Modelling Growth and Decline in a Two-Species Model System: Pathogenic Escherichia coli O157:H7 and Psychrotrophic Spoilage Bacteria in Milk
Abstract
1. Introduction
2. Materials and Methods
2.1. Bacterial Cultures and Inoculation
2.2. Co-Cultures and Enumeration
2.3. Bayesian Modeling of Microbial Interactions
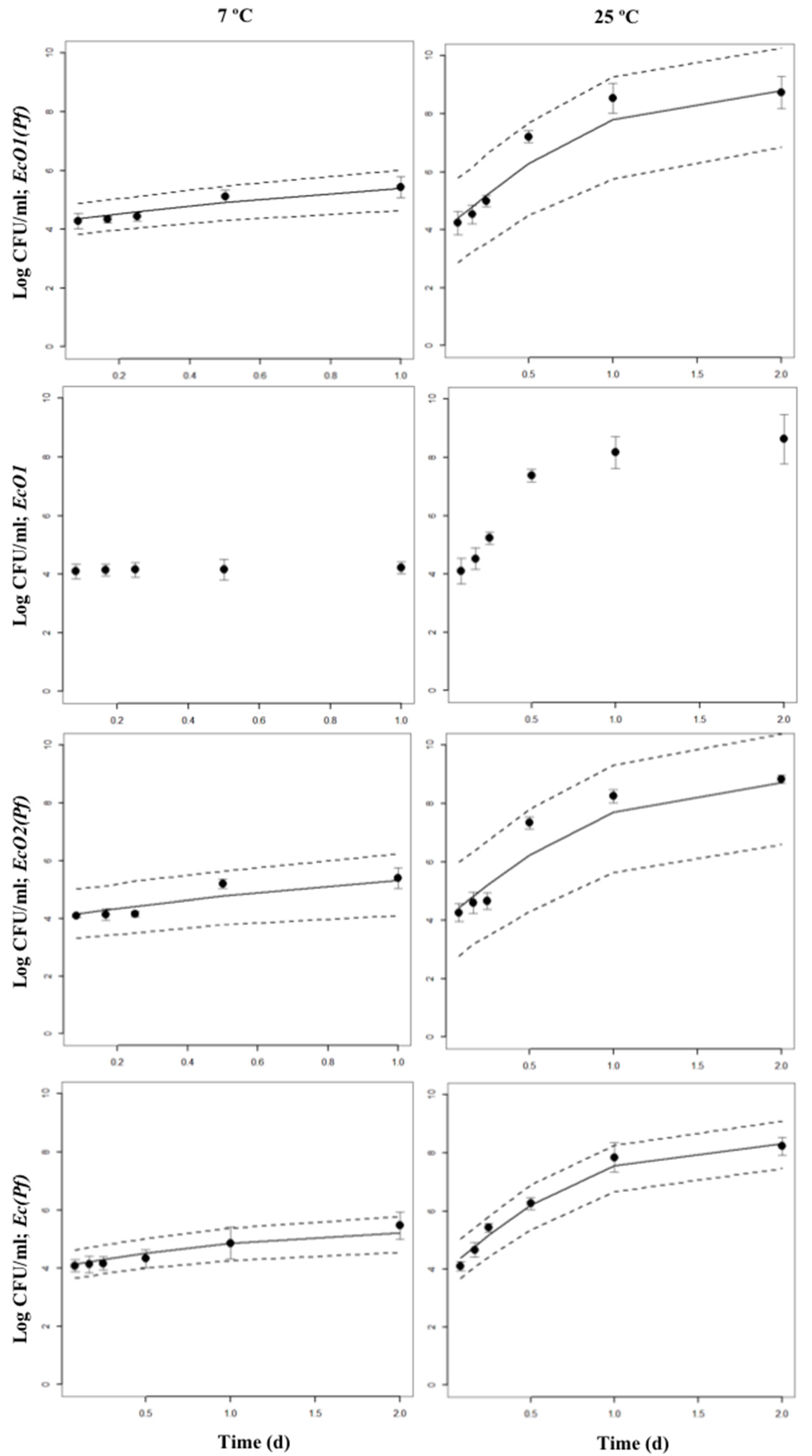
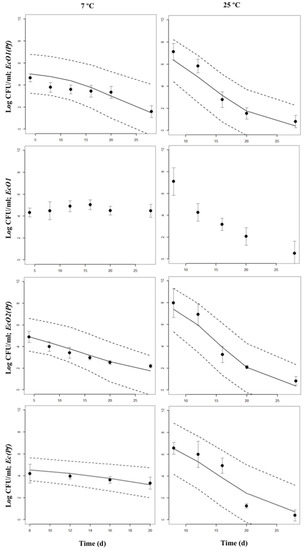
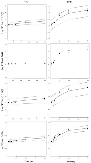
3. Results
3.1. Bayesian Modelling of Microbial Interactions
3.2. Estimation of the Nmax and the ttr
4. Discussion
5. Conclusions
Supplementary Materials
Author Contributions
Funding
Conflicts of Interest
References
- Karmali, M.A. Infection by verocytotoxin-producing Escherichia coli. Clin. Microbiol. Rev. 1989, 2, 15–38. [Google Scholar] [CrossRef]
- Doyle, M.P.; Zhao, T.; Meng, J.; Zhao, S. Escherichia coli O157:H7. In Food Microbiology: Fundamentals and Frontiers; Doyle, M.D., Beuchat, L.R., Montville, T.J., Eds.; ASM Press: Washington, DC, USA, 1997; pp. 171–191. [Google Scholar]
- Duncan, L.; Mai, V.; Carter, A.; Carlson, J.A.K.; Borczyk, A.; Karmali, M.A. Outbreak of gastrointestinal disease in Sarnia, Ontario. Ontario Dis. Surveill. Rep. 1986, 7, 604–611. [Google Scholar]
- Griffin, P.M.; Tauxe, R.V. The epidemiology of infections caused by Escherichia coli O157: H7, other enterohemorrhagic E. coli, and the associated hemolytic uremic syndrome. Epidemiol. Rev. 1991, 13, 60–98. [Google Scholar] [CrossRef]
- Martin, M.L.; Shipman, L.D.; Potter, M.E.; Wachsmuth, I.K.; Wells, J.G.; Hedberg, K.; Tauxe, R.V.; Davis, J.P.; Arnoldi, J.; Tilleli, J. Isolation of Escherichia coli 0157:H7 from dairy cattle associated with two cases of haemolytic uraemic syndrome. Lancet 1986, 2, 1043. [Google Scholar] [CrossRef]
- Arocha, M.M.; Mcvey, M.; Loder, S.D.; Rupnow, J.H.; Bullerman, L. Behavior of hemorrhagic Escherichia coli O157:H7 during the manufacture of Cottage cheese. J. Food Prot. 1992, 55, 379–381. [Google Scholar] [CrossRef] [PubMed]
- Dineen, S.S.; Takeuchi, K.; Soudah, J.E.; Boor, K.J. Persistence of Escherichia coli O157:H7 in dairy fermentation systems. J. Food Prot. 1998, 61, 1602–1608. [Google Scholar] [CrossRef] [PubMed]
- Hudson, L.M.; Chen, J.; Hill, A.R.; Griffiths, M.W. Bioluminescence: A rapid indicator of Escherichia coli O157:H7 in selected yogurt and cheese varieties. J. Food Prot. 1997, 60, 891–897. [Google Scholar] [CrossRef] [PubMed]
- Cousin, M.A. Presence and activity of psychrotrophic microorganisms in milk and dairy products: A review. J. Food Prot. 1982, 45, 172–207. [Google Scholar] [CrossRef] [PubMed]
- De Jonghe, V.; Coorevits, A.; Van Hoorde, K.; Messens, W.; Van Landschoot, A.; De Vos, P.; Heyndrickx, M. Influence of storage conditions on the growth of Pseudomonas species in refrigerated raw milk. Appl. Environ. Microbiol. 2011, 77, 460–470. [Google Scholar] [CrossRef]
- de Oliveira, G.B.; Favarin, L.; Luchese, R.H.; McIntosh, D. Psychrotrophic bacteria in milk: How much do we really know? Braz. J. Microbiol. 2015, 46, 313–321. [Google Scholar] [CrossRef]
- Farrag, S.A.; Marth, E.H. Growth of Listeria monocytogenes in the presence of Pseudomonas fluorescens at 7 or 13°C in skim milk. J. Food Prot. 1989, 52, 852–855. [Google Scholar] [CrossRef] [PubMed]
- Chiesa, F.; Lomonaco, S.; Nucera, D.; Garoglio, D.; Dalmasso, A.; Civera, T. Distribution of Pseudomonas species in a dairy plant affected by occasional blue discoloration. Ital. J. Food Saf. 2014, 3, 245–248. [Google Scholar] [CrossRef] [PubMed][Green Version]
- Avendaño-Pérez, G.; Pin, C. Loss of culturability of Salmonella enterica subsp. enterica serovar Typhimurium upon cell-cell contact with human fecal bacteria. Appl. Environ. Microbiol. 2013, 79, 3257–3263. [Google Scholar] [CrossRef] [PubMed]
- Cornforth, D.M.; Foster, K.R. Competition sensing: The social side of bacterial stress responses. Nat. Rev. Microbiol. 2013, 11, 285–293. [Google Scholar] [CrossRef] [PubMed]
- Dubey, G.P.; Ben-Yehuda, S. Intercellular nanotubes mediate bacterial communication. Cell 2011, 144, 590–600. [Google Scholar] [CrossRef] [PubMed]
- Nadell, C.D.; Bassler, B.L. A fitness trade-off between local competition and dispersal in Vibrio cholerae biofilms. Proc. Natl. Acad. Sci. USA 2011, 108, 14181–14185. [Google Scholar] [CrossRef]
- Buchanan, R.; Bagi, L. Microbial competition: Effect of Pseudomonas fluorescens on the growth of Listeria monocytogenes. Food Microbiol. 1999, 16, 523–529. [Google Scholar] [CrossRef]
- Schluter, J.; Nadell, C.D.; Bassler, B.L.; Foster, K.R. Adhesion as a weapon in microbial competition. ISME J. 2015, 9, 139–149. [Google Scholar] [CrossRef]
- Kim, W.; Racimo, F.; Schluter, J.; Levy, S.B.; Foster, K.R. Importance of positioning for microbial evolution. Proc. Natl. Acad. Sci. USA 2014, 111, E1639–E1647. [Google Scholar] [CrossRef]
- Graves, R.R.; Frazier, W.C. Food microorganisms influencing the growth of Staphylococus aureus. Appl. Microbiol. 1963, 11, 513–516. [Google Scholar] [CrossRef]
- Marshall, D.L.; Schmidt, R.H. Growth of Listeria monocytogenes at 10°C in milk preincubated with selected Pseudomonads. J. Food Prot. 1988, 51, 277–282. [Google Scholar] [CrossRef] [PubMed]
- Marshall, D.L.; Schmidt, R.H. Physiological evaluation of stimulated growth of Listeria monocytogenes by Pseudomonas species in milk. Can. J. Microbiol. 1991, 37, 594–599. [Google Scholar] [CrossRef] [PubMed]
- Al-Zeyara, S.A.; Jarvis, B.; Mackey, B.M. The inhibitory effect of natural microflora of food on growth of Listeria monocytogenes in enrichment broths. Int. J. Food Microbiol. 2011, 145, 98–105. [Google Scholar] [CrossRef] [PubMed]
- Buchanan, R.L.; Bagi, L.K. Microbial competition: Effect of culture conditions on the suppression of Listeria monocytogenes Scott A by Carnobacterium piscicola. J. Food Prot. 1997, 60, 254–261. [Google Scholar] [CrossRef] [PubMed]
- Cheng, C.-M.; Doyle, M.P.; Luchansky, J.B. Identification of Pseudomonas fluorescens strains isolated from raw pork and chicken that produce siderophores antagonistic towards foodborne pathogens. J. Food Prot. 1995, 58, 1340–1344. [Google Scholar] [CrossRef]
- Farrag, S.A.; Marth, E.H. Variation in initial populations of Pseudomonas fluorescens affects behavior of Listeria monocytogenes in skim milk at 7 or 13 °C. Milchwissenschaft 1989, 46, 718–721. [Google Scholar]
- Fgaier, H.; Eberl, H.J. A competition model between Pseudomonas fluorescens and pathogens via iron chelation. J. Theor. Biol. 2010, 263, 566–578. [Google Scholar] [CrossRef]
- Freedman, D.J.; Kondo, J.K.; Willrett, D.L. Antagonism of foodborne bacteria by Pseudomonas spp.: A possible role for iron. J. Food Prot. 1989, 52, 484–489. [Google Scholar] [CrossRef]
- Mellefont, L.A.; McMeekin, T.A.; Ross, T. Effect of relative inoculum concentration on Listeria monocytogenes growth in co-culture. Int. J. Food Microbiol. 2008, 121, 157–168. [Google Scholar] [CrossRef]
- Samelis, J.; Sofos, J.N. Role of glucose in enhancing the temperature-dependent growth inhibition of Escherichia coli O157:H7 ATCC 43895 by a Pseudomonas sp. Appl. Environ. Microbiol. 2002, 68, 2600–2604. [Google Scholar] [CrossRef]
- Liao, C.-H. Control of foodborne pathogens and soft-rot bacteria on bell pepper by three strains of bacterial antagonists. J. Food Prot. 2009, 72, 85–92. [Google Scholar] [CrossRef] [PubMed]
- Liao, C.-H.; Cooke, P.H.; Niemira, B.A. Localization, growth, and inactivation of Salmonella Saintpaul on jalapeño peppers. J. Food Sci. 2010, 75, M377–M382. [Google Scholar] [CrossRef] [PubMed]
- Olanya, O.M.; Annous, B.A.; Niemira, B.A.; Ukuku, D.O.; Sommers, C. Effects of media on recovery of Escherichia coli O157:H7 and Pseudomonas fluorescens from spinach. J. Food Saf. 2012, 32, 492–501. [Google Scholar] [CrossRef]
- Olanya, O.M.; Ukuku, D.O.; Niemira, B.A. Effects of temperatures and storage time on resting populations of Escherichia coli O157:H7 and Pseudomonas fluorescens in vitro. Food Control 2014, 39, 128–134. [Google Scholar] [CrossRef]
- Rickett, L.M.; Pullen, N.; Hartley, M.; Zipfel, C.; Kamoun, S.; Baranyi, J.; Morris, R.J. Incorporating prior knowledge improves detection of differences in bacterial growth rate. BMC Syst. Biol. 2015, 9, 60. [Google Scholar] [CrossRef] [PubMed]
- Chatzilena, A.; van Leeuwen, E.; Ratmann, O.; Baguelin, M.; Demiris, N. Contemporary statistical inference for infectious disease models using Stan. Epidemics 2019, 29, 100367. [Google Scholar] [CrossRef] [PubMed]
- Quinto, E.J.; Marín, J.M.; Caro, I.; Mateo, J.; Schaffner, D.W. Bayesian modeling of two- and three-species bacterial competition in milk. Food Res. Int. 2018, 105, 952–961. [Google Scholar] [CrossRef]
- Baranyi, J.; Roberts, T.A. A dynamic approach to predicting bacterial growth in food. Int. J. Food Microbiol. 1994, 23, 277–294. [Google Scholar] [CrossRef]
- Cornu, M.; Billoir, E.; Bergis, H.; Beaufort, A.; Zuliani, V. Modeling microbial competition in food: Application to the behavior of Listeria monocytogenes and lactic acid flora in pork meat products. Food Microbiol. 2011, 28, 639–647. [Google Scholar] [CrossRef]
- Cornu, M. Modelling the competitive growth of Listeria monocytogenes and food flora in situ. Acta Hortic. 2001, 566, 151–157. [Google Scholar] [CrossRef]
- Ghasemi, O.; Lindsey, M.L.; Yang, T.; Nguyen, N.; Huang, Y.; Jin, Y.-F. Bayesian parameter estimation for nonlinear modelling of biological pathways. BMC Syst. Biol. 2011, 5, S9. [Google Scholar] [CrossRef] [PubMed]
- Dormand, J.R.; Prince, P.J. A family of embedded Runge-Kutta formulae. J. Comput. Appl. Math. 1980, 6, 19–26. [Google Scholar] [CrossRef]
- Vinet, L.; Zhedanov, A. A “missing” family of classical orthogonal polynomials. J. Phys. A Math. Theor. 2011, 44, 085201. [Google Scholar] [CrossRef]
- Carpenter, B.; Gelman, A.; Hoffman, M.D.; Lee, D.; Goodrich, B.; Betancourt, M.; Brubaker, M.; Guo, J.; Li, P.; Riddell, A. Stan: A probabilistic programming language. J. Stat. Softw. 2017, 76, 1–32. [Google Scholar] [CrossRef]
- R Core Team. R: A language and environment for statistical computing; R Foundation for Statistical Computing: Vienna, Austria, 2014; Available online: http://www.R-project.org/ (accessed on 11 March 2020).
- Stan Development Team. Stan Modeling Language. Stan User’s Guide and Reference Mannual. 2017. Available online: http://www.mc-stan.org/ (accessed on 11 March 2020).
- Metris, A. Distribution of turbidity detection times produced by single cell-generated bacterial populations. J. Microbiol. Methods 2003, 55, 821–827. [Google Scholar] [CrossRef]
- Pin, C.; Baranyi, J. Kinetics of single cells: Observation and modeling of a stochastic process. Appl. Environ. Microbiol. 2006, 72, 2163–2169. [Google Scholar] [CrossRef]
- Akkermans, S.; Logist, F.; Van Impe, J.F. Parameter estimations in predictive microbiology: Statistically sound modelling of the microbial growth rate. Food Res. Int. 2018, 106, 1105–1113. [Google Scholar] [CrossRef]
- Park, S.; Worobo, R.W.; Durst, R.A. Escherichia coli O157:H7 as an emerging foodborne pathogen: A literature review. Crit. Rev. Biotechnol. 2001, 21, 27–48. [Google Scholar] [CrossRef]
- Ternström, A.; Lindberg, A.-M.; Molin, G. Classification of the spoilage flora of raw and pasteurized bovine milk, with special reference to Pseudomonas and Bacillus. J. Appl. Bacteriol. 1993, 75, 25–34. [Google Scholar] [CrossRef]
- Janisiewicz, W.J.; Conway, W.S.; Leverentz, B. Biological control of postharvest decays of apple can prevent growth of Escherichia coli O157:H7 in apple wounds. J. Food Prot. 1999, 62, 1372–1375. [Google Scholar] [CrossRef]
- Vold, L.; Holck, A.; Wasteson, Y.; Nissen, H. High levels of background flora inhibits growth of Escherichia coli O157:H7 in ground beef. Int. J. Food Microbiol. 2000, 56, 219–225. [Google Scholar] [CrossRef]
- Jameson, J.E. A discussion of the dynamics of Salmonella enrichment. J. Hyg. 1962, 60, 193–207. [Google Scholar] [CrossRef]
- McKellar, R.C. Role of nutrient limitation in the competition between Pseudomonas fluorescens and Escherichia coli O157:H7. J. Food Prot. 2007, 70, 1739–1743. [Google Scholar] [CrossRef] [PubMed]
- Lebert, I.; Robles-Olvera, V.; Lebert, A. Application of polynomial models to predict growth of mixed cultures of Pseudomonas spp. and Listeria in meat. Int. J. Food Microbiol. 2000, 61, 27–39. [Google Scholar] [CrossRef]
- Gnanou Besse, N.; Barre, L.; Buhariwalla, C.; Vignaud, M.L.; Khamissi, E.; Decourseulles, E.; Nirsimloo, M.; Chelly, M.; Kalmokoff, M. The overgrowth of Listeria monocytogenes by other Listeria spp. in food samples undergoing enrichment cultivation has a nutritional basis. Int. J. Food Microbiol. 2010, 136, 345–351. [Google Scholar] [CrossRef]
- Cornu, M.; Kalmokoff, M.; Flandrois, J.-P. Modelling the competitive growth of Listeria monocytogenes and Listeria innocua in enrichment broths. Int. J. Food Microbiol. 2002, 73, 261–274. [Google Scholar] [CrossRef]
- Chu, W.; Zere, T.R.; Weber, M.M.; Wood, T.K.; Whiteley, M.; Hidalgo-Romano, B.; Valenzuela, E.; McLean, R.J.C. Indole production promotes Escherichia coli mixed-culture growth with Pseudomonas aeruginosa by inhibiting quorum signaling. Appl. Environ. Microbiol. 2012, 78, 411–419. [Google Scholar] [CrossRef]
- Diggle, S.P.; Griffin, A.S.; Campbell, G.S.; West, S.A. Cooperation and conflict in quorum-sensing bacterial populations. Nature 2007, 450, 411–414. [Google Scholar] [CrossRef] [PubMed]
- Ng, W.-L.; Bassler, B.L. Bacterial quorum-sensing network architectures. Annu. Rev. Genet. 2009, 43, 197–222. [Google Scholar] [CrossRef]
- West, S.A.; Griffin, A.S.; Gardner, A.; Diggle, S.P. Social evolution theory for microorganisms. Nat. Rev. Microbiol. 2006, 4, 597–607. [Google Scholar] [CrossRef]
- Quinto, E.J.; Marín, J.M.; Schaffner, D.W. Effect of the competitive growth of Lactobacillus sakei MN on the growth kinetics of Listeria monocytogenes Scott A in model meat gravy. Food Control 2016, 63, 34–45. [Google Scholar] [CrossRef]
- Ross, T. Predictive modelling of the growth and survival of Listeria in fishery products. Int. J. Food Microbiol. 2000, 62, 231–245. [Google Scholar] [CrossRef]
- Mao, J.; Blanchard, A.E.; Lu, T. Slow and steady wins the race: A bacterial exploitative competition strategy in fluctuating environments. ACS Synth. Biol. 2015, 4, 240–248. [Google Scholar] [CrossRef] [PubMed]
- Stubbendieck, R.M.; Vargas-Bautista, C.; Straight, P.D. Bacterial communities: Interactions to scale. Front. Microbiol. 2016, 7, 1234. [Google Scholar] [CrossRef] [PubMed]
- Liu, X.; Ramsey, M.M.; Chen, X.; Koley, D.; Whiteley, M.; Bard, A.J. Real-time mapping of a hydrogen peroxide concentration profile across a polymicrobial bacterial biofilm using scanning electrochemical microscopy. Proc. Natl. Acad. Sci. USA 2011, 108, 2668–2673. [Google Scholar] [CrossRef]
- Basler, M.; Ho, B.T.; Mekalanos, J.J. Tit-for-Tat: Type VI secretion system counterattack during bacterial cell-cell interactions. Cell 2013, 152, 884–894. [Google Scholar] [CrossRef]
- Journet, L.; Cascales, E. The type VI secretion system in Escherichia coli and related species. EcoSal Plus 2016, 7. [Google Scholar] [CrossRef]
- Wan, B.; Zhang, Q.; Ni, J.; Li, S.; Wen, D.; Li, J.; Xiao, H.; He, P.; Ou, H.; Tao, J.; et al. Type VI secretion system contributes to Enterohemorrhagic Escherichia coli virulence by secreting catalase against host reactive oxygen species (ROS). PLoS Pathog. 2017, 13, e1006246. [Google Scholar] [CrossRef]
- Decoin, V.; Barbey, C.; Bergeau, D.; Latour, X.; Feuilloley, M.G.J.; Orange, N.; Merieau, A. A type VI secretion system is involved in Pseudomonas fluorescens bacterial competition. PLoS ONE 2014, 9, e89411. [Google Scholar] [CrossRef][Green Version]
- Sachs, J.L.; Mueller, U.G.; Wilcox, T.P.; Bull, J.J. The evolution of cooperation. Q. Rev. Biol. 2004, 79, 135–160. [Google Scholar] [CrossRef]
- Basler, M.; Mekalanos, J.J. Type 6 secretion dynamics within and between bacterial cells. Science 2012, 337, 815. [Google Scholar] [CrossRef] [PubMed]






© 2020 by the authors. Licensee MDPI, Basel, Switzerland. This article is an open access article distributed under the terms and conditions of the Creative Commons Attribution (CC BY) license (http://creativecommons.org/licenses/by/4.0/).
Share and Cite
Quinto, E.J.; Marín, J.M.; Caro, I.; Mateo, J.; Schaffner, D.W. Modelling Growth and Decline in a Two-Species Model System: Pathogenic Escherichia coli O157:H7 and Psychrotrophic Spoilage Bacteria in Milk. Foods 2020, 9, 331. https://doi.org/10.3390/foods9030331
Quinto EJ, Marín JM, Caro I, Mateo J, Schaffner DW. Modelling Growth and Decline in a Two-Species Model System: Pathogenic Escherichia coli O157:H7 and Psychrotrophic Spoilage Bacteria in Milk. Foods. 2020; 9(3):331. https://doi.org/10.3390/foods9030331
Chicago/Turabian StyleQuinto, Emiliano J., Juan M. Marín, Irma Caro, Javier Mateo, and Donald W. Schaffner. 2020. "Modelling Growth and Decline in a Two-Species Model System: Pathogenic Escherichia coli O157:H7 and Psychrotrophic Spoilage Bacteria in Milk" Foods 9, no. 3: 331. https://doi.org/10.3390/foods9030331
APA StyleQuinto, E. J., Marín, J. M., Caro, I., Mateo, J., & Schaffner, D. W. (2020). Modelling Growth and Decline in a Two-Species Model System: Pathogenic Escherichia coli O157:H7 and Psychrotrophic Spoilage Bacteria in Milk. Foods, 9(3), 331. https://doi.org/10.3390/foods9030331

