Insecticidal Mechanism of Botanical Crude Extracts and Their Silver Nanoliquids on Phenacoccus solenopsis
Abstract
1. Introduction
2. Materials and Methods
2.1. Tested Plants
2.2. Preparation of Botanical Crude Extracts
2.3. Preparation of Bio-Silver Nanoparticles
2.4. Preparation of Commercial Vijayneem
2.5. Collection and Rearing of Pest
2.6. Leaf Dip Method
2.7. Enzyme Bioassay
2.7.1. Qualitative Profiling of Digestive Enzymes
2.7.2. Quantitative Analysis of Hydrolytic Enzyme
Amylase
Protease
Invertase
Lipase
Acid Phosphatase
Glycosidase
Trehalase
Phospholipase A2
2.7.3. Detoxification Enzyme Esterase
2.7.4. Detoxification Enzyme Lactate Dehydrogenase
2.8. Macromolecular Profile
2.9. Statistical Analyses
3. Results
3.1. Qualitative Enzyme Profile
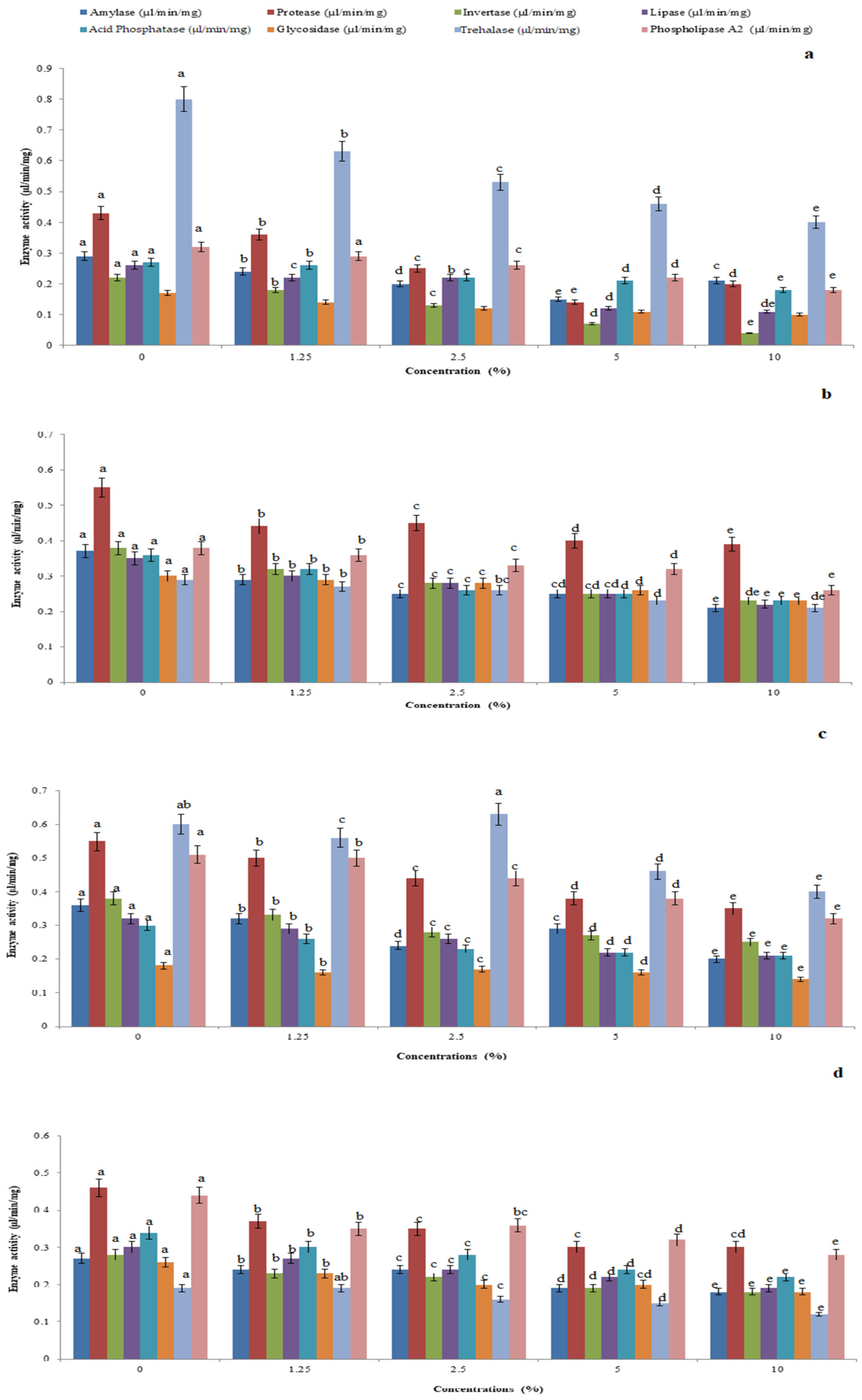
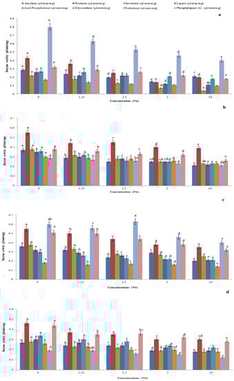
3.2. Crude Extracts on Hydrolytic Enzyme Quantitative Profile
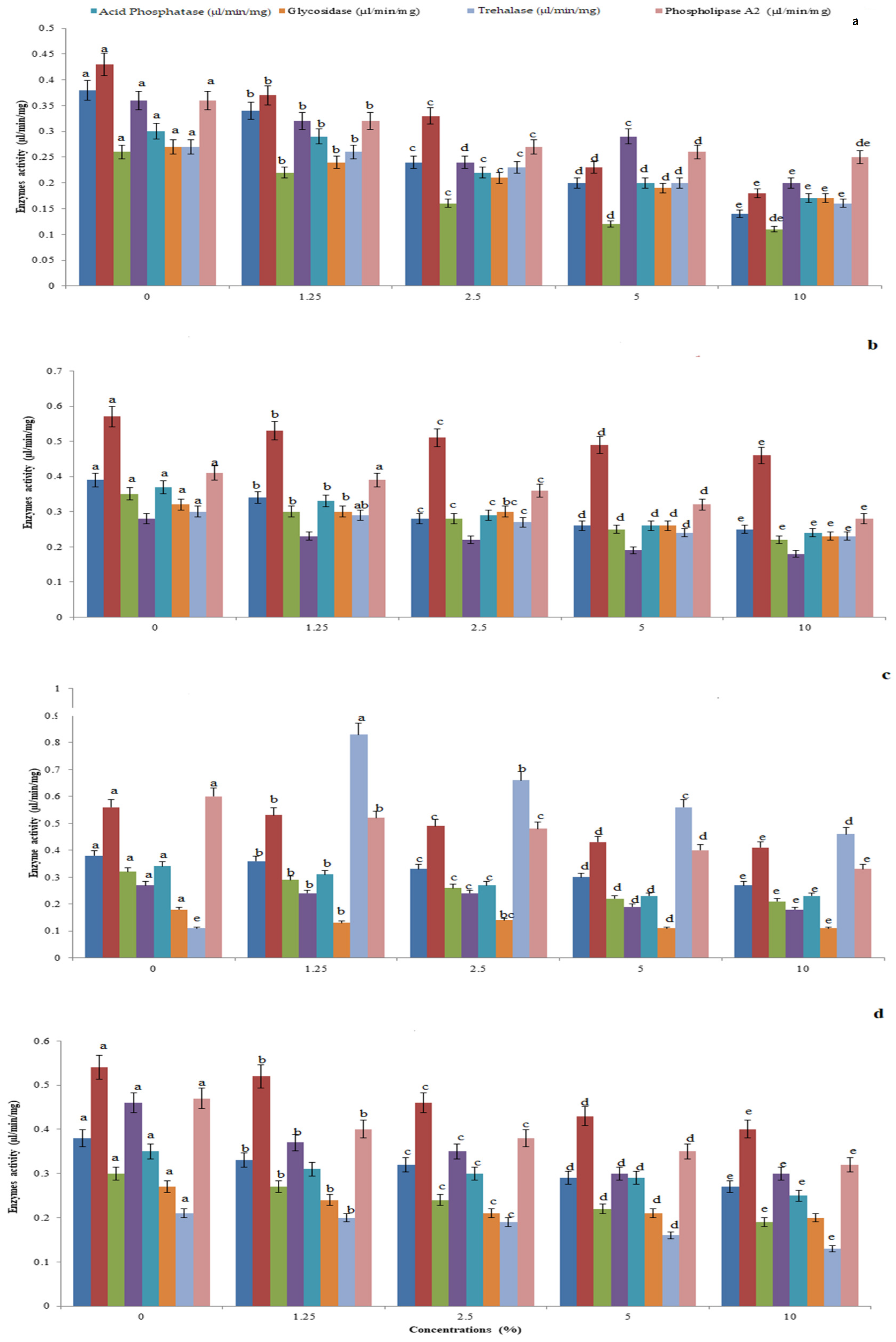
3.3. Effect of Bionanoliquid on Hydrolytic Enzyme Quantitative Profile
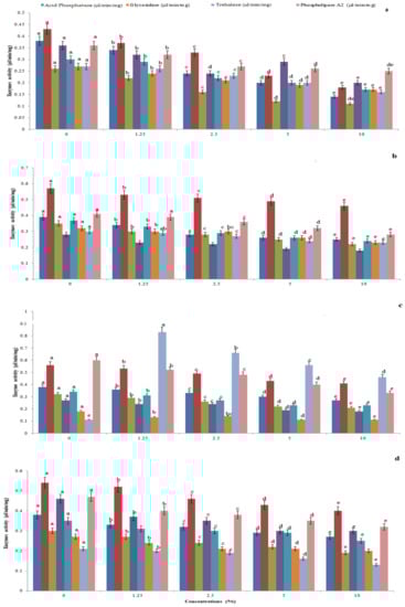
3.4. Hydrolytic and Detoxification Enzyme Profile of Vijayneem
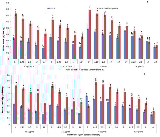
3.5. Detoxification Enzyme Profile for Plant Crude Extracts and Their Nanoliquid
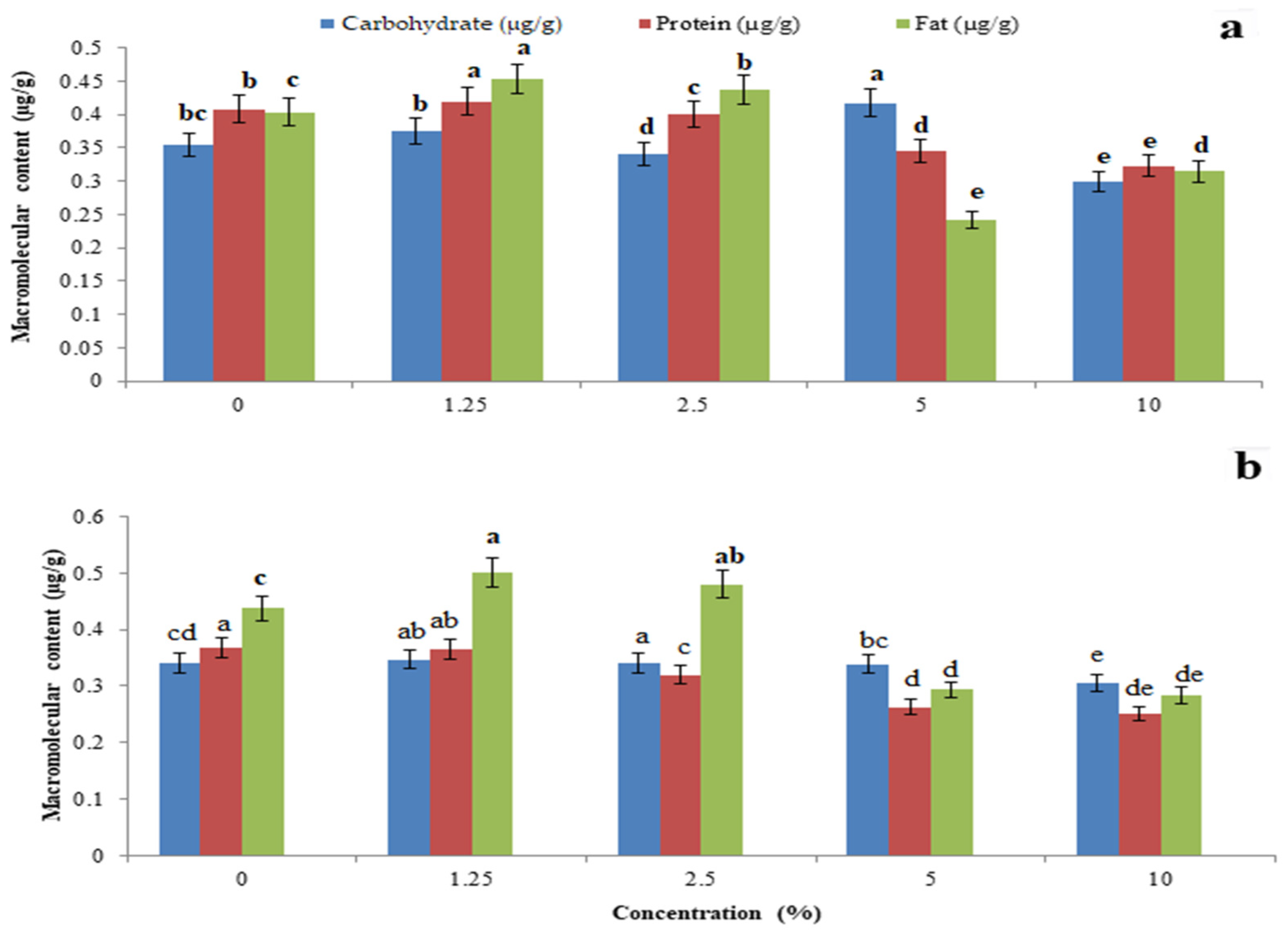
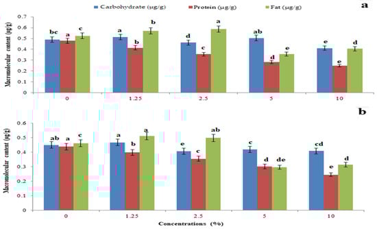
3.6. Macromolecular Profile
4. Discussion
5. Conclusions
Author Contributions
Funding
Institutional Review Board Statement
Informed Consent Statement
Data Availability Statement
Conflicts of Interest
References
- Sardar, M.U.; Mamoon-ur-Rashid, M.; Naeem, M. Entomocidal efficacy of different botanical extracts against Cotton Mealybug, Phenacoccus solenopsis Tinsley (Sternorrhyncha: Pseudococcidae). J. Entomol. Zool. Stud. 2018, 6, 2078–2084. [Google Scholar]
- Saad, L.H.E.; Negm, S.E.; Saleh, A.A.; Abd El-Mageed, A.E.M. Essential Oils as Green Insecticides: GC/MS Analysis and Toxicological Studies on Cotton Mealybugs Phenacoccus solenopsis (Tinsley) (Hemiptera: Pseudococcidae). Int. J. Sustain. Dev. World Ecol. 2021, 4, 1–26. [Google Scholar]
- Isman, M.B. Botanical insecticides, deterrents, and repellents in modern agriculture and an increasingly regulated world. Annu. Rev. Entomol. 2006, 51, 45–66. [Google Scholar] [CrossRef]
- Fernandez-Conradi, P.; Castagneyrol, B.; Jactel, H.; Rasmann, S. Combining phytochemicals and multitrophic interactions to control forest insect pests. Curr. Opin. Insect Sci. 2021, 44, 101–106. [Google Scholar] [CrossRef]
- Anthony, O.E.; Ojeifo, U.P. Phytochemical screening and acute toxicity evaluation of Telfairia occidentalis aqueous extracts on rats. Pak. J. Pharmacol. Sci. 2016, 29, 913–917. [Google Scholar]
- Wang, X.; Dong, S.; Hou, T.; Liu, L.; Liu, X.; Li, F. Exonuclease I-aided homogeneous electrochemical strategy for organophosphorus pesticide detection based on enzyme inhibition integrated with DNA conformational switch. Analyst 2016, 141, 1830–1836. [Google Scholar] [CrossRef] [PubMed]
- Senthil Nathan, S.; Choi, M.Y.; Paik, C.H.; Seo, H.Y. Food consumption and detoxification enzyme activity of the rice leaffolder larvae after treatment with Dysoxylum triterphenes. Pestic. Biochem. Physiol. 2007, 88, 260–267. [Google Scholar] [CrossRef]
- Zhu-Salzman, K.; Zeng, R. Insect response to plant defensive protease inhibitors. Annu. Rev. Entomol. 2015, 60, 233–252. [Google Scholar] [CrossRef]
- Mohan, K.G.; Muraleedharan, D. Isolation, purification and partial characterization of haemolymph lipophorin from the red cotton bug, Dysdercus cingulatus Fabr.(Heteroptera: Pyrrhocoridae). Entomon-Trivandrum 2001, 26, 239–252. [Google Scholar]
- Sahayaraj, K.; Muthukumar, S. Zootoxic effects of reduviid Rhynocoris marginatus (Fab.) (Hemiptera: Reduviidae) venomous saliva on Spodoptera litura (Fab.). Toxicon 2011, 58, 415–425. [Google Scholar] [CrossRef]
- Khan, M.R.; Ford, J.B. The distribution and localization of digestive enzymes in the alimentary canal and salivary glands of the cotton stainer, Dysdercus fasciatus. J. Insect Physiol. 1967, 13, 1619–1628. [Google Scholar] [CrossRef]
- Gabarty, A. Biochemical changes produced by gamma irradiation in the alimentary canal of males Rhynchophorus ferrugineus (Olivier). J. Entomol. Zool. Stud. 2015, 3, 290–294. [Google Scholar]
- Banerjee, S.; Maiti, T.K.; Roy, R.N. Enzyme producing insect gut microbes: An unexplored biotechnological aspect. Crit. Rev. Biotechnol. 2022, 42, 384–402. [Google Scholar] [CrossRef]
- Sahayaraj, K.; Antony, N. Impact of five plant extracts on the digestive and detoxication enzymes of Spodoptera litura (Fab.) (Lepidoptera: Noctuidae). Hexapoda 2006, 13, 53–57. [Google Scholar]
- Khosravi, R.; Sendi, J.J. Effect of neem pesticide (Achook) on midgut enzymatic activities and selected biological compounds in the hemolymph of lesser mulberry pyralid, Glyphodes pyloalis Walker (Lepidoptera: Pyralidae). J. Plant Prot. Res. 2013, 5, 238–247. [Google Scholar] [CrossRef]
- Sethi, A.; Karl, Z.J.; Scharf, M.E. Digestion of termiticide bait matrices by the pest termite Reticulitermes flavipes (Isoptera: Rhinotermitidae). J. Econ. Entomol. 2016, 8, 982–986. [Google Scholar] [CrossRef]
- Yang, Y.; Wu, Y.; Chen, S.; Devine, G.J.; Denholm, I.; Jewess, P.; Moores, G.D. The involvement of microsomal oxidases in pyrethroid resistance in Helicoverpa armigera from Asia. Insect Biochem. Mol. Biol. 2004, 34, 763–773. [Google Scholar] [CrossRef]
- Francis, F.; Vanhaelen, N.; Haubruge, E. Glutathione S-transferases in the adaptation to plant secondary metabolites in the Myzus persicae aphid. Arch. Insect Biochem. Physiol. 2005, 58, 166–174. [Google Scholar] [CrossRef] [PubMed]
- Kissoum, N.; Soltani, N. Spiromesifen, an insecticide inhibitor of lipid synthesis, affects the amounts of carbohydrates, glycogen and the activity of lactate dehydrogenase in Drosophila melanogaster. J. Entomol. Zool. Stud. 2016, 4, 452–456. [Google Scholar]
- Senthil Nathan, S.; Chunga, P.G.; Murugan, K. Combined effect of biopesticides on the digestive enzymatic profiles of Cnaphalocrocis medinalis (Guenee) (the rice leaffolder) (Lepidoptera: Pyralidae). Ecotoxicol. Environ. Saf. 2006, 64, 382–389. [Google Scholar] [CrossRef] [PubMed]
- Sahayaraj, K.; Muthu Kumar, S.; Enkegaard, A. Response of the reduviid bug, Rhynocoris marginatus (Heteroptera: Reduviidae) to six different species of cotton pests. Eur. J. Entomol. 2016, 113, 29–36. [Google Scholar] [CrossRef]
- Ngegba, P.M.; Cui, G.; Khalid, M.Z.; Zhong, G. Use of Botanical Pesticides in Agriculture as an Alternative to Synthetic Pesticides. Agriculture 2022, 12, 600. [Google Scholar] [CrossRef]
- Acheuk, F.; Basiouni, S.; Shehata, A.A.; Dick, K.; Hajri, H.; Lasram, S.; Ntougias, S. Status and Prospects of Botanical Biopesticides in Europe and Mediterranean Countries. Biomolecules 2022, 12, 311. [Google Scholar] [CrossRef] [PubMed]
- Gao, L.; Qiao, H.; Wei, P.; Moussian, B.; Wang, Y. Xenobiotic responses in insects. Arch. Insect Biochem. Physiol. 2022, 109, e21869. [Google Scholar] [CrossRef]
- Heckel, D.G. Perspectives on gene copy number variation and pesticide resistance. Pest Manag. Sci. 2022, 78, 12–18. [Google Scholar] [CrossRef]
- Mohammed, M.A.A.; Superviser, L.M.E.A. Effects of some Botanical Extracts against Cotton Mealy Bug (Phenacoccus solenopsis Tinsley). Ph.D. Thesis, Sudan University of Science & Technology, Khartoum, Sudan, 2020. [Google Scholar]
- Abasse, A.A. Nano Bioinsecticides based on Essential oils Against Phenacoccus solenopsis. Egypt. Acad. J. Biol. Sci. 2018, 11, 1–12. [Google Scholar]
- Sahayaraj, K.; Shoba, J. Toxic effect of Tephrosia purpurea (Linn.) and Acalypha indica (Linn.) aqueous extracts impact on the mortality, macromolecules, intestinal electrolytes and detoxication enzymes of Dysdercus cingulatus (Fab.). Asian J. Biochem. 2012, 7, 112–122. [Google Scholar] [CrossRef]
- Sahayaraj, K.; Balasubramanyam, G.; Chavali, M. Green synthesis of silver nanoparticles using dry leaf aqueous extract of Pongamia glabra Vent (Fab.), Characterization and phytofungicidal activity. Environ. Nanotechnol. Monit. Manag. 2020, 14, 100349. [Google Scholar] [CrossRef]
- Sudhida, G.; Singh, A.K.; Gautam, R.D. Comparative life table analysis of chrysopids reared on Phenacoccus solenopsis Tinsley in laboratory. J. Biolo. Cont. 2010, 23, 393–402. [Google Scholar]
- Liu, T.X.; Stansly, P.A. Deposition and bioassay of insecticides applied by leaf dip and spray tower against Bemisia argentifolii nymphs. Pestic. Sci. 1995, 44, 317–322. [Google Scholar] [CrossRef]
- Applebaum, S.W.; Jankovic, M.; Birk, Y. Studies on the midgut amylase activity of Tenebrio molitor L. larvae. J. Insect Physiol. 1961, 7, 100–108. [Google Scholar] [CrossRef]
- Ishaaya, T.; Swirski, E. Invertase and amylase activity in the armoured scales Chrysomphalus aonidum and Aonidiella auantii. J. Insect Physiol. 1970, 16, 1599–1606. [Google Scholar] [CrossRef]
- Morihara, K.; Tsuzuki, H. Production of protease and elastase by Pseudomonas aeruginosa strains isolated from patients. Infect. Immun. 1977, 15, 679–685. [Google Scholar] [CrossRef]
- Nigam, C.S.; Omkar, M. Experimental Animal Physiology and Biochemistry; New Age International (P) Limited: New Delhi, India, 2003; pp. 93–97. [Google Scholar]
- Cherry, I.S.; Crandall, L.A. The specificity of pancreatic lipase: Its appearance in the blood after pancreatic injury. AJP-Legacy 1932, 100, 266–273. [Google Scholar] [CrossRef]
- Beaufay, H.; Hers, H.C.; Berthet, J.; de Duve, C. Acid phosphatase activity. Bull. Soc. Chim. Biol. 1954, 36, 1539–1550. [Google Scholar]
- Flowers, H.M.; Sharon, N. Glycosidases-properties and application to the study of complex carbohydrates and cell surfaces. Adv. Enzymol. Relat. Areas Mol. Biol. 1979, 48, 29–95. [Google Scholar]
- Ishaaya, I.; Swirski, E. Trehalase, invertase and amylase activities in the black scale, Saissetia oleae, and their relation to host adaptability. J. Insect Physiol. 1976, 22, 1025–1029. [Google Scholar] [CrossRef]
- Santoro, M.L.; Sousa-e-Silva, M.C.; Goncalves, L.R.; Almeida-Santos, S.M.; Cardoso, D.F.; Laporta-Ferreira, I.L.; Saiki, M.; Peres, C.A.; Sano Martins, I.S. Comparison of the biological activitives in venoms from three subspecies of the South American rattiesnake (Crotalus durissus terrificus, C. durissus cascavella and C. durissus collilineatus). Comp. Biochem. Physiol. C Pharmacol. Toxicol. Endocrinol. 1999, 122, 61–73. [Google Scholar]
- Van Asperen, K. A study of housefly esterases by means of a sensitive colorimetric method. J. Insect Physiol. 1962, 8, 401–416. [Google Scholar] [CrossRef]
- King, J. The dehydrogenases or oxidoreductases. Lactate dehydrogenase. In Practical Clinical Enzymology; Van Nostrand, D., Ed.; London Publishers: London, UK, 1965; pp. 83–93. [Google Scholar]
- Balogun, R.A.; Fisher, O. Studies on the digestive enzymes of the common African toad, Bufo regulasis Bonlenger. Comp. Biochem. 1970, 33, 813–820. [Google Scholar]
- Tonapi, T.G. Experimental Entomology; CBS Publishers and Distributors: New Delhi, India, 1996. [Google Scholar]
- Ishaaya, I. Nutritional and allelochemic insect-plant interaction. In Insect-Plant Interaction; Miller, J.R., Miller, T.A., Eds.; Springer: New York, NY, USA, 1986; pp. 191–224. [Google Scholar]
- Lowry, O.H.; Rosenbrough, N.J.; Farr, A.L.; Randall, R.J. Protein measurement with Folin phenol reagent. J. Biol. Chem. 1951, 193, 265–275. [Google Scholar] [CrossRef] [PubMed]
- Singh, B.; Kaur, T.; Kaur, S.; Manhas, R.K.; Kaur, A. Insecticidal potential of an endophytic Cladosporium velox against Spodoptera litura mediated through inhibition of alpha glycosidases. Pestic. Biochem. Phys. 2016, 131, 46–52. [Google Scholar] [CrossRef]
- Dubois, M.; Gilles, K.A.; Hamilton, J.K.; Rebers, P.A.; Smith, F. Colorimetric method for determination of sugars and related substances. Anal. Chem. 1956, 28, 350–356. [Google Scholar] [CrossRef]
- Polte, T.; Tyrrell, R.M. Involvement of lipid peroxidation and organic peroxides in UVA-induced matrix metalloproteinase-1 expression. Free Radic. Biol. Med. 2004, 36, 1566–1574. [Google Scholar] [CrossRef]
- Broadway, R.M.; Duffey, S.S. The effect of plant protein quality on insect digestive physiology and the pant proteinase inhibitors. J. Insect Physiol. 1988, 34, 1111–1117. [Google Scholar] [CrossRef]
- Zibaee, A.; Bandani, A.R. Effects of Artemisia annua L.(Asteracea) on the digestive enzymatic profiles and the cellular immune reactions of the Sunn pest, Eurygaster integriceps (Heteroptera: Scutellaridae), against Beauveria bassiana. Bull. Entomol. Res. 2010, 100, 185–196. [Google Scholar] [CrossRef] [PubMed]
- Mahey, S.; Sharma, P.; Mukerjee, S.K.; Seshadri, T.R. Structure and synthesis of glabrachromene, a new constituent of Pongamia glabra. Indian J. Chem. 1972, 10, 585. [Google Scholar]
- Sharma, P. A Study of New Flavonoid Components of the Leaves of Pongamia glabra. Ph.D. Thesis, Delhi University, New Delhi, India, 1975. [Google Scholar]
- Garg, G.P. A new component from leaves of Pongamia glabra. Planta Med. 1979, 37, 73–74. [Google Scholar] [CrossRef]
- Marzouk, M.S.; Ibrahim, M.T.; El-Gindi, O.R.; Abou Bakr, M.S. Isoflavonoid glycosides and rotenoids from Pongamia pinnata leaves. Z. Nat. C 2008, 63, 1–7. [Google Scholar] [CrossRef]
- Hiremath, G.I.; Ahn, Y.J.; Kim, S.I. Insecticidal activity of Indian plant extracts against Nilaparvata lugens (Homoptera: Delphacidae). Appl. Entomol. Zool. 1997, 32, 159–166. [Google Scholar] [CrossRef]
- Kumar, M.; Singh, R. Potential of Pongamia glabra vent as an insecticide of plant origin. Biol. Agric. Hortic. 2002, 20, 29–50. [Google Scholar] [CrossRef]
- Kumar, V.; Chandrashekar, K.; Sidhu, O.P. Efficacy of karanjin and different extracts of Pongamia pinnata against selected insect pests. J. Entomol. Res. 2006, 30, 103–108. [Google Scholar]
- Murugesan, N.; Murugesh, T. Bioefficacy of some plant products against brinjal fruit borer, Leucinodes orbonalis Guenee (Lepidoptera: Pyrallidae). J. Biopestic. 2009, 2, 60–63. [Google Scholar]
- Sridhar, S.; Sulochana Chetty, J. Effect of Azadirachta indica and Pongamia glabra leaf extracts on food utilization and modulation of efficiency of digestive enzymes in Euproctis fraterna (Lepidoptera: Lymantridae). Proc. Anim. Sci. 1989, 98, 313–323. [Google Scholar] [CrossRef]
- Franco, E.; Lubicz, V.; Mescia, F.; Tarantino, C. Lifetime ratios of beauty hadrons at the next-to-leading order in QCD. Nucl. Phys. B 2002, 633, 212–236. [Google Scholar] [CrossRef]
- Nathan, S.S.; Sehoon, K. Effects of Melia azedarach (Lin.) extract on the teak defoliafor Hyblaea puera (Cramer) (Lepidoptera: Hyblaeidae). J. Crop. Prot. 2006, 25, 287–291. [Google Scholar] [CrossRef]
- Kantrao, S.; Ravindra, M.A.; Akbar, S.M.D.; Jayanthi, P.K.; Venkataraman, A. Effect of biosynthesized Silver nanoparticles on growth and development of Helicoverpa armigera (Lepidoptera: Noctuidae): Interaction with midgut protease. J. Asia-Pac. Entomol. 2017, 20, 583–589. [Google Scholar] [CrossRef]
- Aghaali, N.; Ghadamyari, M.; Hosseininaveh, V.; Riseh, N.S. Protease inhibitor from the crude extract of plant seeds affects the digestive proteases in Hyphantria cunea (Lep.: Arctiidae). J. Plant Prot. Res. 2013, 53, 338–346. [Google Scholar] [CrossRef]
- Moustafa, H.; Hemat, Z. Toxicity of methanol extracts of two plants against the cotton bollworms, Pectinophora gossypiella (Saund.) and Earias insulana (Boisd.). Egypt. J. Biol. Pest Control. 2016, 26, 53–58. [Google Scholar]
- Sahayaraj, K. Modulation of Botanicals on pest’s biochemistry. In Short Views on Insect Biochemistry and Molecular Biology Overview; Chandrasekar, R., Tyagi, B.K., Gui, Z.Z., Reeck, G.R., Eds.; International Book Mission-Academic Publisher: Tiruchirappalli, India, 2014; Volume 1, pp. 57–74. [Google Scholar]
- Ju, D.; Mota-Sanchez, D.; Fuentes-Contreras, E.; Zhang, Y.L.; Wang, X.Q.; Yang, X.Q. Insecticide resistance in the Cydia pomonella (L): Global status, mechanisms, and research directions. Pestic. Biochem. Physiol. 2021, 178, 104925. [Google Scholar] [CrossRef]
- Upadhyay, R.K. Capparis decidua solvent and aqueous extracts affect biochemical and enzymatic parameters in Sitophilus oryzae (Linn.) (Coleoptera: Curculionidae). World J. Zool. 2013, 8, 245–255. [Google Scholar]
- Radhika, S.; Sahayaraj, K.; Senthil-Nathan, S.; Hunter, W.B. Individual and synergist activities of monocrotophos with neem based pesticide, Vijayneem against Spodoptera litura Fab. Physiol. Mol. Plant Pathol. 2018, 101, 54–68. [Google Scholar] [CrossRef]
- Xu, Z.B.; Zou, X.P.; Zhang, N.; Feng, Q.L.; Zheng, S.C. Detoxification of insecticides, allechemicals and heavy metals by glutathione S-transferase SlGSTE1 in the gut of Spodoptera litura. Insect Sci. 2015, 22, 503–511. [Google Scholar] [CrossRef] [PubMed]
- Langley, K.E.; Berg, T.F.; Strickland, T.W.; Fenton, D.M.; Boone, T.C.; Wypych, J. Recombinant-DNA-derived bovine growth hormone from Escherichia coli. Eur. J. Biochem. 1987, 163, 313–321. [Google Scholar] [CrossRef] [PubMed]
- Desneux, N.; Decourtye, A.; Delpuech, J.M. The sublethal effects of pesticides on beneficial arthropods. Annu. Rev. Entomol. 2007, 52, 81–106. [Google Scholar] [CrossRef]
- Ju, D.; Liu, Y.X.; Liu, X.; Dewer, Y.; Mota-Sanchez, D.; Yang, X.Q. Exposure to lambda-cyhalothrin and abamectin drives sublethal and transgenerational effects on the development and reproduction of Cydia pomonella. Ecotoxicol. Environ. Saf. 2023, 252, 114581. [Google Scholar] [CrossRef]









| Plant Species | Family | Longitude (E) | Latitude (N) |
|---|---|---|---|
| Justicia adhatoda | Acanthaceae | 77°73′81.22″ | 08°71′80.23″ |
| Ipomea carnea | Convolvulaceae | 77°68′75.15″ | 08°73′05.34″ |
| Pongamia glabra | Fabaceae | 77°74′01.66″ | 08°71′74.48″ |
| Annona squamosa | Annonaceae | 77°66′57.73″ | 08°73′70.75″ |
| Name of the Qualitative Enzyme | Sample of Whole-Body Insect |
|---|---|
| Amylase | + |
| Invertase | ++ |
| Lipase | ++ |
| Protease | ++ |
| Trypsin | + |
| Pepsin | + |
Disclaimer/Publisher’s Note: The statements, opinions and data contained in all publications are solely those of the individual author(s) and contributor(s) and not of MDPI and/or the editor(s). MDPI and/or the editor(s) disclaim responsibility for any injury to people or property resulting from any ideas, methods, instructions or products referred to in the content. |
© 2023 by the authors. Licensee MDPI, Basel, Switzerland. This article is an open access article distributed under the terms and conditions of the Creative Commons Attribution (CC BY) license (https://creativecommons.org/licenses/by/4.0/).
Share and Cite
Madasamy, M.; Sahayaraj, K.; Sayed, S.M.; Al-Shuraym, L.A.; Selvaraj, P.; El-Arnaouty, S.-A.; Madasamy, K. Insecticidal Mechanism of Botanical Crude Extracts and Their Silver Nanoliquids on Phenacoccus solenopsis. Toxics 2023, 11, 305. https://doi.org/10.3390/toxics11040305
Madasamy M, Sahayaraj K, Sayed SM, Al-Shuraym LA, Selvaraj P, El-Arnaouty S-A, Madasamy K. Insecticidal Mechanism of Botanical Crude Extracts and Their Silver Nanoliquids on Phenacoccus solenopsis. Toxics. 2023; 11(4):305. https://doi.org/10.3390/toxics11040305
Chicago/Turabian StyleMadasamy, Mariappan, Kitherian Sahayaraj, Samy M. Sayed, Laila A. Al-Shuraym, Parthas Selvaraj, Sayed-Ashraf El-Arnaouty, and Koilraj Madasamy. 2023. "Insecticidal Mechanism of Botanical Crude Extracts and Their Silver Nanoliquids on Phenacoccus solenopsis" Toxics 11, no. 4: 305. https://doi.org/10.3390/toxics11040305
APA StyleMadasamy, M., Sahayaraj, K., Sayed, S. M., Al-Shuraym, L. A., Selvaraj, P., El-Arnaouty, S.-A., & Madasamy, K. (2023). Insecticidal Mechanism of Botanical Crude Extracts and Their Silver Nanoliquids on Phenacoccus solenopsis. Toxics, 11(4), 305. https://doi.org/10.3390/toxics11040305

