Transport Characteristics and Transmission Risk of Virus-Containing Droplets from Coughing in Outdoor Windy Environment
Abstract
:1. Introduction
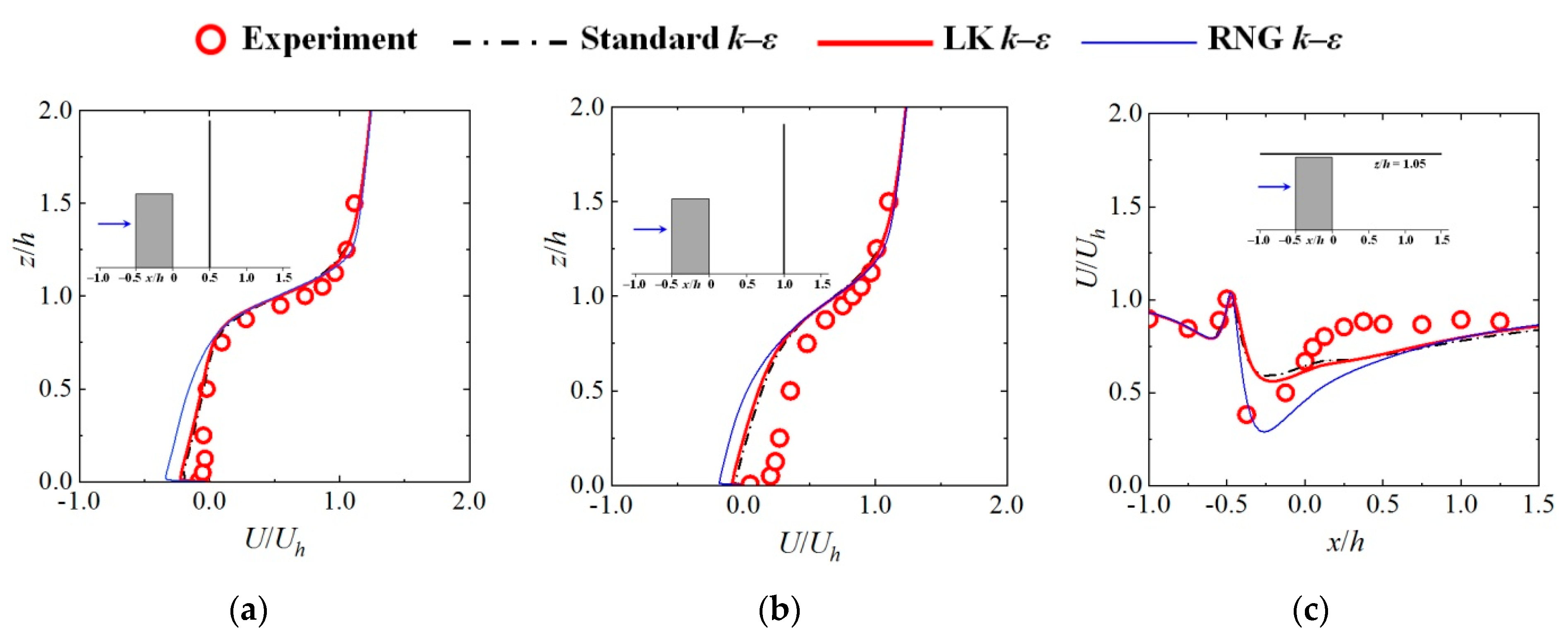
2. Turbulence Model Evaluations
3. Methodology and Computational Setups
3.1. Transport Equations of the Discrete Phase
3.2. Simulation Arrangements and Mesh Systems
3.3. Boundary Conditions and Numerical Algorithms
4. Results and Discussion
4.1. Airflow and Particle Dispersions around an Isolated Human Model
4.2. Droplet Transmission between the Infected Man and a Susceptible Person
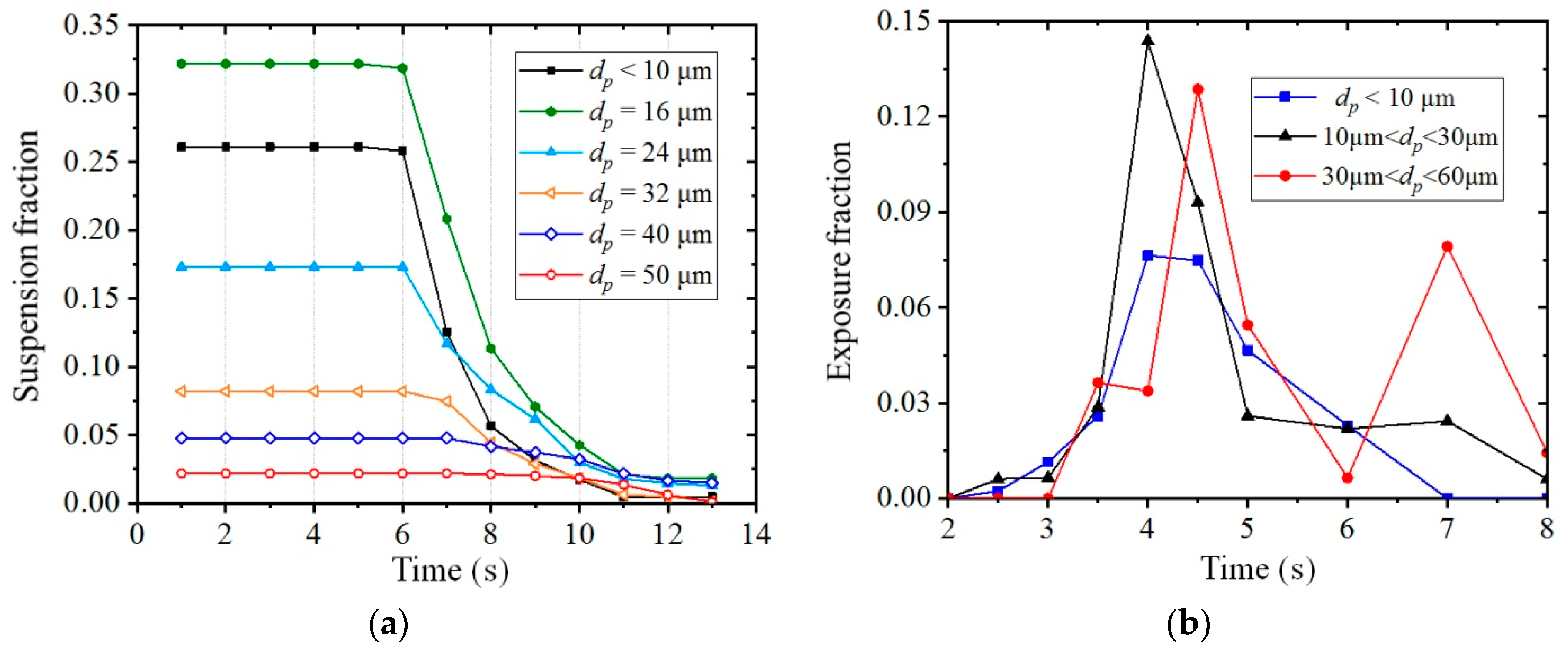
4.3. Exposure Fractions
5. The Limitations
6. Conclusions
- (1)
- A reverse and upward flow was created in the wake of the infected person, and it became stronger as the wind speed increased. The enhanced reverse and upward flow transported more particles backward and more medium particles to a higher position and increased the number of depositions on a human body. Stronger wind can blow the particles downstream quickly and reduce the number of particles deposited on the ground.
- (2)
- The dispersion patterns of particles with different sizes were different. Medium particles larger than 60 μm had less chance of reaching the upper body of a susceptible person under a weak wind condition, while many of them can be transported to higher locations and have more chance of being thrown toward the face of a susceptible person under a stronger wind condition. Particles smaller than 60 μm were moving at the height of the head or neck as they passed through a susceptible person. Particles with diameters ranging from 30 to 60 μm were trapped for a longer time between two persons and were more likely to approach the breathing zone of a susceptible person; as a result, they can be largely and continuously threatening. Many small and some medium particles passing through the breathing zone of a susceptible person simultaneously led to the peak value of the exposure fraction.
- (3)
- The deposition of particles on both an infected man and a susceptible person increased with the increase in wind speed. Most of the depositions occurred under stronger wind conditions. The particle depositions were rarely observed on the face of a susceptible male, but they were found on the face of a susceptible female in most of the cases. Droplets with diameters ranging from 75 to 150 μm were more likely to deposit on the body of a susceptible person.
- (4)
- Compared with the cases with 1-m social distancing, the deposition fraction increased slightly when the wind speed was larger, and an increase in the peak value of the exposure fraction was observed for a susceptible person in some situations when the social distancing was 2 m. Longer social distancing can alleviate the deposition of particles on the face and delay the arrival of the riskiest time for a susceptible person. As a result, the effect of social distancing on the infection risk was not distinct in a windy environment.
- (5)
- The infection risk was evaluated for different styles of a susceptible person in a windy condition. Stronger wind had the potential to create a greater risk of instantaneous exposure. A susceptible person can avoid being infected by the virus-containing droplets through airborne transmission if they have a greater height. Compared with the situations for a susceptible male, the infection risk was somewhat greater for a susceptible female that had a shorter height because more particles were deposited on the face and the exposure fractions contributed by the particles above the neck were greater in most cases.
Author Contributions
Funding
Institutional Review Board Statement
Informed Consent Statement
Data Availability Statement
Conflicts of Interest
References
- Doremalen, N.V.; Bushmaker, T.; Morris, D.H.; Van Doremalen, N.; Bushmaker, T.; Morris, D.H.; Holbrook, M.G.; Gamble, A.; Williamson, B.N.; Munster, V.J. Aerosol and surface stability of SARS-CoV-2 as compared with SARS-CoV-1. N. Engl. J. Med. 2020, 382, 1564–1567. [Google Scholar] [CrossRef] [PubMed]
- Duguid, J.P. The size and the duration of air-carriage of respiratory droplets and droplet-nuclei. Epidemiol. Infect. 1964, 44, 471–479. [Google Scholar] [CrossRef] [PubMed] [Green Version]
- Yang, G.W.M.; Lee, C.M.; Chen, C.C.; Wu, K.P. The Size and Concentration of Droplets Generated by Coughing in Human Subjects. J. Aerosol Med. 2007, 20, 484–494. [Google Scholar] [CrossRef] [PubMed]
- Xie, X.J.; Li, Y.G.; Sun, H.Q.; Liu, L. Exhaled droplets due to talking and coughing. J. R. Soc. Interface 2009, 6, S703–S714. [Google Scholar] [CrossRef] [Green Version]
- Chao, C.Y.H.; Wan, M.P.; Morawska, L.; Johnson, G.R.; Ristovski, Z.D.; Hargreaves, M.; Mengersen, K.; Corbett, S.; Li, Y.; Xie, X.; et al. Characterization of expiration air jets and droplet size distributions immediately at the mouth opening. J. Aerosol Sci. 2009, 40, 122–133. [Google Scholar] [CrossRef] [Green Version]
- Gupta, J.K.; Lin, C.H.; Chen, Q. Flow dynamics and characterization of a cough. Indoor Air 2009, 19, 517–525. [Google Scholar] [CrossRef]
- Gupta, J.K.; Lin, C.H.; Chen, Q. Characterizing exhaled airflow from breathing and talking. Indoor Air 2010, 20, 31–39. [Google Scholar] [CrossRef]
- Han, M.; Ooka, R.; Kikumoto, H.; Oh, W.; Bu, Y.C.; Hu, S.Y. Measurements of exhaled airflow velocity through human coughs using particle image velocimetry. Build. Environ. 2021, 202, 108020. [Google Scholar] [CrossRef]
- Cheng, C.H.; Chow, C.L.; Chow, W.K. Trajectories of large respiratory droplets in indoor environment: A simplified approach. Build. Environ. 2020, 183, 107196. [Google Scholar] [CrossRef]
- Liu, Z.J.; Liu, H.Y.; Rong, R.; Cao, G.Q. Effect of a circulating nurse walking on airflow and bacteria-carrying particles in the operating room: An experimental and numerical study. Build. Environ. 2020, 186, 107315. [Google Scholar] [CrossRef]
- Liu, Z.J.; Wang, L.Q.; Rong, R.; Fu, S.F.; Cao, G.Q.; Hao, C.C. Full-scale experimental and numerical study of bioaerosol characteristics against cross-infection in a two-bed hospital ward. Build. Environ. 2020, 186, 107373. [Google Scholar] [CrossRef] [PubMed]
- Zhang, Z.; Chen, X.; Mazumdar, S.; Zhang, T.F.; Chen, Q. Experimental and numerical investigation of airflow and contaminant transport in an airliner cabin mockup. Build. Environ. 2009, 44, 85–94. [Google Scholar] [CrossRef] [Green Version]
- Gupta, J.K.; Lin, Q.C.; Chen, H. Transport of expiratory droplets in an aircraft cabin. Indoor Air 2011, 21, 3–11. [Google Scholar] [CrossRef] [PubMed]
- Yang, L.; Li, X.D.; Yan, Y.H.; Tu, J.Y. Effects of cough-jet on airflow and contaminant transport in an airliner cabin section. J. Comput. Multiph. Flows 2018, 10, 72–82. [Google Scholar] [CrossRef]
- Yan, Y.H.; Li, X.R.; Yang, L.; Yan, P.; Tu, J.Y. Evaluation of cough-jet effects on the transport characteristics of respiratory-induced contaminants in airline passengers’ local environments. Build. Environ. 2020, 183, 107206. [Google Scholar] [CrossRef]
- Zhang, L.; Li, Y.G. Dispersion of coughed droplets in a fully-occupied high-speed rail cabin. Build. Environ. 2012, 47, 58–66. [Google Scholar] [CrossRef]
- Yang, X.; Ou, C.Y.; Yang, H.Y.; Liu, L.; Song, T.; Kang, M.; Lin, H.L.; Hang, J. Transmission of pathogen-laden expiratory droplets in a coach bus. J. Hazard. Mater. 2020, 397, 122609. [Google Scholar] [CrossRef]
- Liu, S.M.; Zhao, X.W.; Nichols, S.R.; Bonilha, M.W.; Derwinski, T.; Auxier, J.T.; Chen, Q. Evaluation of airborne particle exposure for riding elevators. Build. Environ. 2022, 207, 108543. [Google Scholar] [CrossRef]
- Zhu, S.W.; Kato, S.; Yang, J.H. Study on transport characteristics of saliva droplets produced by coughing in a calm indoor environment. Build. Environ. 2006, 41, 1691–1702. [Google Scholar] [CrossRef]
- He, Q.B.; Niu, J.L.; Gao, N.P.; Zhu, T.; Wu, J.Z. CFD study of exhaled droplet transmission between occupants under different ventilation strategies in a typical office room. Build. Environ. 2011, 46, 397–408. [Google Scholar] [CrossRef]
- Zhang, Y.X.; Feng, G.H.; Bi, Y.; Cai, Y.L.; Zhang, Z.; Cao, G.Y. Distribution of droplet aerosols generated by mouth coughing and nose breathing in an air-conditioned room. Sustain. Cities Soc. 2019, 51, 101721. [Google Scholar] [CrossRef]
- Shang, Y.D.; Dong, J.L.; Tian, L.; He, F.J.; Tu, J.Y. An improved numerical model for epidemic transmission and infection risks assessment in indoor environment. J. Aerosol Sci. 2022, 162, 105943. [Google Scholar] [CrossRef] [PubMed]
- Bulfone, T.C.; Malekinejad, M.; Rutherford, G.W.; Razani, N. Outdoor Transmission of SARS-CoV-2 and Other Respiratory Viruses: A Systematic Review. J. Infect. Dis. 2021, 223, 550–561. [Google Scholar] [CrossRef] [PubMed]
- Makruf, A.; Ramdhan, D.H. Outdoor Activity: Benefits and Risks to Recreational Runners during the COVID-19 Pandemic. Natl. Public Health J. 2021, 16, 59–64. [Google Scholar] [CrossRef]
- Dominski, F.H.; Brandt, R. Do the benefits of exercise in indoor and outdoor environments during the COVID-19 pandemic outweigh the risks of infection? Sport Sci. Health 2020, 16, 583–588. [Google Scholar] [CrossRef] [PubMed]
- WHO. Advice for the Public: Coronavirus Disease (COVID-19). Available online: https://www.who.int/emergencies/diseases/novel-coronavirus-2019/advice-for-public (accessed on 10 May 2022).
- Zhao, T.M.; Cheng, C.; Liu, H.X.; Sun, C.Y. Is one- or two-meters social distancing enough for COVID-19? Evidence for reassessing. Public Health 2020, 185, 87. [Google Scholar] [CrossRef]
- Lazzerini, M.; Putoto, G. COVID-19 in Italy: Momentous decisions and many uncertainties. Lancet Glob. Health 2020, 8, 641–642. [Google Scholar] [CrossRef] [Green Version]
- Feng, Y.; Marchal, T.; Sperry, T.; Yi, H. Influence of wind and relative humidity on the social distancing effectiveness to prevent COVID-19 airborne transmission: A numerical study. J. Aerosol Sci. 2020, 147, 105585. [Google Scholar] [CrossRef]
- Li, H.; Leong, F.; Xu, G.; Ge, Z.; Kang, C.; Lim, K. Dispersion of evaporating cough droplets in tropical outdoor environment. Phys. Fluids 2020, 32, 113301. [Google Scholar] [CrossRef]
- Yang, X.; Yang, H.; Ou, C.; Luo, Z.; Hang, J. Airborne transmission of pathogen-laden expiratory droplets in open outdoor space. Sci. Total Environ. 2021, 773, 145537. [Google Scholar] [CrossRef]
- Kato, M.; Launder, B.E. The Modelling of Turbulent Flow around Stationary and Vibrating Square Cylinders. In Proceedings of the 9th Symposium on Turbulence and Shear Flows, Kyoto, Japan, 16–18 August 1993. [Google Scholar]
- Shirasawa, T.; Yoshie, R.; Tanaka, H.; Kobayashi, T.; Mochida, A.; Endo, Y. Cross comparison of CFD results of gas diffusion in weak wind region behind a high-rise building. In Proceedings of the Fourth International Conference on Advances in Wind and Structures (AWAS’08), Jeju, Korea, 29–31 May 2008. [Google Scholar]
- Mochida, A.; Tominaga, Y.; Murakami, S.; Yoshie, R.; Ishihara, T.; Ooka, R. Comparison of various k-ε models and DSM applied to flow around a high-rise building -report on AIJ cooperative project for CFD prediction of wind environment. Wind. Struct. 2002, 5, 227–244. [Google Scholar] [CrossRef] [Green Version]
- Tominaga, Y.; Mochida, A.; Murakami, S.; Sawaki, S. Comparison of various revised k-ε models and LES applied to flow around a high-rise building model with 1:1:2 shape placed within the surface boundary layer. J. Wind Eng. Ind. Aerodyn. 2008, 96, 389–411. [Google Scholar] [CrossRef]
- Available online: http://www.arch.t-kougei.ac.jp/ito/vm.html (accessed on 27 April 2022).
- Li, F.J.; Jiang, G.Y.; Hu, T.T. Coughing Intensity and Wind Direction Effects on the Transmission of Respiratory Droplets: A Computation with Euler–Lagrange Method. Atmosphere 2022, 13, 594. [Google Scholar] [CrossRef]
- Bourouiba, L.; Dehandschoewercker, E.; Bush, J.W.M. Violent expiratory events: On coughing and sneezing. J. Fluid Mech. 2014, 745, 537–563. [Google Scholar] [CrossRef]




















| Inflow Wind Speed | ||||
|---|---|---|---|---|
| Vin = 1.8 (m/s) | Vin = 3.6 (m/s) | Vin = 5.4 (m/s) | ||
| Isolated human model | Case 1 | Case 2 | Case 3 | |
| Male to male | Ld = 1 m | Case 4 | Case 5 | Case 6 |
| Ld = 2 m | Case 7 | Case 8 | Case 9 | |
| Male to female | Ld = 1 m | Case 10 | Case 11 | Case 12 |
| Ld = 2 m | Case 13 | Case 14 | Case 15 | |
| Male Model | Female Model | |||
|---|---|---|---|---|
| This Study | ITO [36] | This Study | ITO [36] | |
| Whole body area (m2) | 1.98 | 1.75 | 1.42 | 1.32 |
| Body height H (m) | 1.74 | 1.74 | 1.60 | 1.59 |
| Waist height (m) | 1.14 | 1.13 | 1.00 | 1.03 |
| Waist width (m) | 0.265 | 0.268 | 0.192 | 0.197 |
| Head width (m) | 0.15 | 0.15 | 0.16 | 0.14 |
| Mouse area (m2) | 0.00062 | — | 0.00055 | — |
| Mouse width (m) | 0.042 | 0.052 | 0.035 | 0.042 |
| Hair | No | No | Yes | No |
| dp (μm) | 2 | 4 | 8 | 16 | 24 | 32 | 40 | 50 |
| Number | 50 | 290 | 970 | 1600 | 870 | 420 | 240 | 110 |
| dp (μm) | 75 | 100 | 125 | 150 | 200 | 250 | 500 | 1000 |
| Number | 140 | 85 | 48 | 38 | 35 | 29 | 34 | 14 |
| Cases | ||||
|---|---|---|---|---|
| Vin = 1.8 m/s | Vin = 3.6 m/s | Vin = 5.4 m/s | ||
| Male to male | Ld = 1 m | 0 | 0 | 2 |
| Ld = 2 m | 0 | 0 | 0 | |
| Male to female | Ld = 1 m | 4 | 4 | 16 |
| Ld = 2 m | 0 | 0 | 20 | |
Publisher’s Note: MDPI stays neutral with regard to jurisdictional claims in published maps and institutional affiliations. |
© 2022 by the authors. Licensee MDPI, Basel, Switzerland. This article is an open access article distributed under the terms and conditions of the Creative Commons Attribution (CC BY) license (https://creativecommons.org/licenses/by/4.0/).
Share and Cite
Jiang, G.; Li, F.; Hu, T. Transport Characteristics and Transmission Risk of Virus-Containing Droplets from Coughing in Outdoor Windy Environment. Toxics 2022, 10, 294. https://doi.org/10.3390/toxics10060294
Jiang G, Li F, Hu T. Transport Characteristics and Transmission Risk of Virus-Containing Droplets from Coughing in Outdoor Windy Environment. Toxics. 2022; 10(6):294. https://doi.org/10.3390/toxics10060294
Chicago/Turabian StyleJiang, Guoyi, Fengjiao Li, and Tingting Hu. 2022. "Transport Characteristics and Transmission Risk of Virus-Containing Droplets from Coughing in Outdoor Windy Environment" Toxics 10, no. 6: 294. https://doi.org/10.3390/toxics10060294
APA StyleJiang, G., Li, F., & Hu, T. (2022). Transport Characteristics and Transmission Risk of Virus-Containing Droplets from Coughing in Outdoor Windy Environment. Toxics, 10(6), 294. https://doi.org/10.3390/toxics10060294

