Next Article in Journal
Impact of Milk Fortification on the Microbiological and Physicochemical Properties of Set-Type Skimmed Yoghurt Using Three Commercial Soluble Prebiotics
Previous Article in Journal
Untargeted Metabolomics to Evaluate the Stability of Extra-Virgin Olive Oil with Added Lycium barbarum Carotenoids during Storage
Previous Article in Special Issue
Fractionation of Glycomacropeptide from Whey Using Positively Charged Ultrafiltration Membranes
 
 
Font Type:
Arial Georgia Verdana
Font Size:
Aa Aa Aa
Line Spacing:
Column Width:
Background:
Article

Milk Protein Fractionation by Means of Spiral-Wound Microfiltration Membranes: Effect of the Pressure Adjustment Mode and Temperature on Flux and Protein Permeation

by
Martin Hartinger
1,*,
Hans-Jürgen Heidebrecht
1,
Simon Schiffer
1,
Joseph Dumpler
1,2 and
Ulrich Kulozik
1
1
Chair of Food and Bioprocess Engineering, Technical University of Munich, 85354 Freising, Germany
2
Department of Food Science, Cornell University, Ithaca, NY 14853-5701, USA
*
Author to whom correspondence should be addressed.
Foods 2019, 8(6), 180; https://doi.org/10.3390/foods8060180
Submission received: 10 May 2019 / Revised: 20 May 2019 / Accepted: 24 May 2019 / Published: 28 May 2019
(This article belongs to the Special Issue Membrane Processing Technology in the Food Industry)

Abstract

Protein fractionation by means of microfiltration (MF) is significantly affected by fouling, especially when spiral-wound membranes (SWMs) are used. We investigated the influence of the mode of transmembrane pressure (ΔpTM) increase to target level and the deposit layer pressure history on the filtration performance during skim milk MF at temperatures of 10 °C and 50 °C. Two filtration protocols were established: No. 1: ΔpTM was set directly to various target values. No. 2: Starting from a low ΔpTM, we increased and subsequently decreased ΔpTM stepwise. The comparison of both protocols tested the effect of the mode of ΔpTM increase to target level. The latter protocol alone tested the effect of the deposit layer history with regard to the ΔpTM. As expected, flux and protein permeation were both found to be functions of the ΔpTM. Further, both measures were independent of the filtration protocol as long as ΔpTM was held at a constant level or, as part of protocol No. 2, ΔpTM was increased. Thus, we can state that the mode of ΔpTM increase to target level does not affect filtration performance in SWM. We found that after completion of a full cycle of stepping ΔpTM up from 0.5 bar to 3.0 bar and back down, flux and deposit layer resistance were not affected by the deposit layer history at 10 °C, but they were at 50 °C. Protein permeation, however, was lower for both 10 °C and 50 °C, when the ΔpTM cycle was completed. The processing history had a significant impact on filtration performance due to remaining structural compression effects in the deposited layer, which occur most notably at higher temperatures. Furthermore, temperatures of 50 °C lead to deposit layer aging, which is probably due to an enhanced crosslinking of particles in the deposit layer. Apart from that, we could show that fouling resistance does not directly correlate with protein permeation during skim milk MF using SWM.

1. Introduction

Microfiltration (MF) applied for milk protein fractionation has been established as a standard operation in the dairy industry in the last years. Polymeric spiral-wound membranes (SWM) are much less commonly used, but are developing as an emerging alternative to ceramic and polymeric tubular membranes. As shown by Le Berre and Daufin [1] for skim milk MF with ceramic membranes and by Beckman et al. [2], Beckman and Barbano [3], and Zulewska and Barbano [4] for polymeric membranes, flux and whey protein permeation through the membrane are seriously affected by fouling due to protein deposition. It is known that higher levels of transmembrane pressure (ΔpTM) induce compression of deposited protein layers. However, what remains unclear is whether, or to what extent, the pressure adjustment scheme, i.e., the mode of ΔpTM adjustment to target level, affects MF flux and protein permeation. A stepwise increase or decrease of ΔpTM creates a different situation in terms of processing history, possibly affecting the deposit’s structural properties. Furthermore, long-term continuous operations (of around 6–24 h) between two membrane cleaning cycles also create aging effects related to the processing history, especially when higher temperatures, i.e., around 50 °C, are compared to lower temperatures, i.e., around 10 °C. It can be expected that structural time-dependent modifications of the deposited layer occur at higher temperatures due to more intense interactions between particles in the deposit layer.
At the moment of changing from water flowing through the clean membrane to milk, the initial flux is high. No deposit has formed on the membrane surface at this stage. Therefore, protein particles, casein micelles and whey proteins, are transported at a high rate toward the MF membrane surface and penetrate partially into the membrane´s still-open pores. Hence, pore blocking and deposit layer formation can occur rapidly [5]. In skim milk filtration at 50 °C using SWM with a pore size of 0.3 µm, Zulewska et al. [4] reported a high casein permeation within the first few minutes of filtration that then decreased quickly. They supposed that internal pore blocking would take place as the initial fouling mechanism prior to deposit layer formation on the membrane´s surface. Since the initial flux is significantly higher than the flux at steady-state conditions [6], mass transfer to the membrane surface is enhanced when the membrane has just been put in operation after the cleaning stage. Beckman and Barbano [3] stated that concentration polarization is distinct at a filtration temperature of 50 °C, resulting in a gel layer formed by the retained proteins, especially at higher concentration factors (CF). These authors also stated that pore blocking would be the main fouling contributor, when the initial deposit layer formation is less pronounced, i.e., at a lower CF. Pore blocking was associated with a lower whey protein permeation as compared to deposit layer formation on the membrane surface. However, the effect of the initial fouling has not been tested experimentally in SWM during MF yet.
The initial fouling should be related to the mode of ΔpTM increase to target level. Gésan-Guiziou et al. [7], however, found no difference in flux or protein permeation, irrespective of whether the target ΔpTM value was set directly or approached gradually starting from a lower value during ceramic MF of skim milk at 50 °C. In those tests, a concentration of skim milk to CF 2 was carried out prior to the experiment. No explicit conclusion about the influence of the mode of ΔpTM increase beginning at the change over from water to skim milk can therefore be drawn.
Despite the results of Gésan-Guiziou [7], the deposit layer formation history can generally be expected to have an influence on the filtration performance. For an operating temperature of 50 °C, Gésan-Guiziou et al. [8] reported a reduction of flux and protein permeation after one pressure cycle, i.e., increasing and subsequently decreasing the ΔpTM stepwise, during ceramic MF. The authors attributed this to irreversible modifications of the deposit layer when a certain flux to wall shear stress ratio was exceeded.
Higher ΔpTM levels were found to induce an irreversible compression of the deposit. Qu et al. [9] reported that casein micelles suspensions form highly compressible layers when the ΔpTM exceeds the critical osmotic pressure for gel formation of about 0.35 bar. At this point, casein micelles overlap and fuse to a compact gel [10]. Thus, the porosity of the casein micelles bodies becomes the determining factor to the deposit layer resistance [9]. With increasing ΔpTM, compression is more pronounced, reducing deposit layer´s porosity [11,12]. Under these conditions, enhanced particle interactions, and thus, crosslinked deposit structures, can be expected, especially at high ΔpTM values.
Upon ΔpTM release from a higher level, a compressed deposit layer can be expected to relax depending on the stabilizing links between the deposited particles. Qu et al. [9] observed that the filtration resistance reached its initial value after an intermediate pressure application of 0.5 bar ΔpTM. With increasing ΔpTM (2.0 bar and 4.0 bar, respectively) and number of pressure cycles, the recovery of the filtration resistance became increasingly lower. Thus, the alteration of the deposit layer structure seems to be dependent on its ΔpTM history. Other works on skim milk ultrafiltration by Steinhauer et al. [13] did not report on a significant increase in irreversible gel formation by proteins in the deposit layer induced by higher levels of ΔpTM. The operating temperature in this case was 20 °C. With regard to protein interactions, the reactivity of native β-lactoglobulin (β-lg) as contributor to structure creation in deposit layers has to be considered. Steinhauer et al. [14] reported on the formation of β-lg molecule clusters on the casein micelles due to thiol-disulfide reactions, even below denaturation temperature. The interpretation was that due to the close vicinity of proteins in the concentrated deposit layer, the reactivity of β-lg and casein micelle surfaces is high enough to induce cluster formation. Casein micelles lose their steric surface stabilization and the larger clusters then form a more porous deposit layer. This effect was not seen by Qu et al. [9], because they filtered only casein micelles.
Apart from the pressure application mode, temperature influences the filtration performance, deposit layer formation, and its behavior upon pressure increase. A release of β-casein from the micelle into the serum phase is reported at low temperatures, which increases casein permeation [15]. Besides that, the flux is known to be lower at lower temperatures [16]. This is due to the higher viscosity of the permeate. However, during UF, Ng et al. [17] reported a lower rate of time dependent flux reduction at lower temperatures. While a significant reduction of the flux with increasing filtration time was observed at a filtration temperature of 50 °C, the flux at 10 °C stayed constant. The constant flux at low temperatures was also reported by Jarto et al. [18] during polymeric MF of concentrated skim milk (CF 2) at 13 °C. Ng et al. [17] stated that the temperature dependent reduction of flux during UF is caused by irreversible fouling due to increased deposition of α-lactalbumin (α-la) and by the deposition of β-lg. The β-lg deposition was only present at 50 °C. Even at lower temperatures starting at 40 °C, β-lg exposes its free thiol group, which is buried inside the molecular structure [19]. This is of particular interest, especially when longer-term operations are considered with reaction times of several hours as it is the case with proteins deposited in layers adhered to the membrane surface. The free thiol group is then expected to be able participate in thiol-disulfide reactions leading to a structural consolidation of the deposited protein layers and thus to flux decline [20]. The formation of crosslinked aggregates and intensified fouling behavior due to thiol-disulfide exchange reactions was also reported with bovine serum albumin (BSA), which possesses a free thiol group as well [21]. The progressive reduction of flux [22] and protein permeation [3], which was reported for polymeric MF of skim milk at high temperatures but not at low temperatures [18], could therefore be due to enhanced fouling driven by thiol-disulfide reactions. Aside from that, other effects, such as an increased stability of the hairy layer of the casein micelle and the lower tendency for hydrophobic interactions at low temperatures [23], might influence the deposit layer formation. The precipitation of minerals (in particular calcium phosphate), however, was not reported to be a distinct contributor to fouling during skim milk filtration at either high or low temperatures [17].
The extent to which the compression process during crossflow MF of skim milk using SWM is reversible at low and high temperatures remains unclear. Further, it is unknown whether flux and protein permeation during MF using SWM are equally affected by decompression of the deposited layer at lower levels of ΔpTM, following higher levels.
From the results reported in literature so far, it seems unclear whether the deposit layer history with regard to the mode of ΔpTM increase, i.e., stepwise or directly to target level, deposit layer aging, and structural alterations has a distinct influence on the MF performance of SWMs. Therefore, the purpose of this study was to assess the effects of the mode of ΔpTM increase to target level on the filtration performance during MF with SWM. Further, the objective was to unravel the effect of the deposit layer ΔpTM history on the MF for milk protein fractionation using polymeric SWM at low and high filtration temperatures.
The approach we applied was a combination of two filtration protocols:
  • Setting ΔpTM to various target levels and keeping it constant over the entire experiment (No. 1)
  • Increasing and subsequently decreasing ΔpTM stepwise (No. 2)
By mode No. 1, time dependent changes in filtration behavior and deposit layer formation could be investigated [24]. Furthermore, the intensity of initial fouling can also be varied. To analyze the influence of the way to approach the target ΔpTM, i.e., the mode of ΔpTM increase to target level, on filtration performance, a stepwise increase of ΔpTM has to be performed as an additional set of experiments. In addition, the results obtained by protocol No. 2 showed the influence of the deposit layer history on the filtration performance. Since compression is expected to alter the deposit layer structure, additional information about the effects on flux and protein permeation reduction should become clear.
The results of this study show that the mode of ΔpTM increase to target level does not affect filtration performance during polymeric MF. After compression, on the other hand, the structure of the deposit layer is altered irreversibly. This reduces protein permeation independently of the temperature. However, the flux is just affected at high temperatures. Therefore, the deposit layer crosslinking must be higher at elevated temperatures.

2. Materials and Methods

2.1. Filtration Fluid Skim Milk and Analyses

Molkerei Weihenstephan (Freising, Germany) provided pasteurized skim milk (74 °C, 28 s), which was stored at 4 °C before the tests (up to 4 days). The contents of casein and of the major whey proteins β-lg and α-la were analyzed using reversed phase high performance liquid chromatography (RP-HPLC) as reported by Dumpler et al. [25].
Viscosities of water and MF permeate were measured with an Anton Paar MCR 302 rheometer (Anton Paar, Graz, Austria) using the double-gap geometry. The dynamic viscosities at 10 °C were 1.28 mPa·s and 1.62 mPa·s for water and MF permeate, respectively. At 50 °C, MF permeate viscosity was 0.74 mPa·s. In all conducted experiments, MF permeate viscosity was independent of the ΔpTM.

2.2. Membrane and Filtration Pilot Plant

In this study, a filtration pilot plant for SWM (SIMA-tec, Schwalmtal, Germany) was used. Filtration trials were conducted with a 0.1-µm spiral-wound polyvinylidene fluoride (PVDF) membrane (46 mil diamond-shaped spacer) manufactured by Synder Filtration (Vacaville, CA, USA). The SWM had a diameter of 0.16 m, a length of 0.96 m, and an active filtration area of 16.35 m2.

2.2.1. Pilot Filtration Plant and Experimental Design

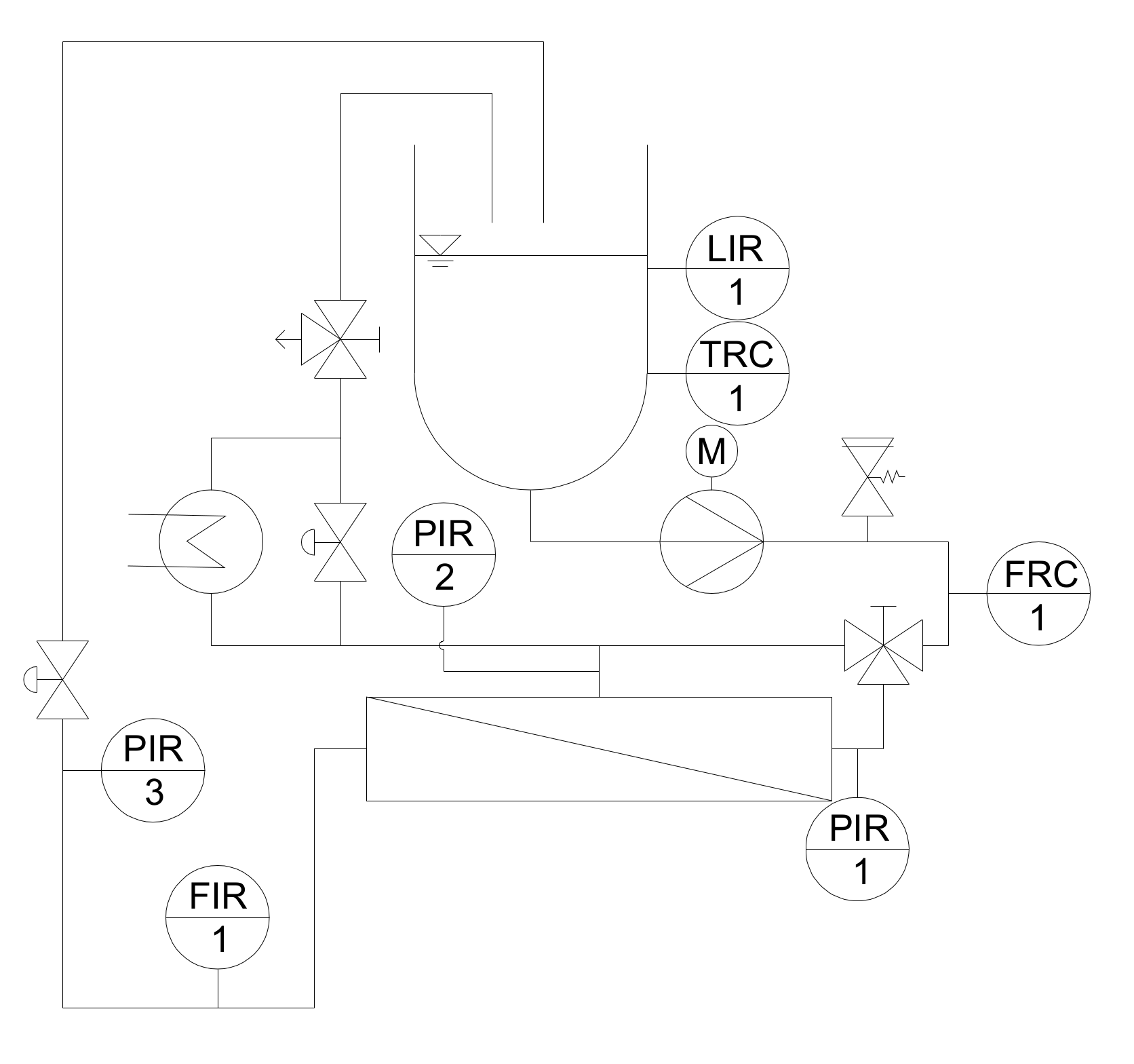
The pilot plant is shown in a simplified piping and instrumentation (P&I) diagram in Figure 1.
A 1.3 m-long pressure housing contained the SWM and was equipped with two cartwheel-shaped anti-telescoping devices. A multistage centrifugal pump drove a feed volume flow of 18 m3·h−1. Temperature was controlled by a heat exchanger installed in the retentate stream and ServiceLab 12 (ServiceLab, Neu-Ulm, Germany) was used to record filtration data. At low ΔpTM values, the permeate stream was throttled, i.e., a permeate counter pressure was applied without throttling the retentate stream. When the permeate counter pressure was completely released, the retentate stream was throttled to reach higher ΔpTM values. The pressure transducers were positioned directly in front of and behind the SWM. Therefore, no significant influence of their position on the calculation of the mean ΔpTM is to be expected. ΔpTM was calculated by Equation 1 from the pressure at the membrane inlet pi, the pressure at the membrane outlet pi+1, and permeate pressure pp.
Δ p TM   =   p i + p i + 1 2     p p

2.2.2. Start-Up Procedure and Experimental Design

Prior to filtration, the membrane was conditioned with caustic Ultrasil 69 (0.4% v/v, Ecolab Deutschland, Monheim am Rhein, Germany) at 50 °C for 20 min to charge the membrane negatively. Then, 150 L of skim milk (native pH of 6.8 at 10 °C) were heated from 4 °C to the process temperatures of 10 °C and 50 °C, respectively. The filtration plant was flushed with 50 L skim milk without permeate production (permeate valve closed). Pressure was adjusted to the target ΔpTM and the permeate and retentate streams were recirculated. After the start-up procedure, flux was measured continuously and filtration tests were run with one of the following filtration protocols:
  • Stepwise increasing and subsequently stepwise decreasing ΔpTM
  • Setting ΔpTM directly to target level and keeping it constant during the experiment

2.2.3. Stepwise Increasing and Subsequently Stepwise Decreasing ΔpTM

After adjusting the ΔpTM to 0.5 bar, the ΔpTM was held constant for 40 min with the objective to achieve steady-state filtration conditions. Subsequently, the ΔpTM was increased gradually in steps of 0.5 bar every 30 min to 3.0 bar, i.e., ΔpTM values of 0.5, 1.0, 1.5, 2.0, 2.5, and 3.0 bar were tested. In some cases, the ΔpTM was then reduced to 0.5 bar, again in steps. Permeate samples were taken at the end of each pressure step and the retentate was sampled from the feed tank after 40 min (duplicate) and at the end of the experiment (single).

2.2.4. Setting ΔpTM Directly to Target Level and Keeping It Constant during the Experiment

As a second filtration protocol, experiments were conducted with setting the ΔpTM directly to target level and keeping it constant for 120 min, 480 min (8 h) for 50 °C, or 1440 min (24 h) for 10 °C to investigate whether the steady-state filtration would endure over periods common in the dairy industry. Furthermore, the effect of the mode of ΔpTM increase to target level on filtration performance was investigated. Permeate samples were taken throughout the filtration experiment and retentate samples were taken after 40 min (duplicate) and at the end of the experiment (single).

2.2.5. Cleaning Procedure

Following all filtration experiments, the membrane was flushed with deionized water close to the filtration temperature of the previous experiment until the retentate was optically clean. Combined caustic (0.8% v/v Ultrasil 69, Ecolab Deutschland) and enzymatic (0.3% v/v Ultrasil 67, Ecolab Deutschland) cleaning was performed at 50 °C for 40 min. Afterwards, an acidic cleaning step with 0.4% v/v Ultrasil 75 (Ecolab Deutschland) was carried out for 30 min at 50 °C. Both cleaning steps were adapted from the producer´s recommendations. The water flux of the SWM was measured prior to each experiment to verify a sufficient cleaning.

2.3. Calculations

Protein permeation was calculated with Equation 2 from the concentration of the target protein in the permeate cp and the protein concentration in the retentate after 40 min cr, 40 min.
P   =   c p c r , 40   min × 100 %
Filtration resistances were calculated using Equation (3). In case of membrane resistance Rm, water was used as the filtration fluid. Therefore, the fouling resistance Rf was negligible. Rm was 2.05 × 1012 ± 5.33 × 109 m−1 and stayed constant throughout the experiments. When measuring Rf, milk was the filtration fluid and the membrane resistance was subtracted from the total resistance (Rf + Rm). In all calculations, η is the permeate´s dynamic viscosity.
J   =   Δ p TM η   ×   R f +   R m

2.4. Data Regression and Statistical Analysis

Data was plotted using OriginPro 2017G (OriginLab Corporation, Northampton, MA, USA). Error bars represent the standard deviation found in two separate experiments conducted with milk from different lots.

3. Results and Discussion

3.1. Effect of the Mode of ΔpTM Increase to Target Level on Flux of SWM

In this study, the effect of the mode of ΔpTM increase on deposit layer formation and filtration performance of SWM during skim milk MF was investigated. In particular, it was analyzed, whether a stepwise increase of ΔpTM alters the filtration performance compared setting ΔpTM directly to a higher initial value and keeping it constant throughout the experiment. This was investigated with low and high temperatures, i.e., 10 °C and 50 °C.

3.1.1. Influence of Temperature and Initial ΔpTM on Steady-state Conditions of Flux

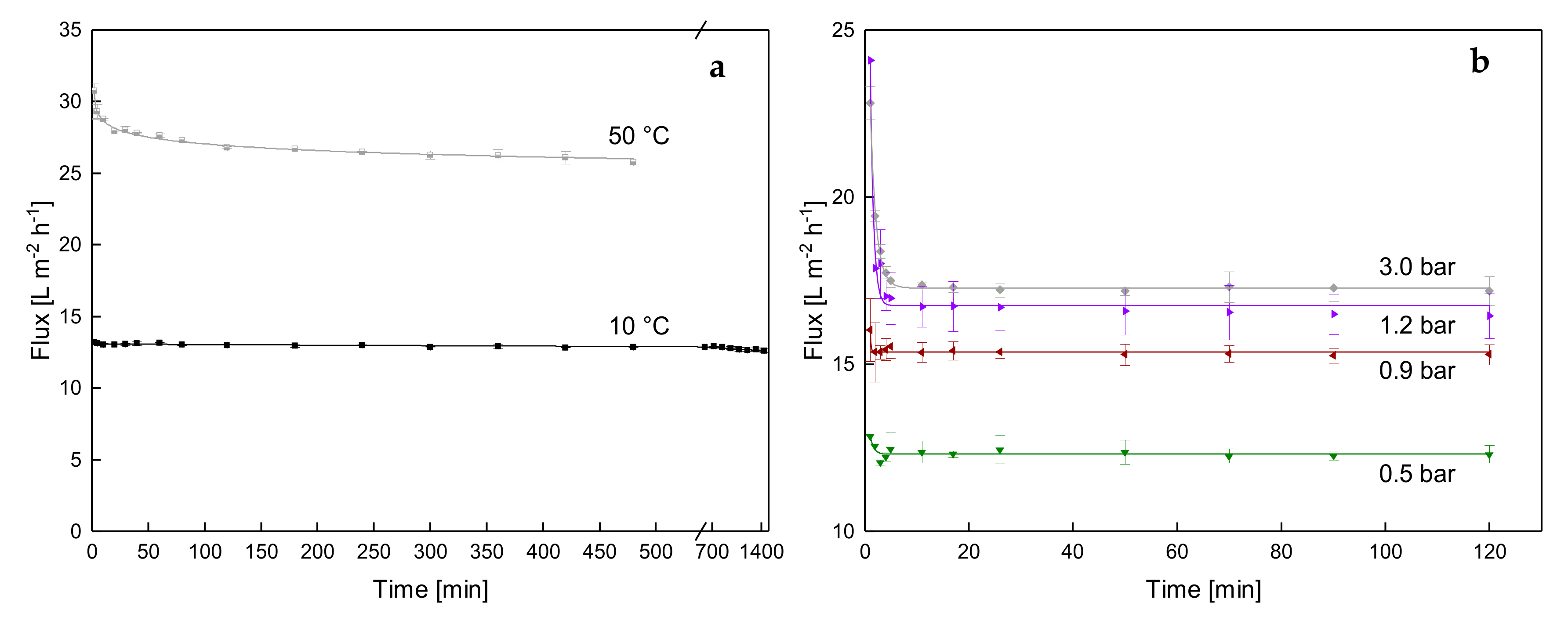
First, it was investigated how the flux evolves with filtration time and how much time is needed to reach steady-state conditions with a constant ΔpTM. This was to ensure that the effect of the intensity of deposit layer formation on filtration performance is not obscured by incomplete equilibration at phase-interface between the deposit layer and the bulk. Figure 2 shows the flux as a function of filtration time at different temperatures (a) and different ΔpTM values (b).
The flux decreased distinctly in the first 5 min. After the initial decrease, a steady-state flux of 13.0 L·m−2·h−1 was achieved at 10 °C and 0.5 bar, which could be maintained for 24 h. The time dependent flux decrease was about 0.02 L·m−2·h−2. Although, the flux at 50 °C was about twice as high (27.8 L·m−2·h−1 at 40 min) as that at 10 °C, it constantly decreased by the mean rate of 0.32 L·m−2·h−2 between 60 min and the end of the filtration at 480 min. Thus, no complete steady-state conditions could be obtained at 50 °C, while at 10 °C, the flux remained stable throughout.
In the initial filtration phase, the high flux values result from the absence of a deposit layer on the membrane surface. As soon as the ΔpTM is adjusted, the filtrate stream convectively transports proteins to the membrane surface, where they accumulate due to size-based retention effects and form a deposit layer [5]. The deposit layer causes a reduction of the effective ΔpTM on the membrane surface [12]. Thus, the presence of a deposit layer reduces the flux. Besides that, single proteins can cause pore blocking inside the membrane pores or at the pore inlets [5]. Hence, those pores do not take part in the filtration anymore. As a consequence of both fouling mechanisms, the filtration resistance increases and flux decreases. This process only lasts for a certain period, after which the deposit layer formation reaches an equilibrium at low temperatures (in our case after 5 min). Jarto et al. [18] reported a similar behavior in experiments with polymeric membranes at 13 °C. The main contribution to membrane fouling occurs within the first few minutes. For short filtration times and at higher CF levels, a slightly decreasing and a constant flux at temperatures around 50 °C [22] and 10 °C [18], respectively, was reported for polymeric SWM. This shows that deposit layer aging is a temperature-related mechanism. This could be explained as follows. According to Iametti et al. [19], the free thiol group of β-lg becomes exposed and accessible for intermolecular reactions with other proteins at 50 °C. Thus, β-lg accumulates in the deposit structure [17] and can induce other proteins to accumulate in the deposit layer. Since the reactive thiol group of β-lg is buried inside the molecules at low temperature [19], this reaction is less likely to happen and no β-lg related aging of the deposit layer is to be expected at 10 °C. Disregarding β-lg, BSA is known to have a free thiol group, which could also contribute to thiol disulfide reactions [21]. Furthermore, it was reported that hydrophobic interactions are more enhanced at higher temperatures and the hairy layer around the casein micelles is less stable [23]. This could also cause a tightening of the deposit structure, which then reduces the flux. It is to be evaluated in further studies, which mechanism is mainly responsible for the temperature-related deposit layer aging.
Apart from the temperature, the effect of the ΔpTM on flux progression was investigated at 10 °C (Figure 2b). We observed that the initial flux reduction was more pronounced with higher ΔpTM values. At the ΔpTM of 3.0 bar, flux at 1 min was 22.8 L·m−2·h−1 and it decreased to 17.4 L·m−2·h−1 by 11 min. After the initial phase, the flux stayed effectively constant and reached 17.2 L·m−2·h−1 at 120 min. The increase in fouling resistance is more distinct at elevated ΔpTM, which can be attributed to more intense transport of proteins toward the membrane surface. However, ΔpTM had no influence on the flux equilibration time until a steady state was reached. Independently of ΔpTM, a holding time of 5 min was sufficient to achieve steady-state conditions at low temperatures.

3.1.2. Influence of a Gradual Increase of ΔpTM on Steady-state Conditions of Flux

Based on the results shown above, steady-state conditions are expected to be reached at low temperatures soon after each step of ΔpTM increase as well. For temperatures of about 50 °C, a progressing deposit layer aging is to be expected in addition to the impact of the ΔpTM increase. Figure 3 plots the flux as a function of the filtration time during the stepwise increase of ΔpTM (step height 0.5 bar) from 0.5 bar to 3.0 bar at 10 °C and 50 °C. As already seen in Figure 2, the flux decreases significantly during the first few minutes due to deposit layer formation.
At 10 °C, the flux stayed constant and steady-state conditions were reached. A subsequent increase in ΔpTM, however, increases flux according to Darcy´s law. Thereby, a new equilibrium was established at the interface between deposited particles and the bulk phase, as already reported by Field et al. [26]. However, the decline in flux was less distinct compared to starting at a higher initial ΔpTM (Figure 2), as the membrane surface was already fouled to a certain extent. The process of additional deposit layer formation takes approximately 5 min as the flux decreased from 17.1 L·m−2·h−1 directly after the ΔpTM was adjusted to 1.0 bar to 16.5 L·m−2·h−1, once the new steady state was reached. At 1.5 bar, limiting flux conditions were obtained. Further increase in ΔpTM did not cause a significant increase in flux [27]. This can be attributed to compression and deformation of the proteins in the deposit layer and a more intense gelation [9,11,28]. It has to be noted that no reduction of the flux due to deposit layer aging could be observed with low temperatures. This is in contrast to the observations at 50 °C.
As expected from Figure 2, no steady state was reached at 50 °C. An increase in ΔpTM enhanced the flux, until the limiting flux was reached at about 37 L·m−2·h−1. Independently of the ΔpTM, the filtration was overlaid by the temperature induced deposit layer aging.

3.1.3. Influence of the Mode of Pressure Adjustment on Steady-state Flux

Whether the flux levels of both filtration protocols were similar was only assessed at 10 °C due to the aging effect at 50 °C. This is of interest, as it indicates whether the mode of ΔpTM increase affects the flux. Figure 4 shows the flux values during the stepwise increase of ΔpTM at 10 °C along with those measured during filtration experiments conducted at a constant ΔpTM value for 120 min. In other words, Figure 4 shows the flux for the two different modes of ΔpTM increase to target level. The flux values measured in steady-state conditions are equal. Flux increased from 12.7 L·m−2·h−1 and 12.3 L·m−2·h−1 to 17.8 L·m−2·h−1 and 17.2 L·m−2·h−1 for the direct and the stepwise pressure increase to target level, respectively, when increasing the ΔpTM from 0.5 bar to 3.0 bar. Regarding flux, a deposit layer formed at a lower ΔpTM does not affect the subsequent flux at higher ΔpTM values. This means that flux at low filtration temperatures does not depend on the mode of ΔpTM increase. In contrast to low temperatures, the rate of pressure adjustment is expected to slightly affect the flux at high temperatures. This is due to the fact that the flux at 50 °C was seen to be time dependent.
In contrast to that, Meyer et al. [29] during ceramic UF and Gésan-Guiziou et al. [7] during ceramic MF observed no effect of the filtration protocol at 50 °C. Both studies increased ΔpTM stepwise and compared the results against filtration experiments, in which the ΔpTM was directly set to the target value. Thus, the filtration performance of a pre-fouled membrane was compared to that of a clean membrane. Both studies found that filtration performance at 50 °C was also independent of the fouling layer generated at lower ΔpTM. This is probably due to the fact that significantly longer equilibration at the initial ΔpTM step was carried (90 min by Meyer et al. [29] and a concentration to CF 2 plus an additional 45 min by Gésan-Guiziou et al. [7]). Since the rate of flux decrease declines with the filtration time, a longer equilibration time leads to a more constant flux at 50 °C. Thus, deposit layer aging effects have a less pronounced impact. In relation to our experiments, it can be expected that no effect of the pressure adjustment mode would be observable at 50 °C after a longer equilibration time.

3.2. Effect of the Deposit Layer History on Flux of SWM

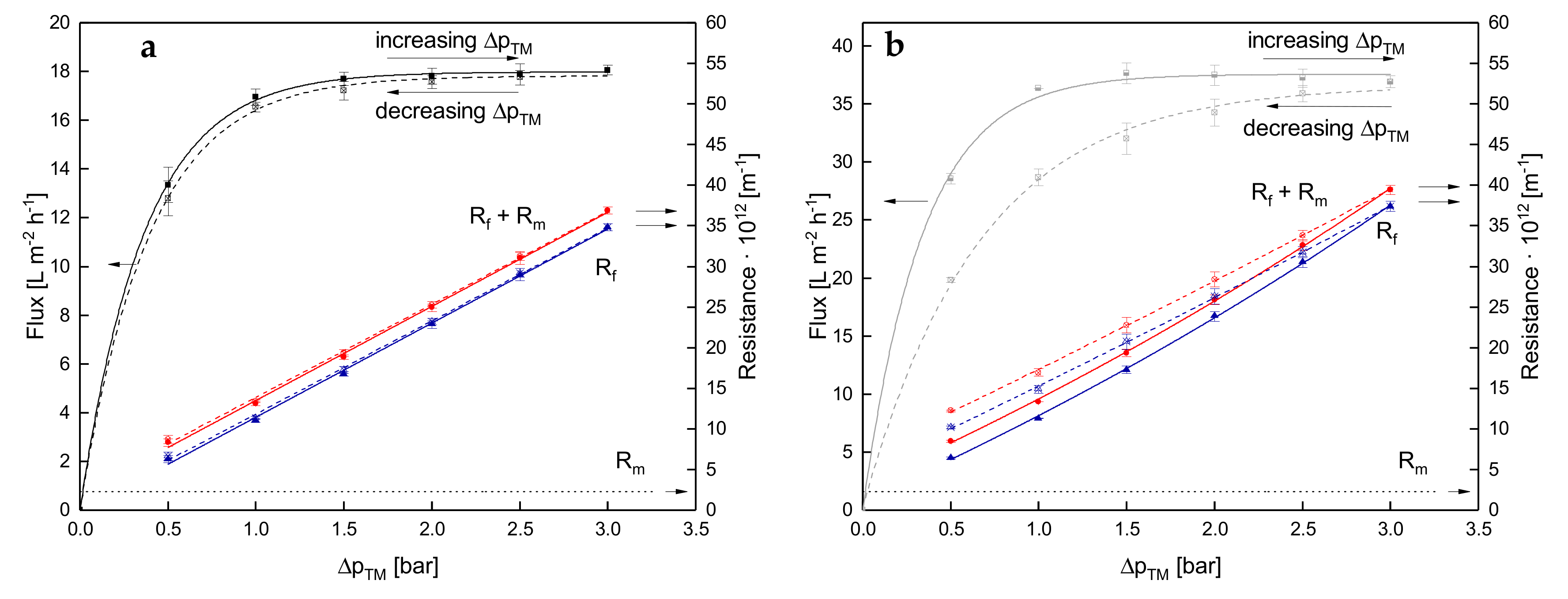
The results presented above show that the mode of ΔpTM increase to target level did not influence flux or fouling resistance during skim milk MF as long as steady-state conditions were reached. Furthermore, a previously formed deposit layer does not affect the subsequent flux at higher ΔpTM apart from potential aging effects. It is further of interest, whether deposit layers originating from higher ΔpTM values show the same filtration behavior. Figure 5 plots the flux and filtration resistances as a function of ΔpTM during a stepwise increase and the subsequent stepwise reduction of ΔpTM, i.e., one full pressure cycle.
The subsequent reduction of ΔpTM does not affect the dependence of flux on ΔpTM at 10 °C (Figure 5a). At 0.5 bar, the flux was 12.8 L·m−2·h−1 and 12.3 L·m−2·h−1 prior to and after a temporary increase of ΔpTM, respectively. As seen in Figure 2, no aging effects could be detected, since the flux was independent of filtration time after the initial decrease in flux due to initial fouling. Compression of the deposit layer caused by ΔpTM, therefore, seems to be completely reversible. In this filtration protocol, the deposit layer resistance is independent of the ΔpTM history as it reached the same level after a temporary increase of ΔpTM (6.27 × 1012 m−1 and 6.63 × 1012 m−1 at 0.5 bar ΔpTM prior to and after the temporary increase of ΔpTM, respectively).
In contrast to 10 °C, flux at 50 °C showed a distinct hysteresis comparing ascending and descending ΔpTM. At 0.5 bar, the flux values of 27.8 L·m−2·h−1 and 20.0 L·m−2·h−1 were found before and after the pressure cycle, respectively. The results at 50 °C go along with the findings of Gésan-Guiziou et al. [8]. The authors processed skim milk (CF 2.0) with a 0.1-µm ceramic tubular membrane at 50 °C. They increased the ΔpTM from 0.0 bar to 1.0 bar and then decreased it to 0.0 bar over about 120 min. At about 0.3 bar, the flux was 75 L·m−2·h−1 and 65 L·m−2·h−1 during the increasing and decreasing phases, respectively. They attributed the hysteresis to the accumulation of deposits on the membrane and their irreversible modification after the ratio of flux to wall shear stress exceeded a critical value. Exceeding this critical ratio could be the cause for the differences in our study with SWM as well, since flux values are significantly lower at 10 °C compared to 50 °C. Besides that, our results give evidence that the phenomenon is temperature related. During compression of the deposit layer at elevated ΔpTM values, proteins are brought together closely, increasing the chance of crosslinking. An increased crosslinking would, independently of the underlying mechanism, stabilize the compressed structure resulting from high ΔpTM values. After pressure release, the compressed structure seems to be partly preserved at high temperatures reducing the flux after an intermediate pressure increase. The alteration of the deposit layer properties seems to be less pronounced at 10 °C, as the deposit layer resistance returns to its initial value. Hence, flux at low temperatures is obviously independent of the ΔpTM history.

3.3. Effects on Protein Permeation in SWM and the Development of Steady-state Filtration Conditions

3.3.1. Influence of the Temperature and Protein Size on the Development of Steady-state Protein Permeation

The flux was shown to be independent of the mode of ΔpTM increase to target level and the deposit layer history at 10 °C but not at 50 °C. However, flux alone is not sufficient to fully characterize filtration performance during skim milk protein fractionation. Protein permeation must also be considered. Figure 6 shows the permeation of the major whey proteins α-la and β-lg along with casein as a function of time at the ΔpTM of 0.5 bar for 10 °C (a) and 50 °C (b). The sizes of α-la, β-lg, and casein micelles are 2.29 nm, 4.19 nm, and 182 nm, respectively [30]. Regardless of protein size and temperature, protein permeation drops most intensely within the first minutes.
At 10 °C and 0.5 bar, permeation of β-lg decreased from 69% at 2 min to 63% at 5 min (Figure 6a). Fouling mostly occurs during the initial phase of filtration due to initial pore blocking and deposit layer formation, as also observed with the flux measurements. Proteins are convectively transported through the membrane pores by the filtrate stream. Thus, proteins are among other factors such as charge primarily retained depending on their size as also observed by Heidebrecht et al. [31]. In the present study, this could be confirmed as the permeation of α-la, β-lg, and casein at 120 min and 0.5 bar was 65%, 59%, and 5%, respectively. This corresponds to a protein content in the permeate of 0.78 g·L−1, 2.36 g·L−1, and 1.45 g·L−1, respectively. The protein size did not have any effect on the equilibration time, but it was determined by the formation of the fouling layer per se. Due to the deposition of particles and the gel layer formation, the membrane apparently becomes less permeable for proteins. In MF, the deposit layer is known to act as a secondary selective layer on the membrane [2]. The deposit layer even takes precedence over the properties of the membrane. Thus, after initial fouling, alterations in filtration performance are mainly caused by alterations in the deposit layer. Since the protein permeation stays rather constant after an initial drop (β-lg permeation reduction of 1.2% h−1 between 40 min and 180 min at 10 °C), no decisive alterations in the deposit layer happen at low temperatures.
At 50 °C, however, the reduction in permeation is more intense and the duration of the steep decline phase is longer. Furthermore, after the initial steep decrease, protein permeation continues to descend at a mean rate of 2.8% h−1 between 40 min to 180 min. This can again be attributed to continuing temperature-induced aging in the deposit layer. Furthermore, the permeation of casein seems rather high for a 0.1-µm membrane (up to 30% at the beginning of the filtration). However, it is known that polymeric membranes have a wide pore size distribution. Thus, the passage of caseins through the pores bigger than 0.1 µm occurs. This effect was also observed by Zulewska et al. [22] during filtration using SWM. After the deposit layer formation, caseins are held back by the layer, which acts as a secondary filtration membrane.
After the severe decline of protein permeation due to initial fouling, the permeation of casein was higher for the lower temperature. This was due to the release of β-casein from the micelle and its transition into the serum phase. Thus, β-casein permeated along with the whey proteins, which was previously reported [15]. Furthermore, we observed α-la and β-lg permeations to be slightly higher at 10 °C compared to 50 °C. This is another indication that the deposit layer structure at higher temperatures becomes more compact and crosslinked, respectively.

3.3.2. Influence of the ΔpTM on the Development of Steady-state Protein Permeation

Besides the effect of protein size, the ΔpTM is known to have a significant influence on protein permeation in MF. Figure 7 shows the permeation of β-lg at different values of ΔpTM as a function of the filtration time at 10 °C.
The permeation of β-lg decreases most pronounced within the first 5 min regardless of ΔpTM. However, the extent of the decrease in protein permeation increases with the ΔpTM. At 0.5 bar and 3.0 bar, permeation was reduced by 6 and 33 percentage points, respectively, between 2 min and 5 min after the filtration began. This confirms that deposit layer formation is more intense at higher values of ΔpTM. The compressive forces on the deposit layer are more pronounced at elevated ΔpTM. Since the deposit is mostly formed by compressible casein micelles as shown by Steinhauer et al. [14], increasing ΔpTM alters deposited casein micelles from a spherical to an ellipsoidal-deformed shape [28]. Furthermore, a more intense compaction and dewatering of the micelles occurs [32]. Therefore, the filtration performance is dominated by the intrinsic structure of the casein micelles, which becomes increasingly more compact [9]. Due to the denser deposit layer structure, the reduction of protein permeation within the first minutes is more distinct at higher ΔpTM. Our results confirm findings of Heidebrecht et al. [31], who also observed an influence of the ratio of protein to pore size during ceramic microfiltration of skim milk. In case of MF using SWM, the apparent deposit layer pore size seems to be the determining factor. Regardless of the origin of the retaining medium, the ratio of flow channel size to protein size determines protein permeation distinctly.

3.3.3. Influence of a Gradual Increase of ΔpTM on the Development of Steady-state Protein Permeation

Besides the influence of the filtration duration on the protein permeation, the influence of a gradual increase of the ΔpTM in steps on the protein permeation is of particular interest (Figure 8). Protein permeation decreased significantly during the first 5 min of filtration. At 10 °C, it became effectively constant after 30 min. An increase of ΔpTM affects the equilibrium at the membrane surface. After the ΔpTM was increased to 1.0 bar, permeation of β-lg dropped from 44% at 5 min to 40% at 15 min after the ΔpTM adjustment. 15 min after the ΔpTM adjustment, protein permeation remained constant regardless of the ΔpTM. Since a deposit layer has already formed, equilibration at the interface between deposit layer and the bulk phase occurred faster than it did with a clean membrane. Therefore, it is meaningful that the step duration is longer for the initial step. Based on our findings for 10 °C, a step duration of 40 min in the first step and 30 min in the following steps leads to steady-state conditions.
In contrast to that, steady-state conditions were not completely achieved at 50 °C. Although, the decrease in protein permeation levels off, it is observable that the respective 40 min and 30 min equilibration times are rather short. An increased equilibration time would lead to a more constant protein permeation although aging effects would still be more pronounced than at 10 °C. The more intense decrease, the longer duration until protein permeation levels off, and the lower protein permeation values at 50 °C compared to 10 °C endorse the assumption that a more compact and probably interconnected deposit layer forms at higher temperatures.

3.3.4. Influence of the Mode of Pressure Adjustment on Protein Permeation

Steady-state conditions were reached with both filtration protocols. However, regarding temperature, a steady state was only reached at 10 °C due to the lack of intense deposit layer aging. Again, it is of interest whether the mode of ΔpTM increase to target level affects filtration performance, this time with regard to protein permeation. Figure 9 plots the protein permeation at 10 °C obtained with a stepwise increase of the ΔpTM and by setting the ΔpTM to a higher value initially. It was observed that no influence of the filtration protocol and thus of the mode of ΔpTM increase on protein permeation is detectable. At the ΔpTM of 0.5 bar, the permeation of β-lg was 54% for the stepwise increase and was 56% for the direct ΔpTM increase to target level. The permeation of casein was 7% and 5%, respectively. Although the mode of ΔpTM increase differs, the filtration performance is not significantly affected, as can be seen with the protein permeation (Figure 9) and the flux (Figure 4).
Furthermore, it was found that the deposit layer formed at a lower ΔpTM does not affect the subsequent protein permeation at higher ΔpTM values. Since filtration performance was found to be independent of the initial deposit layer formation, a higher ΔpTM only induces more intense fouling. However, the structure of the deposit layer obtained by the stepwise increase is likely to be similar to the deposit layer obtained by the rapid approach to the target ΔpTM, since the filtration performance is the same.
These findings are presumably transferable to the filtration with SWM at higher temperatures, since Gésan-Guiziou et al. [7] observed the protein permeation to be independent of the filtration protocol during ceramic MF (0.1 µm) at 50 °C. Filtration performance was the same when the ΔpTM was increased stepwise every 15 min or was increased directly to the target ΔpTM. However, they had a longer equilibration time at the first pressure step than we used in our experiments. As seen in Figure 6b, the rate, at which the protein permeation declined, decreased with the filtration duration. Thus, a longer equilibration time would result in a more constant filtration. The impact of deposit layer aging on protein permeation would therefore become virtually negligible.

3.4. Influence of the Deposit Layer History on Protein Permeation in SWM

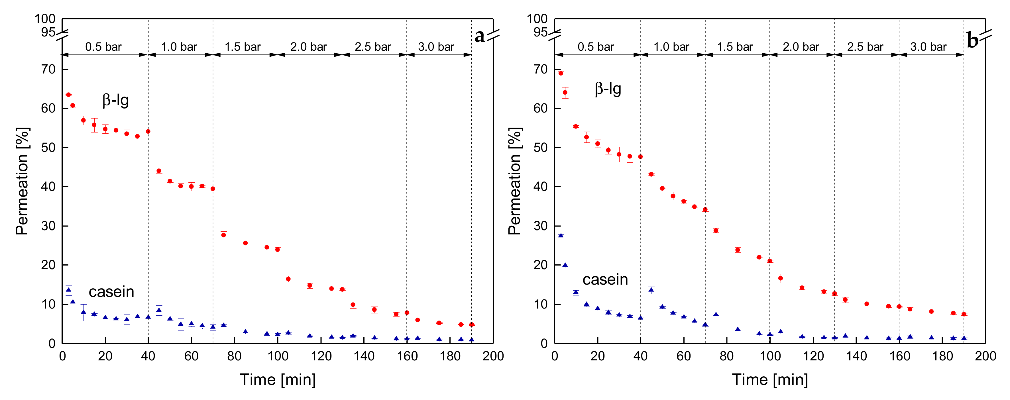
With regard to flux, an intermediate pressure increase had a negative effect on the filtration at 50 °C but not at 10 °C. Contrary to that, the stepwise increase and decrease of ΔpTM reduces protein permeation independently of the temperature (Figure 10).
At 0.5 bar and 10 °C, the permeation of β-lg was 56% before the stepwise ΔpTM increase and was 35% after the stepwise decrease. The casein permeations were 7% and 5%. This distinct difference in protein permeation cannot be explained by aging effects (total filtration time of 340 min), as the decrease in β-lg permeation at 0.5 bar was lower than 4 percentage points between 40 min and 340 min (compare Figure 6a). At 50 °C, the same trends are observable, however, the extent of changes in the protein permeation are higher. The β-lg permeation decreased from 48% to 22% before and after the pressure cycle. The corresponding time dependent reduction was again not responsible for the decline after the pressure cycle as the β-lg permeation after 340 min at 0.5 bar was 38% (Figure 6b).
Upon pressure increase, the casein deposit layer becomes compressed. Thus, a transition from a porous structure of the micelles to a gel-like structure occurs [9]. With increasing compression, a shrinking and dewatering of the micelles was reported [32]. Thus, the micelles’ porosity decreases. As discussed above, at the compressed state, an alteration of the deposit layer structure occurs. This might be attributed to an increased crosslinking in the deposit layer resulting in an enforcement of the structure, which is formed at high ΔpTM. Upon pressure release, the existing crosslinks remain, resulting in a denser deposit structure. The difference between low and high filtration temperatures on the structure of the deposit layer can again be attributed to more intense interactions at higher temperatures. However, the mechanisms, which cause the more compact deposit layer have to be further investigated.
Apart from the dependence of protein permeation on the deposit layer pressure history at 10 °C and 50 °C, the results show that protein permeation is not directly correlated with the fouling resistance. Otherwise, lower protein permeation would be accompanied by higher fouling resistance at 10 °C. Consequently, the reduction in protein permeation is not directly caused by the increase in fouling resistance.

4. Conclusions

The study shows that in cases of compressible deposit layers, the mode of ΔpTM increase does not affect filtration performance in SWM. In other words, the filtration performance during skim milk MF is independent of the time frame, in which the ΔpTM is increased to target level (disregarding aging effects at temperatures about 50 °C).
At higher ΔpTM, the structure of the casein micelles in the deposit layer becomes denser due to compression. When the ΔpTM is reduced afterwards, the compacted structure of the deposit partly remains. Since protein permeation depends on the interaction between pore and protein size [31], filtration performance decreases upon an intermediate pressure increase. Enhanced crosslinking in the deposit layer is likely to be responsible for this; however, the mechanism requires more in-depth study.
Apart from the results on deposit layer formation, it was shown that the filtration performance was practically constant at 10 °C for 24 h. At 50 °C, a progressing slight reduction of the filtration performance was observed. This indicates that the deposit layer aging is temperature-dependent.
Further, the filtration protocol did not affect filtration performance as long as steady-state conditions were attained and the ΔpTM was not reduced. Therefore, data acquisition can be carried out with a stepwise increase in ΔpTM, but not with a decrease or an adjustment at random. In the case of skim milk microfiltration at low temperatures, we propose 40 min for the initial ΔpTM step and 30 min for subsequent steps. At 50 °C, longer equilibration times have to be chosen.

Author Contributions

M.H., H.-J.H., J.D., S.S., and U.K. conceived the experiments and developed the methodology. M.H. and S.S. carried out the experiments and M.H., H.-J.H., J.D., and S.S., analyzed data. M.H. wrote the paper. All authors discussed the results and approved the final manuscript.

Funding

This IGF Project of the FEI (AiF 18553 N) was supported via AiF within the program for promoting the Industrial Collective Research (IGF) of the German Ministry of Economic Affairs and Energy (BMWi), based on a resolution of the German Parliament. This work was supported by the German Research Foundation (DFG) and the Technical University of Munich (TUM) in the framework of the Open Access Publishing Program.

Acknowledgments

We acknowledge Heidi Wohlschläger and Claudia Hengst for their support in analyzing the protein contents using RP-HPLC.

Conflicts of Interest

The authors declare no conflict of interest. The funders had no role in the design of the study; in the collection, analysis, or interpretation of data; in the writing of the manuscript, or in the decision to publish the results.

References

  1. Le Berre, O.; Daufin, G. Skimmilk crossflow microfiltration performance versus permeation flux to wall shear stress ratio. J. Membr. Sci. 1996, 117, 261–270. [Google Scholar] [CrossRef]
  2. Beckman, S.L.; Zulewska, J.; Newbold, M.; Barbano, D.M. Production efficiency of micellar casein concentrate using polymeric spiral-wound microfiltration membranes. J. Dairy Sci. 2010, 93, 4506–4517. [Google Scholar] [CrossRef]
  3. Beckman, S.L.; Barbano, D.M. Effect of microfiltration concentration factor on serum protein removal from skim milk using spiral-wound polymeric membranes. J. Dairy Sci. 2013, 96, 6199–6212. [Google Scholar] [CrossRef] [PubMed]
  4. Zulewska, J.; Barbano, D.M. Influence of casein on flux and passage of serum proteins during microfiltration using polymeric spiral-wound membranes at 50 °C. J. Dairy Sci. 2013, 96, 2048–2060. [Google Scholar] [CrossRef] [PubMed]
  5. Saxena, A.; Tripathi, B.P.; Kumar, M.; Shahi, V.K. Membrane-based techniques for the separation and purification of proteins: An overview. Adv. Colliod Interface 2009, 145, 1–22. [Google Scholar] [CrossRef] [PubMed]
  6. Piry, A.; Kühnl, W.; Grein, T.; Tolkach, A.; Ripperger, S.; Kulozik, U. Length dependency of flux and protein permeation in crossflow microfiltration of skimmed milk. J. Membr. Sci. 2008, 325, 887–894. [Google Scholar] [CrossRef]
  7. Gésan-Guiziou, G.; Daufin, G.; Boyaval, E. Critical stability conditions in skimmed milk crossflow microfiltration: Impact on operating modes. Lait 2000, 80, 129–138. [Google Scholar] [CrossRef]
  8. Gésan-Guiziou, G.; Boyaval, E.; Daufin, G. Critical stability conditions in crossflow microfiltration of skimmed milk: Transition to irreversible deposition. J. Membr. Sci. 1999, 158, 211–222. [Google Scholar] [CrossRef]
  9. Qu, P.; Gésan-Guiziou, G.; Bouchoux, A. Dead-end filtration of sponge-like colloids: The case of casein micelle. J. Membr. Sci. 2012, 417-418, 10–19. [Google Scholar] [CrossRef]
  10. Qu, P.; Bouchoux, A.; Gésan-Guiziou, G. On the cohesive properties of casein micelles in dense systems. Food Hydrocoll. 2015, 43, 753–762. [Google Scholar] [CrossRef]
  11. Steinhauer, T.; Kühnl, W.; Kulozik, U. Impact of Protein Interactions and Transmembrane Pressure on Physical Properties of Filter Cakes Formed during Filtrations of Skim Milk. Proc. Food Sci. 2011, 1, 886–892. [Google Scholar] [CrossRef]
  12. Bouchoux, A.; Qu, P.; Bacchin, P.; Gésan-Guiziou, G. A general approach for predicting the filtration of soft and permeable colloids: The milk example. Langmuir 2014, 30, 22–34. [Google Scholar] [CrossRef] [PubMed]
  13. Steinhauer, T.; Lonfat, J.; Hager, I.; Gebhardt, R.; Kulozik, U. Effect of pH, transmembrane pressure and whey proteins on the properties of casein micelle deposit layers. J. Membr. Sci. 2015, 493, 452–459. [Google Scholar] [CrossRef]
  14. Steinhauer, T.; Kulozik, U.; Gebhardt, R. Structure of milk protein deposits formed by casein micelles and β-lactoglobulin during frontal microfiltration. J. Membr. Sci. 2014, 468, 126–132. [Google Scholar] [CrossRef]
  15. Coppola, L.E.; Molitor, M.S.; Rankin, S.A.; Lucey, J.A. Comparison of milk-derived whey protein concentrates containing various levels of casein. Int. J. Dairy Technol. 2014, 67, 467–473. [Google Scholar] [CrossRef]
  16. Samuelsson, G.; Dejmek, P.; Trägårdh, G.; Paulsson, M. Minimizing whey protein retention in cross-flow microfiltration of skim milk. Int. Dairy J. 1997, 7, 237–242. [Google Scholar] [CrossRef]
  17. Ng, K.S.Y.; Dunstan, D.E.; Martin, G.J.O. Influence of processing temperature on flux decline during skim milk ultrafiltration. Sep. Purif. Technol. 2018, 195, 322–331. [Google Scholar] [CrossRef]
  18. Jarto, I.; Lucey, J.A.; Smith, K.E. Impact of processing temperature on production of milk protein permeate during microfiltration of skim or whole milk. Int. J. Dairy Technol. 2018, 71, 844–848. [Google Scholar] [CrossRef]
  19. Iametti, S.; Gregori, B.; Vecchio, G.; Bonomi, F. Modifications Occur at Different Structural Levels During the Heat Denaturation of beta-Lactoglobulin. Eur. J. Biochem. 1996, 237, 106–112. [Google Scholar] [CrossRef]
  20. Ng, K.S.Y.; Haribabu, M.; Harvie, D.J.E.; Dunstan, D.E.; Martin, G.J.O. Mechanisms of flux decline in skim milk ultrafiltration: A review. J. Membr. Sci. 2017, 523, 144–162. [Google Scholar] [CrossRef]
  21. Kelly, S.T.; Zydney, A.L. Effects of intermolecular thiol-disulfide interchange reactions on bsa fouling during microfiltration. Biotechnol. Bioeng. 1994, 44, 972–982. [Google Scholar] [CrossRef] [PubMed]
  22. Zulewska, J.; Newbold, M.; Barbano, D.M. Efficiency of serum protein removal from skim milk with ceramic and polymeric membranes at 50 degrees C. J. Dairy Sci. 2009, 92, 1361–1377. [Google Scholar] [CrossRef] [PubMed]
  23. Anema, S.G.; Lowe, E.K.; Lee, S.K. Effect of pH at heating on the acid-induced aggregation of casein micelles in reconstituted skim milk. LWT-Food Sci. Technol. 2004, 37, 779–787. [Google Scholar] [CrossRef]
  24. Kühnl, W.; Piry, A.; Kaufmann, V.; Grein, T.; Ripperger, S.; Kulozik, U. Impact of colloidal interactions on the flux in cross-flow microfiltration of milk at different pH values: A surface energy approach. J. Membr. Sci. 2010, 352, 107–115. [Google Scholar] [CrossRef]
  25. Dumpler, J.; Wohlschläger, H.; Kulozik, U. Dissociation and coagulation of caseins and whey proteins in concentrated skim milk heated by direct steam injection. Dairy Sci. Technol. 2017, 96, 807–826. [Google Scholar] [CrossRef]
  26. Field, R.W.; Wu, D.; Howell, J.A.; Gupta, B.B. Critical flux concept for microfiltration fouling. J. Membr. Sci. 1995, 100, 259–272. [Google Scholar] [CrossRef]
  27. Bacchin, P. A possible link between critical and limiting flux for colloidal systems: Consideration of critical deposit formation along a membrane. J. Membr. Sci. 2004, 228, 237–241. [Google Scholar] [CrossRef]
  28. Gebhardt, R.; Steinhauer, T.; Meyer, P.; Sterr, J.; Perlich, J.; Kulozik, U. Structural changes of deposited casein micelles induced by membrane filtration. Faraday Discuss. 2012, 158, 77. [Google Scholar] [CrossRef] [PubMed]
  29. Meyer, P.; Mayer, A.; Kulozik, U. High concentration of skim milk proteins by ultrafiltration: Characterisation of a dynamic membrane system with a rotating membrane in comparison with a spiral wound membrane. Int. Dairy J. 2015, 51, 75–83. [Google Scholar] [CrossRef]
  30. Heidebrecht, H.-J.; Kulozik, U. Fractionation of casein micelles and minor proteins by microfiltration in diafiltration mode. Study of the transmission and yield of the immunoglobulins IgG, IgA and IgM. Int. Dairy J. 2019. [Google Scholar] [CrossRef]
  31. Heidebrecht, H.-J.; Toro-Sierra, J.; Kulozik, U. Concentration of Immunoglobulins in Microfiltration Permeates of Skim Milk: Impact of Transmembrane Pressure and Temperature on the IgG Transmission Using Different Ceramic Membrane Types and Pore Sizes. Foods 2018, 7, 101. [Google Scholar] [CrossRef] [PubMed]
  32. Bouchoux, A.; Gésan-Guiziou, G.; Pérez, J.; Cabane, B. How to squeeze a sponge: Casein micelles under osmotic stress, a SAXS study. Biophys. J. 2010, 99, 3754–3762. [Google Scholar] [CrossRef] [PubMed]
Figure 1. Simplified P&I diagram of the pilot plant (LIR: Level indicator recorder; TRC: Temperature recorder controller; PIR: Pressure indicator recorder; FRC: Flow recorder controller; FIR: Flow indicator recorder).
Figure 1. Simplified P&I diagram of the pilot plant (LIR: Level indicator recorder; TRC: Temperature recorder controller; PIR: Pressure indicator recorder; FRC: Flow recorder controller; FIR: Flow indicator recorder).
Foods 08 00180 g001
Figure 2. Flux as a function of time at different temperatures at the ΔpTM of 0.5 bar (a) and at different ΔpTM values at 10 °C (b).
Figure 2. Flux as a function of time at different temperatures at the ΔpTM of 0.5 bar (a) and at different ΔpTM values at 10 °C (b).
Foods 08 00180 g002
Figure 3. Flux as a function of filtration time during the stepwise increase of ΔpTM at 10 °C and 50 °C.
Figure 3. Flux as a function of filtration time during the stepwise increase of ΔpTM at 10 °C and 50 °C.
Foods 08 00180 g003
Figure 4. Comparison of flux after a stepwise (filled symbols and solid line) and a direct ΔpTM increase to target level (blank symbols and dashed line) at 10 °C.
Figure 4. Comparison of flux after a stepwise (filled symbols and solid line) and a direct ΔpTM increase to target level (blank symbols and dashed line) at 10 °C.
Foods 08 00180 g004
Figure 5. Flux and filtration resistances as a function of ΔpTM for one cycle of a stepwise increase of ΔpTM (filled symbols and solid lines) and the subsequent stepwise reduction of ΔpTM (crossed symbols and dashed lines) at 10 °C (a) and 50 °C (b). Error bars represent the standard deviation of the flux and resistance values of two individual experiments with milk from two different lots.
Figure 5. Flux and filtration resistances as a function of ΔpTM for one cycle of a stepwise increase of ΔpTM (filled symbols and solid lines) and the subsequent stepwise reduction of ΔpTM (crossed symbols and dashed lines) at 10 °C (a) and 50 °C (b). Error bars represent the standard deviation of the flux and resistance values of two individual experiments with milk from two different lots.
Foods 08 00180 g005
Figure 6. Permeation of different-sized proteins as a function of time at the ΔpTM of 0.5 bar and 10 °C (a) or 50 °C (b).
Figure 6. Permeation of different-sized proteins as a function of time at the ΔpTM of 0.5 bar and 10 °C (a) or 50 °C (b).
Foods 08 00180 g006
Figure 7. Permeation of β-lg as a function of time at different ΔpTM values at 10 °C.
Figure 7. Permeation of β-lg as a function of time at different ΔpTM values at 10 °C.
Foods 08 00180 g007
Figure 8. Protein permeation of β-lg (circles) and casein (triangles) as a function of time for stepwise increasing ΔpTM at 10 °C (a) and 50 °C (b).
Figure 8. Protein permeation of β-lg (circles) and casein (triangles) as a function of time for stepwise increasing ΔpTM at 10 °C (a) and 50 °C (b).
Foods 08 00180 g008
Figure 9. Permeation of β-lg (circles) and casein (triangles) at 10 °C measured with the stepwise increase (filled symbols and solid lines) and direct pressure increase to target level (blank symbols and dashed lines).
Figure 9. Permeation of β-lg (circles) and casein (triangles) at 10 °C measured with the stepwise increase (filled symbols and solid lines) and direct pressure increase to target level (blank symbols and dashed lines).
Foods 08 00180 g009
Figure 10. Permeation of β-lg (circles) and casein (triangles) as a function of ΔpTM for one cycle of a stepwise increase of ΔpTM (filled symbols and solid lines) and the subsequent stepwise reduction of ΔpTM (blank symbols and dashed lines) at 10 °C (a) and 50 °C (b). Error bars represent the standard deviation of the permeation values of two individual experiments with milk from two different lots.
Figure 10. Permeation of β-lg (circles) and casein (triangles) as a function of ΔpTM for one cycle of a stepwise increase of ΔpTM (filled symbols and solid lines) and the subsequent stepwise reduction of ΔpTM (blank symbols and dashed lines) at 10 °C (a) and 50 °C (b). Error bars represent the standard deviation of the permeation values of two individual experiments with milk from two different lots.
Foods 08 00180 g010

Share and Cite

MDPI and ACS Style

Hartinger, M.; Heidebrecht, H.-J.; Schiffer, S.; Dumpler, J.; Kulozik, U. Milk Protein Fractionation by Means of Spiral-Wound Microfiltration Membranes: Effect of the Pressure Adjustment Mode and Temperature on Flux and Protein Permeation. Foods 2019, 8, 180. https://doi.org/10.3390/foods8060180

AMA Style

Hartinger M, Heidebrecht H-J, Schiffer S, Dumpler J, Kulozik U. Milk Protein Fractionation by Means of Spiral-Wound Microfiltration Membranes: Effect of the Pressure Adjustment Mode and Temperature on Flux and Protein Permeation. Foods. 2019; 8(6):180. https://doi.org/10.3390/foods8060180

Chicago/Turabian Style

Hartinger, Martin, Hans-Jürgen Heidebrecht, Simon Schiffer, Joseph Dumpler, and Ulrich Kulozik. 2019. "Milk Protein Fractionation by Means of Spiral-Wound Microfiltration Membranes: Effect of the Pressure Adjustment Mode and Temperature on Flux and Protein Permeation" Foods 8, no. 6: 180. https://doi.org/10.3390/foods8060180

APA Style

Hartinger, M., Heidebrecht, H.-J., Schiffer, S., Dumpler, J., & Kulozik, U. (2019). Milk Protein Fractionation by Means of Spiral-Wound Microfiltration Membranes: Effect of the Pressure Adjustment Mode and Temperature on Flux and Protein Permeation. Foods, 8(6), 180. https://doi.org/10.3390/foods8060180

Note that from the first issue of 2016, this journal uses article numbers instead of page numbers. See further details here.

Article Metrics

Back to TopTop