Dietary Supplementation of Tannin-Extracts to Lambs: Effects on Meat Fatty Acids Composition and Stability and on Microbial Characteristics
Abstract
1. Introduction
2. Materials and Methods
2.1. Animals, Diets and Samplings Procedures
2.2. Sampling and Analyses of Feeds
2.3. Vitamin E, Intramuscular Fat (IMF) and Fatty Acid Profile of Meat
2.4. Meat Oxidative Stability Measurements
2.5. Microbiological Analysis
2.6. Isolation and Genetic Identification of Psychrotrophic Bacteria
2.7. Statistical Analysis
3. Results
3.1. Animal Performance Parameters
3.2. Muscle Chemical Parameters and Oxidative Stability
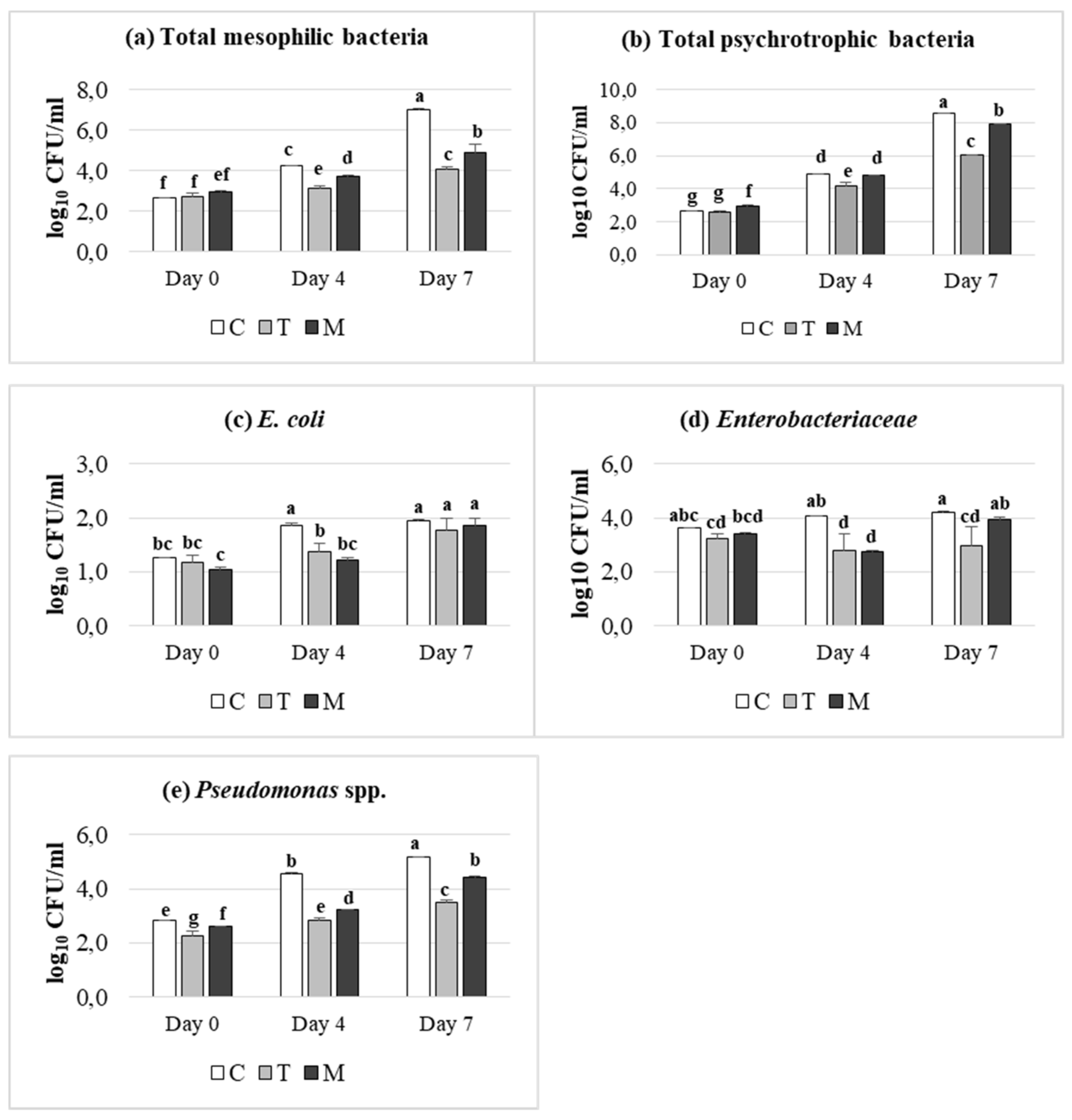
3.3. Microbiological Results
3.4. Isolation and Genetic Identification of Psychrotrophic Bacteria
4. Discussion
4.1. Fatty Acid Composition
4.2. Oxidative Stability of Meat
4.3. Microbiological Quality of the Lamb Meat
5. Conclusions
Supplementary Materials
Author Contributions
Funding
Conflicts of Interest
References
- Shah, M.A.; Don Bosco, S.J.; Mir, S.H. Plant extracts as natural antioxidants in meat and meat products. Meat Sci. 2014, 98, 21–33. [Google Scholar] [CrossRef] [PubMed]
- Falowo, A.B.; Fayemi, P.O.; Muchenjeet, V. Natural antioxidants against lipid–protein oxidative deterioration in meat and meat products: A review. Food Res. Int. 2014, 64, 171–181. [Google Scholar] [CrossRef] [PubMed]
- Papuc, C.; Goran, G.V.; Predescu, C.N.; Nicorescu, V.; Stefan, G. Plant polyphenols as antioxidant and antibacterial agents for shelf-life extension of meat and meat products: Classification, structures, sources, and action mechanisms. Compr. Rev. Food Sci. Food Saf. 2017, 16, 1243–1268. [Google Scholar] [CrossRef]
- Vasta, V.; Luciano, G. The effects of dietary consumption of plants secondary compounds on small ruminants’ products quality. Small Rumin. Res. 2011, 101, 150–159. [Google Scholar] [CrossRef]
- Mueller-Harvey, I. Unravelling the conundrum of tannins in animal nutrition and health. J. Sci. Food Agric. 2006, 86, 13–37. [Google Scholar] [CrossRef]
- Waghorn, G. Beneficial and detrimental effects of dietary condensed tannins for sustainable sheep and goat production progress and challenges. Anim. Feed Sci. Technol. 2008, 147, 116–139. [Google Scholar] [CrossRef]
- Vasta, V.; Makkar, H.P.S.; Mele, M.; Priolo, A. Ruminal biohydrogenation as affected by tannins in vitro. Br. J. Nutr. 2009, 102, 82–92. [Google Scholar] [CrossRef] [PubMed]
- Carreño, D.; Hervás, G.; Toral, P.G.; Belenguer, A.; Frutos, P. Ability of different types and doses of tannin extracts to modulate in vitro ruminal biohydrogenation in sheep. Anim. Feed Sci. Technol. 2015, 202, 42–51. [Google Scholar] [CrossRef]
- Morales, R.; Ungerfeld, E.M. Use of tannins to improve fatty acids profile of meat and milk quality in ruminants: A review. Chil. J. Agric. Res. 2015, 75, 239–248. [Google Scholar] [CrossRef]
- Vasta, V.; Mele, M.; Serra, A.; Scerra, M.; Luciano, G.; Lanza, M.; Priolo, A. Metabolic fate of fatty acids involved in ruminal biohydrogenation in sheep fed concentrate or herbage with or without tannins. J. Anim. Sci. 2009, 87, 2674–2684. [Google Scholar] [CrossRef]
- Willems, H.; Kreuzer, M.; Leiber, F. Alpha-linolenic and linoleic acid in meat and adipose tissue of grazing lambs differ among alpine pasture types with contrasting plant species and phenolic compound composition. Small Rumin. Res. 2014, 116, 153–164. [Google Scholar] [CrossRef]
- Vasta, V.; Daghio, M.; Cappucci, A.; Buccioni, A.; Serra, A.; Viti, C.; Mele, M. Invited review: Plant polyphenols and rumen microbiota responsible for fatty acid biohydrogenation, fiber digestion, and methane emission: Experimental evidence and methodological approaches. J. Dairy Sci. 2019, 102, 3781–3804. [Google Scholar] [CrossRef] [PubMed]
- Scalbert, A. Antimicrobial properties of tannins. Phytochemistry 1991, 30, 3875–3883. [Google Scholar] [CrossRef]
- Natalello, A.; Luciano, G.; Morbidini, L.; Valenti, B.; Pauselli, M.; Frutos, P.; Biondi, L.; Rufino-Moya, P.; Lanza, M.; Priolo, A. Effect of Feeding Pomegranate Byproduct on Fatty Acid Composition of Ruminal Digesta, Liver, and Muscle in Lambs. J. Agric. Food Chem. 2019, 67, 4472–4482. [Google Scholar] [CrossRef] [PubMed]
- Biondi, L.; Luciano, G.; Cutello, D.; Natalello, A.; Mattioli, S.; Priolo, A.; Lanza, M.; Morbidini, L.; Valenti, B. Meat quality from pigs fed tomato processing waste. Meat Sci. 2020, 159, 107940. [Google Scholar] [CrossRef] [PubMed]
- Valenti, B.; Luciano, G.; Pauselli, M.; Mattioli, S.; Biondi, L.; Priolo, A.; Natalello, A.; Morbidini, L.; Lanza, M. Dried tomato pomace supplementation to reduce lamb concentrate intake: Effects on growth performance and meat quality. Meat Sci. 2018, 145, 63–70. [Google Scholar] [CrossRef]
- Luciano, G.; Roscini, V.; Mattioli, S.; Ruggeri, S.; Gravador, R.S.; Natalello, A.; Lanza, M.; De Angelis, A.; Priolo, A. Vitamin E is the major contributor to the antioxidant capacity in lambs fed whole dried citrus pulp. Animal 2017, 11, 411–417. [Google Scholar] [CrossRef]
- Luciano, G.; Natalello, A.; Mattioli, S.; Pauselli, M.; Sebastiani, B.; Niderkorn, V.; Copani, G.; Benhissi, H.; Amanpour, A.; Valenti, B. Feeding lambs with silage mixtures of grass, sainfoin and red clover improves meat oxidative stability under high oxidative challenge. Meat Sci. 2019, 156, 59–67. [Google Scholar] [CrossRef]
- Pino, A.; Liotta, L.; Randazzo, C.L.; Todaro, A.; Mazzaglia, A.; De Nardo, F.; Chiofalo, V.; Caggia, C. Polyphasic approach to study physico-chemical, microbiological and sensorial characteristics of artisanal Nicastrese goat’s cheese. Food Microbiol. 2018, 70, 143–154. [Google Scholar] [CrossRef]
- Franzetti, L.; Scarpellini, M. Characterisation of Pseudomonas spp. isolated from foods. Ann. Microbiol. 2007, 57, 39–47. [Google Scholar] [CrossRef]
- Russo, N.; Caggia, C.; Pino, A.; Coque, T.M.; Arioli, S.; Randazzo, C.L. Enterococcus spp. in Ragusano PDO and Pecorino Siciliano cheese types: A snapshot of their antibiotic resistance distribution. Food Chem. Toxicol. 2018, 120, 277–286. [Google Scholar] [CrossRef] [PubMed]
- Campidonico, L.; Toral, P.G.; Priolo, A.; Luciano, G.; Valenti, B.; Hervás, G.; Frutos, P.; Copani, G.; Ginane, G.; Niderkorn, V. Fatty acid composition of ruminal digesta and longissimus muscle from lambs fed silage mixtures including red clover, sainfoin, and timothy. J. Anim. Sci. 2016, 94, 1550–1560. [Google Scholar] [CrossRef] [PubMed]
- Fievez, V.; Colman, E.; Castro-Montoya, J.M.; Stefanov, I.; Vlaeminck, B. Milk odd-and branched-chain fatty acids as biomarkers of rumen function—An update. Anim. Feed Sci. Technol. 2012, 172, 51–65. [Google Scholar] [CrossRef]
- Bessa, R.J.; Alves, S.P.; Santos-Silva, J. Constraints and potentials for the nutritional modulation of the fatty acid composition of ruminant meat. Eur. J. Lipid Sci. Technol. 2015, 117, 1325–1344. [Google Scholar] [CrossRef]
- Wood, J.D.; Enser, M.; Fisher, A.V.; Nute, G.R.; Sheard, P.R.; Richardson, R.I.; Hughes, S.I.; Whittington, F.M. Fat deposition, fatty acid composition and meat quality: A review. Meat Sci. 2008, 78, 343–358. [Google Scholar] [CrossRef]
- Bekhit, A.E.D.A.; Hopkins, D.L.; Fahri, F.T.; Ponnampalam, E.N. Oxidative processes in muscle systems and fresh meat: Sources, markers, and remedies. Compr. Rev. Food Sci. Food Saf. 2013, 12, 565–597. [Google Scholar] [CrossRef]
- Bellés, M.; del Mar Campo, M.; Roncalés, P.; Beltrán, J.A. Supranutritional doses of vitamin E to improve lamb meat quality. Meat Sci. 2018, 149, 14–23. [Google Scholar] [CrossRef]
- Luciano, G.; Monahan, F.J.; Vasta, V.; Biondi, L.; Lanza, M.; Priolo, A. Dietary tannins improve lamb meat colour stability. Meat Sci. 2009, 81, 120–125. [Google Scholar] [CrossRef]
- Luciano, G.; Vasta, V.; Monahan, F.J.; López-Andrés, P.; Biondi, L.; Lanza, M.; Priolo, A. Antioxidant status, colour stability and myoglobin resistance to oxidation of longissimus dorsi muscle from lambs fed a tannin-containing diet. Food Chem. 2011, 124, 1036–1042. [Google Scholar] [CrossRef]
- Howes, N.; Bekhit, A.E.-D.A.; Burritt, D.J.; Campbell, A.W. Opportunities and implications of pasture-based lamb fattening to enhance the long-chain fatty acid composition in meat. Compr. Rev. Food Sci. Food Saf. 2015, 4, 22–36. [Google Scholar] [CrossRef]
- Ortuño, J.; Serrano, R.; Bañón, S. Antioxidant and antimicrobial effects of dietary supplementation with rosemary diterpenes (carnosic acid and carnosol) vs vitamin E on lamb meat packed under protective atmosphere. Meat Sci. 2015, 110, 62–69. [Google Scholar] [CrossRef] [PubMed]
- Ortuño, J.; Serrano, R.; Bañón, S. Incorporating rosemary diterpenes in lamb diet to improve microbial quality of meat packed in different environments. Anim. Sci. J. 2017, 88, 1436–1445. [Google Scholar] [CrossRef] [PubMed]
- Nieto, G.; Díaz, P.; Bañón, S.; Garrido, M.D. Effect on lamb meat quality of including thyme (Thymus zygis ssp. gracilis) leaves in ewes’ diet. Meat Sci. 2010, 85, 82–88. [Google Scholar] [CrossRef] [PubMed]
- Soultos, N.; Tzikas, Z.E.; Christaki Papageorgiou, K.; Steris, V. The effect of dietary oregano essential oil on microbial growth of rabbit carcasses during refrigerated storage. Meat Sci. 2009, 81, 474–478. [Google Scholar] [CrossRef] [PubMed]
- Smeriglio, A.; Barreca, D.; Bellocco, E.; Trombetta, D. Proanthocyanidins and hydrolysable tannins: Occurrence, dietary intake and pharmacological effects. Br. J. Pharmacol. 2017, 174, 1244–1262. [Google Scholar] [CrossRef] [PubMed]
- Aguilar-Galvez, A.; Noratto, G.; Chambi, F.; Debaste, F.; Campos, D. Potential of tara (Caesalpinia spinosa) gallotannins and hydrolysates as natural antibacterial compounds. Food Chem. 2014, 156, 301–304. [Google Scholar] [CrossRef] [PubMed]
- Casaburi, A.; Piombino, P.; Nychas, G.J.; Villani, F.; Ercolini, D. Bacterial populations and the volatilome associated to meat spoilage. Food Microbiol. 2015, 45, 83–102. [Google Scholar] [CrossRef]
- Ercolini, D.; Casaburi, A.; Nasi, A.; Ferrocino, I.; Di Monaco, R.; Ferranti, P.; Mauriello, G.; Villani, F. Different molecular types of Pseudomonas fragi have the same overall behavior as meat spoilers. Int. J. Food Microbiol. 2010, 142, 120–131. [Google Scholar] [CrossRef]
- Nychas, G.J.E.; Skandamis, P.N.; Tassou, C.C.; Koutsoumanis, K.P. Meat spoilage during distribution. Meat Sci. 2008, 78, 77–89. [Google Scholar] [CrossRef]
- Stanborough, T.; Fegan, N.; Powell, S.M.; Tamplin, M.; Chandry, P.S. Insight into the genome of Brochothrix thermosphacta, a problematic meat spoilage bacterium. Appl. Environ. Microbiol. 2017, 83, e02786-16. [Google Scholar] [CrossRef]
- Mamlouk, K.; Macé, S.; Guilbaud, M.; Jaffrès, E.; Ferchichi, M.; Prévost, H.; Pilet, M.F.; Dousset, X. Quantification of viable Brochothrix thermosphacta in cooked shrimp and salmon by real-time PCR. Food Microbiol. 2012, 30, 173–179. [Google Scholar] [CrossRef] [PubMed]
- Nielsen, D.S.; Jacobsen, T.; Jespersen, L.; Koch, G.A.; Arneborg, N. Occurrence and growth of yeasts in processed meat products—Implications for potential spoilage. Meat Sci. 2008, 80, 919–926. [Google Scholar] [CrossRef] [PubMed]




| Basal Diet | |
|---|---|
| Dry matter (DM), g/100 g as-fed | 89.65 |
| Crude protein, g/100 g DM | 15.67 |
| Ether extract, g/100 g DM | 2.68 |
| Neutral detergent fibre, g/100 g DM | 30.36 |
| Acid detergent fibre, g/100 g DM | 15.97 |
| Acid detergent lignin, g/100 g DM | 3.62 |
| Ash, g/100 g DM | 7.01 |
| Total tocopherols, μg/g DM | 13.08 |
| α-Tocopherol, % of total tocopherols | 98.75 |
| γ-Tocopherol, % of total tocopherols | 1.16 |
| δ-tocopherol, % of total tocopherols | 0.08 |
| Fatty acids, g/kg DM | |
| 14:0 | 0.06 |
| 16:0 | 5.82 |
| 18:0 | 1.51 |
| 18:1 n-9 | 8.94 |
| 18:2 n-6 | 28.03 |
| 18:3 n-3 | 0.07 |
| 20:0 | 0.16 |
| Item 2 | C | T | M | SEM 3 | Diet Effect |
|---|---|---|---|---|---|
| IMF3, g/100 g muscle | 2.19 | 1.15 | 1.87 | 0.135 | 0.136 |
| pH | 5.94 | 5.88 | 6.00 | 0.040 | 0.490 |
| α-Tocopherol, ng/g of muscle | 258 | 468 | 340 | 44.40 | 0.149 |
| γ-Tocopherol, ng/g of muscle | 1.82 b | 3.40 a | 1.83 | 0.278 | 0.013 |
| δ-Tocopherol, ng/g of muscle | 18.6 | 20.2 | 29.0 | 2.530 | 0.200 |
| Σ Tocopherols, ng/g of muscle | 278 | 492 | 371 | 46.00 | 0.167 |
| SFA, g/100g total FAME | 39.5 | 39.9 | 40.4 | 0.593 | 0.841 |
| MUFA, g/100g total FAME | 47.0 a | 41.4 b | 45.5 a | 0.840 | 0.006 |
| PUFA, g/100g total FAME | 10.3 | 15.6 | 10.9 | 1.120 | 0.093 |
| Dietary Treatment (D) 1 | Time of Storage (T) 2 | SEM 3 | p Values 4 | |||||||
|---|---|---|---|---|---|---|---|---|---|---|
| C | T | M | 0 | 4 | 7 | D | T | D × T | ||
| L* values | 42.5 | 42.9 | 41.7 | 40.8 b | 42.8 ab | 43.5 a | 0.455 | 0.750 | <0.001 | 0.029 |
| a* values | 12.5 | 12.7 | 12.2 | 13.9 a | 12.2 b | 11.3 b | 0.279 | 0.786 | <0.001 | 0.131 |
| b* values | 11.8 | 11.6 | 10.8 | 11.1 | 11.5 | 11.6 | 0.223 | 0.396 | 0.479 | 0.084 |
| C* values | 17.3 | 17.2 | 16.4 | 17.8 | 16.8 | 16.2 | 0.314 | 0.579 | 0.035 6 | 0.085 |
| H* values | 43.6 | 42.4 | 41.4 | 38.3 c | 43.2 b | 46.0 a | 0.602 | 0.225 | <0.001 | 0.945 |
| MetMb, % of Mb | 48.4 a | 46.0 ab | 43.8 b | 38.3 c | 48.3 b | 51.6 a | 1.02 | 0.048 | <0.001 | 0.499 |
| TBARS 5, mg/kg | 0.76 | 0.83 | 0.71 | 0.18 c | 0.64 b | 1.48 a | 0.106 | 0.857 | <0.001 | 0.884 |
© 2019 by the authors. Licensee MDPI, Basel, Switzerland. This article is an open access article distributed under the terms and conditions of the Creative Commons Attribution (CC BY) license (http://creativecommons.org/licenses/by/4.0/).
Share and Cite
Biondi, L.; Randazzo, C.L.; Russo, N.; Pino, A.; Natalello, A.; Van Hoorde, K.; Caggia, C. Dietary Supplementation of Tannin-Extracts to Lambs: Effects on Meat Fatty Acids Composition and Stability and on Microbial Characteristics. Foods 2019, 8, 469. https://doi.org/10.3390/foods8100469
Biondi L, Randazzo CL, Russo N, Pino A, Natalello A, Van Hoorde K, Caggia C. Dietary Supplementation of Tannin-Extracts to Lambs: Effects on Meat Fatty Acids Composition and Stability and on Microbial Characteristics. Foods. 2019; 8(10):469. https://doi.org/10.3390/foods8100469
Chicago/Turabian StyleBiondi, Luisa, Cinzia L. Randazzo, Nunziatina Russo, Alessandra Pino, Antonio Natalello, Koenraad Van Hoorde, and Cinzia Caggia. 2019. "Dietary Supplementation of Tannin-Extracts to Lambs: Effects on Meat Fatty Acids Composition and Stability and on Microbial Characteristics" Foods 8, no. 10: 469. https://doi.org/10.3390/foods8100469
APA StyleBiondi, L., Randazzo, C. L., Russo, N., Pino, A., Natalello, A., Van Hoorde, K., & Caggia, C. (2019). Dietary Supplementation of Tannin-Extracts to Lambs: Effects on Meat Fatty Acids Composition and Stability and on Microbial Characteristics. Foods, 8(10), 469. https://doi.org/10.3390/foods8100469

