Social Capital Contributions to Food Security: A Comprehensive Literature Review
Abstract
1. Introduction
2. Materials and Methods
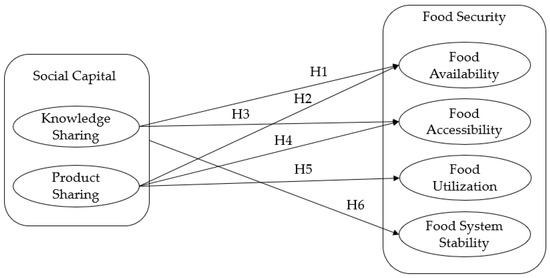
3. Results
3.1. Food Availability
3.2. Food Accessibility
3.3. Food Utilization
3.4. Food System Stability
4. Conclusions
Author Contributions
Funding
Acknowledgments
Conflicts of Interest
References
- Schmidhuber, J.; Tubiello, F.N. Global food security under climate change. Proc. Natl. Acad. Sci. USA 2007, 104, 19703–19708. [Google Scholar] [CrossRef]
- FAO; UNICEF; WFP; WHO. The State of Food Security and Nutrition in the World 2019: Safeguarding against Economic Slowdowns and Downturns; FAO: Rome, Italy, 2019. [Google Scholar]
- Wunderlich, S.M.; Martinez, N.M. Conserving natural resources through food loss reduction: Production and consumption stages of the food supply chain. Int. Soil Water Conserv. Res. 2018, 6, 331–339. [Google Scholar] [CrossRef]
- Rickards, L.; Shortis, E. SDG 2: End Hunger, Achieve Food Security and Improved Nutrition and Promote Sustainable Agriculture; RMIT University: Melbourne, Australia, 2019. [Google Scholar]
- Ruane, J.; Sonnino, A. Agricultural biotechnologies in developing countries and their possible contribution to food security. J. Biotechnol. 2011, 156, 356–363. [Google Scholar] [CrossRef]
- Parry, M.L.; Rosenzweig, C.; Iglesias, A.; Livermore, M.; Fischer, G. Effects of climate change on global food production under SRES emissions and socio-economic scenarios. Glob. Environ. Chang. 2004, 14, 53–67. [Google Scholar] [CrossRef]
- Verburg, P.H.; Mertz, O.; Erb, K.H.; Haberl, H.; Wu, W. Land system change and food security: Towards multi-scale land system solutions. Curr. Opin. Environ. Sustain. 2013, 5, 494–502. [Google Scholar] [CrossRef] [PubMed]
- Gressel, J.; Hanafi, A.; Head, G.; Marasas, W.; Obilana, A.B.; Ochanda, J.; Souissi, T.; Tzotzos, G. Major heretofore intractable biotic constraints to African food security that may be amenable to novel biotechnological solutions. Crop Prot. 2004, 23, 661–689. [Google Scholar] [CrossRef]
- Gulati, M.; Jacobs, I.; Jooste, A.; Naidoo, D.; Fakir, S. The water–energy–food security nexus: Challenges and opportunities for food security in South Africa. Aquat. Procedia 2013, 1, 150–164. [Google Scholar] [CrossRef]
- Korir, L.; Rizov, M.; Ruto, E. Food security in Kenya: Insights from a household food demand model. Econ. Model. 2020, 92, 99–108. [Google Scholar] [CrossRef]
- Ekhlaspour, P.; Foroumandi, E.; Ebrahimi-Mameghani, M.; Jafari-Koshki, T.; Arefhosseini, S.R. Household food security status and its associated factors in Baft-Kerman, IRAN: A cross-sectional study. Ecol. Food Nutr. 2019, 58, 608–619. [Google Scholar] [CrossRef]
- Martin, K.S.; Rogers, B.L.; Cook, J.T.; Joseph, H.M. Social capital is associated with decreased risk of hunger. Soc. Sci. Med. 2004, 58, 2645–2654. [Google Scholar] [CrossRef]
- Gallaher, C.M.; Kerr, J.M.; Njenga, M.; Karanja, N.K.; WinklerPrins, A.M. Urban agriculture, social capital, and food security in the Kibera slums of Nairobi, Kenya. Agric. Hum. Values 2013, 30, 389–404. [Google Scholar] [CrossRef]
- Kansanga, M.; Luginaah, I.; Bezner Kerr, R.; Lupafya, E.; Dakishoni, L. Beyond ecological synergies: Examining the impact of participatory agroecology on social capital in smallholder farming communities. Int. J. Sustain. Dev. World Ecol. 2020, 27, 1–14. [Google Scholar] [CrossRef]
- Xu, S.; Barbieri, C.; Seekamp, E. Social Capital along Wine Trails: Spilling the Wine to Residents? Sustainability 2020, 12, 1592. [Google Scholar] [CrossRef]
- Dudwick, N.; Kuehnast, K.; Nyhan Jones, V.; Woolcock, M. Analyzing Social Capital in Context: A Guide to Using Qualitative Methods and Data; World Bank Institute: Washington, DC, USA, 2006; p. 46. [Google Scholar]
- Malouin, M. The Importance of Learning in the Age of Artificial Intelligence: The Evolution of the Role of Auditor. Ph.D. Dissertation, Szent István University, Gödöllő, Hungary, 2020; 23p. [Google Scholar]
- Bowles, S.; Gintis, H. Social capital and community governance. Econ. J. 2002, 112, F419–F436. [Google Scholar] [CrossRef]
- Sseguya, H. Impact of Social Capital on Food Security in Southeast Uganda. Ph.D. Dissertation, Iowa State University, Ames, IA, USA, 2009. [Google Scholar]
- Higgins, A.; Miller, C.; Archer, A.; Ton, T.; Fletcher, C.; McAllister, R. Challenges of operations research practice in agricultural value chains. J. Oper. Res. Soc. 2010, 61, 964–973. [Google Scholar] [CrossRef]
- Plà, L.M.; Sandars, D.L.; Higgins, A.J. A perspective on operational research prospects for agriculture. J. Oper. Res. Soc. 2014, 65, 1078–1089. [Google Scholar] [CrossRef]
- Nosratabadi, S.; Mosavi, A.; Lakner, Z. Food Supply Chain and Business Model Innovation. Foods 2020, 9, 132. [Google Scholar] [CrossRef]
- Liberati, A.; Altman, D.G.; Tetzlaff, J.; Mulrow, C.; Gøtzsche, P.C.; Ioannidis, J.P.; Clarke, M.; Devereaux, P.J.; Kleijnen, J.; Moher, D. The PRISMA statement for reporting systematic reviews and meta-analyses of studies that evaluate health care interventions: Explanation and elaboration. J. Clin. Epidemiol. 2009, 62, e1–e34. [Google Scholar] [CrossRef]
- Nosratabadi, S.; Mosavi, A.; Duan, P.; Ghamisi, P.; Filip, F.; Band, S.S.; Reuter, U.; Gama, J.; Gandomi, A.H. Data science in economics: Comprehensive review of advanced machine learning and deep learning methods. Mathematics 2020, 8, 1799. [Google Scholar] [CrossRef]
- Kiara, J.K. Focal area approach: A participatory community planning approach to agricultural extension and market development in Kenya. Int. J. Agric. Sustain. 2011, 9, 248–257. [Google Scholar] [CrossRef]
- Misselhorn, A.A. What drives food insecurity in southern Africa? A meta-analysis of household economy studies. Glob. Environ. Chang. 2005, 15, 33–43. [Google Scholar] [CrossRef]
- Vitiello, D.; Wolf-Powers, L. Growing food to grow cities? The potential of agriculture foreconomic and community development in the urban United States. Community Dev. J. 2014, 49, 508–523. [Google Scholar] [CrossRef]
- Chriest, A.; Niles, M. The role of community social capital for food security following an extreme weather event. J. Rural Stud. 2018, 64, 80–90. [Google Scholar] [CrossRef]
- Furness, W.W.; Gallaher, C.M. Food access, food security and community gardens in Rockford, IL. Local Environ. 2018, 23, 414–430. [Google Scholar] [CrossRef]
- Naughton, C.C.; Deubel, T.F.; Mihelcic, J.R. Household food security, economic empowerment, and the social capital of women’s shea butter production in Mali. Food Secur. 2017, 9, 773–784. [Google Scholar] [CrossRef]
- Pascoe, J.; Howes, M. A growing movement: Motivations for joining community gardens. Wit Trans. Ecol. Environ. 2017, 226, 381–389. [Google Scholar]
- Browne, M.; Goncalo, L.; Ximenes, A.; Lopes, M.; Erskine, W. Do rituals serve as a brake on innovation in staple food cropping in Timor-Leste? Food Secur. 2017, 9, 441–451. [Google Scholar] [CrossRef]
- Saint Ville, A.S.; Hickey, G.M.; Phillip, L.E. How do stakeholder interactions influence national food security policy in the Caribbean? The case of Saint Lucia. Food Policy 2017, 68, 53–64. [Google Scholar] [CrossRef]
- Olivier, D.W.; Heinecken, L. The personal and social benefits of urban agriculture experienced by cultivators on the Cape Flats. Dev. S. Afr. 2017, 34, 168–181. [Google Scholar] [CrossRef]
- Helicke, N.A. Markets and collective action: A case study of traditional wheat varieties in Turkey. J. Econ. Cult. Soc. 2019, 59, 13–30. [Google Scholar]
- Kerr, R.B. Informal labor and social relations in northern Malawi: The theoretical challenges and implications of ganyu labor for food security. Rural Sociol. 2005, 70, 167–187. [Google Scholar] [CrossRef]
- Mtika, M.M. The AIDS epidemic in Malawi and its threat to household food security. Hum. Organ. 2001, 60, 178–188. [Google Scholar] [CrossRef]
- Kismul, H.; Hatløy, A.; Andersen, P.; Mapatano, M.; Van den Broeck, J.; Moland, K.M. The social context of severe child malnutrition: A qualitative household case study from a rural area of the Democratic Republic of Congo. Int. J. Equity Health 2015, 14, 47. [Google Scholar] [CrossRef] [PubMed]
- Gray, L.; Guzman, P.; Glowa, K.M.; Drevno, A.G. Can home gardens scale up into movements for social change? The role of home gardens in providing food security and community change in San Jose, California. Local Environ. 2014, 19, 187–203. [Google Scholar] [CrossRef]
- Porter, R.; McIlvaine-Newsad, H. Gardening in green space for environmental justice: Food security, leisure and social capital. Leis. Loisir 2013, 37, 379–395. [Google Scholar] [CrossRef]
- Whitley, S. Changing times in rural America: Food assistance and food insecurity in food deserts. J. Fam. Soc. Work 2013, 16, 36–52. [Google Scholar] [CrossRef]
- Kaschula, S. Using people to cope with the hunger: Social networks and food transfers amongst HIV/AIDS afflicted households in KwaZulu-Natal, South Africa. AIDS Behav. 2011, 15, 1490. [Google Scholar] [CrossRef]
- Mwakiwa, E.; Maparara, T.; Tatsvarei, S.; Muzamhindo, N. Is community management of resources by urban households, feasible? Lessons from community gardens in Gweru, Zimbabwe. Urban For. Urban Green. 2018, 34, 97–104. [Google Scholar] [CrossRef]
- Lee, G.O.; Surkan, P.J.; Zelner, J.; Olórtegui, M.P.; Yori, P.P.; Ambikapathi, R.; Caulfield, L.E.; Gilman, R.H.; Kosek, M.N. Social connectedness is associated with food security among peri-urban Peruvian Amazonian communities. SSM Popul. Health 2018, 4, 254–262. [Google Scholar] [CrossRef]
- Sseguya, H.; Mazur, R.E.; Flora, C.B. Social capital dimensions in household food security interventions: Implications for rural Uganda. Agric. Hum. Values 2018, 35, 117–129. [Google Scholar] [CrossRef]
- Smith, L.C.; Frankenberger, T.R. Does resilience capacity reduce the negative impact of shocks on household food security? Evidence from the 2014 floods in Northern Bangladesh. World Dev. 2018, 102, 358–376. [Google Scholar] [CrossRef]
- Meador, J.; Fritz, A. Food security in rural Uganda: Assessing latent effects of microfinance on pre-participation. Dev. Pract. 2017, 27, 340–353. [Google Scholar] [CrossRef]
- Boubacar, S.; Pelling, M.; Barcena, A.; Montandon, R. The erosive effects of small disasters on household absorptive capacity in Niamey: A nested HEA approach. Environ. Urban. 2017, 29, 33–50. [Google Scholar] [CrossRef]
- Wossen, T.; Di Falco, S.; Berger, T.; McClain, W. You are not alone: Social capital and risk exposure in rural Ethiopia. Food Secur. 2016, 8, 799–813. [Google Scholar] [CrossRef]
- Saint Ville, A.S.; Hickey, G.M.; Locher, U.; Phillip, L.E. Exploring the role of social capital in influencing knowledge flows and innovation in smallholder farming communities in the Caribbean. Food Secur. 2016, 8, 535–549. [Google Scholar] [CrossRef]
- De Jalón, S.G.; Iglesias, A.; Neumann, M.B. Responses of sub-Saharan smallholders to climate change: Strategies and drivers of adaptation. Environ. Sci. Policy 2018, 90, 38–45. [Google Scholar] [CrossRef]
- Quetulio-Navarra, M.; Frunt, E.; Niehof, A. The role of social capital and institutions in food security and wellbeing of children under five for resettled households in Central Java, Indonesia. In Diversity and Change in Food Wellbeing: Cases from Southeast Asia and Nepal; Wageningen Academic Publishers: Wageningen, The Netherlands, 2018; pp. 255–266. [Google Scholar]
- Rayamajhee, V.; Bohara, A.K. Do voluntary associations reduce hunger? An empirical exploration of the social capital-food security nexus among food impoverished households in western Nepal. Food Secur. 2019, 11, 405–415. [Google Scholar] [CrossRef]
- Kirkpatrick, S.I.; Tarasuk, V. Assessing the relevance of neighbourhood characteristics to the household food security of low-income Toronto families. Public Health Nutr. 2010, 13, 1139–1148. [Google Scholar] [CrossRef]
- Misselhorn, A. Is a focus on social capital useful in considering food security interventions? Insights from KwaZulu-Natal. Dev. S. Afr. 2009, 26, 189–208. [Google Scholar] [CrossRef]
- Garrett, A.; Leeds, M.A. The economics of community gardening. East. Econ. J. 2015, 41, 200–213. [Google Scholar] [CrossRef]
- Chen, H.; Wang, J.; Huang, J. Policy support, social capital, and farmers’ adaptation to drought in China. Glob. Environ. Chang. 2014, 24, 193–202. [Google Scholar] [CrossRef]
- Nyikahadzoi, K.; Siziba, S.; Mango, N.; Mapfumo, P.; Adekunhle, A.; Fatunbi, O. Creating food self reliance among the smallholder farmers of eastern Zimbabwe: Exploring the role of integrated agricultural research for development. Food Secur. 2012, 4, 647–656. [Google Scholar] [CrossRef]
- Bunch, M.; Pathan, S.; Battaglia, A.; Greer-Wootten, B.; Mascoll, A.; Russell, T.; Folkema, J. Quantifying community resilience in South Sudan: The FEED project (Fortifying Equality and Economic Diversification). Ecol. Soc. 2020, 25, 12–43. [Google Scholar] [CrossRef]
- Kaiser, M.; Barnhart, S.; Huber-Krum, S. Measuring social cohesion and social capital within the context of community food security: A confirmatory factor analysis. J. Hunger Environ. Nutr. 2020, 15, 591–612. [Google Scholar] [CrossRef]
- Olarinde, L.O.; Abass, A.B.; Abdoulaye, T.; Adepoju, A.A.; Adio, M.O.; Fanifosi, E.G.; Wasiu, A. The influence of social networking on food security status of cassava farming households in Nigeria. Sustainability 2020, 12, 5420. [Google Scholar] [CrossRef]
- Hopkins, L.C.; Holben, D.H. Food insecure community gardeners in rural Appalachian Ohio more strongly agree that their produce intake improved and food spending decreased as a result of community gardening compared to food secure community gardeners. J. Hunger Environ. Nutr. 2018, 13, 540–552. [Google Scholar] [CrossRef]
- Yuniarti, D.; Purwaningsih, Y.; Soesilo, A.; Suryantoro, A. Climate change-food security-financial assets nexus: Evidence from indonesia. Humanit. Soc. Sci. Rev. 2019, 7, 62–68. [Google Scholar] [CrossRef]
- Dean, W.R.; Sharkey, J.R.; Johnson, C.M. Food insecurity is associated with social capital, perceived personal disparity, and partnership status among older and senior adults in a largely rural area of central Texas. J. Nutr. Gerontol. Geriatr. 2011, 30, 169–186. [Google Scholar] [CrossRef]
- Mastronardi, L.; Giagnacovo, M.; Romagnoli, L. Bridging regional gaps: Community-based cooperatives as a tool for Italian inner areas resilience. Land Use Policy 2020, 99, 104979. [Google Scholar] [CrossRef]
- Mastronardi, L.; Romagnoli, L. Community-Based Cooperatives: A New Business Model for the Development of Italian Inner Areas. Sustainability 2020, 12, 2082. [Google Scholar] [CrossRef]






| Explanation | Conceptual | Qualitative Empirical | Quantitative Empirical |
|---|---|---|---|
| Sources | Kiara [25]; Misselhorn [26]; Vitiello and Wolf-Powers [27]. | Chriest and Niles [28]; Furness and Gallaher [29]; Naughton, Deubel, and Mihelcic [30]; Pascoe and Howes [31]; Browne, Goncalo, Ximenes, Lopes, and Erskine [32]; Saint Ville, Hickey, and Phillip [33]; Olivier and Heinecken [34]; Helicke [35]; Kerr [36]; Mtika [37]; Kismul [38]; Gray et al. [39]; Porter and McIlvaine-Newsad [40]; Whitley [41]; Kaschula [42]. | Mwakiwa, Maparara, Tatsvarei, and Muzamhindo [43]; Lee et al. [44]; Sseguya, Mazur, and Flora [45]; Smith and Frankenberger [46]; Meador and Fritz [47]; Boubacar, Pelling, Barcena, and Montandon [48]; Wossen et al. [49]; Saint Ville et al. [50]; de Jalón, Iglesias, and Neumann [51]; Quetulio-Navarra, Frunt, and Niehof [52]; Rayamajhee and Bohara [53]; Kirkpatrick and Tarasuk [54]; Misselhorn [55]; Martin et al. [12]; Garrett and Leeds [56]; Chen, Wang, and Huang [57]; Gallaher et al. [13]; Nyikahadzoi et al. [58]; Bunch et al. [59]; Kaiser, Barnhart, and Huber-Krum [60]; Olarinde et al. [61]. |
| Number | 3 | 15 | 21 |
| Journal Name | Number of Publications |
|---|---|
| Food Security | 6 |
| Global Environmental Change | 3 |
| Agriculture and Human Values | 2 |
| Development Southern Africa | 2 |
| Public Health Nutrition | 2 |
| Rural Sociology | 2 |
| Explanation | Food Availability | Food Accessibility | Food Utilization | Food System Stability |
|---|---|---|---|---|
| Farmers | Saint Ville et al. [50]; Kerr [13]; Saint Ville, Hickey, and Phillip [33]; Olivier and Heinecken [34]; de Jalón, Iglesias, Neumann [51]; Browne et al. [32]; Helicke [35]; Porter and McIlvaine-Newsad [40]; Garrett and Leeds [56]; Gray et al. [39]; Mwakiwa et al. [43]; Nyikahadzoi et al. [58]; Pascoe and Howes [31]; Vitiello and Wolf-Powers [27]; Gallaher et al. [13]. | Olarinde et al. [61]; Kiara [25]; Furness and Gallaher [29]; Lee et al. [44]; Sseguya, Mazur, and Flora [45]; Meador and Fritz [47]; Boubacar et al. [48]; Quetulio-Navarra et al. [52]. | Chen et al. [57]; Wossen et al. [49]. | |
| Processors | Naughton, Deubel, Mihelcic [30]. | |||
| Retailors | Smith and Frankenberger [46]. | Kirkpatrick and Tarasuk [54]. | ||
| Consumers | Misselhorn [26]; Whitley [41]; Kaschula [42]; Bunch et al. [59]; Kaiser et al. [60]. | Misselhorn [55]; Mtika [37]; Kismul [38]; Rayamajhee and Bohara [53]; Martin et al. [12]. | Chriest and Niles [28]. |
Publisher’s Note: MDPI stays neutral with regard to jurisdictional claims in published maps and institutional affiliations. |
© 2020 by the authors. Licensee MDPI, Basel, Switzerland. This article is an open access article distributed under the terms and conditions of the Creative Commons Attribution (CC BY) license (http://creativecommons.org/licenses/by/4.0/).
Share and Cite
Nosratabadi, S.; Khazami, N.; Abdallah, M.B.; Lackner, Z.; S. Band, S.; Mosavi, A.; Mako, C. Social Capital Contributions to Food Security: A Comprehensive Literature Review. Foods 2020, 9, 1650. https://doi.org/10.3390/foods9111650
Nosratabadi S, Khazami N, Abdallah MB, Lackner Z, S. Band S, Mosavi A, Mako C. Social Capital Contributions to Food Security: A Comprehensive Literature Review. Foods. 2020; 9(11):1650. https://doi.org/10.3390/foods9111650
Chicago/Turabian StyleNosratabadi, Saeed, Nesrine Khazami, Marwa Ben Abdallah, Zoltan Lackner, Shahab S. Band, Amir Mosavi, and Csaba Mako. 2020. "Social Capital Contributions to Food Security: A Comprehensive Literature Review" Foods 9, no. 11: 1650. https://doi.org/10.3390/foods9111650
APA StyleNosratabadi, S., Khazami, N., Abdallah, M. B., Lackner, Z., S. Band, S., Mosavi, A., & Mako, C. (2020). Social Capital Contributions to Food Security: A Comprehensive Literature Review. Foods, 9(11), 1650. https://doi.org/10.3390/foods9111650

