrossRef]
- Ercan, Ö.; Dinçer, F. Atmospheric concentrations of PCDD/Fs, PAHs, and metals in the vicinity of a cement plant in Istanbul. Air Qual. Atmos. Health 2016, 9, 159–172. [Google Scholar] [CrossRef]
- Colombo, A.; Benfenati, E.; Bugatti, S.G.; Lodi, M.; Mariani, A.; Musmeci, L.; Rotella, G.; Senese, V.; Ziemacki, G.; Fanelli, R. PCDD/Fs and PCBs in ambient air in a highly industrialized city in Northern Italy. Chemosphere 2013, 90, 2352–2357. [Google Scholar] [CrossRef] [PubMed]
- Heo, J.; Kim, D.; Lee, G. Congener Profiles and Source-Wise Phase Partitioning Analysis of PCDDs/Fs and PCBs in Gyeonggi-Do Ambient Air, South Korea. Int. J. Environ. Res. Public Health 2014, 11, 11065–11080. [Google Scholar] [CrossRef]
- Luthardt, P.; Mayer, J.; Fuchs, J. Total TEQ emissions (PCDD/F and PCB) from industrial sources. Chemosphere 2002, 46, 1303–1308. [Google Scholar] [CrossRef]
- Martínez, K.; Austrui, J.R.; Jover, E.; Ábalos, M.; Rivera, J.; Abad, E. Assessment of the emission of PCDD/Fs and dioxin-like PCBs from an industrial area over a nearby town using a selective wind direction sampling device. Environ. Pollut. 2010, 158, 764–769. [Google Scholar] [CrossRef] [PubMed]
- Abad, E.; Martínez, K.; Caixach, J.; Rivera, J. Polychlorinated Dibenzo-p dioxin/Polychlorinated Dibenzofuran Releases into the Atmosphere from the Use of Secondary Fuels in Cement Kilns during Clinker Formation. Environ. Sci. Technol. 2004, 38, 4734–4738. [Google Scholar] [CrossRef] [PubMed]





| Analyte | AM 1 | p50 2 | p95 3 | Min 4 | Max 5 |
|---|---|---|---|---|---|
| Chiva | |||||
| ∑PCDD/Fs | 11.75 | 4.07 | 39.75 | 1.81 | 40.66 |
| ∑dl-PCBs | 1.43 | 1.42 | 2.33 | 0.59 | 3.03 |
| ∑PCDD/Fs + dl-PCBs | 13.18 | 5.34 | 41.09 | 3.26 | 42.53 |
| Buñol | |||||
| ∑PCDD/Fs | 1.83 | 1.68 | 2.94 | 0.86 | 3.16 |
| ∑dl-PCBs | 1.31 | 1.41 | 2.02 | 0.51 | 2.36 |
| ∑PCDD/Fs + dl-PCBs | 3.14 | 3.32 | 4.10 | 1.85 | 4.14 |
| Studies | Year | Place | AM 1 | Min 2–Max 3 |
|---|---|---|---|---|
| Present study | 2020 | Valencian Region (Spain) | 1.83 | 0.86–3.16 |
| 2020 | Valencian Region (Spain) | 11.75 | 1.81–40.66 | |
| [15] | 2011 | Catalonia (Spain) | 7.0 | 4.7–8.6 |
| 2012 | 7.0 | 6.8–8.3 | ||
| [13] | 2013 | Catalonia (Spain) | 9.0 | 8.0–11 |
| 2015 | 8.0 | 5.0–10 | ||
| [14] | 2014 | Catalonia (Spain) | 30.0 | 10.0–50.0 |
| [12] | 2017 | Catalonia (Spain) | 4.0 | 3.0–5.0 |
| [34] | 2008 | Catalonia (Spain) | 17.1 | 5.9–40.7 |
| March 2008 | 13.8 | 4.9–29.0 | ||
| September 2009 | 34.2 | 16.1–46.8 | ||
| [35] | 2011 | Istanbul (Turkey) | 5.43 | 0.03–27.99 |
| 2012 | 2.45 | 0.03–7.7 |
| Analyte | Chiva | Buñol | ||||
|---|---|---|---|---|---|---|
| DF 1 * (%) | AM 2 ** | Range ** | DF 1 * (%) | AM 2 ** | Range ** | |
| PCB-81 | 39 | 56.71 | 33.51–100.52 | 60 | 60.32 | 33.51–100.52 |
| PCB-77 | 92 | 61.17 | 4.06–100.08 | 90 | 49.63 | 2.70–78.44 |
| PCB-123 | 69 | 115.63 | 5.74–269.65 | 80 | 99.83 | 11.47–212.28 |
| PCB-118 | 100 | 1955.22 | 1415.87–2507.90 | 100 | 1509.26 | 677.81–2899.53 |
| PCB-114 | 31 | 25.85 | 12.83–66.70 | 10 | 16.67 | 6.42–44.90 |
| PCB-105 | 100 | 1232.27 | 907.59–1805.21 | 100 | 825.81 | 408.92–1476.08 |
| PCB-126 | 23 | 12.27 | 4.09–28.64 | 20 | 11.05 | 4.09–20.46 |
| PCB-167 | 85 | 48.23 | 2.26–86.02 | 80 | 89.87 | 4.53–373.50 |
| PCB-157 | 31 | 17.72 | 3.49–59.33 | 60 | 49.21 | 6.98–177.98 |
| PCB-156 | 92 | 95.87 | 3.33–156.63 | 90 | 135.30 | 6.66–403.23 |
| PCB-169 | 23 | 2.66 | 1.38–5.52 | 10 | 3.31 | 1.38–9.67 |
| PCB-189 | 54 | 8.51 | 3.03–22.74 | 70 | 20.77 | 4.55–53.05 |
| 2,3,7,8-TCDF | 39 | 2.41 | 1.21–6.03 | 50 | 1.29 | 0.24–2.65 |
| 2,3,7,8-TCDD | - | 0.93 | 0.93–0.93 | - | 0.29 | 0.29–0.29 |
| 1,2,3,7,8-PCDF | 69 | 29.30 | 0.51–358.51 | 80 | 1.76 | 0.15–3.57 |
| 2,3,4,7,8-PCDF | 39 | 1.76 | 0.42–5.83 | 70 | 1.19 | 0.12–2.50 |
| 1,2,3,7,8-PCDD | 8 | 0.58 | 0.36–0.71 | 40 | 0.47 | 0.21–1.21 |
| 1,2,3,4,7,8-HxCDF | 62 | 14.92 | 0.23–171.54 | 80 | 1.05 | 0.07–2.71 |
| 1,2,3,6,7,8-HxCDF | 69 | 28.40 | 0.22–191.81 | 100 | 1.11 | 0.44–2.22 |
| 2,3,4,6,7,8-HxCDF | 92 | 29.06 | 0.20–130.63 | 100 | 1.09 | 0.60–2.59 |
| 1,2,3,7,8,9-HxCDF | 62 | 5.73 | 0.19–59.97 | 80 | 0.59 | 0.07–2.61 |
| 1,2,3,4,7,8-HxCDD | 46 | 0.42 | 0.18–1.82 | 20 | 0.19 | 0.09–0.55 |
| 1,2,3,6,7,8-HxCDD | 46 | 1.07 | 0.18–7.32 | 80 | 0.41 | 0.09–0.88 |
| 1,2,3,7,8,9-HxCDD | 38 | 0.81 | 0.17–5.86 | 60 | 0.29 | 0.08–0.69 |
| 1,2,3,4,6,7,8-HpCDF | 92 | 26.66 | 0.15–108.09 | 100 | 2.87 | 1.35–7.51 |
| 1,2,3,4,7,8,9-HpCDF | 62 | 5.85 | 0.13–59.71 | 80 | 0.35 | 0.03–1.02 |
| 1,2,3,4,6,7,8-HpCDD | 92 | 15.36 | 0.13–60.79 | 100 | 2.61 | 1.64–5.65 |
| OCDF | 100 | 15.28 | 0.87–64.13 | 90 | 1.30 | 0.04–4.37 |
| OCDD | 100 | 30.28 | 3.09–89.96 | 100 | 7.03 | 3.62–12.00 |
| ∑PCDD/F | 208.82 | 15.76–897.92 | 23.88 | 15.75–40.00 | ||
| ∑dl-PCBs | 3632.11 | 2727.57–4999.63 | 2871.02 | 1357.47–5616.43 | ||
| ∑(PCDD/F + dl-PCBs) | 3840.94 | 2804.19–5551.62 | 2894.89 | 1374.29–5638.16 | ||
| Analyte | Chiva | Buñol | ||
|---|---|---|---|---|
| AM 1 | p95 2 | AM 1 | p95 2 | |
| Adults (>12 years) | ||||
| Σ(PCDD/Fs+dl-PCBs) | 3.75 · 10−3 | 1.17 · 10−2 | 8.93 · 10−4 | 1.17 · 10−3 |
| Σ PCDD/Fs | 3.34 · 10−3 | 1.13 · 10−2 | 5.22 · 10−4 | 8.35 · 10−4 |
| Σ dl-PCBs | 4.08 · 10−4 | 6.64 · 10−4 | 3.72 · 10−4 | 5.74 · 10−4 |
| Children (1.5–6 years) | ||||
| Σ(PCDD/Fs+dl-PCBs) | 8.44 · 10−3 | 2.63 · 10−2 | 2.01 · 10−3 | 2.63 · 10−3 |
| Σ PCDD/Fs | 7.52 · 10−3 | 2.54 · 10−2 | 1.17 · 10−3 | 1.88 · 10−3 |
| Σ dl-PCBs | 9.18 · 10−4 | 1.49 · 10−3 | 8.36 · 10−4 | 1.29 · 10−3 |
Disclaimer/Publisher’s Note: The statements, opinions and data contained in all publications are solely those of the individual author(s) and contributor(s) and not of MDPI and/or the editor(s). MDPI and/or the editor(s) disclaim responsibility for any injury to people or property resulting from any ideas, methods, instructions or products referred to in the content. |
© 2023 by the authors. Licensee MDPI, Basel, Switzerland. This article is an open access article distributed under the terms and conditions of the Creative Commons Attribution (CC BY) license (https://creativecommons.org/licenses/by/4.0/).
Share and Cite
Ruiz, P.; Lacomba, I.; López, A.; Yusà, V.; Coscollà, C. Exposure and Risk Assessment to Airborne dl-PCBs and Dioxins in the Population Living in the Neighborhood of a Cement Plant: A Pilot Study in the Valencian Region of Spain. Toxics 2023, 11, 389. https://doi.org/10.3390/toxics11040389
Ruiz P, Lacomba I, López A, Yusà V, Coscollà C. Exposure and Risk Assessment to Airborne dl-PCBs and Dioxins in the Population Living in the Neighborhood of a Cement Plant: A Pilot Study in the Valencian Region of Spain. Toxics. 2023; 11(4):389. https://doi.org/10.3390/toxics11040389
Chicago/Turabian StyleRuiz, Pablo, Iñaki Lacomba, Antonio López, Vicent Yusà, and Clara Coscollà. 2023. "Exposure and Risk Assessment to Airborne dl-PCBs and Dioxins in the Population Living in the Neighborhood of a Cement Plant: A Pilot Study in the Valencian Region of Spain" Toxics 11, no. 4: 389. https://doi.org/10.3390/toxics11040389
APA StyleRuiz, P., Lacomba, I., López, A., Yusà, V., & Coscollà, C. (2023). Exposure and Risk Assessment to Airborne dl-PCBs and Dioxins in the Population Living in the Neighborhood of a Cement Plant: A Pilot Study in the Valencian Region of Spain. Toxics, 11(4), 389. https://doi.org/10.3390/toxics11040389

