Rational Design and Virtual Screening of Antimicrobial Terpene-Based Leads from Marrubium vulgare Essential Oil: Structure-Based Optimization for Food Preservation and Safety Applications
Abstract
1. Introduction
2. Materials and Methods
2.1. Plant Material and Essential Oil Preparation
2.1.1. Plant Collection and Authentication
2.1.2. Essential Oil Extraction
2.1.3. GC–MS Analysis
2.2. Rational Design of the Hybrid Antimicrobial Library
2.2.1. Linker Module Design
2.2.2. Zinc-Binding Group Selection
2.2.3. Library Enumeration and Filtering
2.3. Ligand Structure Generation and Preparation
2.3.1. SMILES Generation and Chemical Verification
2.3.2. Three-Dimensional Structure Generation
2.3.3. Conformer Generation
2.4. Protein Target Selection and Preparation
2.4.1. Primary Target
2.4.2. Selectivity Controls
2.4.3. Protein Structure Preparation and Validation
2.5. Molecular Docking and Consensus Scoring
2.5.1. Primary Docking Screen Against LasB
2.5.2. Consensus Docking Strategy and Multitarget Profiling
2.5.3. Composite Final Score Integration
2.6. Lead Compound Selection
2.7. Induced Fit Docking and Binding Mode Refinement
2.8. Molecular Dynamics Simulations
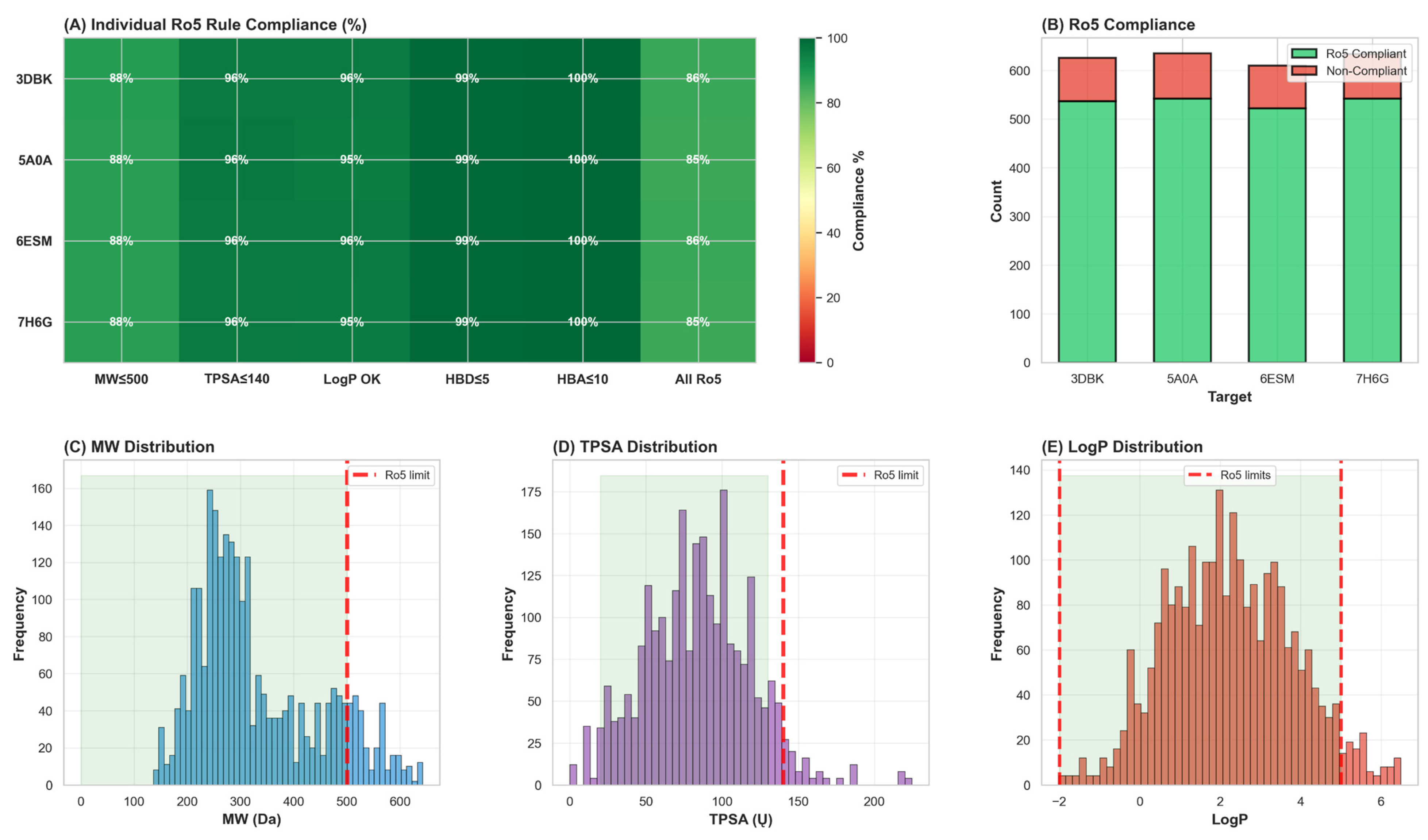
2.9. Physicochemical Profiling and Drug-Likeness Assessment
2.10. Statistical and Computational Methods
3. Results
3.1. Rational Hybrid Library Design, Physicochemical Profiling, and Chemical Diversity Assessment
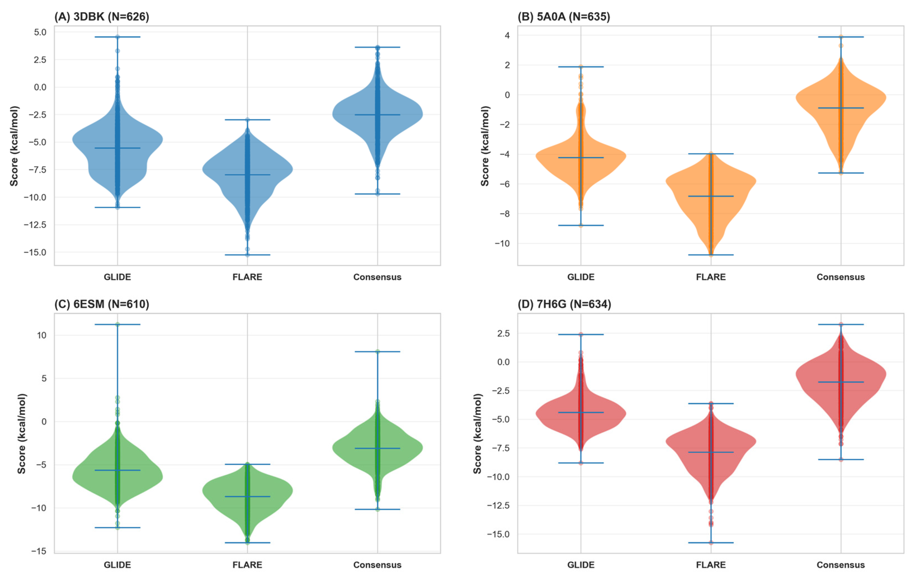
3.2. Multistage Virtual Screening Pipeline, Consensus Docking Strategy, and Multitarget Selectivity Profiling
3.3. Hierarchical Lead Selection Framework, Multicriteria Prioritization, and Benchmark Validation Against Reference Inhibitor
3.4. Quantitative Structure-Activity Relationship Analysis, Extraction of Generalizable Design Principles, and Mechanistic Insights
3.5. Molecular Dynamics Validation of Predicted Binding Modes, Replica Reproducibility Analysis, and Thermodynamic Confirmation of Binding Stability

| Compound | Docking Score (kcal/mol) | Mean RMSD (Å) | % Stable Frames | Zn Coord % | InterReplica RMSD (Å) |
|---|---|---|---|---|---|
| T1 | −12.12 | 1.20 ± 0.22 | 98.7 | 98.7 | 0.12 |
| C1 | −11.59 | 1.45 ± 0.28 | 96.2 | 96.2 | 0.18 |
| T2 | −12.19 | 1.85 ± 0.35 | 92.8 | 92.8 | 0.21 |
| Reference | −11.87 | 0.85 ± 0.15 | 100.0 | 100.0 | 0.08 |

4. Discussion
5. Conclusions
Supplementary Materials
Author Contributions
Funding
Institutional Review Board Statement
Informed Consent Statement
Data Availability Statement
Conflicts of Interest
References
- Zhu, Y.; Wang, W.; Li, M.; Zhang, J.; Ji, L.; Zhao, Z.; Zhang, R.; Cai, D.; Chen, L. Microbial Diversity of Meat Products under Spoilage and Its Controlling Approaches. Front. Nutr. 2022, 9, 1078201. [Google Scholar] [CrossRef] [PubMed]
- Luong, N.D.M.; Coroller, L.; Zagorec, M.; Membré, J.M.; Guillou, S. Spoilage of Chilled Fresh Meat Products during Storage: A Quantitative Analysis of Literature Data. Microorganisms 2020, 8, 1198. [Google Scholar] [CrossRef] [PubMed]
- Raposo, A.; Pérez, E.; de Faria, C.T.; Ferrús, M.A.; Carrascosa, C. Food Spoilage by Pseudomonas Spp.-An Overview. In Foodborne Pathogens and Antibiotic Resistance; Wiley: Hoboken, NJ, USA, 2017; pp. 41–71. [Google Scholar] [CrossRef]
- Quintieri, L.; Caputo, L.; Brasca, M.; Fanelli, F. Recent Advances in the Mechanisms and Regulation of QS in Dairy Spoilage by Pseudomonas Spp. Foods 2021, 10, 3088. [Google Scholar] [CrossRef] [PubMed]
- Meng, L.; Zhang, Y.; Liu, H.; Zhao, S.; Wang, J.; Zheng, N. Characterization of Pseudomonas Spp. and Associated Proteolytic Properties in Raw Milk Stored at Low Temperatures. Front. Microbiol. 2017, 8, 287552. [Google Scholar] [CrossRef]
- Calhoun, C.; Geornaras, I.; Zhang, P. Pseudomonas in Meat Processing Environments. Foods 2025, 14, 1615. [Google Scholar] [CrossRef]
- Tryfinopoulou, P.; Tsakalidou, E.; Nychas, G.J.E. Characterization of Pseudomonas Spp. Associated with Spoilage of Gilt-Head Sea Bream Stored under Various Conditions. Appl. Environ. Microbiol. 2002, 68, 65. [Google Scholar] [CrossRef]
- Liu, S.; Shao, L.; Dong, Y.; Gong, J.; Yang, X.; Li, F.; Xu, X.; Wang, H. Hydrolysis of Myofibrillar Proteins by Protease AprA Secreted from Pseudomonas fragi: Preference for Degrading Ala-Linked Peptide Bonds. Food Chem. 2025, 479, 143756. [Google Scholar] [CrossRef]
- Muthuraman, S.; Palmer, J.; Flint, S. Enzymatic Dispersion of Pseudomonad Biofilms Grown at Psychrotrophic Temperature. Food Bioprod. Process. 2026, 155, 179–188. [Google Scholar] [CrossRef]
- AlShaikh-Mubarak, G.A.; Kotb, E.; Alabdalall, A.H.; Aldayel, M.F. A Survey of Elastase-Producing Bacteria and Characteristics of the Most Potent Producer, Priestia Megaterium Gasm32. PLoS ONE 2023, 18, e0282963. [Google Scholar] [CrossRef]
- Rezaloo, M.; Motalebi, A.; Mashak, Z.; Anvar, A. Prevalence, Antimicrobial Resistance, and Molecular Description of Pseudomonas aeruginosa Isolated from Meat and Meat Products. J. Food Qual. 2022, 2022, 9899338. [Google Scholar] [CrossRef]
- Everett, M.J.; Davies, D.T.; Leiris, S.; Sprynski, N.; Llanos, A.; Castandet, J.M.; Lozano, C.; LaRock, C.N.; LaRock, D.L.; Corsica, G.; et al. Chemical Optimization of Selective Pseudomonas aeruginosa LasB Elastase Inhibitors and Their Impact on LasB-Mediated Activation of IL-1β in Cellular and Animal Infection Models. ACS Infect. Dis. 2023, 9, 270. [Google Scholar] [CrossRef]
- Camberlein, V.; Jézéquel, G.; Haupenthal, J.; Hirsch, A.K.H. The Structures and Binding Modes of Small-Molecule Inhibitors of Pseudomonas aeruginosa Elastase LasB. Antibiotics 2022, 11, 1060. [Google Scholar] [CrossRef] [PubMed]
- Bloomfield, S.J.; Palau, R.; Holden, E.R.; Webber, M.A.; Mather, A.E. Genomic Characterization of Pseudomonas Spp. on Food: Implications for Spoilage, Antimicrobial Resistance and Human Infection. BMC Microbiol. 2024, 24, 20. [Google Scholar] [CrossRef] [PubMed]
- İnat, G.; Sırıken, B.; Başkan, C.; Erol, İ.; Yıldırım, T.; Çiftci, A. Quorum Sensing Systems and Related Virulence Factors in Pseudomonas aeruginosa Isolated from Chicken Meat and Ground Beef. Sci. Rep. 2021, 11, 15639. [Google Scholar] [CrossRef] [PubMed]
- Liu, S.; Shao, L.; Gong, J.; Sheng, J.; Ning, Z.; Xu, X.; Wang, H. Discovery of a Temperature-Dependent Protease Spoiling Meat from Pseudomonas fragi: Target to Myofibrillar and Sarcoplasmic Proteins Rather than Collagen. Food Chem. 2024, 457, 140155. [Google Scholar] [CrossRef]
- Cathcart, G.R.A.; Quinn, D.; Greer, B.; Harriott, P.; Lynas, J.F.; Gilmore, B.F.; Walker, B. Novel Inhibitors of the Pseudomonas aeruginosa Virulence Factor LasB: A Potential Therapeutic Approach for the Attenuation of Virulence Mechanisms in Pseudomonal Infection. Antimicrob. Agents Chemother. 2011, 55, 2670–2678. [Google Scholar] [CrossRef]
- Zhou, J.W.; Ji, P.C.; Wang, C.Y.; Yang, Y.J.; Zhao, X.Y.; Tang, H.Z. Anti-Virulence Activity of Dihydrocuminyl Aldehyde and Nisin against Spoilage Bacterium Pseudomonas aeruginosa XZ01. LWT 2023, 177, 114573. [Google Scholar] [CrossRef]
- Da Sailva Alexandre, M.A.; de Santana, T.N.; Pena, L.A.; Duarte, A.M.; dos Santos, L.C.; Alves, S.J.F.; Dias, R.M.; de Abreu Oliveira, A.V.; Machado, S.G.; Eller, M.R. A Comprehensive Review on the Prevalence and Issues Caused by Pseudomonas Spp. in Food. Food Control 2025, 177, 111428. [Google Scholar] [CrossRef]
- Li, X.; Gu, N.; Huang, T.-Y.; Zhong, F.; Peng, G. Pseudomonas aeruginosa: A Typical Biofilm-Forming Pathogen and an Emerging but Underestimated Pathogen in Food Processing. Front. Microbiol. 2023, 14, 1114199. [Google Scholar]
- Hyldgaard, M.; Mygind, T.; Meyer, R.L. Essential Oils in Food Preservation: Mode of Action, Synergies, and Interactions with Food Matrix Components. Front. Microbiol. 2012, 3, 20029. [Google Scholar] [CrossRef]
- Diogo Gonçalves, S.; Paiva-Cardoso, M.D.N.; Caramelo, A. Green Preservation Strategies: The Role of Essential Oils in Sustainable Food Preservatives. Sustainability 2025, 17, 7326. [Google Scholar] [CrossRef]
- Pateiro, M.; Munekata, P.E.S.; Sant’Ana, A.S.; Domínguez, R.; Rodríguez-Lázaro, D.; Lorenzo, J.M. Application of Essential Oils as Antimicrobial Agents against Spoilage and Pathogenic Microorganisms in Meat Products. Int. J. Food Microbiol. 2021, 337, 108966. [Google Scholar] [CrossRef] [PubMed]
- Najafian, S. Preservation of Essential Oil Quality in Endangered Ziziphora Tenuior L. under Different Storage Conditions. Sci. Rep. 2025, 15, 40535. [Google Scholar] [CrossRef] [PubMed]
- Rabbani, A.; Khaliq, A.; Mudgil, P.; Maqsood, S.; Nazir, A. Recent Advances in Lemongrass Essential Oil: Food Safety, Preservation, and Bioactivity in Food Systems. Compr. Rev. Food Sci. Food Saf. 2026, 25, e70350. [Google Scholar] [CrossRef]
- El-Seedi, H.R.; Najjaa, H.; Gatran, R.; Harabi, M.; Abo-Atya, D.M.; Khalifa, S.A.M.; Ben Arfa, A.; Guo, Z.; Neffati, M. Insights into North African Endemic Plants and Their Applications in the Food Industry with Particular Emphasis on Their Quality and Safety Assessment. Beni-Suef Univ. J. Basic Appl. Sci. 2025, 14, 107. [Google Scholar] [CrossRef]
- U.S. Food and Drug Administration. Substances Generally Recognized as Safe (GRAS); FDA: Silver Spring, MD, USA, 2026. [Google Scholar]
- Lounnas, V.; Ritschel, T.; Kelder, J.; McGuire, R.; Bywater, R.P.; Foloppe, N. Current Progress in Structure-Based Rational Drug Design Marks a New Mindset in Drug Discovery. Comput. Struct. Biotechnol. J. 2013, 5, e201302011. [Google Scholar] [CrossRef]
- Hawash, M. Next-Generation HDAC Inhibitors: Advancing Zinc-Binding Group Design for Enhanced Cancer Therapy. Cells 2025, 14, 1997. [Google Scholar] [CrossRef]
- Mathpal, S.; Sharma, P.; Joshi, T.; Pande, V.; Mahmud, S.; Jeong, M.K.; Obaidullah, A.J.; Chandra, S.; Kim, B. Identification of Zinc-Binding Inhibitors of Matrix Metalloproteinase-9 to Prevent Cancer Through Deep Learning and Molecular Dynamics Simulation Approach. Front. Mol. Biosci. 2022, 9, 857430. [Google Scholar] [CrossRef]
- Hu, X.; Balaz, S.; Shelver, W.H. A Practical Approach to Docking of Zinc Metalloproteinase Inhibitors. J. Mol. Graph. Model. 2004, 22, 293–307. [Google Scholar] [CrossRef]
- Rezgui, M.; Basma, M.; Neng, N.; Nogueira, J.M.; Ben-Kaab, L.B.; Machado Araújo, M.E. Evaluation of Marrubium vulgare Growing Wild in Tunisia for Its Potential as a Dietary Supplement. Foods 2021, 10, 2864. [Google Scholar] [CrossRef]
- Everett, M.J.; Davies, D.T. Pseudomonas Aeruginosa Elastase (LasB) as a Therapeutic Target. Drug Discov. Today 2021, 26, 2108–2123. [Google Scholar] [CrossRef]
- Luciardi, M.C.; Blázquez, M.A.; Alberto, M.R.; Cartagena, E.; Arena, M.E. Lemon Oils Attenuate the Pathogenicity of Pseudomonas Aeruginosa by Quorum Sensing Inhibition. Molecules 2021, 26, 2863. [Google Scholar] [CrossRef]
- Dive, V.; Georgiadis, D.; Matziari, M.; Makaritis, A.; Beau, F.; Cuniasse, P.; Yiotakis, A. Phosphinic Peptides as Zinc Metalloproteinase Inhibitors. Cell. Mol. Life Sci. 2004, 61, 2010–2019. [Google Scholar] [CrossRef] [PubMed]
- Pires, G.S.; Tolomeu, H.V.; Rodrigues, D.A.; Lima, L.M.; Fraga, C.A.M.; Pinheiro, P.d.S.M. Drug Discovery for Histone Deacetylase Inhibition: Past, Present and Future of Zinc-Binding Groups. Pharmaceuticals 2025, 18, 577. [Google Scholar] [CrossRef] [PubMed]
- RCSB PDB. Homepage. Available online: https://www.rcsb.org/ (accessed on 22 January 2026).
- Tarhouni, N.; Bayoudh, A.; Ben Slima, A.; Mekrazi, S.; El Aguel, A.; Khabir, A.; Kallel, I.; Soussi, A. Preventing Bifenthrin-Induced Testicular Toxicity in Rats Using Citrus Sinensis Essential Oil. J. Essent. Oil Bear. Plants 2024, 27, 849–869. [Google Scholar] [CrossRef]
- Bayoudh, A.; Tarhouni, N.; Ben Mansour, R.; Mekrazi, S.; Sadraoui, R.; Kriaa, K.; Ahmed, Z.; Soussi, A.; Kallel, I.; Hadrich, B. Integrated Network Pharmacology and Molecular Dynamics Reveal Multi-Target Anticancer Mechanisms of Myrtus communis Essential Oils. Pharmaceuticals 2025, 18, 1542. [Google Scholar] [CrossRef]
- Kallel, I.; Tarhouni, N.; Elaguel, A.; Mekrazi, S.; Khabir, A.; Hadrich, B.; Bayoudh, A. The Phytochemical and Pharmacological Properties of Citrus sinensis ‘Maltese Half-Blood’ Essential Oil Peels Extracted and Optimized by Response-Surface Methodology. Curr. Pharm. Biotechnol. 2023, 24, 1938–1951. [Google Scholar] [CrossRef]
- Sabbah, M.; Mendes, V.; Vistal, R.G.; Dias, D.M.G.; Záhorszká, M.; Mikušová, K.; Korduláková, J.; Coyne, A.G.; Blundell, T.L.; Abell, C. Fragment-Based Design of Mycobacterium tuberculosis Inha Inhibitors. J. Med. Chem. 2020, 63, 4749–4761. [Google Scholar] [CrossRef]
- Konaklieva, M.I.; Plotkin, B.J. Fragment-Based Lead Discovery Strategies in Antimicrobial Drug Discovery. Antibiotics 2023, 12, 315. [Google Scholar] [CrossRef]
- Ding, Y.; Xue, X. Medicinal Chemistry Strategies for the Modification of Bioactive Natural Products. Molecules 2024, 29, 689. [Google Scholar] [CrossRef]
- Puerta, D.T.; Lewis, J.A.; Cohen, S.M. New Beginnings for Matrix Metalloproteinase Inhibitors: Identification of High-Affinity Zinc-Binding Groups. J. Am. Chem. Soc. 2004, 126, 8388–8389. [Google Scholar] [CrossRef] [PubMed]
- Parellada, J.; Suárez, G.; Guinea, M. Inhibition of Zinc Metallopeptidases by Flavonoids and Related Phenolic Compounds: Structure-Activity Relationships. J. Enzyme Inhib. 1998, 13, 347–359. [Google Scholar] [CrossRef] [PubMed]
- Georgiadis, D.; Skoulikas, N.; Papakyriakou, A.; Stratikos, E. Phosphinic Peptides as Tool Compounds for the Study of Pharmacologically Relevant Zn-Metalloproteases. ACS Pharmacol. Transl. Sci. 2022, 5, 1228. [Google Scholar] [CrossRef] [PubMed]
- Ultee, A.; Bennik, M.H.J.; Moezelaar, R. The Phenolic Hydroxyl Group of Carvacrol Is Essential for Action against the Food-Borne Pathogen Bacillus cereus. Appl. Environ. Microbiol. 2002, 68, 1561. [Google Scholar] [CrossRef]
- Potok, P.; Woźniak-Laszczyńska, W.; Wieczorek, R.; Capdevila, M.; Palacios, Ò.; Gumienna-Kontecka, E.; Potocki, S. Substrate-Mimicking Peptides as MMP-1 Inhibitors: Impact of Zinc-Binding Group Position on Ternary Complex Stability. Inorg. Chem. 2026, in press. [Google Scholar] [CrossRef]
- Landrum, G. RDKit: Open-Source Cheminformatics. Available online: https://www.rdkit.org (accessed on 26 January 2026).
- Lu, C.; Wu, C.; Ghoreishi, D.; Chen, W.; Wang, L.; Damm, W.; Ross, G.A.; Dahlgren, M.K.; Russell, E.; Von Bargen, C.D.; et al. OPLS4: Improving Force Field Accuracy on Challenging Regimes of Chemical Space. J. Chem. Theory Comput. 2021, 17, 4291–4300. [Google Scholar] [CrossRef]
- RCSB Protein Data Bank. Structure 3DBK: Pseudomonas Aeruginosa Elastase; Research Collaboratory for Structural Bioinformatics (RCSB): Piscataway, NJ, USA, 2026. [Google Scholar]
- Friesner, R.A.; Banks, J.L.; Murphy, R.B. Glide: A New Approach for Rapid, Accurate Docking. J. Med. Chem. 2004, 47, 1739–1749. [Google Scholar]
- Friesner, R.A.; Murphy, R.B.; Repasky, M.P.; Frye, L.L.; Greenwood, J.R.; Halgren, T.A.; Sanschagrin, P.C.; Mainz, D.T. Extra Precision Glide: Docking and Scoring Incorporating a Model of Hydrophobic Enclosure for Protein-Ligand Complexes. J. Med. Chem. 2006, 49, 6177–6196. [Google Scholar]
- Blanes-Mira, C.; Fernández-Aguado, P.; de Andrés-López, J.; Fernández-Carvajal, A.; Ferrer-Montiel, A.; Fernández-Ballester, G. Comprehensive Survey of Consensus Docking for High-Throughput Virtual Screening. Molecules 2022, 28, 175. [Google Scholar] [CrossRef]
- Tuccinardi, T.; Poli, G.; Romboli, V.; Giordano, A.; Martinelli, A. Extensive Consensus Docking Evaluation for Ligand Pose Prediction and Virtual Screening Studies. J. Chem. Inf. Model. 2014, 54, 2980–2986. [Google Scholar] [CrossRef]
- Lipinski, C.A. Drug-like Properties and the Causes of Poor Solubility and Poor Permeability. J. Pharmacol. Toxicol. Methods 2000, 44, 235–249. [Google Scholar] [CrossRef] [PubMed]
- Lu, D.; Luo, D.; Zhang, Y.; Wang, B. A Robust Induced Fit Docking Approach with the Combination of the Hybrid All-Atom/United-Atom/Coarse-Grained Model and Simulated Annealing. J. Chem. Theory Comput. 2024, 20, 6414–6423. [Google Scholar] [CrossRef] [PubMed]
- Sherman, W.; Day, T.; Jacobson, M.P.; Friesner, R.A.; Farid, R. Novel Procedure for Modeling Ligand/Receptor Induced Fit Effects. J. Med. Chem. 2006, 49, 534–553. [Google Scholar] [CrossRef] [PubMed]
- De Vivo, M.; Masetti, M.; Bottegoni, G.; Cavalli, A. Role of Molecular Dynamics and Related Methods in Drug Discovery. J. Med. Chem. 2016, 59, 4035–4061. [Google Scholar] [CrossRef]
- D. E. Shaw Research. Desmond Molecular Dynamics System 2025; D. E. Shaw Research: New York, NY, USA, 2025. [Google Scholar]
- Caminero Gomes Soares, A.; Marques Sousa, G.H.; Calil, R.L.; Goulart Trossini, G.H. Absorption Matters: A Closer Look at Popular Oral Bioavailability Rules for Drug Approvals. Mol. Inform. 2023, 42, e202300115. [Google Scholar] [CrossRef]
- Kralj, S.; Jukič, M.; Bren, U. Molecular Filters in Medicinal Chemistry. Encyclopedia 2023, 3, 501–511. [Google Scholar] [CrossRef]
- Metelkina, O.; Konstantinović, J.; Klein, A.; Shafiei, R.; Fares, M.; Alhayek, A.; Yahiaoui, S.; Elgaher, W.A.M.; Haupenthal, J.; Titz, A.; et al. Dual Inhibitors of Pseudomonas aeruginosa Virulence Factors LecA and LasB. Chem. Sci. 2024, 15, 13333–13342. [Google Scholar] [CrossRef]
- Velázquez-Libera, J.L.; Caballero, J.; Murillo-López, J.A.; de la Torre, A.F. Structural Requirements of N-Alpha-Mercaptoacetyl Dipeptide (NAMdP) Inhibitors of Pseudomonas aeruginosa Virulence Factor LasB: 3D-QSAR, Molecular Docking, and Interaction Fingerprint Studies. Int. J. Mol. Sci. 2019, 20, 6133. [Google Scholar] [CrossRef]
- Galdino, A.C.M.; Viganor, L.; De Castro, A.A.; Da Cunha, E.F.F.; Mello, T.P.; Mattos, L.M.; Pereira, M.D.; Hunt, M.C.; O’Shaughnessy, M.; Howe, O.; et al. Disarming Pseudomonas aeruginosa Virulence by the Inhibitory Action of 1,10-Phenanthroline-5,6-Dione-Based Compounds: Elastase B (LasB) as a Chemotherapeutic Target. Front. Microbiol. 2019, 10, 455359. [Google Scholar] [CrossRef]
- Adekoya, O.A.; Willassen, N.P.; Sylte, I. Molecular Insight into Pseudolysin Inhibition Using the MM-PBSA and LIE Methods. J. Struct. Biol. 2006, 153, 129–144. [Google Scholar] [CrossRef]
- Feyaerts, A.F.; Luyten, W.; Van Dijck, P. Striking Essential Oil: Tapping into a Largely Unexplored Source for Drug Discovery. Sci. Rep. 2020, 10, 2867. [Google Scholar] [CrossRef]
- Mołdoch, J.; Agacka-Mołdoch, M.; Jóźwiak, G.; Wojtunik-Kulesza, K. Biological Activity of Monoterpene-Based Scaffolds: A Natural Toolbox for Drug Discovery. Molecules 2025, 30, 1480. [Google Scholar] [CrossRef] [PubMed]
- Mantzourani, I.; Daoutidou, M.; Alexopoulos, A. The Antimicrobial Effect of Thymol and Carvacrol in Combination with Organic Acids Against Foodborne Pathogens in Chicken and Beef Meat Fillets. Microorganisms 2025, 13, 182. [Google Scholar] [CrossRef] [PubMed]
- Dong, H.; You, Y.; Wang, N.; Wang, M.; Song, T.; He, Y.; Zou, Y.; He, Y.; Peng, T.; Mei, L. Development of Amphipathic Derivatives of Thymol and Carvacrol as Potent Broad-Spectrum Antibacterial Agents. Eur. J. Med. Chem. 2024, 276, 116716. [Google Scholar] [CrossRef] [PubMed]
- Pandey, A.K.; Kumar, P.; Singh, P.; Tripathi, N.N.; Bajpai, V.K. Essential Oils: Sources of Antimicrobials and Food Preservatives. Front. Microbiol. 2017, 7, 2161. [Google Scholar] [CrossRef]
- Falleh, H.; Ben Jemaa, M.; Saada, M.; Ksouri, R. Essential Oils: A Promising Eco-Friendly Food Preservative. Food Chem. 2020, 330, 127268. [Google Scholar] [CrossRef]
- Ercan, L.; Çalişkan, C.G.; Akan, H. Phytochemical Profile, Antimicrobial, Antioxidant, Anti-Xanthine Oxidase, and Anti-Elastase Activities of Centaurea hyalolepis: An In Silico and In Vitro Analysis. Chem. Biodivers. 2025, 22, e202402768. [Google Scholar] [CrossRef]
- Bordón, A.; Rodríguez, S.A.; Chaves, D.S.d.A.; Cutró, A.C.; Hollmann, A. Antimicrobial Action of Essential Oil of Tagetes Minuta: Role of the Bacterial Membrane in the Mechanism of Action. Antibiotics 2025, 14, 632. [Google Scholar] [CrossRef]
- Hamdy, R.; Fayed, B.; Hamoda, A.M.; Rawas-Qalaji, M.; Haider, M.; Soliman, S.S.M.; Jeliazkov, V.; Isman, M.B.; Chemat, F.; Bankova, V.; et al. Essential Oil-Based Design and Development of Novel Anti-Candida Azoles Formulation. Molecules 2020, 25, 1463. [Google Scholar] [CrossRef]
- Arif, S.M.; Floto, R.A.; Blundell, T.L. Using Structure-Guided Fragment-Based Drug Discovery to Target Pseudomonas aeruginosa Infections in Cystic Fibrosis. Front. Mol. Biosci. 2022, 9, 857000. [Google Scholar] [CrossRef]
- Leiris, S.; Davies, D.T.; Sprynski, N.; Castandet, J.; Beyria, L.; Bodnarchuk, M.S.; Sutton, J.M.; Mullins, T.M.G.; Jones, M.W.; Forrest, A.K.; et al. Virtual Screening Approach to Identifying a Novel and Tractable Series of Pseudomonas aeruginosa Elastase Inhibitors. ACS Med. Chem. Lett. 2021, 12, 217–227. [Google Scholar] [CrossRef] [PubMed]
- Ren, Y.; Zhu, R.; You, X.; Li, D.; Guo, M.; Fei, B.; Liu, Y.; Yang, X.; Liu, X.; Li, Y. Quercetin: A Promising Virulence Inhibitor of Pseudomonas aeruginosa LasB in Vitro. Appl. Microbiol. Biotechnol. 2024, 108, 57. [Google Scholar] [CrossRef] [PubMed]
- Ahmed, S.A.K.S.; Rudden, M.; Smyth, T.J.; Dooley, J.S.G.; Marchant, R.; Banat, I.M. Natural Quorum Sensing Inhibitors Effectively Downregulate Gene Expression of Pseudomonas aeruginosa Virulence Factors. Appl. Microbiol. Biotechnol. 2019, 103, 3521–3535. [Google Scholar] [CrossRef] [PubMed]
- Tran-Nguyen, V.K.; Bret, G.; Rognan, D. True Accuracy of Fast Scoring Functions to Predict High-Throughput Screening Data from Docking Poses: The Simpler the Better. J. Chem. Inf. Model. 2021, 61, 2788–2797. [Google Scholar] [CrossRef]
- Jawarkar, R.D.; Gautre, R.; Dhakulkar, S.; Samad, A.; Shah, U.; Deshmukh, P.K.; Hussain, S.A.; Zaki, M.E.A. Application of Chemoinformatics and Molecular Simulations in Lead Optimization Targeting A549 Cell Proliferation for Lung Cancer Therapy. Chem. Phys. Impact 2026, 12, 100984. [Google Scholar] [CrossRef]
- Ogawa, H.; Ohta, M.; Ikeguchi, M. In Silico-Driven Protocol for Hit-to-Lead Optimization: A Case Study on PDE9A Inhibitors. J. Comput.-Aided Mol. Des. 2025, 40, 24. [Google Scholar] [CrossRef]
- Jorgensen, W.L. The Many Roles of Computation in Drug Discovery. Science 2004, 303, 1813–1818. [Google Scholar] [CrossRef]
- Dror, R.O.; Dirks, R.M.; Grossman, J.P.; Xu, H.; Shaw, D.E. Biomolecular Simulation: A Computational Microscope for Molecular Biology. Annu. Rev. Biophys. 2012, 41, 429–452. [Google Scholar] [CrossRef]
- Pakpahan, M.T.; Rusmerryani, M.; Kawaguchi, K.; Saito, H.; Nagao, H. Evaluation of Scoring Functions for Protein-Ligand Docking. AIP Conf. Proc. 2013, 1518, 645–648. [Google Scholar] [CrossRef]
- Pérez, C.; Ortiz, A.R. Evaluation of Docking Functions for Protein-Ligand Docking. J. Med. Chem. 2001, 44, 3768–3785. [Google Scholar] [CrossRef]
- Khwaza, V.; Aderibigbe, B.A. Antibacterial Activity of Selected Essential Oil Components and Their Derivatives: A Review. Antibiotics 2025, 14, 68. [Google Scholar] [CrossRef]
- Bleuez, C.; Koch, W.F.; Urbach, C.; Hollfelder, F.; Jermutus, L. Exploiting Protease Activation for Therapy. Drug Discov. Today 2022, 27, 1743–1754. [Google Scholar] [CrossRef]
- Martínez, O.F.; Cardoso, M.H.; Ribeiro, S.M.; Franco, O.L. Recent Advances in Anti-Virulence Therapeutic Strategies With a Focus on Dismantling Bacterial Membrane Microdomains, Toxin Neutralization, Quorum-Sensing Interference and Biofilm Inhibition. Front. Cell. Infect. Microbiol. 2019, 9, 74. [Google Scholar] [CrossRef]
- OECD. Test No. 414: Prenatal Developmental Toxicity Study. In OECD Guidelines for the Testing of Chemicals; Section 4; OECD: Paris, France, 2018. [Google Scholar] [CrossRef]







| Rank | Compound | Scaffold | Linker | ZBG | Final Score (kcal/mol) | Glide (kcal/mol) | Flare (kcal/mol) | SI |
|---|---|---|---|---|---|---|---|---|
| 12 | Reference: Phosphoramidon | — | — | — | −11.87 | −10.80 | −12.94 | 0.13 |
| 1 | Thymol-Phe-Trp-Phosphinic | Thymol | Ester | Phosphinic | −13.57 | −9.81 | −17.34 | 0.17 |
| 2 | α-Pinene-Trp-Pro-Pentyl | α-Pinene | EtherPentyl | Phosphinic | −13.46 | −8.58 | −18.35 | 0.27 |
| 3 | Limonene-Phe-Trp-Pentyl | Limonene | EtherPentyl | Phosphinic | −13.39 | −8.18 | −18.60 | 0.20 |
| 4 | Carvacro-lPhe-Trp-Ester | Carvacrol | Ester | Phosphinic | −13.21 | −9.42 | −17.00 | 0.19 |
| 5 | β-Pinene-Trp-Pro-Pentyl | β-Pinene | EtherPentyl | Phosphinic | −13.08 | −8.31 | −17.86 | 0.24 |
| 6 | Thymol-Trp-Pro-Pentyl | Thymol | EtherPentyl | Phosphinic | −12.95 | −8.05 | −17.85 | 0.22 |
| 7 | Camphor-Phe-Trp-Pentyl | Camphor | EtherPentyl | Phosphinic | −12.67 | −7.89 | −17.44 | 0.18 |
| 8 | Linalool-Trp-Pro-Pentyl | Linalool | EtherPentyl | Phosphinic | −12.43 | −7.58 | −17.28 | 0.26 |
| 9 | T2: Thymol-Leu-Phe-Phosphinic | Thymol | Ester | Phosphinic | −12.19 | −8.18 | −16.20 | 0.14 |
| 10 | T1: Thymol-Leu-Trp-Phosphinic | Thymol | Ester | Phosphinic | −12.12 | −7.95 | −16.29 | 0.12 |
| 11 | Carvacrol-Trp-Pro-Pentyl | Carvacrol | EtherPentyl | Phosphinic | −11.94 | −7.71 | −16.17 | 0.21 |
| 13 | C1: Carvacrol-Leu-Trp-Phosphinic | Carvacrol | Ester | Phosphinic | −11.59 | −7.74 | −15.43 | 0.15 |
| 14 | α-Pinene-Leu-Trp-Ester | α-Pinene | Ester | Phosphinic | −11.42 | −7.52 | −15.32 | 0.11 |
| 15 | LimoneneLeuPheEster | Limonene | Ester | Phosphinic | −11.28 | −7.38 | −15.18 | 0.16 |
| 16 | Thymol-Leu-Trp-Hydroxamic | Thymol | Amid | Hydroxamic | −11.05 | −8.94 | −13.16 | 0.08 |
| 17 | Camphor-Leu-Trp-Ester | Camphor | Ester | Phosphinic | −10.89 | −7.21 | −14.57 | 0.14 |
| 18 | Carvacrol-Leu-Phe-Ester | Carvacrol | Ester | Phosphinic | −10.73 | −7.04 | −14.42 | 0.13 |
| 19 | β-Pinene-Leu-Trp-Ester | β-Pinene | Ester | Phosphinic | −10.58 | −6.89 | −14.27 | 0.10 |
| 20 | Linalool-Leu-Trp-Pentyl | Linalool | EtherPentyl | Phosphinic | −10.41 | −6.71 | −14.11 | 0.19 |
| Compound | Consensus Rank | Consensus Final Score | IFD Score (Best Pose) | XP GScore | Prime Energy | Glide Emodel | ΔΔG vs. Phosphoramidon |
|---|---|---|---|---|---|---|---|
| Phosphoramidon (3DBK_ref) | 12 | −11.87 | −701.59 | −13.17 | −13,768.3 | −114.42 | 0.00 (Reference) |
| C1: Carvacrol-Leu-Trp-Phosphinic | 13 | −11.59 | −703.64 | −15.53 | −13,762.1 | −144.32 | −2.05 |
| Pinene-Leu-Trp-Phosphinic | 14 | −11.42 | −704.13 | −15.86 | −13,765.3 | −160.62 | −2.54 |
| Thymol-Phe-Trp-Phosphinic | 1 | −13.57 | −704.23 | −15.27 | −13,779.1 | −143.01 | −2.64 |
| Thymol-Leu-Trp-Extended-Carboxylate | 6 | −9.69 | −700.80 | −14.23 | −13,731.5 | −100.98 | +0.79 |
| Thymol-Leu-Trp-Butyl-Ester-Carboxylate | 8 | −9.66 | −701.39 | −13.03 | −13,767.2 | −105.36 | +0.20 |
| Eugenol-Leu-Trp-Phosphinic | 9 | −9.48 | −699.42 | −12.28 | −13,742.7 | −120.75 | +2.17 |
| α-Pinene-Phe-Pentyl-Phosphinic | 13 | −9.19 | −700.05 | −15.26 | −13,695.8 | −121.51 | +1.54 |
| Camphor-Phe-C3-Phosphinic | 14 | −9.15 | −696.75 | −14.49 | −13,645.2 | −107.95 | +4.84 |
| 6ESM_ligand_ref (Alt target) | 1 | −12.29 | −699.36 | −12.29 | −13,741.3 | −93.74 | +2.23 |
| Scaffold | Class | N | Mean Score ± SD (kcal/mol) | vs. Thymol p | Cohen’s d | Observation |
|---|---|---|---|---|---|---|
| Thymol | Phenolic | 119 | −7.89 ± 1.60 | — | — | Highest affinity |
| Carvacrol | Phenolic | 44 | −7.51 ± 1.74 | NS (0.12) | 0.22 | Comparable to thymol |
| Pinene | Bicyclic | 35 | −7.65 ± 1.80 | NS (0.58) | 0.13 | Good affinity |
| Limonene | Acyclic | 21 | −7.38 ± 1.67 | NS (0.31) | 0.31 | Moderate affinity |
| Camphor | Bicyclic ketone | 109 | −6.92 ± 1.74 | p < 0.05 | 0.56 | Moderate affinity |
| Linalool | Acyclic | 22 | −5.34 ± 3.25 | p < 0.001 | 0.90 | High variance; linker-dependent |
Disclaimer/Publisher’s Note: The statements, opinions and data contained in all publications are solely those of the individual author(s) and contributor(s) and not of MDPI and/or the editor(s). MDPI and/or the editor(s) disclaim responsibility for any injury to people or property resulting from any ideas, methods, instructions or products referred to in the content. |
© 2026 by the authors. Licensee MDPI, Basel, Switzerland. This article is an open access article distributed under the terms and conditions of the Creative Commons Attribution (CC BY) license.
Share and Cite
Bayoudh, A.; Tarhouni, N.; Sadraoui, R.; Hadrich, B.; Ursu, A.V.; Pierre, G.; Dubessay, P.; Michaud, P.; Kallel, I. Rational Design and Virtual Screening of Antimicrobial Terpene-Based Leads from Marrubium vulgare Essential Oil: Structure-Based Optimization for Food Preservation and Safety Applications. Foods 2026, 15, 541. https://doi.org/10.3390/foods15030541
Bayoudh A, Tarhouni N, Sadraoui R, Hadrich B, Ursu AV, Pierre G, Dubessay P, Michaud P, Kallel I. Rational Design and Virtual Screening of Antimicrobial Terpene-Based Leads from Marrubium vulgare Essential Oil: Structure-Based Optimization for Food Preservation and Safety Applications. Foods. 2026; 15(3):541. https://doi.org/10.3390/foods15030541
Chicago/Turabian StyleBayoudh, Ahmed, Nidhal Tarhouni, Raoudha Sadraoui, Bilel Hadrich, Alina Violeta Ursu, Guillaume Pierre, Pascal Dubessay, Philippe Michaud, and Imen Kallel. 2026. "Rational Design and Virtual Screening of Antimicrobial Terpene-Based Leads from Marrubium vulgare Essential Oil: Structure-Based Optimization for Food Preservation and Safety Applications" Foods 15, no. 3: 541. https://doi.org/10.3390/foods15030541
APA StyleBayoudh, A., Tarhouni, N., Sadraoui, R., Hadrich, B., Ursu, A. V., Pierre, G., Dubessay, P., Michaud, P., & Kallel, I. (2026). Rational Design and Virtual Screening of Antimicrobial Terpene-Based Leads from Marrubium vulgare Essential Oil: Structure-Based Optimization for Food Preservation and Safety Applications. Foods, 15(3), 541. https://doi.org/10.3390/foods15030541

