Process Analysis of Millet Bran Fermentation by Bacillus natto: Dynamic Changes in Enzyme Activities and Bioactive Components
Abstract
1. Introduction
2. Materials and Methods
2.1. Materials
2.2. Fermentation of Millet Bran with B. natto
2.2.1. Preparation of Defatted Millet Bran
2.2.2. Fermentation of Millet Bran
2.3. B. natto Cell and Spore Count
2.4. Enzyme Activity Assay
2.4.1. Amylase Activity
2.4.2. Protease Activity
2.4.3. Cellulase Activity
2.4.4. Fibrinolytic Activity of NK
2.5. Determination of Total Sugar and Reducing Sugar Content
2.6. Determination of β-Glucan and Arabinoxylan Content
2.7. Determination of Polyphenol Content
2.8. Determination of Polypeptide Content
2.9. Determination of SDF Content
2.10. Data Statistics and Analysis
3. Results
3.1. Dynamic Changes in the Number of Viable Bacteria and Spore During B. natto Fermentation
3.2. Dynamic Changes in Different Enzyme Activities in Millet Bran During B. natto Fermentation
3.3. Effect of B. natto Fermentation on Total Sugar and Reducing Sugar Content
3.4. Dynamic Changes in Bioactive Component Contents in Millet Bran During Fermentation with B. natto
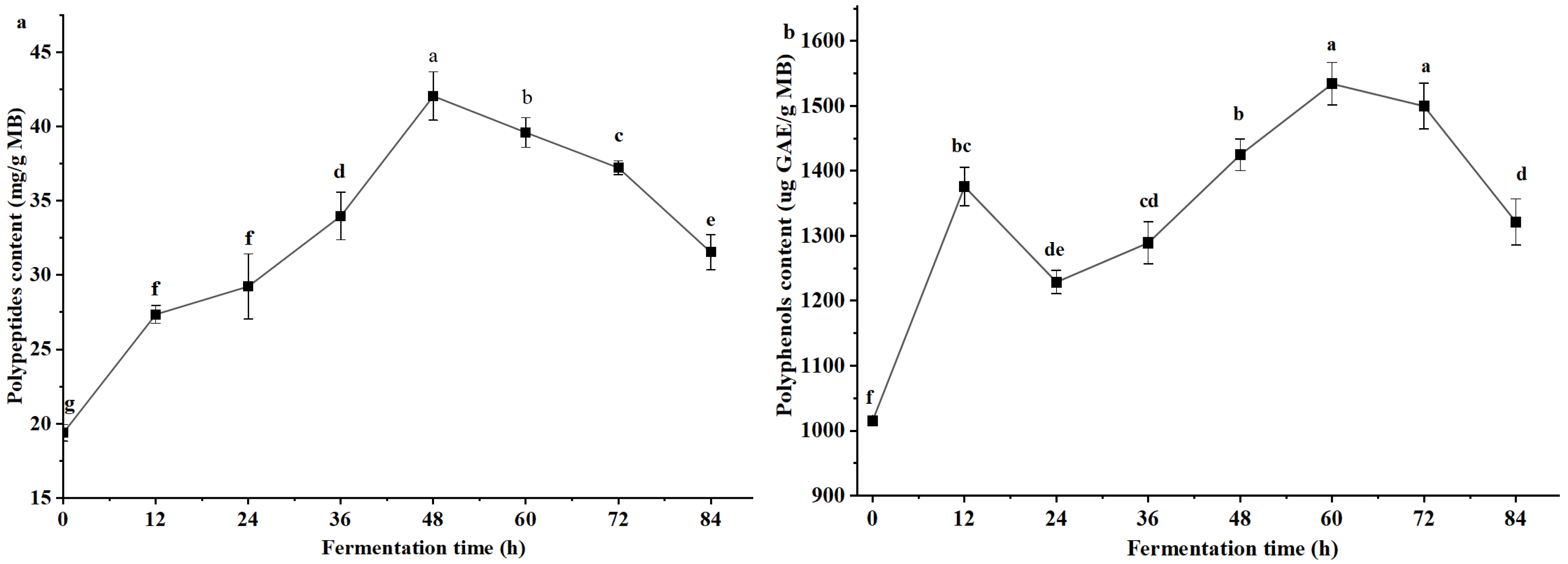
3.4.1. Polypeptide Content
3.4.2. Polyphenol Content
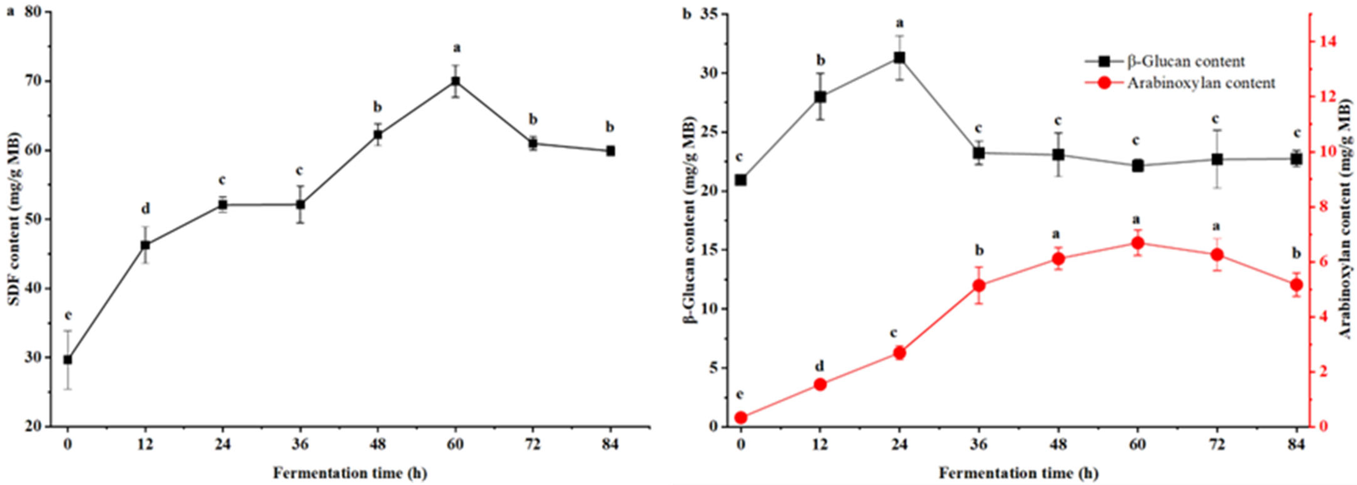
3.4.3. Dynamic Changes in SDF Content in Millet Bran During B. natto Fermentation
3.4.4. Dynamic Changes in β-Glucan and Arabinoxylan Content in Millet Bran During B. natto Fermentation
4. Discussion
4.1. Interrelationship Between Microbial Growth and Metabolic Progression
4.2. Differential Kinetics and Mechanistic Insights into the Generation of Active Components
4.3. Implications for Process Optimization and Application Prospects
5. Conclusions
Author Contributions
Funding
Institutional Review Board Statement
Informed Consent Statement
Data Availability Statement
Conflicts of Interest
References
- Stanley, J.; Vyshnavi, A.; Kiranmai, E.; Sailaja, P.; Hemasankari, P.; Madhavi, M.; Shreeja Reddy, M. From waste to worth: Valorizing millet by-products for functional use. Food Hum. 2025, 5, 100807. [Google Scholar] [CrossRef]
- Gao, X.; Fan, R.F.; Tan, L.; Fu, J.Q. Recent advances in the applications of Bacillus subtilis in the fermentation of food: Improving product quality and enhancing biological activity. Food Res. Int. 2025, 221, 117427. [Google Scholar] [CrossRef]
- Li, P.; Hu, Y.; Li, Y.; Bao, Y.; Wang, X.; Piao, C. Co-production of nattokinase and α-amylase from Bacillus natto fermentation using okara. J. Food Process. Preserv. 2022, 46, e17130. [Google Scholar] [CrossRef]
- Vadala, B.S.; Deshpande, S.; Apte-Deshpande, A. Soluble expression of recombinant active cellulase in E. coli using B. subtilis (natto strain) cellulase gene. J. Genet. Genom. 2021, 19, 7. [Google Scholar]
- Kukreti, N.; Kumar, P.; Kataria, R. Sustainable biotransformation of lignocellulosic biomass to microbial enzymes: An overview and update. Ind. Crops Prod. 2024, 222, 119432. [Google Scholar] [CrossRef]
- Akinsemolu, A.A.; Onyeaka, H.; Odion, S.; Adebanjo, I. Exploring Bacillus subtilis: Ecology, biotechnological applications, and future prospects. J. Basic Microbiol. 2024, 64, 2300614. [Google Scholar] [CrossRef]
- Su, Y.; Liu, C.; Fang, H.; Zhang, D.W. Bacillus subtilis: A universal cell factory for industry, agriculture, biomaterials and medicine. Microb. Cell Factories 2020, 19, 173. [Google Scholar] [CrossRef]
- Meng, M.; Hu, P.; Zhang, J.; Wang, Z.; Yuan, F.; Wang, S.; Li, S. Efficient conversion of insoluble dietary fiber to soluble dietary fiber by Bacillus subtilis BSNK-5 fermentation of okara and improvement of their structural and functional properties. Food Chem. 2025, 474, 143188. [Google Scholar] [CrossRef]
- Zhang, Q.; Li, M.; Cheng, Z.; Meng, J.; Li, Y. Optimization of polyphenols release from Highland barley bran by solid-state fermentation and antioxidant activity characterization. Fermentation 2024, 10, 438. [Google Scholar] [CrossRef]
- Wang, H.J.; Chang, L.; Lin, Y.S. Changes in functionality of germinated and non-germinated brown rice fermented by Bacillus natto. Foods 2021, 10, 2779. [Google Scholar] [CrossRef] [PubMed]
- Chu, J.; Zhao, H.; Lu, Z.; Lu, F.; Bie, X.; Zhang, C. Improved physicochemical and functional properties of dietary fiber from millet bran fermented by Bacillus natto. Food Chem. 2019, 294, 79–86. [Google Scholar] [CrossRef]
- Zhan, Q.; Thakur, K.; Feng, J.; Zhu, Y.; Zhang, J.; Wei, Z.J. LC-MS based metabolomics analysis of okara fermented by Bacillus subtilis DC-15: Insights into nutritional and functional profile. Food Chem. 2023, 413, 135656. [Google Scholar] [CrossRef]
- Yang, D.; Wang, A.; Lu, Z.X.; Lv, F.X.; Bie, X.M.; Meng, F.Q.; Zhao, H.Z. Effects of Bacillus natto fermentation on the structure and physicochemical properties of millet bran dietary fiber. J. Nanjing Agric. Univ. 2023, 46, 179–188. [Google Scholar]
- Abasi, M.W.; Zaki, M.J.; Anis, M. Application of Bacillus species cultured on different low-cost organic substrates for the control of root-knot nematode infection on okra (Abelmoschus esculentus Moench). Pak. J. Bot. 2013, 45, 1079–1084. [Google Scholar]
- Dong, F.H.; Wang, Y.H.; Li, Y.; Li, Y.Q. Research on rapid detection method for spore counting of viable organism preparation of Bacillus licheniformis. Chin. J. Mod. Appl. Pharm. 2020, 37, 1333–1337. [Google Scholar]
- GB 4789.2-2022; National Food Safety Standard-Food Microbiological Examination: Determination of Total Aerobic Plate Count. Standards Press of China: Beijing, China, 2022.
- Ezeji, T.; Wolf, A.; Bahl, H. Isolation, characterization, and identification of Geobacillus thermodenitrificans HRO10, an α-amylase and α-glucosidase producing thermophile. Can. J. Microbiol. 2005, 51, 685–693. [Google Scholar] [CrossRef] [PubMed]
- Rai, A.K.; Sanjukta, S.; Chourasia, R.; Bhat, I.; Bhardwaj, P.K.; Sahoo, D. Production of bioactive hydrolysate using protease, β-glucosidase and α-amylase of Bacillus spp. isolated from kinema. Bioresour. Technol. 2017, 235, 358–365. [Google Scholar] [CrossRef]
- Wang, Z.G.; Yang, W.J.; Sun, L.H.; Zhu, B.J.; Li, D.H.; Liu, C.L. Characterization of a neutral protease gene of Bacillus subtilis isolated from the guts of bombyx mori. Pak. J. Zool. 2016, 48, 179–185. [Google Scholar]
- Zhang, Z.C.; Shah, A.M.; Mohamed, H.; Tsiklauri, N.; Song, Y.D. Isolation and screening of microorganisms for the effective pretreatment of lignocellulosic agricultural wastes. BioMed Res. Int. 2021, 2021, 5514745. [Google Scholar] [CrossRef]
- Xiong, X.H.; Liang, J.G.; Xiong, Q. Optimization of nattokinase production using liquid fermentation. Food Ferment. Ind. 2004, 62–66. [Google Scholar] [CrossRef]
- Yue, F.; Zhang, J.; Xu, J.; Niu, T.F.; Lü, X.; Liu, M.S. Effects of monosaccharide composition on quantitative analysis of total sugar content by phenol-sulfuric acid method. Front. Nutr. 2022, 9, 963318. [Google Scholar] [CrossRef]
- Miller, G. Use of dinitrosalicylic acid reagent for determination of reducing sugar. Anal. Chem. 1959, 31, 426–428. [Google Scholar] [CrossRef]
- Xia, H.; Zhang, R.; Yin, Y.; Souvanhnachit, S.; Lu, Y.L.; Liu, Z.H.; Zhang, W.J.; Yu, H. Quantitative detection of β-glucans in Cordyceps species using a validated Congo red assay. Sci. Rep. 2025, 15, 9938. [Google Scholar] [CrossRef] [PubMed]
- Douglas, S. A rapid method for the determination of pentosans in wheat flour. Food Chem. 1981, 7, 139–145. [Google Scholar] [CrossRef]
- Boukhary, R.; Raafat, K.; Ghoneim, A.; Aboul-Ela, M.; El-Lakany, A. Anti-inflammatory and antioxidant activities of Salvia fruticosa: An HPLC determination of phenolic contents. Evid. Based Complement. Altern. Med. 2016, 2016, 7178105. [Google Scholar] [CrossRef] [PubMed]
- Wang, P.; Sun, T.; Li, G.; Zhang, H.M.; Liu, F.J.; Gao, Z.H.; Cao, S.N.; Sun, G.D.; Du, H.T.; Wang, C.A.; et al. The separation of antler polypeptide and its effects on the proliferation and osteogenetic differentiation of bone marrow mesenchymal stem cells. Evid. Based Complement. Altern. Med. 2020, 2020, 1294151. [Google Scholar] [CrossRef] [PubMed]
- GB 5009.88-2023; National Food Safety Standard-Determination of Dietary Fiber in Foods. Standards Press of China: Beijing, China, 2023.
- Chen, L.; Wang, L.P.; Zhao, Y.; Chen, L.; Deng, T. Optimization of cultural conditions and amplification of Bacillus Subtilis-K-6-9. Sci. Technol. Food Ind. 2014, 35, 172–176. [Google Scholar]
- Adebule, A.P.; Sanusi, I.A.; Kana, G.E.B. Growth-associated and non-growth-associated bioethanol production kinetics from nanoadsorbent-detoxified pretreated hydrolysate. Catal. Lett. 2025, 155, 96. [Google Scholar] [CrossRef]
- Gupta, S.; Sundar, S.K. Kinetics of microbial growth, substrate consumption, and product formation. In Recent Advances in Bioprocess Engineering and Bioreactor Design; Dhagat, S., Eswari, S.J., Sampath Kumar, N.S., Mahapatra, C., Eds.; Springer: Singapore, 2024; pp. 75–114. [Google Scholar]
- Elisashvili, V.; Kachlishvili, E.; Chikindas, M.L. Recent advances in the physiology of spore formation for Bacillus probiotic production. Probiotics Antimicrob. Proteins 2019, 11, 731–747. [Google Scholar] [CrossRef]
- Chong, T.N.; Shapiro, L. Bacterial cell differentiation enables population level survival strategies. mBio 2024, 15, e00758-24. [Google Scholar] [CrossRef]
- Gauvry, E.; Mathot, A.; Couvert, O.; Leguérinel, I.; Jules, M.; Coroller, L. Differentiation of vegetative cells into spores: A kinetic model applied to Bacillus subtilis. Appl. Environ. Microbiol. 2019, 85, e00322-19. [Google Scholar] [CrossRef]
- Baril, E.; Coroller, L.; Couvert, O.; El Jabri, M.; Leguérinel, I.; Postollec, F.; Boulais, C.; Carlin, F.; Mafart, P. Sporulation boundaries and spore formation kinetics of Bacillus spp. as a function of temperature, pH and a(w). Food Microbiol. 2012, 32, 79–86. [Google Scholar] [CrossRef]
- Yang, H.Z. Study on the Dynamic Changes of Metabolites During Fermentation Process of Neutral Protease. Master’s Thesis, Tianjin University of Science and Technology, Tianjin, China, 2015. [Google Scholar]
- Vasantha, N.; Freese, E. Enzyme changes during Bacillus subtilis sporulation caused by deprivation of guanine nucleotides. J. Bacteriol. 1980, 144, 1119–1125. [Google Scholar] [CrossRef] [PubMed]
- Mukhtar, H.; Haq, I. Comparative evaluation of agroindustrial byproducts for the production of alkaline protease by wild and mutant strains of Bacillus subtilis in submerged and solid state fermentation. Sci. World J. 2013, 2013, 538067. [Google Scholar] [CrossRef]
- Kittur, P.; Meenakshi, V.; Vijayalakshmi, R.; Mini, M.L.; Kalaiselvan, A.; Ilamaran, M. Millet bran: The underrated ingredient with a potential to transform human nutrition. Plant Sci. Today 2024, 11, 1–10. [Google Scholar] [CrossRef]
- Ren, X.Q.; Chen, Q.L.; Wang, F.; Guo, H.L.; Wang, Y.; Gu, F.Y. Dynamic changes in nutrients and antioxidant activities of germinated black bean based on solid-state fermentation of Ganoderma oregonense. Innov. Food Sci. Emerg. Technol. 2025, 100, 103934. [Google Scholar] [CrossRef]
- Yu, Z.L.; Sun, Z.Q.; Yin, J.H.; Qiu, J.P. Enhanced production of polymyxin E in Paenibacillus polymyxa by replacement of glucose by starch. Biomed Res. Int. 2018, 2018, 1934309. [Google Scholar] [CrossRef] [PubMed]
- Ayyash, M.; Al-Nuaimi, A.K.; Al-Mahadin, S.; Liu, S.Q. In vitro investigation of anticancer and ACE-inhibiting activity, α-amylase and α-glucosidase inhibition, and antioxidant activity of camel milk fermented with camel milk probiotic: A comparative study with fermented bovine milk. Food Chem. 2018, 239, 588–597. [Google Scholar] [CrossRef]
- Ren, H.; Wang, T.; Liu, R. Correlation analyses of amylase and protease activities and physicochemical properties of wheat bran during solid-state fermentation. Foods 2024, 13, 3998. [Google Scholar] [CrossRef]
- Qin, C.; Tang, F.H.; Teng, J.W.; Wei, B.Y.; Huang, L.; Xia, N. Effect of β-glucosidase producing lactic acid bacteria fermentation on polyphenol content and functional activity of passion fruit peel. Food Ferment. Ind. 2023, 49, 230–236. [Google Scholar]
- Han, L.L.; Shao, H.H.; Liu, Y.C.; Liu, G.; Xie, C.Y.; Cheng, X.J.; Wang, H.Y.; Tan, X.M.; Feng, H. Transcriptome profiling analysis reveals metabolic changes across various growth phases in Bacillus pumilus BA06. BMC Microbiol. 2017, 17, 156. [Google Scholar] [CrossRef] [PubMed]





Disclaimer/Publisher’s Note: The statements, opinions and data contained in all publications are solely those of the individual author(s) and contributor(s) and not of MDPI and/or the editor(s). MDPI and/or the editor(s) disclaim responsibility for any injury to people or property resulting from any ideas, methods, instructions or products referred to in the content. |
© 2026 by the authors. Licensee MDPI, Basel, Switzerland. This article is an open access article distributed under the terms and conditions of the Creative Commons Attribution (CC BY) license.
Share and Cite
Zhang, S.; Meng, F.; Fan, X.; Lv, F.; Bie, X.; Zhao, H. Process Analysis of Millet Bran Fermentation by Bacillus natto: Dynamic Changes in Enzyme Activities and Bioactive Components. Foods 2026, 15, 483. https://doi.org/10.3390/foods15030483
Zhang S, Meng F, Fan X, Lv F, Bie X, Zhao H. Process Analysis of Millet Bran Fermentation by Bacillus natto: Dynamic Changes in Enzyme Activities and Bioactive Components. Foods. 2026; 15(3):483. https://doi.org/10.3390/foods15030483
Chicago/Turabian StyleZhang, Shimei, Fanqiang Meng, Xia Fan, Fengxia Lv, Xiaomei Bie, and Haizhen Zhao. 2026. "Process Analysis of Millet Bran Fermentation by Bacillus natto: Dynamic Changes in Enzyme Activities and Bioactive Components" Foods 15, no. 3: 483. https://doi.org/10.3390/foods15030483
APA StyleZhang, S., Meng, F., Fan, X., Lv, F., Bie, X., & Zhao, H. (2026). Process Analysis of Millet Bran Fermentation by Bacillus natto: Dynamic Changes in Enzyme Activities and Bioactive Components. Foods, 15(3), 483. https://doi.org/10.3390/foods15030483

