Effect of Omega-3 Microcapsules Addition on the Profile of Volatile Compounds in Enriched Dry-Cured and Cooked Sausages
Abstract
1. Introduction
2. Materials and Methods
2.1. Experimental Design
2.2. Preparation of Omega-3 Sources
2.3. Elaboration of Meat Products
2.4. Analysis of Volatile Compounds
2.5. Sampling Replication and Statistical Analysis
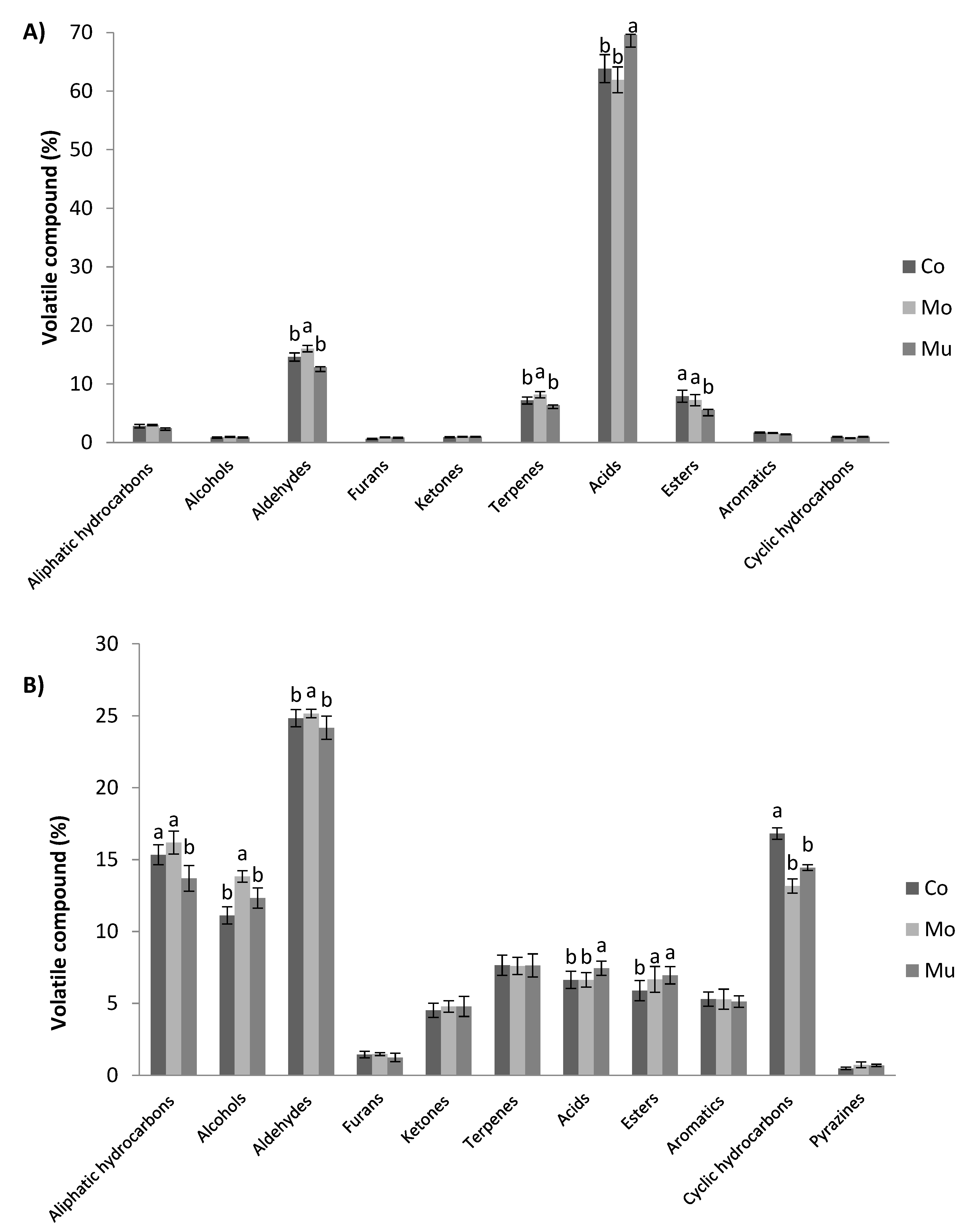
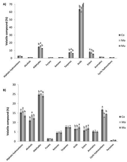
3. Results and Discussion
3.1. Volatile Compounds in Fish Oil Microcapsules
3.2. Volatile Compounds in Dry-Cured and Cooked Sausages Enriched with Fish Oil Microcapsules
4. Conclusions
Author Contributions
Funding
Conflicts of Interest
References
- Schunck, W.H.; Konkel, A.; Fischer, R.; Weylandt, K.H. Therapeutic potential of omega-3 fatty acid-derived epoxyeicosanoids in cardiovascular and inflammatory diseases. Pharmacol. Ther. 2018, 183, 177–204. [Google Scholar] [CrossRef]
- Horrobin, D.F. Seafoods and fish oils in human health and disease. Int. J. Cardiol. 1989, 22, 409. [Google Scholar] [CrossRef]
- Ruxton, C.H.S.; Reed, S.C.; Simpson, M.J.A.; Millington, K.J. The health benefits of omega-3 polyunsaturated fatty acids: A review of the evidence. J. Hum. Nutr. Diet. 2004, 17, 449–459. [Google Scholar] [CrossRef] [PubMed]
- Schmidt, E.B.; Arnesen, H.; De Caterina, R.; Rasmussen, L.H.; Kristensen, S.D. Marine n-3 polyunsaturated fatty acids and coronary heart disease: Part I. Background, epidemiology, animal data, effects on risk factors and safety. Thromb. Res. 2005, 115, 163–170. [Google Scholar] [CrossRef]
- Yashodhara, B.M.; Umakanth, S.; Pappachan, J.M.; Bhat, S.K.; Kamath, R.; Choo, B.H. Omega-3 fatty acids: A comprehensive review of their role in health and disease. Postgrad. Med. J. 2009, 85, 84–90. [Google Scholar] [CrossRef]
- Lee, S.; Faustman, C.; Djordjevic, D.; Faraji, H.; Decker, E.A. Effect of antioxidants on stabilization of meat products fortified with n-3 fatty acids. Meat Sci. 2006, 72, 18–24. [Google Scholar] [CrossRef]
- Simopoulos, A.P. The importance of the ratio of omega-6/omega-3 essential fatty acids. Biomed. Pharmacother. 2002, 56, 365–379. [Google Scholar] [CrossRef]
- Garg, M.L.; Wood, L.G.; Singh, H.; Moughan, P.J. Means of delivering recommended levels of long chain n-3 polyunsaturated fatty acids in human diets. J. Food Sci. 2006, 71, R66–R71. [Google Scholar] [CrossRef]
- European Food Safety Authority. Reglamento (UE) 116/2010 que Modifica al Reglamento (CE) 1924/2006 en lo Relativo a la Lista de Declaraciones Nutricionales; European Food Safety Authority: Parma, Italy, 2010. [Google Scholar]
- International Society for the Study of Fatty Acids and Lipids. In Proceedings of the 6th Congress of the International Society for the Study of Fatty Acids and Lipids, Brighton, UK, 26 June–1 July 2004; Volume 43.
- EU Commision Regulation. (EU) N°116/2010 of 9 February 2010 amending Regulation (EC) N° 1924/2006 of the European Parliament and of the Council with regard to the list of nutrition claims. Off. J. Eur. Union 2010, 37, 16–18.
- Godfray, H.C.J.; Aveyard, P.; Garnett, T.; Hall, J.W.; Key, T.J.; Lorimer, J.; Pierrehumbert, R.T.; Scarborough, P.; Springmann, M.; Jebb, S.A. Meat consumption, health, and the environment. Science 2018, 361, eaam5324. [Google Scholar] [CrossRef] [PubMed]
- Nuernberg, K.; Fischer, K.; Nuernberg, G.; Kuechenmeister, U.; Klosowska, D.; Eliminowska-Wenda, G.; Fiedler, I.; Ender, K. Effects of dietary olive and linseed oil on lipid composition, meat quality, sensory characteristics and muscle structure in pigs. Meat Sci. 2005, 70, 63–74. [Google Scholar] [CrossRef] [PubMed]
- Jiménez-Colmenero, F. Healthier lipid formulation approaches in meat-based functional foods. Technological options for replacement of meat fats by non-meat fats. Trends Food Sci. Technol. 2007, 18, 567–578. [Google Scholar] [CrossRef]
- Josquin, N.M.; Linssen, J.P.H.; Houben, J.H. Quality characteristics of Dutch-style fermented sausages manufactured with partial replacement of pork back-fat with pure, pre-emulsified or encapsulated fish oil. Meat Sci. 2012, 90, 81–86. [Google Scholar] [CrossRef]
- Cáceres, E.; García, M.L.; Selgas, M.D. Effect of pre-emulsified fish oil-as source of PUFA n-3-on microstructure and sensory properties of mortadella, a Spanish bologna-type sausage. Meat Sci. 2008, 80, 183–193. [Google Scholar] [CrossRef]
- Delgado-Pando, G.; Cofrades, S.; Ruiz-Capillas, C.; Solas, M.T.; Triki, M.; Jiménez-Colmenero, F. Low-fat frankfurters formulated with a healthier lipid combination as functional ingredient: Microstructure, lipid oxidation, nitrite content, microbiological changes and biogenic amine formation. Meat Sci. 2011, 89, 65–71. [Google Scholar] [CrossRef] [PubMed]
- Miyashita, K.; Uemura, M.; Hosokawa, M. Effective Prevention of Oxidative Deterioration of Fish Oil: Focus on Flavor Deterioration. Annu. Rev. Food Sci. Technol. 2018, 9, 209–226. [Google Scholar] [CrossRef]
- Onwulata, C.I. Microencapsulation and functional bioactive foods. J. Food Process. Preserv. 2013, 37, 510–532. [Google Scholar] [CrossRef]
- Jónsdóttir, R.; Bragadóttir, M.; Arnarson, G. Oxidatively Derived Volatile Compounds in Microencapsulated Fish Oil Monitored by Solid-phase Microextraction (SPME). J. Food Sci. 2005, 70, c433–c440. [Google Scholar] [CrossRef]
- Jimenez-Alvarez, D.; Giuffrida, F.; Golay, P.A.; Cotting, C.; Destaillats, F.; Dionisi, F.; Keely, B. Profiles of volatile compounds in milk containing fish oil analyzed by HS-SPME-GC/MS. Eur. J. Lipid Sci. Technol. 2008, 110, 277–283. [Google Scholar] [CrossRef]
- Yang, K.M.; Cheng, M.C.; Chen, C.W.; Tseng, C.Y.; Lin, L.Y.; Chiang, P.Y. Characterization of volatile compounds with HS-SPME from oxidized n-3 PUFA rich oils via rancimat tests. J. Oleo Sci. 2017, 66, 113–122. [Google Scholar] [CrossRef]
- Jiménez-Martín, E.; Pérez-Palacios, T.; Carrascal, J.R.; Rojas, T.A. Enrichment of Chicken Nuggets with Microencapsulated Omega-3 Fish Oil: Effect of Frozen Storage Time on Oxidative Stability and Sensory Quality. Food Bioprocess Technol. 2016, 9, 285–297. [Google Scholar] [CrossRef]
- Lorenzo, J.M.; Munekata, P.E.S.; Pateiro, M.; Campagnol, P.C.B.; Domínguez, R. Healthy Spanish salchichón enriched with encapsulated n−3 long chain fatty acids in konjac glucomannan matrix. Food Res. Int. 2016, 89, 289–295. [Google Scholar] [CrossRef] [PubMed]
- Aquilani, C.; Pérez-Palacios, T.; Sirtori, F.; Jiménez-Martín, E.; Antequera, T.; Franci, O.; Acciaioli, A.; Bozzi, R.; Pugliese, C. Enrichment of Cinta Senese burgers with omega-3 fatty acids. Effect of type of addition and storage conditions on quality characteristics. Grasas y Aceites 2018, 69, 235. [Google Scholar] [CrossRef]
- Serfert, Y.; Drusch, S.; Schwarz, K. Sensory odour profiling and lipid oxidation status of fish oil and microencapsulated fish oil. Food Chem. 2010, 123, 968–975. [Google Scholar] [CrossRef]
- Felix, P.H.C.; Birchal, V.S.; Botrel, D.A.; Marques, G.R.; Borges, S.V. Physicochemical and Thermal Stability of Microcapsules of Cinnamon Essential Oil by Spray Drying. J. Food Process. Preserv. 2017, 41, e12919. [Google Scholar] [CrossRef]
- Solomando, J.; Antequera, T.; Perez-Palacios, T. Evaluating the use of fish oil microcapsules as omega-3 vehicle in cooked and dry-cured sausages as affected by their processing, storage and cooking. Meat Sci. 2020, 162, 108031. [Google Scholar] [CrossRef] [PubMed]
- Solomando, J.C.; Antequera, T.; Ruiz-Carrascal, J.; Pérez-Palacios, T. Improvement of encapsulation and stability of EPA and DHA from monolayered and multilayered emulsions by high-pressure homogenization. J. Food Process. Preserv. 2019, 44. [Google Scholar] [CrossRef]
- Pelser, W.M.; Linssen, J.P.H.; Legger, A.; Houben, J.H. Lipid oxidation in n-3 fatty acid enriched Dutch style fermented sausages. Meat Sci. 2007, 75, 1–11. [Google Scholar] [CrossRef]
- Solomando, J.C.; Antequera, T.; González-Mohíno, A.; Perez-Palacios, T. Fish oil/lycopene microcapsules as a source of eicosapentaenoic and docosahexaenoic acids: A case study on spreads. J. Sci. Food Agric. 2020, 100, 1875–1886. [Google Scholar] [CrossRef]
- Pérez-Palacios, T.; Ruiz-Carrascal, J.; Jiménez-Martín, E.; Solomando, J.C.; Antequera, T. Improving the lipid profile of ready-to-cook meat products by addition of omega-3 microcapsules: Effect on oxidation and sensory analysis. J. Sci. Food Agric. 2018, 98, 5302–5312. [Google Scholar] [CrossRef]
- Jiménez-Martín, E.; Gharsallaoui, A.; Pérez-Palacios, T.; Carrascal, J.R.; Rojas, T.A. Suitability of using monolayered and multilayered emulsions for microencapsulation of ω-3 fatty acids by spray drying: Effect of storage at different temperatures. Food Bioprocess Technol. 2014, 8, 100–111. [Google Scholar] [CrossRef]
- Garcia-Esteban, M.; Ansorena, D.; Astiasarán, I.; Ruiz, J. Study of the effect of different fiber coatings and extraction conditions on dry cured ham volatile compounds extracted by solid-phase microextraction (SPME). Talanta 2004, 64, 458–466. [Google Scholar] [CrossRef] [PubMed]
- Jiménez-Martín, E.; Gharsallaoui, A.; Pérez-Palacios, T.; Ruiz Carrascal, J.; Antequera Rojas, T. Volatile compounds and physicochemical characteristics during storage of microcapsules from different fish oil emulsions. Food Bioprod. Process. 2015, 96, 52–64. [Google Scholar] [CrossRef]
- Pop, F. Chemical stabilization of oils rich in long-chain polyunsaturated fatty acids during storage. Food Sci. Technol. Int. 2011, 17, 111–117. [Google Scholar] [CrossRef] [PubMed]
- Ahn, D.U.; Olson, D.G.; Jo, C.; Love, J.; Jin, S.K. Volatiles production and lipid oxidation in irradiated cooked sausage as related to packaging and storage. J. Food Sci. 1999, 64, 226–229. [Google Scholar] [CrossRef]
- Chevance, F.F.V.; Farmer, L.J. Identification of major volatile odor compounds in frankfurters. J. Agric. Food Chem. 1999, 47, 5151–5160. [Google Scholar] [CrossRef]
- Chevance, F.F.V.; Farmer, L.J. Release of volatile odor compounds from full-fat and reduced-fat frankfurters. J. Agric. Food Chem. 1999, 47, 5161–5168. [Google Scholar] [CrossRef]
- Chevance, F.F.V.; Farmer, L.J.; Desmond, E.M.; Novelli, E.; Troy, D.J.; Chizzolini, R. Effect of some fat replacers on the release of volatile aroma compounds from low-fat meat products. J. Agric. Food Chem. 2000, 48, 3476–3484. [Google Scholar] [CrossRef]
- Jo, C.; Ahn, D.U.; Byun, M.W. Irradiation-induced oxidative changes and production of volatile compounds in sausages prepared with vitamin E-enriched commercial soybean oil. Food Chem. 2002, 76, 299–305. [Google Scholar] [CrossRef]
- Estévez, M.; Ventanas, S.; Ramírez, R.; Cava, R. Influence of the addition of rosemary essential oil on the volatiles pattern of porcine frankfurters. J. Agric. Food Chem. 2005, 53, 8317–8324. [Google Scholar] [CrossRef]
- Carrapiso, A.I. Effect of fat content on flavour release from sausages. Food Chem. 2007, 103, 396–403. [Google Scholar] [CrossRef]
- Yoo, S.S.; Kook, S.H.; Park, S.Y.; Shim, J.H.; Chin, K.B. Physicochemical characteristics, textural properties and volatile compounds in comminuted sausages as affected by various fat levels and fat replacers. Int. J. Food Sci. Technol. 2007, 42, 1114–1122. [Google Scholar] [CrossRef]
- Perea-Sanz, L.; López-Díez, J.J.; Belloch, C.; Flores, M. Counteracting the effect of reducing nitrate/nitrite levels on dry fermented sausage aroma by Debaryomyces hansenii inoculation. Meat Sci. 2020, 164, 108103. [Google Scholar] [CrossRef] [PubMed]
- Sun, W.; Zhao, Q.; Zhao, H.; Zhao, M.; Yang, B. Volatile compounds of Cantonese sausage released at different stages of processing and storage. Food Chem. 2010, 121, 319–325. [Google Scholar] [CrossRef]
- Feng, C.H.; Li, C.; García-Martín, J.F.; Malakar, P.K.; Yan, Y.; Liu, Y.W.; Wang, W.; Liu, Y.T.; Yang, Y. Physical Properties and Volatile Composition Changes of Cooked Sausages Stuffed in a New Casing Formulation Based in Surfactants and Lactic Acid During Long-Term Storage. J. Food Sci. 2017, 82, 594–604. [Google Scholar] [CrossRef] [PubMed]
- Jacobsen, C.; Hartvigsen, K.; Lund, P.; Adler-Nissen, J.; Hølmer, G.; Meyer, A.S. Oxidation in fish-oil-enriched mayonnaise. Eur. Food Res. Technol. 2000, 210, 242–257. [Google Scholar] [CrossRef]
- Roberts, D.D.; Pollien, P.; Milo, C. Solid-phase microextraction method development for headspace analysis of volatile flavor compounds. J. Agric. Food Chem. 2000, 48, 2430–2437. [Google Scholar] [CrossRef]
- Venkateshwarlu, G.; Let, M.B.; Meyer, A.S.; Jacobsen, C. Chemical and Olfactometric Characterization of Volatile Flavor Compounds in a Fish Oil Enriched Milk Emulsion. J. Agric. Food Chem. 2004, 52, 311–317. [Google Scholar] [CrossRef]
- Giogios, I.; Grigorakis, K.; Nengas, I.; Papasolomontos, S.; Papaioannou, N.; Alexis, M.N. Fatty acid composition and volatile compounds of selected marine oils and meals. J. Sci. Food Agric. 2009, 89, 88–100. [Google Scholar] [CrossRef]
- Cano-García, L.; Rivera-Jiménez, S.; Belloch, C.; Flores, M. Generation of aroma compounds in a fermented sausage meat model system by Debaryomyces hansenii strains. Food Chem. 2014, 151, 364–373. [Google Scholar] [CrossRef]
- Olivares, A.; Navarro, J.L.; Flores, M. Effect of fat content on aroma generation during processing of dry fermented sausages. Meat Sci. 2011, 87, 264–273. [Google Scholar] [CrossRef] [PubMed]
- Olivares, A.; Navarro, J.L.; Flores, M. Establishment of the contribution of volatile compounds to the aroma of fermented sausages at different stages of processing and storage. Food Chem. 2009, 115, 1464–1472. [Google Scholar] [CrossRef]
- Perea-Sanz, L.; Montero, R.; Belloch, C.; Flores, M. Nitrate reduction in the fermentation process of salt reduced dry sausages: Impact on microbial and physicochemical parameters and aroma profile. Int. J. Food Microbiol. 2018, 282, 84–91. [Google Scholar] [CrossRef] [PubMed]
- Corral, S.; Salvador, A.; Flores, M. Salt reduction in slow fermented sausages affects the generation of aroma active compounds. Meat Sci. 2013, 93, 776–785. [Google Scholar] [CrossRef] [PubMed]
- Marco, A.; Navarro, J.L.; Flores, M. The influence of nitrite and nitrate on microbial, chemical and sensory parameters of slow dry fermented sausage. Meat Sci. 2006, 73, 660–673. [Google Scholar] [CrossRef] [PubMed]
- Corral, S.; Belloch, C.; López-Díez, J.J.; Flores, M. Lipolysis and aroma generation as mechanisms involved in masking boar taint in sodium reduced fermented sausages inoculated with Debaryomyces hansenii yeast. J. Sci. Food Agric. 2018, 98, 2121–2130. [Google Scholar] [CrossRef] [PubMed]
- Jiménez-Martín, E.; Rojas, T.A.; Gharsallaoui, A.; Ruiz, J.; Pérez-Palacios, T. Fatty acid composition in double and multilayered microcapsules of ω-3 as affected by storage conditions and type of emulsions. Food Chem. 2016, 194, 476–486. [Google Scholar] [CrossRef]
- Suh, J.H.; Niu, Y.S.; Hung, W.-L.; Ho, C.-T.; Wang, Y. Lipidomic analysis for carbonyl species derived from fish oil using liquid chromatography–tandem mass spectrometry. Talanta 2017, 168, 31–42. [Google Scholar] [CrossRef]
- Rørbæk, K. Oxidation and Flavours in Fish Oil; Technical University of Denmark: Copenhagen, Denmark, 1994. [Google Scholar]
- Medina, I.; Satué-Gracia, M.T.; Frankel, E.N. Static Headspace Gas Chromatographic Analyses to Determine Oxidation of Fish Muscle Lipids during Thermal Processing. JAOCS J. Am. Oil Chem. Soc. 1999, 76, 231–236. [Google Scholar] [CrossRef]
- Klinkesorn, U.; Sophanodora, P.; Chinachoti, P.; Decker, E.A.; McClements, D.J. Encapsulation of emulsified tuna oil in two-layered interfacial membranes prepared using electrostatic layer-by-layer deposition. Food Hydrocoll. 2005, 19, 1044–1053. [Google Scholar] [CrossRef]
- Ngo, D.H.; Kim, S.K. Antioxidant effects of chitin, chitosan, and their derivatives. In Advances in Food and Nutrition Research; Academic Press: Cambridge, MA, USA, 2014; Volume 73, pp. 15–31. [Google Scholar] [CrossRef]
- Van Gemert, L.J. Odour Thresholds; Oliemans, Punter & Partners BV: Utrecht, The Netherlands, 2003; ISBN 9789081089418. [Google Scholar]
- Zhu, J.; Chen, F.; Wang, L.; Niu, Y.; Xiao, Z. Evaluation of the synergism among volatile compounds in Oolong tea infusion by odour threshold with sensory analysis and E-nose. Food Chem. 2017, 221, 1484–1490. [Google Scholar] [CrossRef]
- Karahadian, C.; Lindsay, R.C. Evaluation of compounds contributing characterizing fishy flavors in fish oils. J. Am. Oil Chem. Soc. 1989, 66, 953–960. [Google Scholar] [CrossRef]
- El Sheikha, A.F.; Bakar, J. Fermented Meat Products. In Microorganisms and Fermentation of Traditional Foods; Informa UK Limited: Colchester, UK, 2014; pp. 233–257. [Google Scholar]
- Škrlep, M.; Čandek-Potokar, M.; Lukač, N.B.; Tomažin, U.; Flores, M. Aromatic Profile, Physicochemical and Sensory Traits of Dry-Fermented Sausages Produced without Nitrites Using Pork from Krškopolje Pig Reared in Organic and Conventional Husbandry. Animals 2019, 9, 55. [Google Scholar] [CrossRef] [PubMed]
- Reiners, J.; Grosch, W. Odorants of Virgin Olive Oils with Different Flavor Profiles. J. Agric. Food Chem. 1998, 46, 2754–2763. [Google Scholar] [CrossRef]
- Morales, M.T.; Luna, G.; Aparicio, R. Comparative study of virgin olive oil sensory defects. Food Chem. 2005, 91, 293–301. [Google Scholar] [CrossRef]
- Sirisoma, N.S.; Höld, A.K.M.; Casida, J.E. α- and β-Thujones (Herbal Medicines and Food Additives): Synthesis and Analysis of Hydroxy and Dehydro Metabolites. J. Agric. Food Chem. 2001, 49, 1915–1921. [Google Scholar] [CrossRef]
- Kalua, C.; Allen, M.; Bedgood, D.; Bishop, A.; Prenzler, P.; Robards, K. Olive oil volatile compounds, flavour development and quality: A critical review. Food Chem. 2007, 100, 273–286. [Google Scholar] [CrossRef]
- Ye, A.; Cui, J.; Taneja, A.; Zhu, X.; Singh, H. Evaluation of processed cheese fortified with fish oil emulsion. Food Res. Int. 2009, 42, 1093–1098. [Google Scholar] [CrossRef]
- Giri, A.; Osako, K.; Ohshima, T. Identification and characterisation of headspace volatiles of fish miso, a Japanese fish meat based fermented paste, with special emphasis on effect of fish species and meat washing. Food Chem. 2010, 120, 621–631. [Google Scholar] [CrossRef]
- Pérez-Palacios, T.; Petisca, C.; Melo, A.; Ferreira, I.M.P.L.V.O. Quantification of furanic compounds in coated deep-fried products simulating normal preparation and consumption: Optimisation of HS-SPME analytical conditions by response surface methodology. Food Chem. 2012, 135, 1337–1343. [Google Scholar] [CrossRef]
- Sujatha, P. Monitoring cytotoxic potentials of furfuryl alcohol and 2-furyl methyl ketone in mice. Food Chem. Toxicol. 2008, 46, 286–292. [Google Scholar] [CrossRef] [PubMed]
- Arts, J.H.; Muijser, H.; Appel, M.J.; Kuper, C.F.; Bessems, J.G.; Woutersen, R.A. Subacute (28-day) toxicity of furfural in Fischer 344 rats: A comparison of the oral and inhalation route. Food Chem. Toxicol. 2004, 42, 1389–1399. [Google Scholar] [CrossRef] [PubMed]



| LRI | ID | Compound | Mo | Mu | SEM | p |
|---|---|---|---|---|---|---|
| Aliphatic hydrocarbons | ||||||
| 504 | A | Pentane | 16.15 | 23.17 | 2.11 | 0.090 |
| 602 | A | Hexane | 91.47 | 83.26 | 2.47 | 0.091 |
| 692 | A | 1-heptene | 0.03 | n.d. | 0.00 | <0.001 |
| 703 | A | Heptane | 0.02 | n.d. | 0.00 | 0.004 |
| 799 | A | Octane | 0.05 | 0.07 | 0.01 | 0.002 |
| 901 | A | Nonane | 0.08 | 0.17 | 0.02 | 0.002 |
| 1003 | A | Decane | 0.02 | n.d. | 0.00 | 0.001 |
| 1099 | A | Undecane | 0.14 | 0.17 | 0.01 | 0.494 |
| 1200 | A | Dodecane | 0.02 | 0.08 | 0.01 | 0.013 |
| 1305 | A | Tridecane | n.d. | 0.04 | 0.01 | 0.001 |
| Alcohols | ||||||
| 614 | A | 1-propanol | 0.06 | 0.03 | 0.01 | 0.153 |
| 621 | A | 2-propanol | 0.02 | n.d. | 0.00 | 0.007 |
| 687 | A | 1-penten-3-ol | 0.29 | 0.08 | 0.05 | 0.026 |
| 784 | A | 2,3-butanediol | 0.42 | 0.34 | 0.04 | 0.362 |
| 921 | A | 1,2,4-butanetriol | n.d. | 0.55 | 0.12 | <0.001 |
| 927 | A | 1-hexanol | 0.08 | 0.01 | 0.02 | <0.001 |
| 1015 | A | 4-hexen-1-ol | 0.21 | n.d. | 0.05 | 0.008 |
| 1032 | A | 1-heptanol | 0.03 | n.d. | 0.01 | <0.001 |
| 1092 | A | 2-ethyl-1-hexanol | 1.07 | 0.33 | 0.17 | <0.001 |
| 1210 | A | Phenylethyl alcohol | n.d. | 0.07 | 0.02 | <0.001 |
| Aldehydes | ||||||
| 522 | A | Propanal | 0.27 | 0.15 | 0.03 | 0.048 |
| 587 | A | 2-methylpropanal | 0.41 | 0.40 | 0.04 | 0.909 |
| 628 | A | Butanal | 0.45 | 0.29 | 0.04 | 0.055 |
| 730 | A | Pentanal | 1.49 | 0.26 | 0.29 | 0.003 |
| 777 | A | 2-pentenal | 0.02 | 0.16 | 0.03 | <0.001 |
| 854 | A | Hexanal | 2.83 | 1.94 | 0.20 | <0.001 |
| 914 | A | 2-hexenal | 0.07 | n.d. | 0.01 | <0.001 |
| 936 | A | Heptanal | 0.66 | 0.24 | 0.10 | 0.014 |
| 1022 | A | 2-heptenal | n.d. | 0.07 | 0.01 | <0.001 |
| 1034 | A | Octanal | 1.42 | 0.49 | 0.23 | 0.016 |
| 1127 | A | 2-octenal | n.d. | 0.48 | 0.12 | 0.009 |
| 1147 | A | Nonanal | 0.81 | 0.38 | 0.10 | 0.008 |
| Ketones | ||||||
| 820 | A | 3-hydroxy-2-butanone | 2.68 | 1.59 | 0.25 | 0.001 |
| 1070 | B | 1,4-cyclohexanedione | 0.15 | 0.24 | 0.03 | 0.133 |
| 1140 | A | 2-nonanone | n.d. | 1.10 | 0.25 | <0.001 |
| Furans | ||||||
| 722 | A | 2-ethylfuran | 0.55 | 0.24 | 0.07 | 0.001 |
| 954 | A | 2-butyltetrahydrofuran | n.d. | 0.02 | n.d. | 0.001 |
| Terpenes | ||||||
| 1040 | A | Limonene | 0.02 | 0.01 | n.d. | 0.327 |
| Acids | ||||||
| 1165 | A | Heptanoic acid | n.d. | 0.17 | 0.04 | 0.003 |
| 1168 | A | Sorbic acid | n.d. | 0.17 | 0.04 | 0.008 |
| LRI | ID | Compound | Co | Mo | Mu | p | SEM |
|---|---|---|---|---|---|---|---|
| Aliphatic hydrocarbons | |||||||
| 497 | A | Pentane | 0.49 | 0.44 | 0.65 | 0.409 | 0.15 |
| 599 | A | Hexane | 0.48 | 0.24 | 0.33 | 0.724 | 0.07 |
| 704 | A | Heptane | 0.41 b | 0.46 b | 0.92 a | <0.001 | 0.08 |
| 761 | A | 1-propene | n.d. b | 0.43 a | n.d. b | <0.001 | 0.05 |
| 800 | A | Octane | 7.84 | 7.21 | 7.02 | 0.533 | 0.34 |
| 901 | A | Nonane | 0.52 | 0.39 | 0.63 | 0.057 | 0.04 |
| 997 | A | Decane | 0.89 | 1.01 | 0.92 | 0.319 | 0.07 |
| 1097 | A | Undecane | 1.95 | 1.81 | 1.89 | 0.756 | 0.11 |
| Alcohols | |||||||
| 614 | A | 1-propanol | 0.03 b | 0.12 a | 0.09 a | 0.043 | 0.02 |
| 687 | A | 1-penten-3-ol | n.d. b | 0.11 a | n.d. b | <0.001 | 0.26 |
| 820 | A | 1-pentanol | 1.42 | 1.47 | 1.48 | 0.936 | 0.06 |
| 1024 | A | 1-heptanol | 1.18 | 1.10 | 1.18 | 0.851 | 0.17 |
| 1031 | A | 1-octen-3-ol | 2.58 c | 3.53 a | 3.03 b | 0.028 | 0.19 |
| 1195 | A | 4-terpineol | 1.82 | 1.84 | 1.75 | 0.318 | 0.03 |
| Aldehydes | |||||||
| 591 | A | 2-methylpropanal | 0.31 | 0.42 | 0.28 | 0.172 | 0.03 |
| 618 | A | Butanal | 0.29 a | 0.10 b | 0.32 a | 0.002 | 0.05 |
| 667 | A | 2-methyl butanal | 0.15 | 0.28 | 0.07 | 0.104 | 0.03 |
| 738 | A | Pentanal | 7.89 c | 9.54 a | 8.69 b | 0.027 | 0.33 |
| 862 | A | Hexanal | 92.26 | 93.64 | 101.51 | 0.176 | 6.08 |
| 942 | A | Heptanal | 8.12 | 7.27 | 7.35 | 0.433 | 0.62 |
| 1050 | A | Octanal | 0.49 | 0.55 | 0.53 | 0.525 | 0.02 |
| 1147 | A | Nonanal | 5.59 | 5.11 | 4.94 | 0.295 | 0.13 |
| 1322 | A | 2-decenal | 0.87 | 0.84 | 0.88 | 0.594 | 0.01 |
| 1395 | A | 2,4-decadienal | 0.39 | 0.42 | 0.37 | 0.577 | 0.04 |
| Ketones | |||||||
| 749 | A | 2,3-pentanedione | 0.47 | 0.45 | 0.46 | 0.456 | 0.03 |
| 778 | A | 3-hydroxy-2-butanone | 0.49 a | 0.35 a | 0.15 b | <0.001 | 0.04 |
| 933 | A | 2-heptanone | 7.00 | 6.99 | 6.08 | 0.129 | 0.24 |
| 981 | A | 3-heptanone | 3.34 | 3.76 | 4.95 | 0.330 | 0.40 |
| 1039 | A | 2-octanone | 0.37 | 0.33 | 0.27 | 0.204 | 0.05 |
| 1063 | A | 3,5-octadien-2-one | n.d. b | 0.09 a | n.d. b | 0.001 | 0.31 |
| Furans | |||||||
| 722 | A | 2-ethyl-furan | n.d. b | 0.13 a | 0.07 a | 0.012 | 0.41 |
| 837 | A | 3-furaldehyde | 0.39 | 0.26 | 0.22 | 0.053 | 0.02 |
| 1012 | A | 2-pentyl-furan | 1.53 a | 1.09 b | 1.25 b | 0.004 | 0.06 |
| Terpenes | |||||||
| 982 | A | Sabinene | 8.19 | 7.79 | 7.78 | 0.498 | 0.10 |
| 1003 | B | β-myrcene | 36.06 b | 36.84 b | 40.64 a | 0.023 | 0.70 |
| 1021 | A | α-phellandrene | 5.93 | 6.20 | 6.78 | 0.416 | 0.14 |
| 1037 | A | d-limonene | 3.55 | 3.23 | 3.82 | 0.168 | 0.26 |
| 1066 | A | gamma-terpinene | 2.63 | 2.27 | 2.41 | 0.122 | 0.10 |
| 1105 | A | Terpene | 1.87 | 1.87 | 1.60 | 0.280 | 0.11 |
| 1404 | A | α-cubebene | 1.23 | 1.26 | 1.68 | 0.282 | 0.09 |
| Acids | |||||||
| 717 | A | Acetic acid | 458.69 b | 582.75 a | 422.62 b | <0.001 | 43.49 |
| 895 | A | Butanoic acid | 30.15 | 26.94 | 27.08 | 0.094 | 1.26 |
| 986 | A | Pentanoic acid | 34.56 | 36.84 | 36.14 | 0.510 | 0.40 |
| 1362 | A | Nonanoic acid | 2.60 | 2.43 | 2.61 | 0.894 | 0.08 |
| 1472 | A | Decanoid acid | 3.05 | 2.58 | 2.61 | 0.409 | 0.17 |
| Esters | |||||||
| 786 | A | Methylpropyl acetate | 0.27 | 0.28 | 0.26 | 0.992 | 0.02 |
| 853 | A | Methyl hexanoate | 65.15 | 51.94 | 57.08 | 0.345 | 2.55 |
| Aromatics | |||||||
| 1018 | A | Benzaldehyde | 9.30 | 8.29 | 7.64 | 0.109 | 0.18 |
| 1190 | A | 4-methyl-phenol | 0.53 | 0.59 | 0.60 | 0.517 | 0.02 |
| 1375 | A | Eugenol | 4.18 | 4.16 | 4.57 | 0.198 | 0.09 |
| Cyclic hydrocarbons | |||||||
| 992 | B | α-thujene | 6.30 | 5.86 | 6.06 | 0.419 | 0.10 |
| 1495 | A | Humulene | 0.61 | 0.66 | 0.78 | 0.469 | 0.04 |
| Other | |||||||
| 899 | B | Allyl sulphide | 2.41 a | 2.68 a | 1.90 b | 0.003 | 0.15 |
| LRI | ID | Compound | Co | Mo | Mu | p | SEM |
|---|---|---|---|---|---|---|---|
| Aliphatic hydrocarbons | |||||||
| 499 | A | Pentane | 0.49 | 0.47 | 0.45 | 0.598 | 0.04 |
| 601 | A | Hexane | 0.44 b | 0.45 b | 0.78 a | 0.021 | 0.09 |
| 703 | A | Heptane | 1.49 b | 1.10 b | 2.03 a | 0.046 | 0.17 |
| 799 | A | Octane | 2.67 | 2.58 | 2.51 | 0.612 | 0.11 |
| 812 | A | 2-octene | 2.05 a | 2.06 a | 1.67 b | 0.032 | 0.16 |
| 901 | A | Nonane | 1.89 a | 2.07 a | 1.03 b | <0.001 | 0.13 |
| 1000 | A | Decane | n.d. b | n.d. b | 0.56 a | <0.001 | 0.17 |
| 1101 | A | Undecane | 0.60 | 0.60 | 0.74 | 0.165 | 0.03 |
| 1200 | A | Dodecane | 0.40 b | 0.48 a | 0.54 a | 0.046 | 0.03 |
| 1296 | A | Tridecane | n.d. c | 0.24 b | 0.46 a | 0.021 | 0.03 |
| 1402 | A | Tetradecane | 0.51 | 0.54 | 0.68 | 0.465 | 0.15 |
| Alcohols | |||||||
| 615 | A | 1-propanol | 0.13 | 0.11 | 0.14 | 0.561 | 0.10 |
| 825 | A | 1-pentanol | 1.39 b | 1.73 a | 1.41 b | 0.028 | 0.04 |
| 923 | A | 1-hexanol | 0.69 b | 0.80 b | 1.08 a | 0.039 | 0.06 |
| 927 | A | 4-hexen-1-ol | 0.96 c | 1.90 b | 1.54 a | 0.026 | 0.12 |
| 1024 | A | 1-heptanol | 0.66 b | 0.86a | 0.91 a | 0.041 | 0.06 |
| 1031 | A | 1-octen-3-ol | 3.84 a | 3.50 a | 2.84 b | 0.036 | 0.31 |
| 1088 | A | 2-ethyl-1-hexanol | 0.44 | 0.44 | 0.57 | 0.134 | 0.14 |
| 1092 | A | Phenyl ethyl alcohol | n.d. c | 0.37 b | 0.91 a | 0.011 | 0.06 |
| Aldehydes | |||||||
| 593 | A | 2-methyl propanal | 1.47 a | 1.21 b | 1.66 a | 0.048 | 0.11 |
| 667 | A | 2-methyl butanal | 0.70 | 0.65 | 0.76 | 0.432 | 0.07 |
| 687 | A | 3-methyl butanal | 2.04 | 2.19 | 2.25 | 0.686 | 0.53 |
| 738 | A | Pentanal | 6.06 a | 4.58 b | 3.89 b | 0.017 | 0.61 |
| 862 | A | Hexanal | 3.41 | 3.44 | 3.65 | 0.490 | 0.16 |
| 939 | A | Heptanal | 3.31 | 2.82 | 3.11 | 0.082 | 0.22 |
| 1047 | A | Octanal | 0.38 | 0.35 | 0.43 | 0.372 | 0.04 |
| 1114 | A | 2-octenal | 0.08 | 0.13 | 0.18 | 0.142 | 0.05 |
| 1147 | A | Nonanal | 0.51 | 0.54 | 0.75 | 0.260 | 0.25 |
| 1328 | A | 2-decenal | 0.77 b | 1.69 a | 0.89 b | 0.002 | 0.09 |
| 1390 | A | 2,4-decadienal | 0.36 | 0.44 | 0.38 | 0.298 | 0.04 |
| Ketones | |||||||
| 744 | A | 2,3-pentanedione | 0.33 | 0.47 | 0.40 | 0.312 | 0.04 |
| 933 | A | 2-heptanone | 0.84 a | 0.55 b | 0.38 b | 0.041 | 0.10 |
| 979 | A | 3-heptanone | 2.27 a | 2.37 a | 1.05 b | 0.003 | 0.23 |
| 1039 | A | 2-octanone | 1.11 | 1.35 | 1.21 | 0.087 | 0.09 |
| Furans | |||||||
| 720 | A | 2-ethylfuran | 0.38 | 0.26 | 0.21 | 0.446 | 0.08 |
| 908 | A | 2-butylfuran | 0.37 a | 0.42 a | 0.19 b | 0.033 | 0.03 |
| 1008 | A | 2-pentyl-furan | 0.79 a | 0.60 b | 0.45 c | 0.004 | 0.03 |
| Terpenes | |||||||
| 1026 | A | 3-carene | 1.56 | 1.38 | 1.42 | 0.311 | 0.12 |
| 1037 | A | d-limonene | 2.60 | 2.41 | 2.36 | 0.298 | 0.13 |
| 1066 | A | gamma-terpinene | 3.16 | 3.13 | 3.29 | 0.589 | 0.16 |
| 1097 | A | Terpene | 0.20 | 0.16 | 0.27 | 0.178 | 0.08 |
| 1491 | A | Isocayophillene | 0.26 | 0.24 | 0.26 | 0.589 | 0.03 |
| Acids | |||||||
| 716 | A | Acetic acid | n.d. b | 0.04 b | 0.22 a | 0.005 | 0.04 |
| 895 | A | Butanoic acid | 2.36 | 2.27 | 2.13 | 0.798 | 0.15 |
| 898 | A | 2-butenoic acid | 0.25 | 0.29 | 0.26 | 0.636 | 0.03 |
| 986 | A | Pentanoic acid | 1.97 a | 1.06 b | 0.69 c | <0.001 | 0.08 |
| 1273 | A | Octanoic acid | 0.42 a | 0.33 a | n.d. b | 0.005 | 0.13 |
| 1366 | A | Nonanoic acid | 0.45 b | 0.43 b | 0.63 a | 0.032 | 0.04 |
| 1461 | A | Decanoic acid | 0.41 | 0.36 | 0.18 | 0.168 | 0.18 |
| Esters | |||||||
| 656 | A | Methyl propanoate | 0.04 c | 0.22 b | 0.33 a | <0.001 | 0.02 |
| 836 | A | Ethyl butanoate | 2.31 | 2.45 | 2.50 | 0.647 | 0.11 |
| Aromatics | |||||||
| 1018 | A | Benzaldehyde | 1.59 | 1.94 | 1.67 | 0.109 | 0.19 |
| 1190 | A | 4-methyl-phenol | 1.08 | 0.90 | 0.72 | 0.068 | 0.18 |
| 1305 | B | Safrole | 0.36 | 0.31 | 0.37 | 0.298 | 0.03 |
| Cyclic hydrocarbons | |||||||
| 980 | B | β-thujene | 4.25 a | 2.76 c | 3.54 b | 0.029 | 0.41 |
| 991 | B | α-thujene | 7.95 a | 5.13 b | 5.13 b | 0.007 | 0.22 |
| 1422 | B | cis-muurola-4(14),5-diene | 0.20 | 0.19 | 0.19 | 0.469 | 0.02 |
| 1524 | A | δ-cadinene | 0.39 | 0.37 | 0.45 | 0.298 | 0.04 |
| Pyrazines | |||||||
| 863 | A | 2-methylpyrazine | 0.27 | 0.35 | 0.25 | 0.369 | 0.11 |
| 947 | A | 2,6-dimethylpyrazine | 0.20 | 0.17 | 0.24 | 0.428 | 0.05 |
Publisher’s Note: MDPI stays neutral with regard to jurisdictional claims in published maps and institutional affiliations. |
© 2020 by the authors. Licensee MDPI, Basel, Switzerland. This article is an open access article distributed under the terms and conditions of the Creative Commons Attribution (CC BY) license (http://creativecommons.org/licenses/by/4.0/).
Share and Cite
Solomando, J.C.; Antequera, T.; Martín, A.; Perez-Palacios, T. Effect of Omega-3 Microcapsules Addition on the Profile of Volatile Compounds in Enriched Dry-Cured and Cooked Sausages. Foods 2020, 9, 1683. https://doi.org/10.3390/foods9111683
Solomando JC, Antequera T, Martín A, Perez-Palacios T. Effect of Omega-3 Microcapsules Addition on the Profile of Volatile Compounds in Enriched Dry-Cured and Cooked Sausages. Foods. 2020; 9(11):1683. https://doi.org/10.3390/foods9111683
Chicago/Turabian StyleSolomando, Juan Carlos, Teresa Antequera, Alberto Martín, and Trinidad Perez-Palacios. 2020. "Effect of Omega-3 Microcapsules Addition on the Profile of Volatile Compounds in Enriched Dry-Cured and Cooked Sausages" Foods 9, no. 11: 1683. https://doi.org/10.3390/foods9111683
APA StyleSolomando, J. C., Antequera, T., Martín, A., & Perez-Palacios, T. (2020). Effect of Omega-3 Microcapsules Addition on the Profile of Volatile Compounds in Enriched Dry-Cured and Cooked Sausages. Foods, 9(11), 1683. https://doi.org/10.3390/foods9111683

