Correlating Noble Rot Infection of Garganega Withered Grapes with Key Molecules and Odorants of Botrytized Passito Wine
Abstract
1. Introduction
2. Materials and Methods
2.1. Grape Sampling and Vinifications
2.2. Analysis of Grape Must
2.3. Analysis of Wines
2.4. Sensory Analysis
2.5. Statistical Treatment of Data
3. Results
3.1. Grape Analysis
3.2. Volatile Composition of Wines
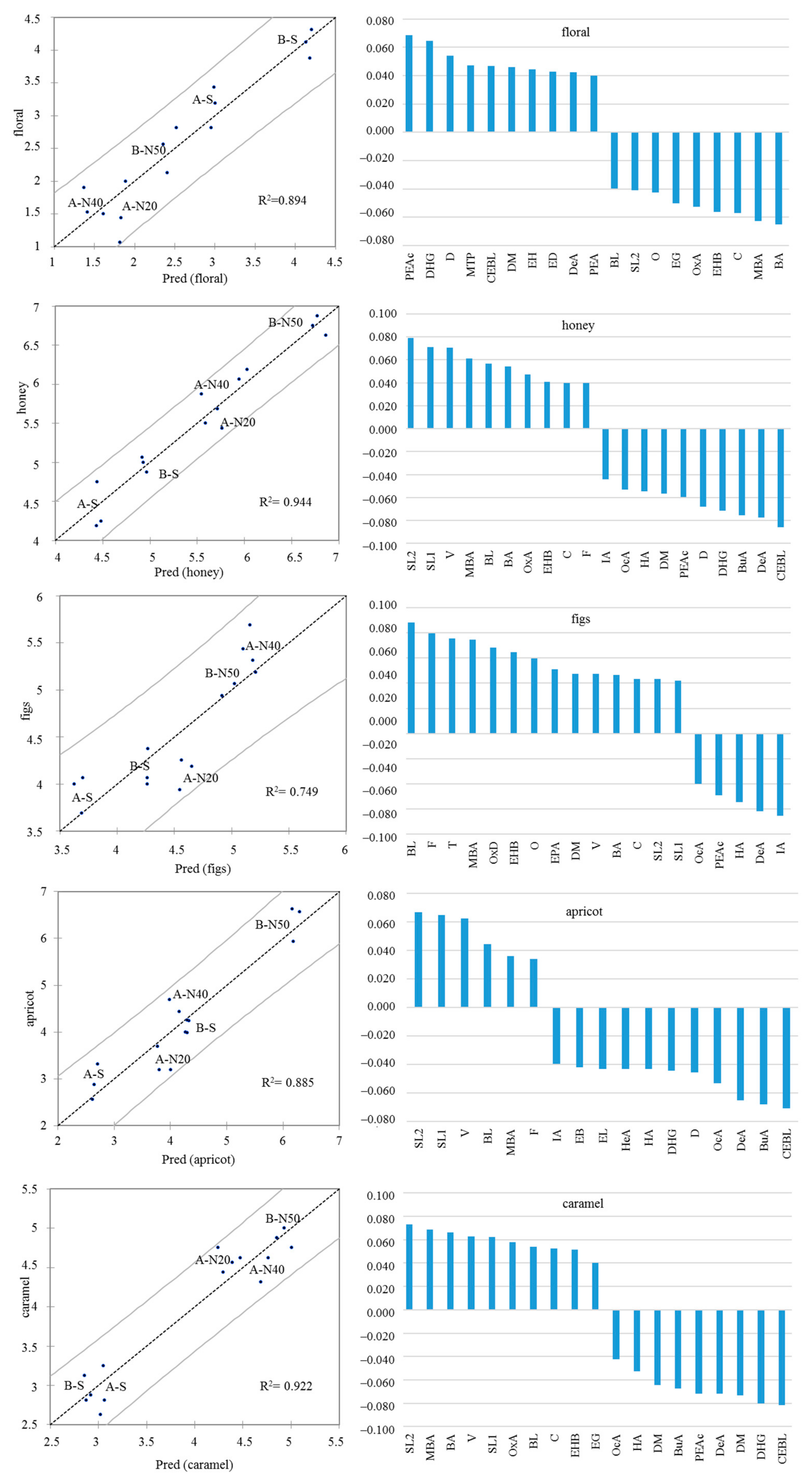
3.3. Sensory Analysis and PLS-R Analysis
4. Discussion
Supplementary Materials
Author Contributions
Acknowledgments
Conflicts of Interest
References
- Magyar, I. Botrytized Wines. In Speciality Wines; Jackson, R.S., Ed.; Elsevier: Amsterdam, The Netherlands, 2011; pp. 147–206. [Google Scholar]
- Ribéreau-Gayon, P.; Glories, Y.; Maujean, A.; Dubourdieu, D. The Chemistry of Wine: Stabilization and Treatments. In Handbook of Enology, 2nd ed.; Wiley & Sons: Chichester, UK, 2006; Volume 2. [Google Scholar]
- Fedrizzi, F.; Tosi, E.; Simonato, B.; Finato, F.; Cipriani, M.; Caramia, G.; Zapparoli, G. Changes in wine aroma composition according to botrytised berry percentage: A preliminary study on Amarone wine. Food Technol. Biotechnol. 2011, 49, 529–535. [Google Scholar]
- Tosi, E.; Fedrizzi, B.; Azzolini, M.; Finato, F.; Simonato, B.; Zapparoli, G. Effects of noble rot on must composition and aroma profile of Amarone wine produced by the traditional grape withering protocol. Food Chem. 2012, 130, 370–375. [Google Scholar] [CrossRef]
- Tosi, E.; Azzolini, M.; Lorenzini, M.; Torriani, S.; Fedrizzi, B.; Finato, F.; Cipriani, M.; Zapparoli, G. Induction of grape botrytization during withering affects volatile composition of Recioto di Soave, a “passito”-style wine. Eur. Food Res. Technol. 2013, 236, 853–862. [Google Scholar] [CrossRef]
- Negri, S.; Lovato, A.; Boscaini, F.; Salvetti, E.; Torriani, S.; Commisso, M.; Danzi, D.; Ugliano, M.; Polverari, A.; Tornielli, G.B.; et al. The induction of noble rot (Botrytis cinerea) infection during postharvest withering changes the metabolome of grapevine berries (Vitis vinifera L., cv. Garganega). Front. Plant Sci. 2017, 8, 1002. [Google Scholar] [CrossRef] [PubMed]
- Wang, X.J.; Tao, Y.S.; Wu, Y.; An, R.Y.; Yue, Z.Y. Aroma compounds and characteristics of noble-rot wines of Chardonnay grapes artificially botrytized in the vineyard. Food Chem. 2017, 226, 41–50. [Google Scholar] [CrossRef] [PubMed]
- Mencarelli, F.; Tonutti, P. Sweet, Reinforced and Fortified Wines; John Wiley & Sons, Ltd.: Chichester, UK, 2013. [Google Scholar]
- Sarrazin, E.; Dubourdieu, D.; Darriet, P. Characterization of key aroma compounds of botrytized wines, influence of grape botrytization. Food Chem. 2007, 103, 536–545. [Google Scholar] [CrossRef]
- Miklósy, E.; Kalmár, Z.; Kerényi, Z. Identification of some characteristic aroma compounds in noble rotted grape berries and aszu´ wines from Tokaj by GC-MS. Acta Aliment. 2004, 3, 215–226. [Google Scholar] [CrossRef]
- Genovese, A.; Gambuti, A.; Piombino, P.; Moio, L. Sensory properties and aroma compounds of sweet Fiano wine. Food Chem. 2007, 103, 1228–1236. [Google Scholar] [CrossRef]
- Rezaian, M.A.; Krake, L.R. Nucleic acid extraction and virus detection in grapevine. J. Virol. Methods 1987, 17, 277–285. [Google Scholar] [CrossRef]
- Lorenzini, M.; Zapparoli, G. An isolate morphologically and phylogenetically distinct from Botrytis cinerea obtained from withered grapes possibly represents a new species of Botrytis. Plant Pathol. 2014, 63, 1326–1335. [Google Scholar] [CrossRef]
- Zapparoli, G.; Lorenzini, M.; Tosi, E.; Azzolini, M.; Slaghenaufi, D.; Ugliano, M.; Simonato, B. Changes in chemical and sensory properties of Amarone wine produced by Penicillium infected grapes. Food Chem. 2018, 263, 42–50. [Google Scholar] [CrossRef] [PubMed]
- International Organization for Standardization. ISO 11035. Sensory Analysis -Identification and Selection of Descriptors for Establishing a Sensory Profile by a Multidimensional Approach; ISO: Geneva, Switzerland, 1994. [Google Scholar]
- La Guerche, S.; Dauphin, B.; Pons, M.; Blancard, D.; Darriet, P. Characterization of some mushroom and earthy off-odors microbially induced by the development of rot on grapes. J. Agric. Food Chem. 2006, 54, 9193–9200. [Google Scholar] [CrossRef] [PubMed]
- Herrero, P.; Sáenz-Navajas, P.; Culleré, L.; Ferreira, V.; Chatin, A.; Chaperon, V.; Litoux-Desrues, F.; Escudero, A. Chemosensory characterization of Chardonnay and Pinot Noir base wines of Champagne. Two very different varieties for a common product. Food Chem. 2016, 207, 239–250. [Google Scholar] [CrossRef] [PubMed]
- Azzolini, M.; Tosi, E.; Faccio, S.; Lorenzini, M.; Torriani, S.; Zapparoli, G. Selection of Botrytis cinerea and Saccharomyces cerevisiae strains for the improvement and valorization of Italian passito style wines. FEMS Yeast Res. 2013, 13, 540–552. [Google Scholar] [CrossRef] [PubMed]
- Delfini, C.; Gaia, P.; Bardi, L.; Mariscalco, G.; Contiero, M.; Pagliara, A. Production of benzaldehyde, benzyl alcohol and benzoic acid by yeasts and Botrytis cinerea isolated from grape musts and wines. Vitis 1991, 30, 253–263. [Google Scholar]
- Marais, J.; Rapp, A. Effect of skin-contact time and temperature on juice and wine composition and wine quality. S. Afr. J. Enol. Vitic. 1988, 9, 22–29. [Google Scholar] [CrossRef]
- Selli, S.; Canbasa, A.; Cabaroglua, T.; Ertena, H.; Lepoutreb, J.-P.; Gunata, Z. Effect of skin contact on the free and bound aroma compounds of the white wine of Vitis vinifera L. cv Narince. Food Control 2006, 17, 75–82. [Google Scholar] [CrossRef]
- Muller, C.J.; Maggiora, L.; Kepner, R.E.; Webb, A.D. Identification of two isomers of 4,5-dihydroxyhexanoic acid gamma lactone in Californian and Spanish flor sherries. J. Agric. Food Chem. 1969, 17, 1373–1376. [Google Scholar] [CrossRef]
- Wurz, R.E.M.; Kepner, R.E.; Webb, A.D. The biosynthesis of certain gamma-lactones from glutamic acid by film yeast activity on the surface of flor sherry. Am. J. Enol. Vitic. 1988, 39, 234–238. [Google Scholar]
- Krajewski, D.; Neugebauer, W.; Amajoyi, I.K.; Schreier, P.; Bicchi, C. Enantiodifferentiation of solerol isomers in dried figs and dates. Zeitschrift für Lebensmittel-Untersuchung und Forschung 1995, 201, 378–380. [Google Scholar] [CrossRef]
- Häring, D.; Schreier, P.; Herderich, M. Rationalizing the origin of solerone (5-Oxo-4-hexanolide): Biomimetic synthesis and identification of key metabolites in sherry wine. J. Agric. Food Chem. 1997, 45, 369–372. [Google Scholar] [CrossRef]
- Avizcuri-Inac, J.-M.; González-Hernández, M.; Rosáenz-Oroz, D.; Martínez-Ruiz, R.; Vaquero-Fernández, L. Chemical and sensory characterization of sweet wines obtained by different techniques. Ciência Téc. Vitiv. 2018, 33, 15–30. [Google Scholar] [CrossRef]
- Reboredo-Rodríguez, P.; González-Barreiro, C.; Rial-Otero, R.; Cancho-Grande, B.; Simal-Gándara, J. Effects of sugar concentration processes in grapes and wine aging on aroma compounds of sweet wines—a review. Crit. Rev. Food Sci. Nutr. 2015, 55, 1053–1073. [Google Scholar] [CrossRef] [PubMed]
- Ferreira, A.C.S.; Hogg, T.; Guedes de Pinho, P. Identification of key odorants related to the typical aroma of oxidation-spoiled white wines. J. Agric. Food Chem. 2003, 51, 1377–1381. [Google Scholar] [CrossRef] [PubMed]
- Zimdars, S.; Hitschler, J.; Schieber, A.; Weber, F. Oxidation of wine polyphenols by secretomes of wild Botrytis cinerea strains from white and red grape varieties and determination of their specific laccase activity. J. Agric. Food Chem. 2017, 65, 10582–10590. [Google Scholar] [CrossRef]
- Schneider, R.; Baumes, R.; Bayonove, C.; Razungles, A. Volatile compounds involved in the aroma of sweet fortified wines (Vins Doux Naturels) from Grenache noir. J. Agric. Food Chem. 1998, 46, 3230–3237. [Google Scholar] [CrossRef]
- Etiévant, P.X. Wine. In Volatile Compounds in Foods and Beverages; Maarse, H., Ed.; Marcel Dekker: New York, NY, USA, 1991; pp. 483–546. [Google Scholar]
- Lytra, G.; Tempere, S.; de Revel, G.; Barbe, J.-C. Impact of perceptive interactions on red wine fruity aroma. J. Agric. Food Chem. 2012, 60, 12260–12269. [Google Scholar] [CrossRef]



| A-S | A-N20 | A-N40 | B-S | B-N50 | |
|---|---|---|---|---|---|
| AAlcohols | |||||
| 1-Hexanol | 1978.3 ± 92.5 a | 1698.0 ± 76.7 b | 1633.0 ± 48.8 b | 435.7 ± 12.4 c | 370.7 ± 14.5 c |
| trans-3-Hexenol | 134.0 ± 10.1 a | 130.0 ± 4.6 a | 117.0 ± 10.4 a | 30.0 ± 1.7 b | 12.0 ± 4.4 b |
| cis-3-Hexenol | 17.3 ± 3.5 ab | 19.7 ± 3.5 a | 25.3 ± 8.5 a | 5.7 ± 1.2 bc | 3.0 ± 1.0 c |
| Benzyl alcohol | 728.7 ± 35.2 a | 396.3 ± 18.0 c | 494.3 ± 21.9 b | 187.0 ± 14.7 d | 463.7 ± 30.6 bc |
| 2-Phenylethyl alcohol | 24703.0 ± 132.4 c | 24579.0 ± 66.1 c | 23765.3 ± 738.6 c | 42912.7 ± 146.2 a | 36545.0 ± 193.1 b |
| 3-Methylthio-1-propanol | 153.0 ± 9.2 c | 112.7 ± 9.3 c | 106.0 ± 6.0 c | 1368.7 ± 57.8 a | 752.7 ± 35.9 b |
| 1-Octen-3-ol | 4.7 ± 0.6 c | 14.7 ± 1.5 b | 23.7 ± 2.3 a | 0.7 ± 0.6 d | 3.3 ± 0.6 cd |
| Esters | |||||
| Isoamyl acetate | 876.7 ± 35.2 a | 435.7 ± 34.6 b | 300.3 ± 11.5 c | 335.0 ± 12.8 c | 306.3 ± 18.0 c |
| Hexyl acetate | 19.7 ± 3.1 a | 1.7 ± 0.6 b | 1.3 ± 0.6 b | 4.0 ± 1.7 b | 2.0 ± 1.0 b |
| β-Phenylethyl acetate | 73.7 ± 11.0 a | 15.7 ± 2.1 c | 4.3 ± 1.2 c | 86.3 ± 4.6 a | 47.7 ± 3.1 b |
| Ethyl 2-phenylacetate | 1.3 ± 0.6 c | 2.3 ± 0.6 bc | 4.3 ± 1.2 ab | 7.0 ± 1.0 a | 6.0 ± 1.7 a |
| Ethyl butyrate | 206.7 ± 8.4 a | 202.3 ± 5.9 a | 198.0 ± 10.1 a | 143.7 ± 10.6 b | 126.7 ± 7.1 b |
| Ethyl hexanoate | 436.3 ± 18.2 a | 341.3 ± 24.1 b | 341.0 ± 19.3 b | 423.7 ± 12.0 a | 437.7 ± 10.8 a |
| Ethyl octanoate | 130.0 ± 2.6 c | 89.0 ± 11.5 d | 101.3 ± 6.8 cd | 643.0 ± 23.9 a | 501.0 ± 12.0 b |
| Ethyl decanoate | 39.0 ± 6.1 c | 32.3 ± 6.7 c | 40.3 ± 7.2 c | 181.7 ± 13.1 a | 124.3 ± 7.5 b |
| Ethyl lactate | 2879.7 ± 40.5 a | 2571.7 ± 16.4 b | 2373.0 ± 33.0 c | 1096.7 ± 26.8 d | 628.0 ± 6.6 e |
| Ethyl 4-hydroxybutyrate | 6000.3 ± 198.0 d | 7388.7 ± 115.5 b | 9834.3 ± 99.2 a | 3379.3 ± 36.1 e | 6746.0 ± 59.6 c |
| Diethyl 2-hydroxyglutarate | 105.7 ± 8.4 b | 98.3 ± 9.9 b | 102.0 ± 11.1 b | 211.3 ± 7.8 a | 66.7 ± 8.6 c |
| Diethyl malate | 1312.0 ± 35.8 c | 1387.3 ± 28.2 c | 1792.3 ± 33.9 b | 1972.7 ± 29.1 a | 1335.0 ± 34.7 c |
| Diethyl succinate | 967.7 ± 30.1 d | 1111.3 ± 9.1 c | 1200.3 ± 16.5 c | 3151.0 ± 23.6 a | 2913.0 ± 92.6 b |
| Acids | |||||
| Isovaleric acid | 692.7 ± 16.3 a | 698.7 ± 17.0 a | 730.0 ± 23.3 a | 417.0 ± 5.6 b | 415.0 ± 53.9 b |
| Butyric acid | 682.0 ± 26.5 a | 593.3 ± 10.7 b | 619.7 ± 14.3 b | 575.3 ± 30.3 b | 464.0 ± 6.2 c |
| Hexanoic acid | 2593.0 ± 23.3 a | 1959.0 ± 55.7 b | 1947.7 ± 23.5 b | 1204.0 ± 60.9 c | 1172.7 ± 30.6 c |
| Octanoic acid | 3326.7 ± 37.1 a | 2412.7 ± 25.1 b | 2337.0 ± 16.6 b | 1828.7 ± 25.9 c | 1471.3 ± 35.9 d |
| Decanoic acid | 754.7 ± 11.5 a | 533.7 ± 10.1 b | 467.0 ± 12.5 c | 548.7 ± 4.5 b | 300.3 ± 3.1 d |
| Terpens | |||||
| trans-Furanic linalool oxide A | 1.3 ± 0.6 | 1.7 ± 0.6 | 1.7 ± 0.6 | 0.3 ± 0.6 | 1.3 ± 0.6 |
| trans-Pyranic linalool oxide C | 34.0 ± 4.6 a | 32.7 ± 6.7 a | 32.3 ± 3.5 a | 7.7 ± 1.2 b | 11.3 ± 0.6 b |
| cis-Pyranic linalool oxide D | 0.7 ± 0.6 | 1.3 ± 0.6 | 2.3 ± 0.6 | 0.7 ± 0.6 | 1.0 ± 1.0 |
| Linalool | 10.3 ± 0.6 a | 10.0 ± 1.0 a | 10.3 ± 2.5 a | 2.7 ± 1.5 b | 2.3 ± 0.6 b |
| α-Terpineol | 2.7 ± 0.6 | 3.0 ± 1.0 | 2.7 ± 1.2 | 3.7 ± 1.2 | 2.7 ± 0.6 |
| 4-Terpinenol | 8.3 ± 1.5 d | 73.7 ± 3.2 b | 156.0 ± 6.1 a | 15.0 ±2.0 d | 25.0 ± 3.6 c |
| Citronellol | 6.3 ± 1.2 ab | 9.0 ± 1.0 a | 9.3 ± 0.6 a | 5.3 ± 1.2 b | 7.0 ± 1.7 ab |
| Geraniol | 2.7 ± 0.6 | 2.0 ± 1.0 | 2.3 ± 0.6 | 1.3 ± 0.6 | 1.3 ± 0.6 |
| ho-Diendiol 1 | 85.3 ± 7.5 b | 89.3 ± 8.7 b | 106.7 ± 6.1 a | 16.3 ± 5.0 c | 21.7 ± 3.2 c |
| ho-trienol | 19.0 ± 2.0 a | 16.7 ± 3.8 a | 15.7 ± 7.1 a | 3.7 ± 1.2 b | 2.3 ± 1.2 b |
| Carbonyl compounds | |||||
| β-Damascenone | 7.7 ± 1.2 ab | 7.0 ± 1.0 b | 8.0 ± 1.0 ab | 10.0 ± 1.0 a | 6.0 ± 0.0 b |
| Benzaldehyde | 32.3 ± 3.8 c | 167.3 ± 8.5 a | 180.7 ± 10.5 a | 23.7 ± 3.1 c | 83.3 ± 2.1 b |
| Furfural | 42.7 ± 4.7 d | 77.0 ± 5.2 c | 105.0 ± 4.6 a | 86.0 ± 4.4 bc | 92.3 ± 6.5 ab |
| Lactones | |||||
| γ-Butyrolactone | 1253.7 ± 56.4 b | 1299.7 ± 21.5 b | 1580.3 ± 91.8 a | 1253.7 ± 12.9 b | 1626.7 ± 16.2 a |
| 4-Carboethoxy-γ-butyrolactone | 353.7 ± 6.4 ab | 330.0 ± 24.3 b | 323.7 ± 21.8 b | 374.3 ± 11.2 a | 161.7 ± 9.5 c |
| Sherry lactone 1 | 89.3 ± 7.5 e | 235.7 ± 6.4 d | 458.7 ± 18.7 b | 394.0 ± 23.5 c | 1620.3 ± 15.0 a |
| Sherry lactone 2 | 229.0 ± 14.9 d | 394.0 ± 8.7 c | 649.0 ± 28.1 b | 224.3 ± 11.2 d | 1931.7 ± 12.3 a |
| Volatile phenols | |||||
| 4-Ethylguaiacol | 4.0 ± 2.6 b | 22.0 ± 1.0 a | 22.3 ± 3.8 a | 0.3 ± 0.6 b | 0.7 ± 0.6 b |
| Vanillin | 2.7 ± 0.6 b | 4.3 ± 1.2 b | 5.3 ± 0.6 b | 4.7 ± 1.5 b | 10.3 ± 1.5 a |
| Miscellaneous | |||||
| N-(3-methylbutyl)acetamide | 37.0 ± 2.0 c | 147.3 ± 8.5 b | 231.7 ± 8.3 a | 20.3 ± 3.1 c | 149.7 ± 9.3 b |
| A-S | A-N20 | A-N40 | B-S | B-N50 | |
|---|---|---|---|---|---|
| Aroma intensity | 6.6 ± 0.3 ab | 5.5 ± 0.6 c | 6.4 ± 0.4 b | 6.2 ± 0.3 b | 7.1 ± 0.4 a |
| Floral | 3.1 ± 0.3 b | 1.5 ± 0.5 d | 1.6 ± 0.2 d | 4.1 ± 0.2 a | 2.5 ± 0.3 c |
| Almond | 3.6 ± 0.5 a | 3.4 ± 0.3 a | 3.9 ± 0.3 a | 3.4 ± 0.2 a | 3.8 ± 0.5 a |
| Honey | 4.4 ± 0.3 d | 5.7 ± 0.2 b | 5.9 ± 0.4 b | 5.0 ± 0.1 c | 6.8 ± 0.1 a |
| Figs | 3.9 ± 0.2 b | 4.1 ±0.2 b | 5.4 ±0.3 a | 4.1 ± 0.2 b | 5.1 ± 0.3 a |
| Apricot | 2.9 ± 0.4 c | 3.4 ±0.3 c | 4.4 ± 0.3 b | 4.2 ± 0.1 b | 6.4 ± 0.4 a |
| Vegetal | 2.0 ± 0.3 b | 3.4 ±0.3 a | 3.1 ± 0.3 a | 1.2 ± 0.1 c | 1.5 ± 0.2 c |
| Resinous | 2.2 ± 0.2 b | 2.3 ±0.2 b | 2.8 ± 0.2 b | 2.5 ± 0.2 b | 4.7 ± 0.2 a |
| Vanilla | 2.7 ± 0.3 b | 3.1 ±0.3 ab | 2.6 ± 0.2 b | 3.5 ± 0.3 a | 3.6 ± 0.4 a |
| Caramel | 2.9 ± 0.3 b | 4.6 ±0.2 a | 4.5 ± 0.2 a | 2.9 ± 0.2 b | 4.9 ± 0.1 a |
© 2019 by the authors. Licensee MDPI, Basel, Switzerland. This article is an open access article distributed under the terms and conditions of the Creative Commons Attribution (CC BY) license (http://creativecommons.org/licenses/by/4.0/).
Share and Cite
Simonato, B.; Lorenzini, M.; Cipriani, M.; Finato, F.; Zapparoli, G. Correlating Noble Rot Infection of Garganega Withered Grapes with Key Molecules and Odorants of Botrytized Passito Wine. Foods 2019, 8, 642. https://doi.org/10.3390/foods8120642
Simonato B, Lorenzini M, Cipriani M, Finato F, Zapparoli G. Correlating Noble Rot Infection of Garganega Withered Grapes with Key Molecules and Odorants of Botrytized Passito Wine. Foods. 2019; 8(12):642. https://doi.org/10.3390/foods8120642
Chicago/Turabian StyleSimonato, Barbara, Marilinda Lorenzini, Michela Cipriani, Fabio Finato, and Giacomo Zapparoli. 2019. "Correlating Noble Rot Infection of Garganega Withered Grapes with Key Molecules and Odorants of Botrytized Passito Wine" Foods 8, no. 12: 642. https://doi.org/10.3390/foods8120642
APA StyleSimonato, B., Lorenzini, M., Cipriani, M., Finato, F., & Zapparoli, G. (2019). Correlating Noble Rot Infection of Garganega Withered Grapes with Key Molecules and Odorants of Botrytized Passito Wine. Foods, 8(12), 642. https://doi.org/10.3390/foods8120642
