Different Processing Practices and the Frying Life of Refined Canola Oil
Abstract
1. Introduction
2. Materials and Methods
2.1. Canola Oil Sampling
2.2. Frying Procedure
2.3. Assessing Frying Oil Quality
2.4. Determination of Fatty Acids Composition
2.5. Determination of Tocopherols Content
2.6. Determination of Total Polar Compounds (TPC)
2.7. DPPH Radical Scavenging Antioxidant Activity
2.8. Statistical Analysis
3. Results and Discussion
3.1. Initial Oil Quality
3.2. Total Polar Compounds (TPC)
3.3. Free Fatty Acids (FFA) Content
3.4. Fatty Acid Composition
3.5. Tocopherol Retention
3.6. p-Anisidine Value
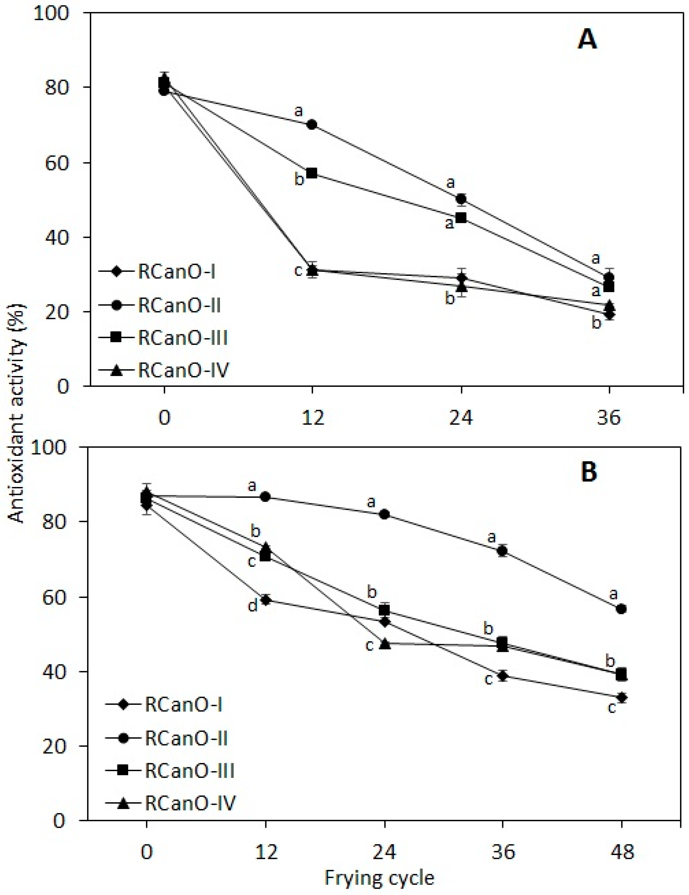
3.7. Radical Scavenging Antioxidant Activity
4. Conclusions
Author Contributions
Funding
Acknowledgments
Conflicts of Interest
References
- Ghazani, S.M.; García-Llatas, G.; Marangoni, A.G. Micronutrient content of cold-pressed, hot-pressed, solvent extracted and RBD canola oil: Implications for nutrition and quality. Eur. J. Lipid Sci. Technol. 2014, 116, 380–387. [Google Scholar] [CrossRef]
- Van Hoed, V.; Ali, C.B.; Slah, M.; Verhé, R. Quality differences between pre-pressed and solvent extracted rapeseed oil. Eur. J. Lipid Sci. Technol. 2010, 112, 1241–1247. [Google Scholar] [CrossRef]
- Warner, K.; Dunlap, C. Effects of expeller-pressed/physically refined soybean oil on frying oil stability and flavor of french-fried potatoes. J. Am. Oil Chem. 2006, 83, 435–441. [Google Scholar] [CrossRef]
- Ben Hammouda, I.; Triki, M.; Matthäus, B.; Bouaziz, M. A Comparative study on formation of polar components, fatty acids and sterols during frying of refined olive pomace oil pure and its blend coconut oil. J. Agric. Food Chem. 2018, 66, 3514–3523. [Google Scholar] [CrossRef]
- Karakaya, S.; Şimşek, Ş. Changes in total polar compounds, peroxide value, total phenols and antioxidant activity of various oils used in deep fat frying. J. Am. Oil Chem. 2011, 88, 1361–1366. [Google Scholar] [CrossRef]
- Kim, J.K.; Lim, H.-J.; Shin, D.-H.; Shin, E.-C. Comparison of nutritional quality and thermal stability between peanut oil and common frying oils. J. Korean Soc. Appl. Biol. Chem. 2015, 58, 527–532. [Google Scholar] [CrossRef]
- Mba, O.I.; Dumont, M.-J.; Ngadi, M. Thermostability and degradation kinetics of tocochromanols and carotenoids in palm oil, canola oil and their blends during deep-fat frying. LWT 2017, 82, 131–138. [Google Scholar] [CrossRef]
- Li, X.; Li, J.; Wang, Y.; Cao, P.; Liu, Y. Effects of frying oils’ fatty acids profile on the formation of polar lipids components and their retention in French fries over deep-frying process. Food Chem. 2017, 237, 98–105. [Google Scholar] [CrossRef]
- Kalogianni, E.P.; Karastogiannidou, C.; Karapantsios, T.D. Effect of potato presence on the degradation of extra virgin olive oil during frying. Int. J. Food Sci. Technol. 2010, 45, 765–775. [Google Scholar] [CrossRef]
- Rudzińska, M.; Hassanein, M.M.; Abdel-Razek, A.G.; Kmiecik, D.; Siger, A.; Ratusz, K. Influence of composition on degradation during repeated deep-fat frying of binary and ternary blends of palm, sunflower and soybean oils with health-optimised saturated-to-unsaturated fatty acid ratios. Int. J. Food Sci. Technol. 2018, 53, 1021–1029. [Google Scholar] [CrossRef]
- Meinhart, A.D.; Ferreira da Silveira, T.F.; Rosa de Moraes, M.; Petrarca, M.H.; Silva, L.H.; Oliveira, W.S.; Wagner, R.; André Bolini, H.M.; Bruns, R.E.; Filho, J.T.; et al. Optimization of frying oil composition rich in essential fatty acids by mixture design. LWT Food Sci. Technol. 2017, 84, 795–803. [Google Scholar] [CrossRef]
- Choe, E.; Min, D. Chemistry of deep-fat frying oils. J. Food Sci. 2007, 72, R77–R86. [Google Scholar] [CrossRef] [PubMed]
- Karimi, S.; Wawire, M.; Mathooko, F.M. Impact of frying practices and frying conditions on the quality and safety of frying oils used by street vendors and restaurants in Nairobi, Kenya. J. Food Compos. Anal. 2017, 62, 239–244. [Google Scholar] [CrossRef]
- Warner, K. Oxidative and flavor stability of tortilla chips fried in expeller pressed low linolenic acid soybean oil. J. Food Lipids 2009, 16, 133–147. [Google Scholar] [CrossRef]
- American Oil Chemists’ Society; Firestone, D. AOCS Ca 5a-40, Cd 8b-90, Cd 18-90. In Official Methods and Recommended Practices of the American Oil Chemists’ Society; AOCS Press: Champain, IL, USA, 2011. [Google Scholar]
- American Oil Chemists’ Society; Firestone, D. AOCS Ce 1 h-05. In Official Methods and Recommended Practices of the American Oil Chemists’ Society; AOCS Press: Champain, IL, USA, 2011; pp. 1–29. [Google Scholar]
- Tuberoso, C.I.; Kowalczyk, A.; Sarritzu, E.; Cabras, P. Determination of antioxidant compounds and antioxidant activity in commercial oilseeds for food use. Food Chem. 2007, 103, 1494–1501. [Google Scholar] [CrossRef]
- Aladedunye, F.A.; Przybylski, R. Degradation and nutritional quality changes of oil during frying. J. Am. Oil Chem. Soc. 2009, 86, 149–156. [Google Scholar] [CrossRef]
- Alimentarius, C. FAO/WHO: Codex standard for named vegetable oils. Codex–ALI-NORM 2009, 9, 17. [Google Scholar]
- Przybylski, R.; Gruczynska, E.; Aladedunye, F. Performance of regular and modified canola and soybean oils in rotational frying. J. Am. Oil Chem. Soc. 2013, 90, 1271–1280. [Google Scholar] [CrossRef]
- Riera, J.B.; Codony, R.; Rafecas, M.; Guardiola, F. Recycled Cooking Oils: Assessment of Risks for Public Health; Working Document for Scientific and Technological Options Assessment (STOA); European Union: Brussels, Belgium, 2000. [Google Scholar]
- Pasqualone, A.; Nasti, R.; Montemurro, C.; Gomes, T. Effect of natural-style processing on the oxidative and hydrolytic degradation of the lipid fraction of table olives. Food Control 2014, 37, 99–103. [Google Scholar] [CrossRef]
- Muhl, M.; Demisch, H.U.; Becker, F.; Kohl, C.D. Electronic nose for detecting the deterioration of frying fat—Comparative studies for a new quick test. Eur. J. Lipid Sci. Technol. 2000, 102, 581–585. [Google Scholar] [CrossRef]
- Aladedunye, F.; Przybylski, R. Performance of palm olein and modified rapeseed, sunflower, and soybean oils in intermittent deep-frying. Eur. J. Lipid Sci. Technol. 2014, 116, 144–152. [Google Scholar] [CrossRef]
- Aladedunye, F.; Przybylski, R. Frying stability of high oleic sunflower oils as affected by composition of tocopherol isomers and linoleic acid content. Food Chem. 2013, 141, 2373–2378. [Google Scholar] [CrossRef] [PubMed]
- Matthäus, B. Utilization of high-oleic rapeseed oil for deep-fat frying of French fries compared to other commonly used edible oils. Eur. J. Lipid Sci. Technol. 2006, 108, 200–211. [Google Scholar] [CrossRef]
- Santos, C.S.P.; Molina-Garcia, L.; Cunha, S.C.; Casal, S. Fried potatoes: Impact of prolonged frying in monounsaturated oils. Food Chem. 2018, 243, 192–201. [Google Scholar] [CrossRef]
- Nayak, P.K.; Dash, U.; Rayaguru, K.; Krishnan, K.R. Physio-chemical changes during repeated frying of cooked oil: A review. J. Food Biochem. 2016, 40, 371–390. [Google Scholar] [CrossRef]
- Zribi, A.; Jabeur, H.; Matthäus, B.; Bouaziz, M. Quality control of refined oils mixed with palm oil during repeated deep-frying using FT-NIRS, GC, HPLC, and multivariate analysis. Eur. J. Lipid Sci. Technol. 2016, 118, 512–523. [Google Scholar] [CrossRef]
- Aladedunye, F.; Matthäus, B. Phenolic extracts from Sorbus aucuparia (L.) and Malus baccata (L.) berries: Antioxidant activity and performance in rapeseed oil during frying and storage. Food Chem. 2014, 159, 273–281. [Google Scholar] [CrossRef]
- Kreps, F.; Vrbiková, L.; Schmidt, Š. Influence of industrial physical refining on tocopherol, chlorophyll and beta-carotene content in sunflower and rapeseed oil. Eur. J. Lipid Sci. Technol. 2014, 116, 1572–1582. [Google Scholar] [CrossRef]
- Ergönül, P.G.; Köseoğlu, O. Changes in α-, β-, γ-and δ-tocopherol contents of mostly consumed vegetable oils during refining process. CyTA-J. Food 2014, 12, 199–202. [Google Scholar] [CrossRef]
- Shrestha, K.; Gemechu, F.G.; De Meulenaer, B. A novel insight on the high oxidative stability of roasted mustard seed oil in relation to phospholipid, Maillard type reaction products, tocopherol and canolol contents. Food Res. Int. 2013, 54, 587–594. [Google Scholar] [CrossRef]
- Rossi, M.; Alamprese, C.; Ratti, S. Tocopherols and tocotrienols as free radical-scavengers in refined vegetable oils and their stability during deep-fat frying. Food Chem. 2007, 102, 812–817. [Google Scholar] [CrossRef]







| Oil type | RCanO-I | RCanO-II | RCanO-III | RCanO-IV | ||||
|---|---|---|---|---|---|---|---|---|
| Season | 2016/2017 | 2017/2018 | 2016/2017 | 2017/2018 | 2016/2017 | 2017/2018 | 2016/2017 | 2017/2018 |
| Free fatty acids (FFA) % | 0.05 ± 0.004 | 0.04 ± 0.002 | 0.06 ± 0.001 | 0.06 ± 0.001 | 0.05 ± 0.000 | 0.06 ± 0.001 | 0.05 ± 0.002 | 0.04 ± 0.000 |
| Peroxide vale (PV) (mEq O2/kg Oil) | 0.39 ± 0.001 a,k | 0.53 ± 0.03 b,l | 0.79 ± 0.004 b,k | 0.80 ± 0.05 c,k | 0.42 ± 0.03 a,l | 0.35 ± 0.001 a,k | 0.58 ± 0.02 a,k | 0.54 ± 0.04 a,k |
| p-Anisidine Value | 1.18 ± 0.02 a,l | 0.84 ± 0.04 a,k | 1.29 ± 0.04 ab,k | 1.15 ± 0.04 b,k | 1.85 ± 0.01 c,l | 1.27 ± 0.06 b,k | 1.55 ± 0.15 b,l | 0.91 ± 0.11 a,k |
| Tocopherols (mg/kg) | 626 ± 1.80 b,k | 652 ± 9.69 c,k | 616 ± 4.88 c,l | 742 ± 6.61 a,k | 610 ± 1.22 c,l | 640 ± 4.98 c,k | 682 ± 4.99 a,k | 685 ± 8.99 b,k |
| Season | Oil type | Fatty Acids | C16:0 | C18:0 | C18:1 | C18:2 | C18:3 | MUFA | PUFA | SFA | IV |
|---|---|---|---|---|---|---|---|---|---|---|---|
| 2016/2017 | RCanO-I | 0 cycle | 4.05 ± 0.01 | 2.07 ± 0.00 | 62.4 ± 0.00 | 18.7 ± 0.02 | 10.1 ± 0.01 | 63.9 ± 0.00 | 28.8 ± 0.03 | 7.30 ± 0.02 | 113.5 ± 0.05 |
| 36th cycle | 4.32 ± 0.01 | 2.19 ± 0.01 | 64.8 ± 0.06 | 17.4 ± 0.03 | 8.36 ± 0.03 | 66.4 ± 0.06 | 25.8 ± 0.06 | 7.87 ± 0.00 | 108.9 ± 0.08 | ||
| RCanO-II | 0 cycle | 4.11 ± 0.00 | 1.98 ± 0.00 | 63.0 ± 0.01 | 18.3 ± 0.00 | 9.78 ± 0.01 | 64.6 ± 0.01 | 28.1 ± 0.01 | 7.29 ± 0.01 | 112.6 ± 0.03 | |
| 36th cycle | 4.27 ± 0.01 | 2.06 ± 0.01 | 64.5 ± 0.07 | 17.6 ± 0.06 | 8.72 ± 0.06 | 66.1 ± 0.08 | 26.3 ± 0.12 | 7.62 ± 0.04 | 109.8 ± 0.19 | ||
| RCanO-III | 0 cycle | 4.65 ± 0.00 | 1.86 ± 0.01 | 59.7 ± 0.04 | 20.8 ± 0.01 | 10.3 ± 0.07 | 61.3 ± 0.05 | 31.0 ± 0.07 | 7.69 ± 0.02 | 115.3 ± 0.14 | |
| 36th cycle | 4.90 ± 0.01 | 1.99 ± 0.00 | 61.8 ± 0.08 | 19.6 ± 0.05 | 8.80 ± 0.05 | 63.4 ± 0.09 | 28.4 ± 0.11 | 8.19 ± 0.02 | 111.3 ± 0.16 | ||
| RCanO-IV | 0 cycle | 4.17 ± 0.01 | 2.03 ± 0.01 | 61.3 ± 0.02 | 19.4 ± 0.02 | 10.3 ± 0.01 | 62.9 ± 0.02 | 29.7 ± 0.01 | 7.39 ± 0.01 | 114.4 ± 0.01 | |
| 36th cycle | 4.43 ± 0.00 | 2.15 ± 0.02 | 63.5 ± 0.04 | 18.2 ± 0.04 | 8.69 ± 0.03 | 65.2 ± 0.04 | 26.9 ± 0.07 | 7.92 ± 0.02 | 110 ± 0.02 | ||
| 2017/2018 | RCanO-I | 0 cycle | 4.03 ± 0.01 | 1.90 ± 0.00 | 62.3 ± 0.01 | 19.6 ± 0.01 | 9.69 ± 0.01 | 63.8 ± 0.01 | 29.2 ± 0.00 | 7.00 ± 0.00 | 113.8 ± 0.01 |
| 48th cycle | 4.24 ± 0.02 | 1.96 ± 0.01 | 64.3 ± 0.19 | 18.5 ± 0.12 | 8.32 ± 0.13 | 65.8 ± 0.20 | 26.8 ± 0.24 | 7.40 ± 0.00 | 110.1 ± 0.36 | ||
| RCanO-II | 0 cycle | 4.07 ± 0.01 | 1.85 ± 0.00 | 64.5 ± 0.01 | 17.5 ± 0.01 | 9.26 ± 0.01 | 66.1 ± 0.02 | 26.8 ± 0.03 | 7.10 ± 0.00 | 111.2 ± 0.04 | |
| 48th cycle | 4.18 ± 0.01 | 1.90 ± 0.01 | 65.7 ± 0.11 | 16.9 ± 0.07 | 8.44 ± 0.10 | 67.3 ± 0.13 | 25.4 ± 0.17 | 7.35 ± 0.07 | 109.1 ± 0.27 | ||
| RCanO-III | 0 cycle | 4.19 ± 0.01 | 1.86 ± 0.00 | 61.0 ± 0.02 | 20.1 ± 0.01 | 9.63 ± 0.01 | 62.5 ± 0.01 | 30.3 ± 0.01 | 7.20 ± 0.00 | 114.6 ± 0.01 | |
| 48th cycle | 4.37 ± 0.03 | 1.95 ± 0.01 | 62.8 ± 0.22 | 19.7 ± 0.13 | 8.42 ± 0.15 | 64.4 ± 0.22 | 28.1 ± 0.28 | 7.55 ± 0.07 | 111.2 ± 0.41 | ||
| RCanO-IV | 0 cycle | 4.15 ± 0.01 | 1.84 ± 0.01 | 61.2 ± 0.01 | 20.3 ± 0.01 | 9.74 ± 0.02 | 62.8 ± 0.02 | 30.1 ± 0.03 | 7.15 ± 0.02 | 114.5 ± 0.06 | |
| 48th cycle | 4.36 ± 0.01 | 1.92 ± 0.01 | 63.1 ± 0.12 | 19.3 ± 0.04 | 8.47 ± 0.09 | 64.7 ± 0.10 | 27.8 ± 0.13 | 7.54 ± 0.03 | 111.0 ± 0.22 |
© 2019 by the authors. Licensee MDPI, Basel, Switzerland. This article is an open access article distributed under the terms and conditions of the Creative Commons Attribution (CC BY) license (http://creativecommons.org/licenses/by/4.0/).
Share and Cite
Adjonu, R.; Zhou, Z.; Prenzler, P.D.; Ayton, J.; Blanchard, C.L. Different Processing Practices and the Frying Life of Refined Canola Oil. Foods 2019, 8, 527. https://doi.org/10.3390/foods8110527
Adjonu R, Zhou Z, Prenzler PD, Ayton J, Blanchard CL. Different Processing Practices and the Frying Life of Refined Canola Oil. Foods. 2019; 8(11):527. https://doi.org/10.3390/foods8110527
Chicago/Turabian StyleAdjonu, Randy, Zhongkai Zhou, Paul D. Prenzler, Jamie Ayton, and Christopher L. Blanchard. 2019. "Different Processing Practices and the Frying Life of Refined Canola Oil" Foods 8, no. 11: 527. https://doi.org/10.3390/foods8110527
APA StyleAdjonu, R., Zhou, Z., Prenzler, P. D., Ayton, J., & Blanchard, C. L. (2019). Different Processing Practices and the Frying Life of Refined Canola Oil. Foods, 8(11), 527. https://doi.org/10.3390/foods8110527

