Exploring Olfactory–Oral Cross-Modal Interactions through Sensory and Chemical Characteristics of Italian Red Wines
Abstract
1. Introduction
2. Materials and Methods
2.1. Chemicals
2.2. Wine Samples
2.3. Sensory Analysis
2.3.1. Panel
2.3.2. Procedure
2.4. Deodorization and Reconstitution of Wines
2.5. Chemical Analysis
2.6. Data Analysis
3. Results and Discussion
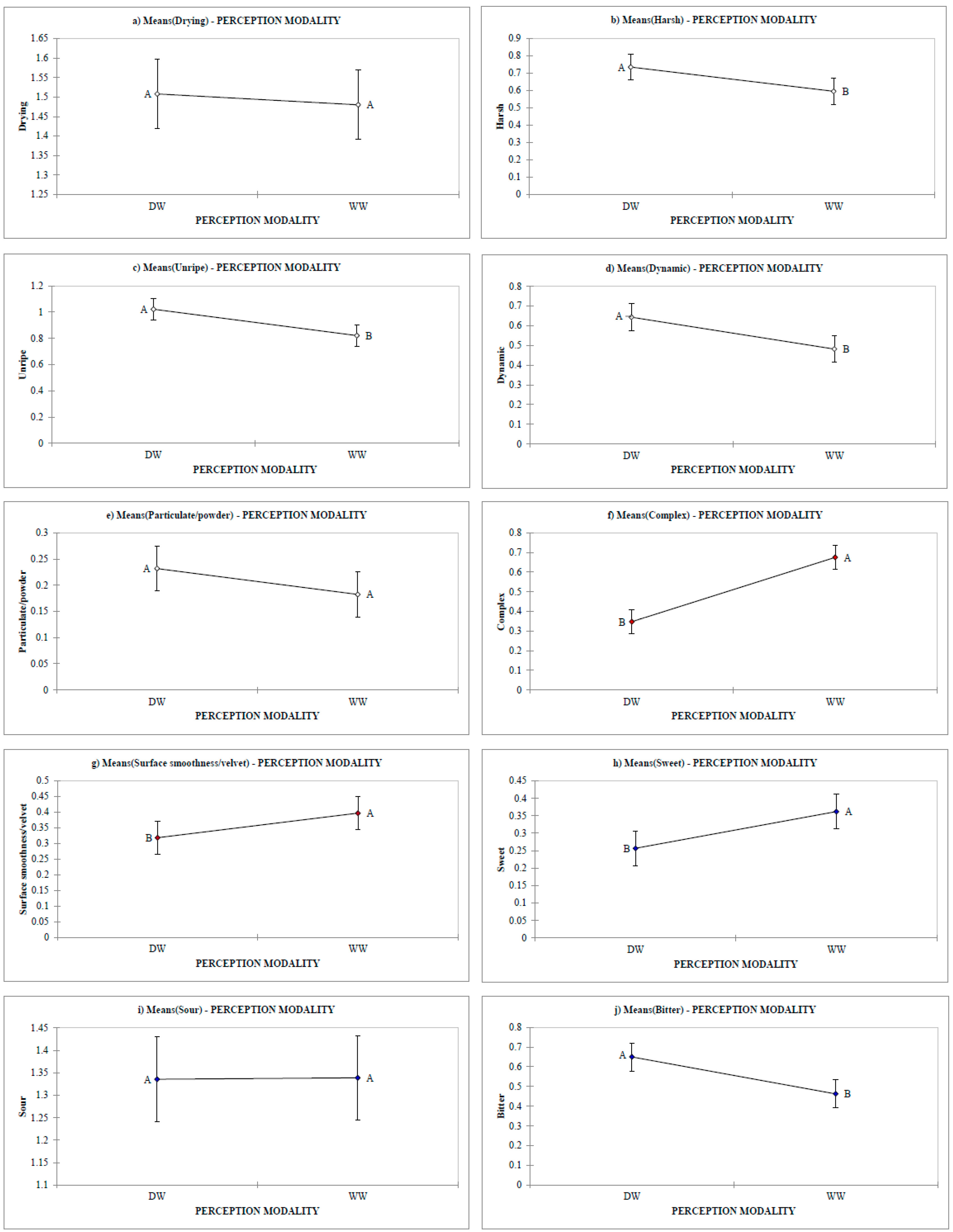
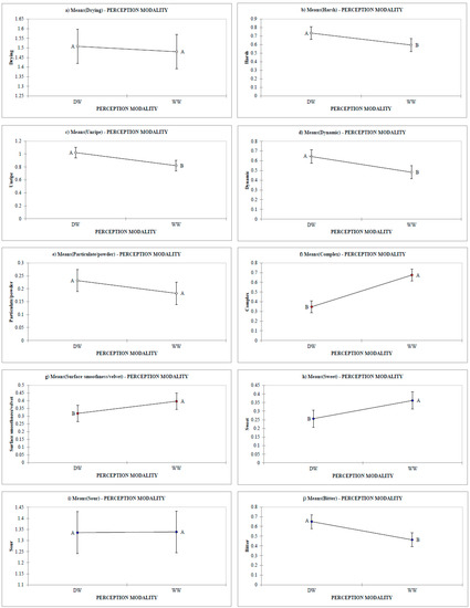
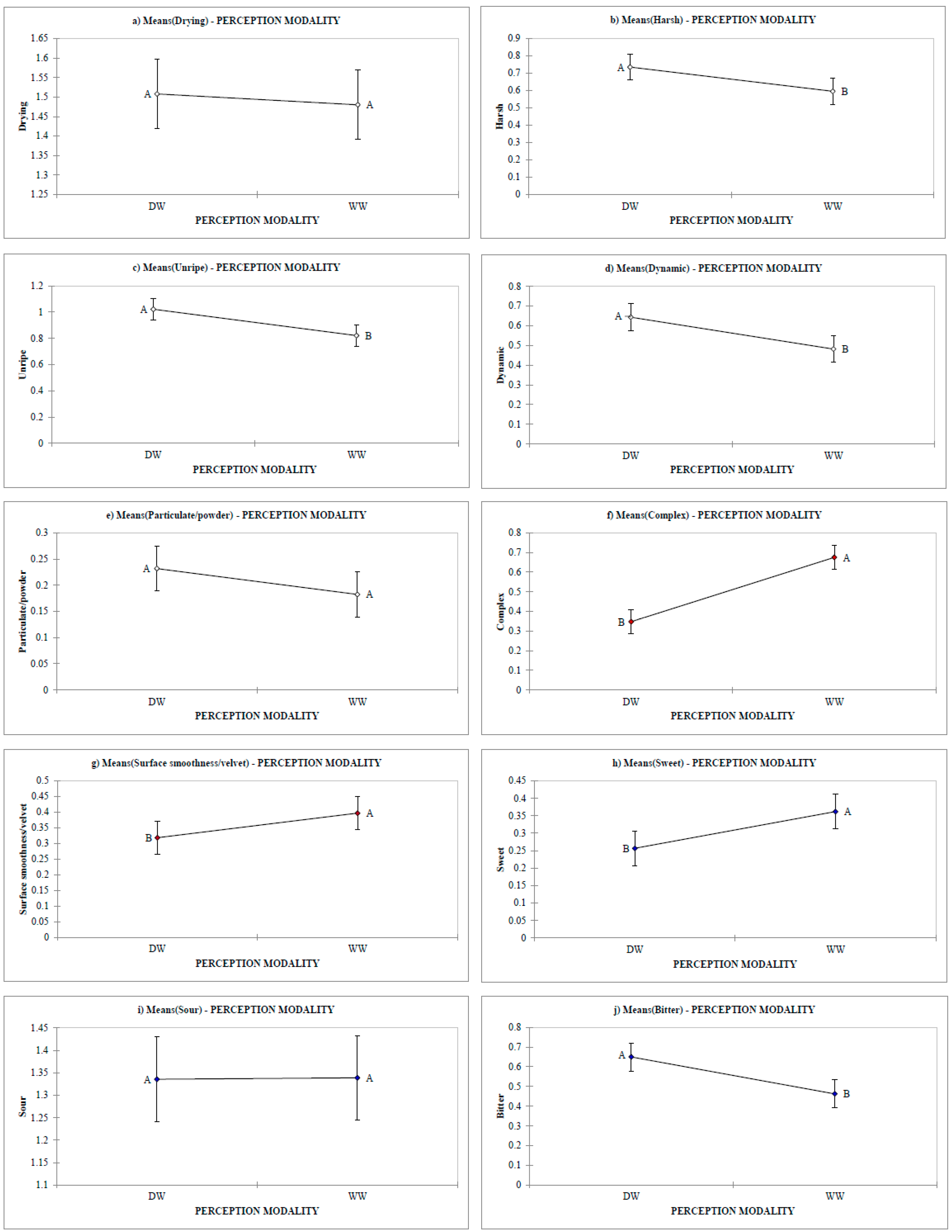
3.1. Olfactory/in-Mouth Cross-Modal Interactions
3.2. Olfactory Cues and Correlations between Sensory and Chemical Variables
Supplementary Materials
Author Contributions
Funding
Acknowledgments
Conflicts of Interest
References
- Small, D.M.; Prescott, J. Odor/taste integration and the perception of flavor. Exp. Brain Res. 2005, 166, 345–357. [Google Scholar] [CrossRef]
- Prescott, J. Chemosensory learning and flavour: Perception, preference and intake. Physiol. Behav. 2012, 107, 553–559. [Google Scholar] [CrossRef]
- Noble, A.C. Taste-aroma interactions. Trends Food Sci. Technol. 1996, 7, 439–444. [Google Scholar] [CrossRef]
- Chironi, S.; Ingrassia, M. Wine label design as a strategic tool to attract consumers: A marketing study on Sicilian wine positioning work. Riv. di Econ. Agrar. 2013, 1, 7–21. [Google Scholar] [CrossRef]
- Vecchio, R.; Lisanti, M.T.; Caracciolo, F.; Cembalo, L.; Gambuti, A.; Moio, L.; Siani, T.; Marotta, G.; Nazzaro, C.; Piombino, P. The role of production process and information on quality expectations and perceptions of sparkling wines. J. Sci. Food Agric. 2019, 99, 124–135. [Google Scholar] [CrossRef] [PubMed]
- Peynaud, E. The Taste of Wine: The Art and Science of Wine Appreciation; Macdonald Orbis: London, UK, 1987. [Google Scholar]
- Charters, S.; Pettigrew, S. The dimensions of wine quality. Food Qual. Prefer. 2007, 18, 997–1007. [Google Scholar] [CrossRef]
- Sáenz-Navajas, M.P.; Avizcuri, J.M.; Echávarri, J.F.; Ferreira, V.; Fernández-Zurbano, P.; Valentin, D. Understanding quality judgements of red wines by experts: Effect of evaluation condition. Food Qual. Prefer. 2016, 48, 216–227. [Google Scholar] [CrossRef]
- Li, H. Wine Tasting; China Science Press: Beijing, China, 2006. [Google Scholar]
- Guth, H. Quantitation and sensory studies of character impact odorants of different white wine varieties. J. Agric. Food Chem. 1997, 45, 3027–3032. [Google Scholar] [CrossRef]
- Bate-Smith, E.C. Astringency in foods. Food Process. Packag. 1954, 23, 124–127. [Google Scholar]
- Chen, J.; Engelen, L. Food Oral Processing: Fundamentals of Eating and Sensory Perception; Wiley-Blackwell; John Wiley & Sons Ltd.: Chichester, UK, 2012. [Google Scholar]
- Jiang, Y.; Gong, N.N.; Matsunami, H. Astringency: A more stringent definition. Chem. Senses 2014, 39, 467–469. [Google Scholar] [CrossRef]
- Schöbel, N.; Radtke, D.; Kyereme, J.; Wollmann, N.; Cichy, A.; Obst, K.; Hatt, H. Astringency is a trigeminal sensation that involves the activation of G protein-coupled signaling by phenolic compounds. Chem. Senses 2014, 39, 71–487. [Google Scholar] [CrossRef] [PubMed]
- Bate-Smith, E.C. Haemanalysis of tannins, the concept of relative astringency. Phytochemistry 1973, 12, 907–912. [Google Scholar] [CrossRef]
- Kallithraka, S.; Bakker, J.; Clifford, M.N. Evidence that salivary proteins are involved in astringency. J. Sens. Stud. 1998, 13, 29–43. [Google Scholar] [CrossRef]
- Soares, S.; Vitorino, R.; Osório, H.; Fernandes, A.; Venâncio, A.; Mateus, N.; Amado, F.; de Freitas, V. Reactivity of human salivary proteins families toward food polyphenols. J. Agric. Food Chem. 2011, 59, 5535–5547. [Google Scholar] [CrossRef] [PubMed]
- Soares, S.; Brandão, E.; Mateus, N.; de Freitas, V. Sensorial properties of red wine polyphenols: Astringency and bitterness. Crit. Rev. Food Sci. Nutr. 2017, 57, 937–948. [Google Scholar] [CrossRef]
- Gawel, R.; Oberholster, A.; Francis, I.L. A “Mouth-feel Wheel”: Terminology for communicating the mouth feel characteristics of red wine. Aust. J. Grape Wine Res. 2000, 6, 203–207. [Google Scholar] [CrossRef]
- Perez-Jiménez, M.; Chaya, C.; Pozo-Bayón, M.Á. Individual differences and effect of phenolic compounds in the immediate and prolonged in-mouth aroma release and retronasal aroma intensity during wine tasting. Food Chem. 2019, 285, 147–155. [Google Scholar] [CrossRef]
- Fontoin, H.; Saucier, C.; Teissedre, P.L.; GLories, Y. Effect of pH, ethanol and acidity on astringency and bitterness of grape seed tannin oligomers in model wine solution. Food Qual. Prefer. 2008, 19, 286–291. [Google Scholar] [CrossRef]
- Watrelot, A.A.; Kuhl, T.L.; Waterhouse, A.L. Friction forces of saliva and red wine on hydrophobic and hydrophilic surfaces. Food Res. Int. 2018, 116, 1041–1046. [Google Scholar] [CrossRef]
- Hort, J.; Hollowood, T.A. Controlled continuous flow delivery system for investigating taste–aroma interactions. J. Agric. Food Chem. 2004, 52, 4834–4843. [Google Scholar] [CrossRef]
- Sáenz-Navajas, M.P.; Campo, E.; Avizcuri, J.M.; Valentin, D.; Fernández-Zurbano, P.; Ferreira, V. Contribution of non-volatile and aroma fractions to in-mouth sensory properties of red wines: Wine reconstitution strategies and sensory sorting task. Anal. Chim. Acta 2012, 732, 64–72. [Google Scholar] [CrossRef] [PubMed]
- De la Fuente-Blanco, A.; Sáenz-Navajas, M.P.; Ferreira, V. Levels of higher alcohols inducing aroma changes and modulating experts’ preferences in wine model solutions. Aust. J. Grape Wine Res. 2016, 23, 162–169. [Google Scholar] [CrossRef]
- Cameleyre, M.; Lytra, G.; Barbe, J.C. Static headspace analysis using low-pressure gas chromatography and mass spectrometry, application to determining multiple partition coefficients: A practical tool for understanding red wine fruity volatile perception and the sensory impact of higher alcohols. Anal. Chem. 2018, 90, 10812–10818. [Google Scholar] [CrossRef] [PubMed]
- Sereni, A.; Osborne, J.; Tomasino, E. Exploring retro-nasal aroma’s influence on mouthfeel perception of Chardonnay wines. Beverages 2016, 2, 7. [Google Scholar] [CrossRef]
- Niimi, J.; Eddy, A.I.; Overington, A.R.; Heenan, S.P.; Silcock, P.; Bremer, P.J.; Delahunty, C.M. Aroma–taste interactions between a model cheese aroma and five basic tastes in solution. Food Qual. Prefer. 2014, 31, 1–9. [Google Scholar] [CrossRef]
- Symoneaux, R.; Guichard, H.; Le Quéré, J.M.; Baron, A.; Chollet, S. Could cider aroma modify cider mouthfeel properties? Food Qual. Prefer. 2015, 45, 11–17. [Google Scholar] [CrossRef]
- Labbe, D.; Damevin, L.; Vaccher, C.; Morgenegg, C.; Martin, N. Modulation of perceived taste by olfaction in familiar and unfamiliar beverages. Food Qual. Prefer. 2006, 17, 582–589. [Google Scholar] [CrossRef]
- Tournier, C.; Sulmont-Rosse, C.; Semone, E.; Issanchou, S.; Guichard, E. A study on texture-taste-aroma interactions: Physico-chemical and cognitive mechanisms. Int. Dairy J. 2009, 19, 450–458. [Google Scholar] [CrossRef]
- Caporale, G.; Policastro, S.; Monteleone, E. Bitterness enhancement induced by cut grass odorant (cis-3-hexen-l-ol) in a model olive oil. Food Qual. Prefer. 2004, 15, 219–227. [Google Scholar] [CrossRef]
- Saint-Eve, A.; Paci Kora, E.; Martin, N. Impact of the olfactory quality and chemical complexity of the flavouring agent on the texture of low fat stirred yogurts assessed by three different sensory methodologies. Food Qual. Prefer. 2004, 15, 655–668. [Google Scholar] [CrossRef]
- Poinot, P.; Arvisenet, G.; Ledauphin, J.; Gaillard, J.L.; Prost, C. How can aroma–related cross–modal interactions be analysed? A review of current methodologies. Food Qual. Prefer. 2013, 28, 304–316. [Google Scholar] [CrossRef]
- Sáenz-Navajas, M.P.; Campo, E.; Fernández-Zurbano, P.; Valentin, D.; Ferreira, V. An assessment of the effects of wine volatiles on the perception of taste and astringency in wine. Food Chem. 2010, 121, 1139–1149. [Google Scholar] [CrossRef]
- Sáenz-Navajas, M.P.; Arias, I.; Ferrero-del-Teso, S.; Fernández-Zurbano, P.; Escudero, A.; Ferreira, V. Chemo-sensory approach for the identification of chemical compounds driving green character in red wines. Food Res. Int. 2018, 109, 138–148. [Google Scholar] [CrossRef] [PubMed]
- Ferrer-Gallego, R.; Hernández-Hierro, J.M.; Rivas-Gonzalo, J.C.; Escribano-Bailón, M.T. Sensory evaluation of bitterness and astringency sub-qualities of wine phenolic compounds: Synergistic effect and modulation by odours. Food Res. Int. 2014, 62, 1100–1107. [Google Scholar] [CrossRef]
- Sáenz-Navajas, M.P.; Ferrero-del-Teso, S.; Jeffery, D.W.; Ferreira, V.; Fernández-Zurbano, P. Effect of aroma perception on taste and mouthfeel dimensions of red wines: Correlation of sensory and chemical measurements. Food Res. Int. 2020, 131, 108945. [Google Scholar] [CrossRef]
- De-la-Fuente-Blanco, A.; Fernández-Zurbano, P.; Valentin, D.; Ferreira, V.; Sáenz-Navajas, M.P. Cross-modal interactions and effects of the level of expertise on the perception of bitterness and astringency of red wine. Food Qual. Prefer. 2017, 62, 155–161. [Google Scholar] [CrossRef]
- Piombino, P.; Pittari, E.; Gambuti, A.; Curioni, A.; Giacosa, S.; Mattivi, F.; Parpinello, G.P.; Rolle, L.; Ugliano, M.; Moio, L. Preliminary sensory characterisation of the diverse astringency of single cultivar Italian red wines and correlation of sub-qualities with chemical composition. Aust. J. Grape Wine Res. 2020, 26, 233–246, and references therein. [Google Scholar] [CrossRef]
- Saenz-Navajas, M.P.; Campo, E.; Cullere, L.; Fernandez-Zurbano, P.; Valentin, D.; Ferreira, V. Effects of the nonvolatile matrix on the aroma perception of wine. J. Agric. Food Chem. 2010, 58, 5574–5585. [Google Scholar] [CrossRef]
- Muñoz-González, C.; Feron, G.; Guichard, E.; Rodríguez-Bencomo, J.J.; Martín-Álvarez, P.J.; Moreno-Arribas, M.V.; Pozo-Bayón, M.A. Understanding the Role of Saliva in Odour Release from Wine by Using Static and Dynamic Headspace Conditions. J. Agric. Food Chem. 2014, 62, 8274–8288. [Google Scholar] [CrossRef]
- Lytra, G.; Tempere, S.; de Revel, G.; Barbe, J.C. Impact of Perceptive Interactions on Red Wine Fruity Aroma. J. Agric. Food Chem. 2012, 60, 12260–12269. [Google Scholar] [CrossRef]
- Noble, A.C.; Arnold, R.A.; Buechsenstein, J.; Leach, E.J.; Schmidt, J.O.; Stern, P.M. Modification of a standardised system of wine aroma terminology. Am. J. Enol. Vitic. 1987, 38, 143–146. [Google Scholar]
- ISO. 3951. Sensory Analysis—Apparatus—Wine-Tasting Glass; International Organization for Standardization: Geneva, Switzerland, 1997. [Google Scholar]
- ISO. 8589. Sensory Analysis—General Guidance for the Design of Test Rooms; International Organization for Standardization: Geneva, Switzerland, 2007. [Google Scholar]
- Rodríguez-Bencomo, J.J.; Muñoz-González, C.; Andújar-Ortiz, I.; Martín-Álvarez, P.J.; Moreno-Arribas, M.V.; Pozo-Bayón, M.A. Assessment of the effect of the non-volatile wine matrix on the volatility of typical wine aroma compounds by headspace solid phase microextraction/gas chromatography analysis. J. Agric. Food Chem. 2011, 91, 2484–2494. [Google Scholar] [CrossRef]
- ISO. 4120. Sensory Analysis—Methodology—Triangle Test; International Organization for Standardization: Geneva, Switzerland, 2004. [Google Scholar]
- Genovese, A.; Dimaggio, R.; Lisanti, M.T.; Piombino, P.; Moio, L. Aroma composition of red wines by different extraction methods and gas chromatography SIM/mass spectrometry analysis. Ann. Chim. 2005, 95, 383–394. [Google Scholar] [CrossRef] [PubMed]
- Piombino, P.; Genovese, A.; Gambuti, A.; Lamorte, S.A.; Lisanti, M.T.; Moio, L. Effects of off-vine bunches shading and cryomaceration on free and glycosilated flavours of Malvasia delle Lipari wine. Int. J. Food Sci. Technol. 2010, 45, 234–244. [Google Scholar] [CrossRef]
- Piombino, P.; Moio, L.; Genovese, A. Orthonasal vs. retronasal: Studying how volatiles’ hydrophobicity and matrix composition modulate the release of wine odorants in simulated conditions. Food Res. Int. 2019, 116, 548–558. [Google Scholar] [CrossRef] [PubMed]
- Organisation Internationale de la Vigne et du Vin. Compendium of International Methods of Must and Wine Analysis; Organisation Internationale de la Vigne et du Vin: Paris, France, 2015. [Google Scholar]
- Singleton, V.L.; Orthofer, R.; Lamuela-Raventós, R.M. Analysis of total phenols and other oxidation substrates and antioxidants by means of Folin-Ciocalteu reagent. Methods Enzymol. 1999, 299, 152–178. [Google Scholar] [CrossRef]
- Di Stefano, R.; Cravero, M.C.; Gentilini, N. Metodi per lo studio dei polifenoli dei vini. L’Enotecnico 1989, 25, 83–89. [Google Scholar]
- Torchio, F.; Cagnasso, E.; Gerbi, V.; Rolle, L. Mechanical properties, phenolic composition and extractability indices of Barbera grapes of different soluble solids contents from several growing areas. Anal. Chim. Acta 2010, 660, 183–189. [Google Scholar] [CrossRef]
- Vidal, L.; Antúnez, L.; Giménez, A.; Medina, K.; Boido, E.; Ares, G. Dynamic characterization of red wine astringency: Case study with Uruguayan Tannat wines. Food Res. Int. 2016, 82, 128–135. [Google Scholar] [CrossRef]
- Stalikas, C.D. Extraction, separation, and detection methods for phenolic acids and flavonoids. J. Sep. Sci. 2007, 30, 3268–3295. [Google Scholar] [CrossRef]
- Luo, H.; Schmid, F.; Grbin, P.R.; Jiranek, V. Viability of common wine spoilage organisms after exposure to high power ultrasonics. Ultrason. Sonochem. 2010, 19, 415–420. [Google Scholar] [CrossRef] [PubMed]
- García Martín, J.F.; Sun, D.W. Ultrasound and electric fields as novel techniques for assisting the wine ageing process: The state-of-the-art research. Trends Food Sci. Technol. 2013, 33, 40–53. [Google Scholar] [CrossRef]
- Liu, L.; Loira, I.; Morata, A.; Suárez-Lepe, J.A.; González, M.C.; Rauhut, D. Shortening the ageing on lees process in wines by using ultrasound and microwave treatments both combined with stirring and abrasion techniques. Eur. Food Res. Technol. 2016, 242, 559–569. [Google Scholar] [CrossRef]
- Zhang, Q.A.; Shen, Y.; Fan, X.H.; García-Martín, J.F. Preliminary study of the effect of ultrasound on physicochemical properties of red wine. CyTA J. Food 2016, 14, 55–64. [Google Scholar] [CrossRef]
- Bonaldo, F.; Guella, G.; Mattivi, F.; Catorci, D.; Arapitsas, P. Kinetic investigations of sulfite addition to flavanols. Sci. Rep. 2020, 10, 12792. [Google Scholar] [CrossRef] [PubMed]
- Celotti, E.; Stante, S.; Ferraretto, P.; Román, T.; Nicolini, G.; Natolino, A. High Power Ultrasound Treatments of Red Young Wines: Effect on Anthocyanins and Phenolic Stability Indices. Foods 2020, 9, 1344. [Google Scholar] [CrossRef]
- Slaghenaufi, D.; Ugliano, M. Norisoprenoids, sesquiterpenes and terpenoids content of Valpolicella wines during aging: Investigating aroma potential in relationship to evolution of tobacco and balsamic aroma in aged wine. Front. Chem. 2018, 6, 66. [Google Scholar] [CrossRef]
- Paronetto, L.; Dellaglio, F. Amarone: A modern wine coming from an ancient production technology. Adv. Food Nutr. Res. 2011, 63, 285–306. [Google Scholar] [CrossRef]
- Vidal, L.; Antúnez, L.; Giménez, A.; Medina, K.; Boido, E.; Ares, G. Sensory characterization of the astringency of commercial Uruguayan Tannat wines. Food Res. Int. 2017, 102, 425–434. [Google Scholar] [CrossRef]
- Vidal, L.; Giménez, A.; Medina, K.; Boido, E.; Ares, G. How do consumers describe wine astringency? Food Res. Int. 2015, 78, 321–326. [Google Scholar] [CrossRef]
- Hufnagel, J.C.; Hofmann, T. Quantitative reconstruction of the nonvolatile sensometabolome of a red wine. J. Agric. Food Chem. 2008, 56, 9190–9199. [Google Scholar] [CrossRef]
- Boulet, J.C.; Trarieux, C.; Souquet, J.M.; Ducasse, M.A.; Caillé, S.; Samson, A.; Williams, P.; Doco, T.; Cheynier, V. Models based on ultraviolet spectroscopy, polyphenols, oligosaccharides and polysaccharides for prediction of wine astringency. Food Chem. 2016, 190, 357–363. [Google Scholar] [CrossRef] [PubMed]
- Ferrer-Gallego, R.; Rui, G.; Rivas-Gonzalo, J.C.; Escribano-Bailóna, M.T. Interaction of phenolic compounds with bovine serum albumin (BSA) and α-amylase and their relationship to astringency perception. Food Chem. 2012, 135, 651–658. [Google Scholar] [CrossRef]
- Vidal, L.; Antúnez, L.; Rodríguez-Haralambides, A.; Giménez, A.; Medina, K.; Boido, E.; Ares, G. Relationship between astringency and phenolic composition of commercial Uruguayan Tannat wines: Application of boosted regression trees. Food Res. Int. 2018, 112, 25–37. [Google Scholar] [CrossRef]
- Arapitsas, P.; Ugliano, M.; Marangon, M.; Piombino, P.; Rolle, L.; Gerbi, V.; Versari, A.; Mattivi, F. Use of untargeted Liquid Chromatography–Mass Spectrometry metabolome to discriminate Italian monovarietal red wines, produced in their different terroirs. J. Agric. Food Chem. 2020. [Google Scholar] [CrossRef]
- Parpinello, G.P.; Ricci, A.; Arapitsas, P.; Curioni, A.; Moio, L.; Segade, S.R.; Ugliano, M.; Versari, A. Multivariate characterisation of Italian monovarietal red wines using MIR spectroscopy. OENO One 2019, 4, 741–751. [Google Scholar] [CrossRef]



| Reference Compounds | Concentration (µg/L) 1 | Consensual Descriptors 2 | Descriptors 3 |
|---|---|---|---|
| 2-phenylethanol | 159.0 | Floral, rose | Floral, rose, dried rose |
| Citral | 76.8 | Terpenic, citric, fruity | Sharp, lemon, sweet |
| linalool | 14.3 | Terpenic, floral | Citrus, floral, sweet, bois de rose, woody, green, blueberry |
| 1-octen-3-one | 1.7 | Mushroom, earth, musk, vegetal | Herbal, mushroom, earthy, musty, dirty |
| cis-3-hexen-1-ol | 157.5 | Herbaceous, green, vegetal | Fresh, green, grassy, foliage, vegetable, herbal, oily |
| ethyl butyrate | 27.7 | Fruity | Fruity, juicy, fruity, pineapple, cognac |
| damascenone | 14.4 | Apple pie, baked apple | Natural, sweet, fruity, rose, plum, grape, raspberry, sugar |
| benzaldehyde | 696.6 | Bitter almond | Sharp, sweet, bitter almond, cherry |
| isoamyl acetate | 10.4 | Fruity, banana | Sweet, fruity, banana, solvent |
| gamma-dodecalactone | 20.8 | Dehydrated peach/apricot | Fatty, peach, sweet, metallic, fruity |
| Sotolone | 2.0 | Fenugreek, fennel, liquorice, nut, raisins | Sweet, caramellic, maple, sugar, burnt sugar, coffee |
| 4-ethylguaiacol | 118.2 | Phenolic, smoked, woody | Spicy, smoky, bacon, phenolic, clove |
| 4-ethylphenol | 21 | Phenolic, horse sweat | Phenolic, castoreum, smoky, guaiacol |
| Eucalyptol | 30.1 | Eucalyptol, balsamic | Eucalyptus, herbal, medicinal |
| Furaneol | 7.0 | Cotton candy, caramel, backed, toasted | Sweet, cotton candy, caramellic, strawberry, sugar, |
| ethyl caproate | 35.4 | Fruity, pineapple | Sweet, fruity, pineapple, waxy, green banana |
| Eugenol | 30.9 | Cloves, spicy | Sweet, spicy, clove, woody |
| Citronellol | 48.0 | Terpenic, floral | Floral, leathery, waxy, rose, citrus |
| phenylacetaldehyde | 11.1 | Honey, beeswax, fruity | Green, sweet, floral, hyacinth, clover, honey, cocoa |
| furfuryl acetate | 79.7 | Fruity, banana, sweet | Sweet, fruity, banana, horseradish |
| 2,4,6-trichloroanisole | 11.7 | Cork taint | - |
| 2-methyl-1-propanol | 668 | Amylic, chemical, grappa | Ethereal, winey |
| methanethiol | 46.8 | Garlic, sulfurous, vegetable | Sulfurous, onion, sweet, soup, vegetable |
| Ethanol | 4.0 g/L | Alcoholic, ethereal, sharp | Strong, alcoholic, ethereal, medical |
| Oral Descriptor | Model | Grape Variety | Perception Modality | Perception Modality*Grape Variety | ||||
|---|---|---|---|---|---|---|---|---|
| F | p | F | p | F | p | F | p | |
| Drying | 15.488 | <0.0001 | 14.557 | <0.0001 | 0.191 | 0.662 | 1.438 | 0.157 |
| Harsh | 10.697 | <0.0001 | 11.253 | <0.0001 | 6.534 | 0.011 | 0.575 | 0.836 |
| Unripe | 11.541 | <0.0001 | 6.744 | <0.0001 | 11.293 | 0.001 | 2.046 | 0.026 |
| Dynamic | 10.241 | <0.0001 | 16.396 | <0.0001 | 11.001 | 0.001 | 1.976 | 0.032 |
| Particulate/powder | 5.858 | <0.0001 | 1.064 | 0.387 | 2.567 | 0.109 | 0.891 | 0.541 |
| Complex | 12.593 | <0.0001 | 3.658 | <0.0001 | 54.233 | <0.0001 | 1.368 | 0.189 |
| Surface smoothness/velvet | 7.881 | <0.0001 | 10.517 | <0.0001 | 4.313 | 0.038 | 0.807 | 0.622 |
| Sweet | 6.277 | <0.0001 | 5.112 | <0.0001 | 8.710 | 0.003 | 0.397 | 0.948 |
| Sour | 6.913 | <0.0001 | 16.876 | <0.0001 | 0.002 | 0.963 | 0.911 | 0.522 |
| Bitter | 7.915 | <0.0001 | 10.126 | <0.0001 | 13.342 | 0.000 | 1.149 | 0.321 |
| Olfactory Descriptor | Model | Grape Variety | ||
|---|---|---|---|---|
| F | p | F | p | |
| Fruity | 11.779 | <0.0001 | 2.663 | 0.003 |
| Dehydrated fruits | 5.621 | <0.0001 | 3.674 | <0.0001 |
| Dried fruits (nuts) | 2.836 | <0.0001 | 1.824 | 0.052 |
| Floral | 13.841 | <0.0001 | 3.787 | <0.0001 |
| Vegetal | 4.757 | <0.0001 | 6.862 | <0.0001 |
| Spicy | 6.549 | <0.0001 | 2.478 | 0.006 |
| Toasted | 4.975 | <0.0001 | 2.450 | 0.007 |
| Woody | 6.406 | <0.0001 | 1.166 | 0.310 |
| Earthy | 1.903 | 0.006 | 1.679 | 0.081 |
| Alcoholic | 2.680 | <0.0001 | 1.883 | 0.044 |
| Off-flavour | 5.766 | <0.0001 | 4.508 | <0.0001 |
| Parameter | Mean | Minimum | Maximum |
|---|---|---|---|
| Ethanol (% v/v) | 13.89 | 11.42 | 16.62 |
| Reducing sugars (g/L) | 2.64 | 1.10 | 20.10 |
| Titratable acidity (g tartaric acid/L) | 5.75 | 3.99 | 9.99 |
| pH | 3.55 | 3.07 | 4.10 |
| Total phenols (Folin-Ciocalteu) (mg (+)-catechin/L) | 2354.46 | 703.59 | 5448.55 |
| Proanthocyanidins (mg cyanidin chloride/L) | 3364.80 | 627.75 | 6312.37 |
| Variables | Drying | Harsh | Unripe | Dynamic | Complex | Surface Smoothness | Particulate | |||||||
|---|---|---|---|---|---|---|---|---|---|---|---|---|---|---|
| WW | DW | WW | DW | WW | DW | WW | DW | WW | DW | WW | DW | WW | DW | |
| Drying | 1 | 1 | 0.391 | 0.440 | −0.245 | 0.001 | 0.623 | 0.642 | −0.278 | −0.470 | −0.651 | −0.629 | 0.060 | 0.290 |
| Harsh | 0.391 | 0.440 | 1 | 1 | −0.350 | −0.230 | 0.285 | 0.590 | −0.261 | −0.344 | −0.341 | −0.406 | 0.253 | 0.260 |
| Unripe | −0.245 | 0.001 | −0.350 | −0.230 | 1 | 1 | −0.289 | −0.130 | 0.001 | −0.232 | 0.044 | −0.204 | −0.259 | −0.073 |
| Dynamic | 0.623 | 0.642 | 0.285 | 0.590 | −0.289 | −0.130 | 1 | 1 | −0.372 | −0.501 | −0.473 | −0.465 | 0.140 | 0.238 |
| Complex | −0.278 | −0.470 | −0.261 | −0.344 | 0.001 | −0.232 | −0.372 | −0.501 | 1 | 1 | 0.268 | 0.590 | −0.182 | −0.232 |
| Surface smoothness | −0.651 | −0.629 | −0.341 | −0.406 | 0.044 | −0.204 | −0.473 | −0.465 | 0.268 | 0.590 | 1 | 1 | −0.155 | −0.376 |
| Particulate | 0.060 | 0.290 | 0.253 | 0.260 | −0.259 | −0.073 | 0.140 | 0.238 | −0.182 | −0.232 | −0.155 | −0.376 | 1 | 1 |
| Sweet | −0.056 | −0.137 | −0.077 | −0.181 | −0.313 | −0.353 | −0.114 | −0.013 | 0.355 | 0.252 | 0.289 | 0.293 | 0.110 | 0.071 |
| Sour | −0.197 | −0.137 | −0.597 | −0.526 | 0.538 | 0.597 | −0.043 | −0.284 | −0.095 | −0.001 | −0.009 | −0.005 | −0.173 | −0.195 |
| Bitter | 0.306 | 0.366 | 0.754 | 0.785 | −0.237 | −0.295 | 0.130 | 0.451 | −0.197 | −0.259 | −0.187 | −0.288 | 0.080 | 0.304 |
| Total phenols (Folin-Ciocalteu) (mg/L) | 0.469 | 0.622 | 0.284 | 0.506 | −0.189 | 0.166 | 0.240 | 0.599 | −0.170 | −0.375 | −0.292 | −0.414 | 0.238 | 0.318 |
| Total proanthocyanidins(mg/L) | 0.561 | 0.703 | 0.297 | 0.577 | −0.279 | 0.110 | 0.304 | 0.737 | −0.207 | −0.427 | −0.304 | −0.569 | 0.163 | 0.295 |
| Ethanol (% v/v) | 0.394 | 0.476 | 0.262 | 0.396 | −0.264 | −0.137 | 0.094 | 0.461 | 0.016 | −0.051 | −0.178 | −0.171 | 0.069 | 0.129 |
| Reducing sugars (g/L) | −0.013 | −0.014 | −0.015 | −0.165 | 0.059 | 0.055 | −0.057 | −0.017 | 0.206 | 0.125 | 0.043 | 0.196 | 0.109 | −0.055 |
| pH | −0.010 | −0.010 | 0.335 | 0.466 | −0.274 | −0.376 | −0.023 | 0.166 | 0.024 | 0.165 | −0.071 | 0.106 | 0.134 | 0.055 |
| TA (g tartaric acid/L) | 0.084 | 0.163 | −0.248 | −0.313 | 0.258 | 0.493 | 0.080 | −0.066 | −0.041 | −0.186 | 0.033 | −0.197 | −0.032 | 0.025 |
| VA (g acetic acid/L) | 0.193 | 0.361 | 0.201 | 0.447 | −0.067 | −0.158 | 0.215 | 0.413 | −0.156 | −0.198 | −0.056 | −0.165 | 0.051 | 0.086 |
| Variables | Sweet | Sour | Bitter | |||
|---|---|---|---|---|---|---|
| WW | DW | WW | DW | WW | DW | |
| Drying | −0.056 | −0.137 | −0.197 | −0.137 | 0.306 | 0.366 |
| Harsh | −0.077 | −0.181 | −0.597 | −0.526 | 0.754 | 0.785 |
| Unripe | −0.313 | −0.353 | 0.538 | 0.597 | −0.237 | −0.295 |
| Dynamic | −0.114 | −0.013 | −0.043 | −0.284 | 0.130 | 0.451 |
| Complex | 0.355 | 0.252 | −0.095 | −0.001 | −0.197 | −0.259 |
| Surface smoothness | 0.289 | 0.293 | −0.009 | −0.005 | −0.187 | −0.288 |
| Particulate | 0.110 | 0.071 | −0.173 | −0.195 | 0.080 | 0.304 |
| Sweet | 1 | 1 | −0.277 | −0.398 | −0.243 | −0.131 |
| Sour | −0.277 | −0.398 | 1 | 1 | −0.668 | −0.716 |
| Bitter | −0.243 | −0.131 | −0.668 | −0.716 | 1 | 1 |
| Total phenols (Folin-Ciocalteu) (mg/L) | −0.043 | −0.118 | −0.089 | −0.179 | 0.168 | 0.471 |
| Total proanthocyanidins (mg/L) | −0.067 | −0.163 | −0.102 | −0.189 | 0.198 | 0.498 |
| Ethanol (% v/v) | 0.036 | 0.173 | −0.210 | −0.331 | 0.167 | 0.327 |
| Reducing sugars (g/L) | 0.099 | 0.595 | −0.016 | −0.079 | 0.019 | −0.161 |
| pH | −0.022 | 0.135 | −0.508 | −0.656 | 0.371 | 0.529 |
| TA (g tartaric acid/L) | −0.058 | −0.115 | 0.459 | 0.621 | −0.276 | −0.424 |
| VA (g acetic acid/L) | −0.089 | 0.032 | 0.000 | −0.359 | 0.145 | 0.435 |
Publisher’s Note: MDPI stays neutral with regard to jurisdictional claims in published maps and institutional affiliations. |
© 2020 by the authors. Licensee MDPI, Basel, Switzerland. This article is an open access article distributed under the terms and conditions of the Creative Commons Attribution (CC BY) license (http://creativecommons.org/licenses/by/4.0/).
Share and Cite
Pittari, E.; Moio, L.; Arapitsas, P.; Curioni, A.; Gerbi, V.; Parpinello, G.P.; Ugliano, M.; Piombino, P. Exploring Olfactory–Oral Cross-Modal Interactions through Sensory and Chemical Characteristics of Italian Red Wines. Foods 2020, 9, 1530. https://doi.org/10.3390/foods9111530
Pittari E, Moio L, Arapitsas P, Curioni A, Gerbi V, Parpinello GP, Ugliano M, Piombino P. Exploring Olfactory–Oral Cross-Modal Interactions through Sensory and Chemical Characteristics of Italian Red Wines. Foods. 2020; 9(11):1530. https://doi.org/10.3390/foods9111530
Chicago/Turabian StylePittari, Elisabetta, Luigi Moio, Panagiotis Arapitsas, Andrea Curioni, Vincenzo Gerbi, Giuseppina Paola Parpinello, Maurizio Ugliano, and Paola Piombino. 2020. "Exploring Olfactory–Oral Cross-Modal Interactions through Sensory and Chemical Characteristics of Italian Red Wines" Foods 9, no. 11: 1530. https://doi.org/10.3390/foods9111530
APA StylePittari, E., Moio, L., Arapitsas, P., Curioni, A., Gerbi, V., Parpinello, G. P., Ugliano, M., & Piombino, P. (2020). Exploring Olfactory–Oral Cross-Modal Interactions through Sensory and Chemical Characteristics of Italian Red Wines. Foods, 9(11), 1530. https://doi.org/10.3390/foods9111530

