Ozonation of Selected Pharmaceutical and Personal Care Products in Secondary Effluent—Degradation Kinetics and Environmental Assessment
Abstract
1. Introduction
2. Materials and Methods
2.1. Test Chemicals and Water Matrices
2.2. Assessment of Ozonation Efficacy
2.2.1. Ozonation Conditions
2.2.2. Determination of Degradation Kinetics
2.2.3. Ecotoxicity Assessment
2.3. Analytical Methods
3. Results and Discussion
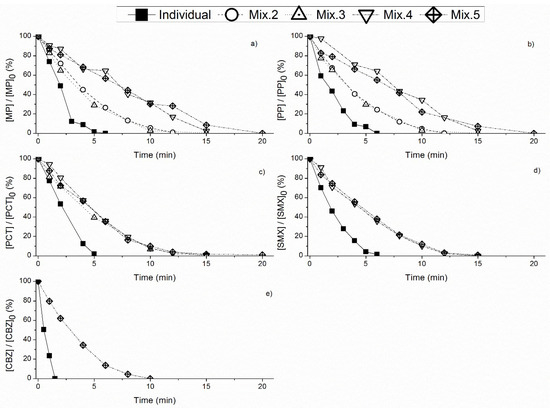
3.1. Ozonation of PPCPs, Single and in Mixture, in Ultrapure Water
3.2. Ozonation of PPCPs in Municipal Wastewater
3.2.1. PPCPs Removal
3.2.2. COD Removal
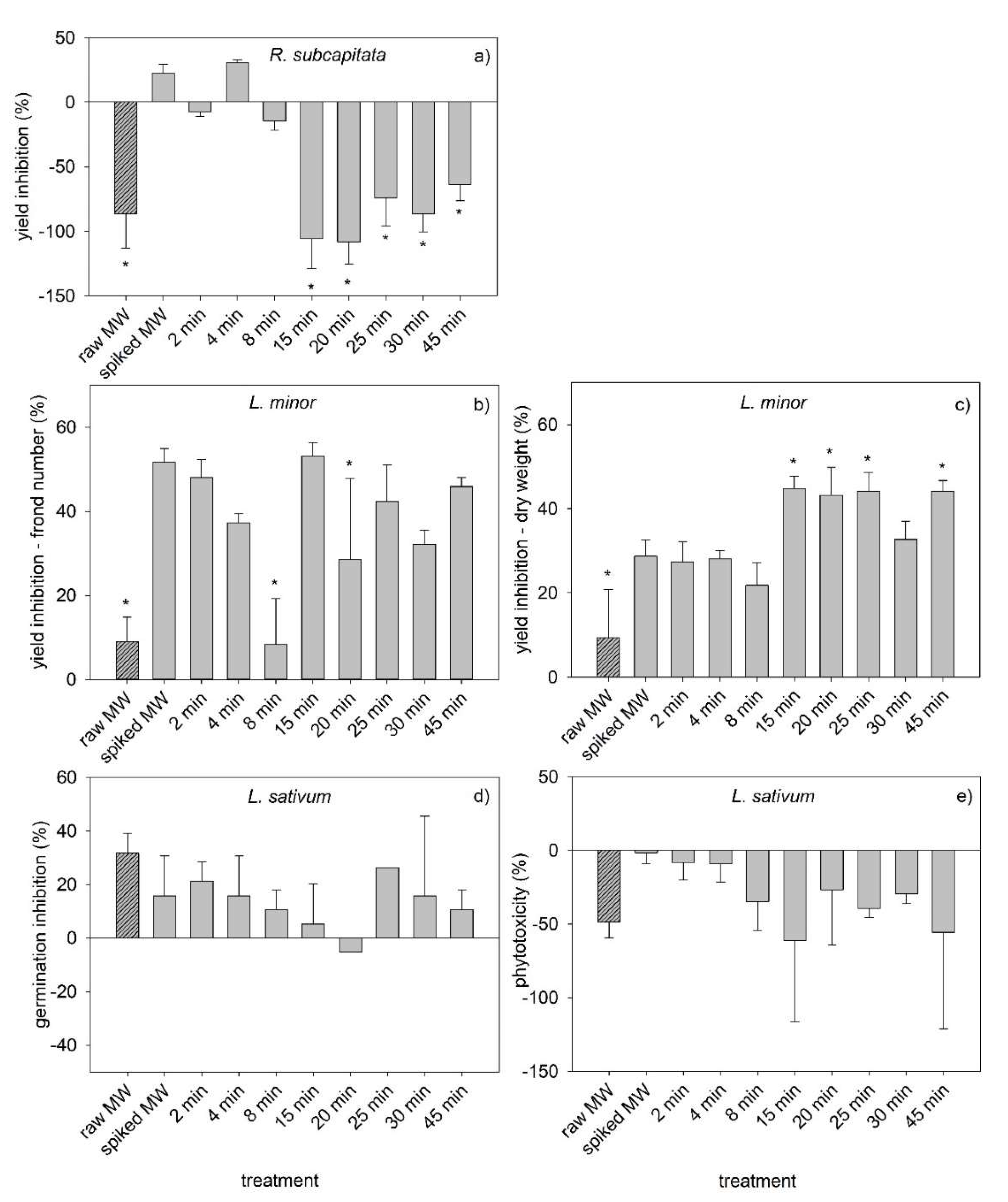
3.2.3. Ecotoxicity Evaluation
4. Conclusions
Supplementary Materials
Author Contributions
Funding
Institutional Review Board Statement
Data Availability Statement
Conflicts of Interest
References
- McNally, A.; Verdin, K.; Harrison, L.; Getirana, A.; Jacob, J.; Shukla, S.; Arsenault, K.; Peters-Lidard, C.; Verdin, J.P. Acute water-scarcity monitoring for Africa. Water 2019, 11, 1968. [Google Scholar] [CrossRef]
- Rosa, L.; Chiarelli, D.D.; Rulli, M.C.; Dell’Angelo, J.; D’Odorico, P. Global agricultural economic water scarcity. Sci. Adv. 2020, 6, eaaz6031. [Google Scholar] [CrossRef] [PubMed]
- Rizzo, L.; Gernjak, W.; Krzeminski, P.; Malato, S.; McArdell, C.S.; Perez, J.A.S.; Schaar, H.; Fatta-Kassinos, D. Best available technologies and treatment trains to address current challenges in urban wastewater reuse for irrigation of crops in EU countries. Sci. Total Environ. 2020, 710, 136312. [Google Scholar] [CrossRef]
- Ofori, S.; Puškáčová, A.; Růžičková, I.; Wanner, J. Treated wastewater reuse for irrigation: Pros and cons. Sci. Total Environ. 2021, 760, 144026. [Google Scholar] [CrossRef] [PubMed]
- Krzeminski, P.; Schwermer, C.; Wennberg, A.; Langford, K.; Vogelsang, C. Occurrence of UV filters, fragrances and organophosphate flame retardants in municipal WWTP effluents and their removal during membrane post-treatment. J. Hazard. Mater. 2017, 323, 166–176. [Google Scholar] [CrossRef]
- Saeid, S.; Kråkström, M.; Tolvanen, P.; Kumar, N.; Eränen, K.; Mikkola, J.-P.; Kronberg, L.; Eklund, P.; Peurla, M.; Aho, A.; et al. Advanced Oxidation Process for Degradation of Carbamazepine from Aqueous Solution: Influence of Metal Modified Microporous, Mesoporous Catalysts on the Ozonation Process. Catalysts 2020, 10, 90. [Google Scholar] [CrossRef]
- Al-Kaf, A.G.; Naji, K.M.; Abdullah, Q.Y.M.; Edrees, W.H.A. Occurrence of paracetamol in aquatic environments and transformation by microorganisms: A review. Chron. Pharm. Sci. 2017, 1, 341–355. [Google Scholar]
- Neamţu, M.; Bobu, M.; Kettrup, A.; Siminiceanu, I. Ozone photolysis of paracetamol in aqueous solution. J. Environ. Sci. Health Part A 2013, 48, 1264–1271. [Google Scholar] [CrossRef]
- Canosa, P.; Rodriguez, I.; Rubi, E.; Cela, R. Determination of parabens and triclosan in indoor dust using matrix solid-phase dispersion and gas chromatography with tandem mass spectrometry. Anal. Chem. 2007, 79, 1675–1681. [Google Scholar] [CrossRef]
- Lincho, J.; Martins, R.C.; Gomes, J. Paraben Compounds—Part I: An Overview of Their Characteristics, Detection, and Impacts. Appl. Sci. 2021, 11, 2307. [Google Scholar] [CrossRef]
- Petrie, B.; Barden, R.; Kasprzyk-Hordern, B. A review on emerging contaminants in wastewaters and the environment: Current knowledge, understudied areas and recommendations for future monitoring. Water Res. 2015, 72, 3–27. [Google Scholar] [CrossRef] [PubMed]
- Ahmed, M.B.; Zhou, J.L.; Ngo, H.H.; Guo, W.; Thomaidis, N.S.; Xu, J. Progress in the biological and chemical treatment technologies for emerging contaminant removal from wastewater: A critical review. J. Hazard. Mater. 2017, 323, 274–298. [Google Scholar] [CrossRef] [PubMed]
- Pereira, A.; Silva, L.; Laranjeiro, C.; Lino, C.; Pena, A. Selected Pharmaceuticals in Different Aquatic Compartments: Part I—Source, Fate and Occurrence. Molecules 2020, 25, 1026. [Google Scholar] [CrossRef] [PubMed]
- Gao, S.; Zhao, Z.; Xu, Y.; Tian, J.; Qi, H.; Lin, W.; Cui, F. Oxidation of sulfamethoxazole (SMX) by chlorine, ozone and permanganate—A comparative study. J. Hazard. Mater. 2014, 274, 258–269. [Google Scholar] [CrossRef] [PubMed]
- Ribeiro, A.R.; Pedrosa, M.; Moreira, N.F.F.; Pereira, M.F.R.; Silva, A.M.T. Environmental friendly method for urban wastewater monitoring of micropollutants defined in the Directive 2013/39/EU and Decision 2015/495/EU. J. Chromatogr. A 2015, 1418, 140–149. [Google Scholar] [CrossRef] [PubMed]
- Gomes, J.; Costa, R.; Quinta-Ferreira, R.M.; Martins, R.C. Application of ozonation for pharmaceuticals and personal care products removal from water. Sci. Total Environ. 2017, 586, 265–283. [Google Scholar] [CrossRef]
- Miklos, D.B.; Remy, C.; Jekel, M.; Linden, K.G.; Drewes, J.E.; Hübner, U. Evaluation of advanced oxidation processes for water and wastewater treatment—A critical review. Water Res. 2018, 139, 118–131. [Google Scholar] [CrossRef]
- European Parliament. European Parliament legislative resolution of 12 February 2019 on the proposal for a regulation of the European Parliament and of the Council on minimum requirements for water reuse (COM(2018)0337-C8-0220/2018-2018/0169(COD)). 2019. Available online: https://www.europarl.europa.eu/RegData/seance_pleniere/textes_adoptes/provisoire/2019/02-12/0071/P8_TA-PROV(2019)0071_EN.pdf (accessed on 15 October 2022).
- Kasprzyk-Hordern, B.; Ziółek, M.; Nawrocki, J. Catalytic ozonation and methods of enhancing molecular ozone reactions in water treatment. Appl. Catal. B Environ. 2003, 46, 639–669. [Google Scholar] [CrossRef]
- von Gunten, U. Ozonation of drinking water: Part I. Oxidation kinetics and product formation. Water Res. 2003, 37, 1443–1467. [Google Scholar]
- Bourgin, M.; Beck, B.; Boehler, M.; Borowska, E.; Fleiner, J.; Salhi, E.; Teichler, R.; von Gunten, U.; Siegrist, H.; McArdell, C.S. Evaluation of a full-scale wastewater treatment plant upgraded with ozonation and biological post-treatments: Abatement of micropollutants, formation of transformation products and oxidation by-products. Water Res. 2018, 129, 486–498. [Google Scholar] [CrossRef]
- Itzel, F.; Baetz, N.; Hohrenk, L.L.; Gehrmann, L.; Antakyali, D.; Schmidt, T.C.; Tuerk, J. Evaluation of a biological post-treatment after full-scale ozonation at a municipal wastewater treatment plant. Water Res. 2020, 170, 115316. [Google Scholar] [CrossRef] [PubMed]
- Gomes, J.F.; Frasson, D.; Pereira, J.L.; Gonçalves, F.J.M.; Castro, L.M.; Quinta-Ferreira, R.M.; Martins, R.C. Ecotoxicity variation through parabens degradation by single and catalytic ozonation using volcanic rock. Chem. Eng. J. 2019, 360, 30–37. [Google Scholar] [CrossRef]
- Carbajo, J.B.; Petre, A.L.; Rosal, R.; Herrera, S.; Letón, P.; García-Calvo, E.; Fernández-Alba, A.R.; Perdigón-Melón, J.A. Continuous ozonation treatment of ofloxacin: Transformation products, water matrix effect and aquatic toxicity. J. Hazard. Mater. 2015, 292, 34–43. [Google Scholar] [CrossRef] [PubMed]
- Asghar, A.; Lutze, H.V.; Tuerk, J.; Schmidt, T.C. Influence of water matrix on the degradation of organic micropollutants by ozone based processes: A review on oxidant scavenging mechanism. J. Hazard. Mater. 2022, 429, 128189. [Google Scholar] [CrossRef] [PubMed]
- Gomes, J.; Bernardo, C.; Jesus, F.; Pereira, J.L.; Martins, R.C. Ozone Kinetic Studies Assessment for the PPCPs Abatement: Mixtures Relevance. ChemEngineering 2022, 6, 20. [Google Scholar] [CrossRef]
- OECD. Test N201: Freshwater Alga and Cyanobacteria, Growth Inhibition Test. In OECD Guidelines for the Testing of Chemicals; Organisation for Economic Co-operation and Development: Paris, France, 2006; p. 25. [Google Scholar]
- OECD. Test N221: Lemna sp. Growth Inhibition Test. In OECD Guidelines for the Testing of Chemicals; Organisation for Economic Co-operation and Development: Paris, France, 2006; p. 22. [Google Scholar]
- OECD. Test No. 202: Daphnia sp., Acute Immobilisation Test. In OECD Guidelines for the Testing of Chemicals; Organisation for Economic Co-operation and Development: Paris, France, 2004; p. 12. [Google Scholar]
- ASTM E1193-97(2004); Standard Guide for Conducting Daphnia magna Life-cycle Toxicity Tests. American Society for Testing and Materials: West Conshohocken, PA, USA, 2004.
- ISO 18763; Soil Quality—Determination of the Toxic Effects of Pollutants on Germination and Early Growth of Higher Plants. International Organization for Standardization: Geneva, Switzerland, 2016.
- Sahu, R.K.; Katiyar, S.; Yadav, A.K.; Kumar, N.; Srivastava, J. Toxicity Assessment of Industrial Effluent by Bioassays. Clean–Soil Air Water 2008, 36, 517–520. [Google Scholar] [CrossRef]
- Trautmann, N.M.; Krasny, M.E. Composting in the Classroom: Scientific Inquiry for High School Students; Kendall/Hunt Publishing Company: Dubuque, IA, USA, 1997. [Google Scholar]
- Greenberg, A.; Clesceri, L.; Eaton, A. Standard Methods for the Examination of Water and Wastewater, 16th ed.; American Public Health Association: Washington, DC, USA, 1985. [Google Scholar]
- Tay, K.S.; Rahman, N.A.; Abas, M.R.B. Kinetic studies of the degradation of parabens in aqueous solution by ozone oxidation. Environ. Chem. Lett. 2010, 8, 331–337. [Google Scholar] [CrossRef]
- El Najjar, N.H.; Touffet, A.; Deborde, M.; Journel, R.; Leitner, N.K.V. Kinetics of paracetamol oxidation by ozone and hydroxyl radicals, formation of transformation products and toxicity. Sep. Purif. Technol. 2014, 136, 137–143. [Google Scholar] [CrossRef]
- Domenjoud, B.; Tatari, C.; Esplugas, S.; Baig, S. Ozone-Based Processes Applied to Municipal Secondary Effluents. Ozone Sci. Eng. 2011, 33, 243–249. [Google Scholar] [CrossRef]
- Mohapatra, D.P.; Brar, S.K.; Tyagi, R.D.; Picard, P.; Surampalli, R.Y. Analysis and advanced oxidation treatment of a persistent pharmaceutical compound in wastewater and wastewater sludge-carbamazepine. Sci. Total Environ. 2014, 470, 58–75. [Google Scholar] [CrossRef]
- Ikehata, K.; Naghashkar, N.J.; El-Din, M.G. Degradation of Aqueous Pharmaceuticals by Ozonation and Advanced Oxidation Processes: A Review. Ozone Sci. Eng. 2006, 28, 353–414. [Google Scholar] [CrossRef]
- Tay, K.S.; Rahman, N.A.; Abas, M.R.B. Ozonation of parabens in aqueous solution: Kinetics and mechanism of degradation. Chemosphere 2010, 81, 1446–1453. [Google Scholar] [CrossRef] [PubMed]
- Huber, M.M.; Canonica, S.; Park, G.-Y.; von Gunten, U. Oxidation of pharmaceuticals during ozonation and advanced oxidation processes. Environ. Sci. Technol. 2003, 37, 1016–1024. [Google Scholar] [CrossRef] [PubMed]
- Giri, R.R.; Ozaki, H.; Ota, S.; Takanami, R.; Taniguchi, S. Degradation of common pharmaceuticals and personal care products in mixed solutions by advanced oxidation techniques. Int. J. Environ. Sci. Technol. 2010, 7, 251–260. [Google Scholar] [CrossRef]
- Gomes, J.; Lincho, J.; Mazierski, P.; Miodyńska, M.; Zaleska-Medynska, A.; Martins, R.C. Unexpected effect of ozone on the paraben’s mixture degradation using TiO2 supported nanotubes. Sci. Total Environ. 2020, 743, 140831. [Google Scholar] [CrossRef] [PubMed]
- Gomes, J.F.; Lopes, A.; Gmurek, M.; Quinta-Ferreira, R.M.; Martins, R.C. Study of the influence of the matrix characteristics over the photocatalytic ozonation of parabens using Ag-TiO2. Sci. Total Environ. 2019, 646, 1468–1477. [Google Scholar] [CrossRef]
- Petala, A.; Frontistis, Z.; Antonopoulou, M.; Konstantinou, I.; Kondarides, D.I.; Mantzavinos, D. Kinetics of ethyl paraben degradation by simulated solar radiation in the presence of N-doped TiO2 catalysts. Water Res. 2015, 81, 157–166. [Google Scholar] [CrossRef]
- Gomes, J.F.; Leal, I.; Bednarczyk, K.; Gmurek, M.; Stelmachowski, M.; Diak, M.; Quinta-Ferreira, M.E.; Costa, R.; Quinta-Ferreira, R.M.; Martins, R.C. Photocatalytic ozonation using doped TiO2 catalysts for the removal of parabens in water. Sci. Total Environ. 2017, 609, 329–340. [Google Scholar] [CrossRef]
- Völker, J.; Stapf, M.; Miehe, U.; Wagner, M. Systematic Review of Toxicity Removal by Advanced Wastewater Treatment Technologies via Ozonation and Activated Carbon. Environ. Sci. Technol. 2019, 53, 7215–7233. [Google Scholar] [CrossRef]
- Jesus, F.; Bernardo, C.; Martins, R.C.; Gomes, J.; Pereira, J.L. Ecotoxicological Consequences of the Abatement of Contaminants of Emerging Concern by Ozonation: Does Mixture Complexity Matter? Water 2022, 14, 1801. [Google Scholar] [CrossRef]
- Ferrari, B.; Mons, R.; Vollat, B.; Fraysse, B.; Paxēaus, N.; Giudice, R.L.; Pollio, A.; Garric, J. Environmental risk assessment of six human pharmaceuticals: Are the current environmental risk assessment procedures sufficient for the protection of the aquatic environment? Environ. Toxicol. Chem. Int. J. 2004, 23, 1344–1354. [Google Scholar] [CrossRef] [PubMed]
- Xin, X.; Huang, G.; Zhang, B. Review of aquatic toxicity of pharmaceuticals and personal care products to algae. J. Hazard. Mater. 2021, 410, 124619. [Google Scholar] [CrossRef] [PubMed]
- Gao, F.; Li, C.; Yang, Z.-H.; Zeng, G.-M.; Mu, J.; Liu, M.; Cui, W. Removal of nutrients, organic matter, and metal from domestic secondary effluent through microalgae cultivation in a membrane photobioreactor. J. Chem. Technol. Biotechnol. 2016, 91, 2713–2719. [Google Scholar] [CrossRef]
- Magdeburg, A.; Stalter, D.; Oehlmann, J. Whole effluent toxicity assessment at a wastewater treatment plant upgraded with a full-scale post-ozonation using aquatic key species. Chemosphere 2012, 88, 1008–1014. [Google Scholar] [CrossRef]
- Coors, A.; Vollmar, P.; Sacher, F.; Thoma, A. Joint Effects of Pharmaceuticals and Chemicals Regulated under REACH in Wastewater Treatment Plant Effluents–Evaluating Concepts for a Risk Assessment by Means of Experimental Scenarios. 2016. Available online: https://www.umweltbundesamt.de/sites/default/files/medien/1410/publikationen/2017-08-14_texte_61-2017_klaeranlagenablauf.pdf (accessed on 15 October 2022).
- Yamamoto, H.; Tamura, I.; Hirata, Y.; Kato, J.; Kagota, K.; Katsuki, S.; Yamamoto, A.; Kagami, Y.; Tatarazako, N. Aquatic toxicity and ecological risk assessment of seven parabens: Individual and additive approach. Sci. Total Environ. 2011, 410, 102–111. [Google Scholar] [CrossRef]
- Daniel, D.; Dionísio, R.; de Alkimin, G.D.; Nunes, B. Acute and chronic effects of paracetamol exposure on Daphnia magna: How oxidative effects may modulate responses at distinct levels of organization in a model species. Environ. Sci. Pollut. Res. 2019, 26, 3320–3329. [Google Scholar] [CrossRef]
- Carvalho, A.R.; Pérez-Pereira, A.I.; Couto, C.M.C.; Tiritan, M.E.; Ribeiro, C.M.R. Assessment of effluents quality through ecotoxicological assays: Evaluation of three wastewater treatment plants with different technologies. Environ. Sci. Pollut. Res. 2022, 29, 963–976. [Google Scholar] [CrossRef]




| MP | PP | PCT | SMX | CBZ | |
|---|---|---|---|---|---|
| k’1 (min−1) | 0.51 | 0.50 | 0.42 | 0.45 | 1.56 |
| (adj R2) | (0.94) | (0.98) | (0.94) | (0.98) | (0.97) |
| k’1,TOD (mg O3−1) | 0.40 | 0.37 | 0.28 | 0.38 | 1.12 |
| (adj R2) | (0.94) | (0.99) | (0.91) | (0.97) | (0.97) |
| MP | PP | PCT | SMX | CBZ | |
|---|---|---|---|---|---|
| k’1 (min−1) (adj R2) | 0.51 (0.98) | 0.50 (0.97) | 0.42 (0.98) | 0.45 (0.95) | 1.56 (0.90) |
| k’2 (min−1) (adj R2) | 0.23 (0.98) | 0.25 (0.99) | |||
| k’3 (min−1) (adj R2) | 0.25 (0.99) | 0.25 (0.99) | 0.21 (0.99) | ||
| k’4 (min−1) (adj R2) | 0.12 (0.94) | 0.12 (0.93) | 0.20 (0.97) | 0.20 (0.98) | |
| k’5 (min−1) (adj R2) | 0.12 (0.97) | 0.13 (0.96) | 0.20 (0.98) | 0.19 (0.98) | 0.30 (0.98) |
| MP | PP | PCT | SMX | CBZ | |
|---|---|---|---|---|---|
| k’1 (min−1) (adj R2) | 0.20 (0.99) | 0.19 (0.98) | 0.27 (0.96) | 0.13 (0.99) | 0.08 (0.93) |
| k’2 (min−1) (adj R2) | 0.15 (0.99) | 0.12 (0.97) | |||
| k’3 (min−1) (adj R2) | 0.11 (0.99) | 0.09 (0.99) | 0.09 (0.99) | ||
| k’5 (min−1) (adj R2) | 0.13 (0.99) | 0.13 (0.99) | 0.12 (0.99) | 0.10 (0.98) | 0.05 (0.97) |
Publisher’s Note: MDPI stays neutral with regard to jurisdictional claims in published maps and institutional affiliations. |
© 2022 by the authors. Licensee MDPI, Basel, Switzerland. This article is an open access article distributed under the terms and conditions of the Creative Commons Attribution (CC BY) license (https://creativecommons.org/licenses/by/4.0/).
Share and Cite
Jesus, F.; Domingues, E.; Bernardo, C.; Pereira, J.L.; Martins, R.C.; Gomes, J. Ozonation of Selected Pharmaceutical and Personal Care Products in Secondary Effluent—Degradation Kinetics and Environmental Assessment. Toxics 2022, 10, 765. https://doi.org/10.3390/toxics10120765
Jesus F, Domingues E, Bernardo C, Pereira JL, Martins RC, Gomes J. Ozonation of Selected Pharmaceutical and Personal Care Products in Secondary Effluent—Degradation Kinetics and Environmental Assessment. Toxics. 2022; 10(12):765. https://doi.org/10.3390/toxics10120765
Chicago/Turabian StyleJesus, Fátima, Eva Domingues, Carla Bernardo, Joana L. Pereira, Rui C. Martins, and João Gomes. 2022. "Ozonation of Selected Pharmaceutical and Personal Care Products in Secondary Effluent—Degradation Kinetics and Environmental Assessment" Toxics 10, no. 12: 765. https://doi.org/10.3390/toxics10120765
APA StyleJesus, F., Domingues, E., Bernardo, C., Pereira, J. L., Martins, R. C., & Gomes, J. (2022). Ozonation of Selected Pharmaceutical and Personal Care Products in Secondary Effluent—Degradation Kinetics and Environmental Assessment. Toxics, 10(12), 765. https://doi.org/10.3390/toxics10120765

